Allosteric GABAA Receptor Modulators—A Review on the Most Recent Heterocyclic Chemotypes and Their Synthetic Accessibility †
Abstract
1. Introduction
1.1. The Receptor Family
1.2. Allosteric Binding Sites
1.3. Allosteric Ligands and Their Action on GABAA Receptors
1.3.1. Orthosteric Ligands
1.3.2. Allosteric Ligands
- Positive allosteric modulators (PAM): they enhance the effect of the endogenous ligand
- Negative allosteric modulators (NAM): they diminish the effect of the endogenous ligand
- Silent allosteric modulators (SAM): they do not influence the effects of the endogenous ligand, but they can compete with a PAM or a NAM for the occupation of a binding site [31].
2. Assays to Probe Interactions of Small Molecules with the Receptors, or with Specific Binding Sites
3. Clinical Pharmacology of Allosteric Ligands Used in Human Medicine
3.1. Sedative General Anesthetics
3.2. Prescription Hypnotics and Sleeping Aids
3.3. Anticonvulsants
3.4. Additional Indication Groups for Therapeutically Used Allosteric Modulators of GABAA Receptors Exist
3.5. PET and SPECT Imaging Ligands
4. Allosteric Ligands and Their Synthetic Accessibility
4.1. Monocyclic GABAA Receptor Modulators
4.1.1. Monocyclic GABAA Receptor Modulators with 5-Membered Rings
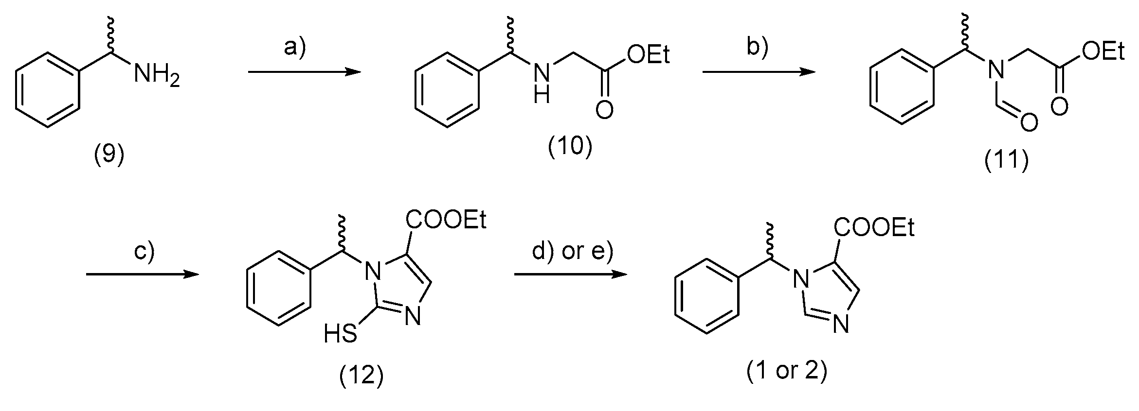
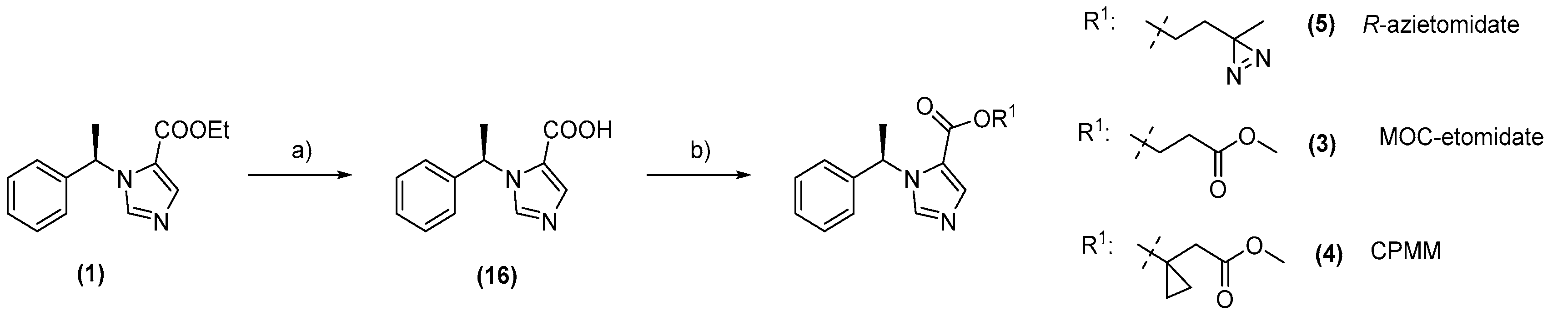
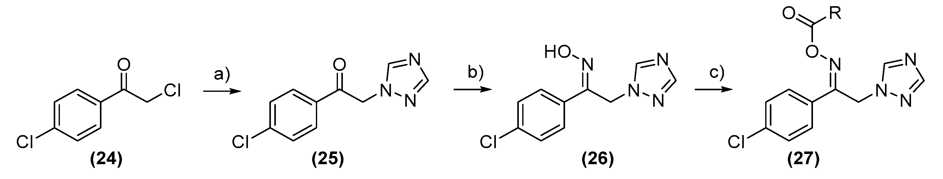
Imidazole Derivatives
Arylalkylazoles
4.1.2. Monocyclic GABAA Receptor Modulators with Six-Membered Rings
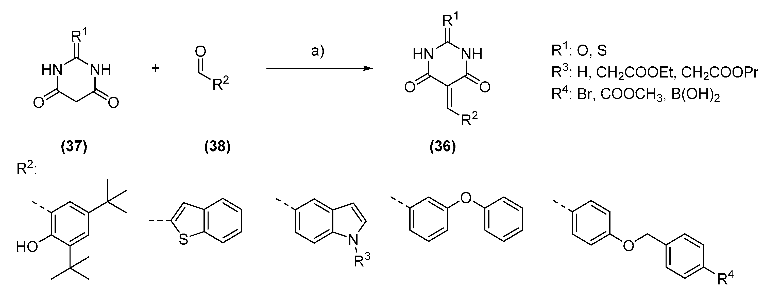
Barbiturates
4.2. Fused Bicyclic GABAA Receptor Modulators
4.2.1. Fused Bicyclic GABAA Receptor Modulators Containing One Nitrogen
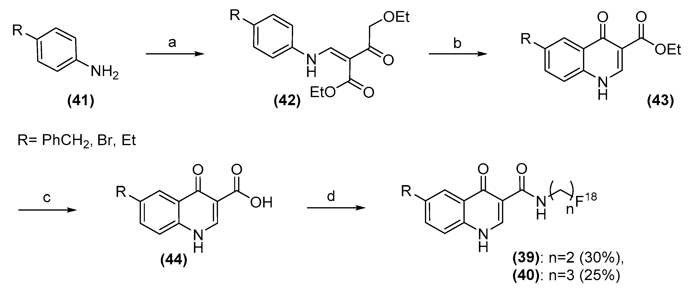
Quinolones
