Protonated and Cationic Helium Clusters
Abstract
1. Introduction
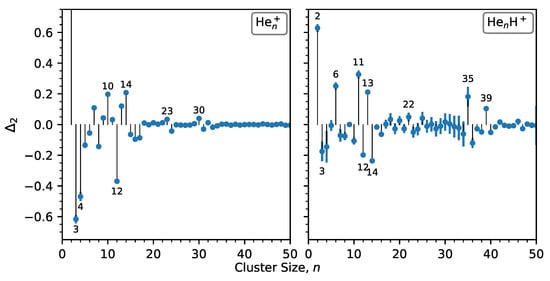
2. Results and Discussion
3. Materials and Methods
Author Contributions
Funding
Conflicts of Interest
References
- Grochala, W. Atypical compounds of gases, which have been called ‘noble’. Chem. Soc. Rev. 2007, 36, 1632–1655. [Google Scholar] [CrossRef] [PubMed]
- Pan, S.; Jana, G.; Merino, G.; Chattaraj, P.K. Noble-Noble Strong Union: Gold at Its Best to Make a Bond with a Noble Gas Atom. ChemistryOpen 2019, 8, 173–187. [Google Scholar] [CrossRef] [PubMed]
- Saha, R.; Jana, G.; Pan, S.; Merino, G.; Chattaraj, P.K. How Far Can One Push the Noble Gases Towards Bonding?: A Personal Account. Molecules 2019, 24, 2933. [Google Scholar] [CrossRef] [PubMed]
- Dong, X.; Oganov, A.R.; Goncharov, A.F.; Stavrou, E.; Lobanov, S.; Saleh, G.; Qian, G.R.; Zhu, Q.; Gatti, C.; Deringer, V.L.; et al. A stable compound of helium and sodium at high pressure. Nat. Chem. 2017, 9, 440–445. [Google Scholar] [CrossRef] [PubMed]
- Saunders, M.; Jiménez-Vázquez, H.A.; Cross, R.J.; Poreda, R.J. Stable Compounds of Helium and Neon: He@C60 and Ne@C60. Science 1993, 259, 1428–1430. [Google Scholar] [CrossRef] [PubMed]
- Saunders, M.; Jimenez-Vazquez, H.A.; Cross, R.J.; Mroczkowski, S.; Gross, M.L.; Giblin, D.E.; Poreda, R.J. Incorporation of helium, neon, argon, krypton, and xenon into fullerenes using high pressure. J. Am. Chem. Soc. 1994, 116, 2193–2194. [Google Scholar] [CrossRef]
- Hogness, T.R.; Lunn, E.G. The Ionization of Hydrogen by Electron Impact as Interpreted by Positive Ray Analysis. Phys. Rev. 1925, 26, 44–55. [Google Scholar] [CrossRef]
- Ikeshoji, T.; Hafskjold, B.; Hashi, Y.; Kawazoe, Y. Molecular Dynamics Simulation for the Formation of Magic-Number Clusters with a Lennard-Jones Potential. Phys. Rev. Lett. 1996, 76, 1792–1795. [Google Scholar] [CrossRef]
- Wales, D.J.; Doye, J.P.K. Global Optimization by Basin-Hopping and the Lowest Energy Structures of Lennard-Jones Clusters Containing up to 110 Atoms. J. Phys. Chem. A 1997, 101, 5111–5116. [Google Scholar] [CrossRef]
- Leary, R.H.; Doye, J.P.K. Tetrahedral global minimum for the 98-atom Lennard-Jones cluster. Phys. Rev. E 1999, 60, R6320–R6322. [Google Scholar] [CrossRef]
- Xiang, Y.; Jiang, H.; Cai, W.; Shao, X. An Efficient Method Based on Lattice Construction and the Genetic Algorithm for Optimization of Large Lennard-Jones Clusters. J. Phys. Chem. A 2004, 108, 3586–3592. [Google Scholar] [CrossRef] [PubMed]
- Xiang, Y.; Cheng, L.; Cai, W.; Shao, X. Structural Distribution of Lennard-Jones Clusters Containing 562 to 1000 Atoms. J. Phys. Chem. A 2004, 108, 9516–9520. [Google Scholar] [CrossRef] [PubMed]
- Echt, O.; Sattler, K.; Recknagel, E. Magic Numbers for Sphere Packings: Experimental Verification in Free Xenon Clusters. Phys. Rev. Lett. 1981, 47, 1121–1124. [Google Scholar] [CrossRef]
- Stephens, P.W.; King, J.G. Experimental Investigation of Small Helium Clusters: Magic Numbers and the Onset of Condensation. Phys. Rev. Lett. 1983, 51, 1538–1541. [Google Scholar] [CrossRef]
- Ding, A.; Hesslich, J. The abundance of Ar and Kr microclusters generated by supersonic expansion. Chem. Phys. Lett. 1983, 94, 54–57. [Google Scholar] [CrossRef]
- Harris, I.A.; Kidwell, R.S.; Northby, J.A. Structure of Charged Argon Clusters Formed in a Free Jet Expansion. Phys. Rev. Lett. 1984, 53, 2390–2393. [Google Scholar] [CrossRef]
- Harris, I.A.; Norman, K.A.; Mulkern, R.V.; Northby, J.A. Icosahedral structure of large charged argon clusters. Chem. Phys. Lett. 1986, 130, 316–320. [Google Scholar] [CrossRef]
- Scheier, P.; Märk, T.D. Mass-resolved argon cluster spectra up to 12000 u (A). Int. J. Mass Spectrom. Ion Process. 1987, 76, R11–R15. [Google Scholar] [CrossRef]
- Märk, T.D.; Scheier, P. Production and stability of neon cluster ions up to N. Chem. Phys. Lett. 1987, 137, 245–249. [Google Scholar] [CrossRef]
- Miehle, W.; Kandler, O.; Leisner, T.; Echt, O. Mass spectrometric evidence for icosahedral structure in large rare gas clusters: Ar, Kr, Xe. J. Chem. Phys. 1989, 91, 5940–5952. [Google Scholar] [CrossRef]
- Miehle, W.; Echt, O.; Kandler, O.; Leisner, T.; Recknagel, E. Magic numbers of large rare gas clusters. Z. Phys. D Atoms Mol. Clust. 1989, 12, 273–274. [Google Scholar] [CrossRef]
- Milne, T.A.; Greene, F.T. Mass Spectrometric Observations of Argon Clusters in Nozzle Beams. I. General Behavior and Equilibrium Dimer Concentrations. J. Chem. Phys. 1967, 47, 4095–4101. [Google Scholar] [CrossRef]
- Levinger, N.E.; Ray, D.; Alexander, M.L.; Lineberger, W.C. Photoabsorption and photofragmentation studies of Ar+n cluster ions. J. Chem. Phys. 1988, 89, 5654–5662. [Google Scholar] [CrossRef]
- Ferreira da Silva, F.; Bartl, P.; Denifl, S.; Echt, O.; Märk, T.D.; Scheier, P. Argon clusters embedded in helium nanodroplets. Phys. Chem. Chem. Phys. 2009, 11, 9791–9797. [Google Scholar] [CrossRef] [PubMed]
- Vafayi, K.; Esfarjani, K. Abundance of Nanoclusters in a Molecular Beam: The Magic Numbers for Lennard-Jones Potential. J. Clust. Sci. 2015, 26, 473–490. [Google Scholar] [CrossRef]
- Gatchell, M.; Martini, P.; Kranabetter, L.; Rasul, B.; Scheier, P. Magic sizes of cationic and protonated argon clusters. Phys. Rev. A 2018, 98, 022519. [Google Scholar] [CrossRef]
- Gatchell, M.; Martini, P.; Schiller, A.; Scheier, P. Protonated Clusters of Neon and Krypton. J. Am. Soc. Mass Spectrom. 2019. [Google Scholar] [CrossRef]
- Milleur, M.B.; Matcha, R.L.; Hayes, E.F. Theoretical studies of hydrogen-rare gas complexes: HenH and HenH+ clusters. J. Chem. Phys. 1974, 60, 674–679. [Google Scholar] [CrossRef]
- Bishop, D.M.; Cheung, L.M. A theoretical investigation of HeH+. J. Mol. Spectrosc. 1979, 75, 462–473. [Google Scholar] [CrossRef]
- Baccarelli, I.; Gianturco, F.A.; Schneider, F. Stability and Fragmentation of Protonated Helium Dimers from ab Initio Calculations of Their Potential Energy Surfaces. J. Phys. Chem. A 1997, 101, 6054–6062. [Google Scholar] [CrossRef]
- Filippone, F.; Gianturco, F.A. Charged chromophoric units in protonated rare-gas clusters: A dynamical simulation. Europhys. Lett. EPL 1998, 44, 585–591. [Google Scholar] [CrossRef]
- Balta, B.; Gianturco, F.A.; Paesani, F. Structural properties and quantum effects in protonated helium clusters. II. Quantum Monte Carlo calculations for the smaller aggregates. Chem. Phys. 2000, 254, 215–229. [Google Scholar] [CrossRef]
- Gianturco, F.A.; Filippone, F. Structure and dynamics of small protonated rare-gas clusters using quantum and classical methods. Comput. Phys. Commun. 2002, 145, 78–96. [Google Scholar] [CrossRef]
- Zhao, J.; Luo, Y. Time-Dependent Wave Packet Quantum and Quasi-Classical Trajectory Study of He + H2+, → HeH+ + H, HeD+ + D Reaction on an Accurate FCI Potential Energy Surface. J. Phys. Chem. A 2012, 116, 2388–2393. [Google Scholar] [CrossRef]
- Császár, A.G.; Szidarovszky, T.; Asvany, O.; Schlemmer, S. Fingerprints of microscopic superfluidity in HHen+ clusters. Mol. Phys. 2019, 117, 1559–1583. [Google Scholar] [CrossRef]
- Bartl, P.; Leidlmair, C.; Denifl, S.; Scheier, P.; Echt, O. Cationic Complexes of Hydrogen with Helium. ChemPhysChem 2013, 14, 227–232. [Google Scholar] [CrossRef]
- Asvany, O.; Schlemmer, S.; Szidarovszky, T.; Császár, A.G. Infrared Signatures of the HH and DH (n = 3 – 6) Complexes. J. Phys. Chem. Lett. 2019, 10, 5325–5330. [Google Scholar] [CrossRef]
- Kojima, T.M.; Kobayashi, N.; Kaneko, Y. Formation of helium cluster ions HH(x≤14) and H3H(x≤13) in a very low temperature drift tube. Z. Phys. D Atoms Mol. Clust. 1992, 23, 181–185. [Google Scholar] [CrossRef]
- Dabrowski, I.; Herzberg, G. The predicted infrared spectrum of HeH+ and its possible astrophysical importance *. Trans. N. Y. Acad. Sci. 1977, 38, 14–25. [Google Scholar] [CrossRef]
- Flower, D.; Roueff, E. On the formation and destruction of HeH+ in gaseous nebulae and the associated infra-red emission line spectrum. Astron. Astrophys. 1979, 72, 361–366. [Google Scholar]
- Roberge, W.; Dalgarno, A. The formation and destruction of HeH+ in astrophysical plasmas. Astrophys. J. 1982, 255, 489–496. [Google Scholar] [CrossRef]
- Güsten, R.; Wiesemeyer, H.; Neufeld, D.; Menten, K.M.; Graf, U.U.; Jacobs, K.; Klein, B.; Ricken, O.; Risacher, C.; Stutzki, J. Astrophysical detection of the helium hydride ion HeH+. Nature 2019, 568, 357–359. [Google Scholar] [CrossRef] [PubMed]
- Laimer, F.; Kranabetter, L.; Tiefenthaler, L.; Albertini, S.; Zappa, F.; Ellis, A.M.; Gatchell, M.; Scheier, P. Highly Charged Droplets of Superfluid Helium. Phys. Rev. Lett. 2019, 123, 165301. [Google Scholar] [CrossRef]
- Ralser, S.; Postler, J.; Harnisch, M.; Ellis, A.M.; Scheier, P. Extracting cluster distributions from mass spectra: IsotopeFit. Int. J. Mass Spectrom. 2015, 379, 194–199. [Google Scholar] [CrossRef] [PubMed]
- Ellis, A.M.; Yang, S. Model for the charge-transfer probability in helium nanodroplets following electron-impact ionization. Phys. Rev. A 2007, 76, 032714. [Google Scholar] [CrossRef]
- Callicoatt, B.E.; Förde, K.; Jung, L.F.; Ruchti, T.; Janda, K.C. Fragmentation of ionized liquid helium droplets: A new interpretation. J. Chem. Phys. 1998, 109, 10195–10200. [Google Scholar] [CrossRef]
- Mauracher, A.; Echt, O.; Ellis, A.M.; Yang, S.; Bohme, D.K.; Postler, J.; Kaiser, A.; Denifl, S.; Scheier, P. Cold physics and chemistry: Collisions, ionization and reactions inside helium nanodroplets close to zero K. Phys. Rep. 2018, 751, 1–90. [Google Scholar] [CrossRef]
- Fröchtenicht, R.; Henne, U.; Toennies, J.P.; Ding, A.; Fieber-Erdmann, M.; Drewello, T. The photoionization of large pure and doped helium droplets. J. Chem. Phys. 1996, 104, 2548–2556. [Google Scholar] [CrossRef]
- Schöbel, H.; Bartl, P.; Leidlmair, C.; Denifl, S.; Echt, O.; Märk, T.D.; Scheier, P. High-resolution mass spectrometric study of pure helium droplets, and droplets doped with krypton. Eur. Phys. J. D 2011, 63, 209–214. [Google Scholar] [CrossRef]
- Kurzthaler, T.; Rasul, B.; Kuhn, M.; Lindinger, A.; Scheier, P.; Ellis, A.M. The adsorption of helium atoms on coronene cations. J. Chem. Phys. 2016, 145, 064305. [Google Scholar] [CrossRef]
- Kuhn, M.; Renzler, M.; Postler, J.; Ralser, S.; Spieler, S.; Simpson, M.; Linnartz, H.; Tielens, A.G.G.M.; Cami, J.; Mauracher, A.; et al. Atomically resolved phase transition of fullerene cations solvated in helium droplets. Nat. Commun. 2016, 7, 13550. [Google Scholar] [CrossRef] [PubMed]



© 2020 by the authors. Licensee MDPI, Basel, Switzerland. This article is an open access article distributed under the terms and conditions of the Creative Commons Attribution (CC BY) license (http://creativecommons.org/licenses/by/4.0/).
Share and Cite
Lundberg, L.; Bartl, P.; Leidlmair, C.; Scheier, P.; Gatchell, M. Protonated and Cationic Helium Clusters. Molecules 2020, 25, 1066. https://doi.org/10.3390/molecules25051066
Lundberg L, Bartl P, Leidlmair C, Scheier P, Gatchell M. Protonated and Cationic Helium Clusters. Molecules. 2020; 25(5):1066. https://doi.org/10.3390/molecules25051066
Chicago/Turabian StyleLundberg, Linnea, Peter Bartl, Christian Leidlmair, Paul Scheier, and Michael Gatchell. 2020. "Protonated and Cationic Helium Clusters" Molecules 25, no. 5: 1066. https://doi.org/10.3390/molecules25051066
APA StyleLundberg, L., Bartl, P., Leidlmair, C., Scheier, P., & Gatchell, M. (2020). Protonated and Cationic Helium Clusters. Molecules, 25(5), 1066. https://doi.org/10.3390/molecules25051066

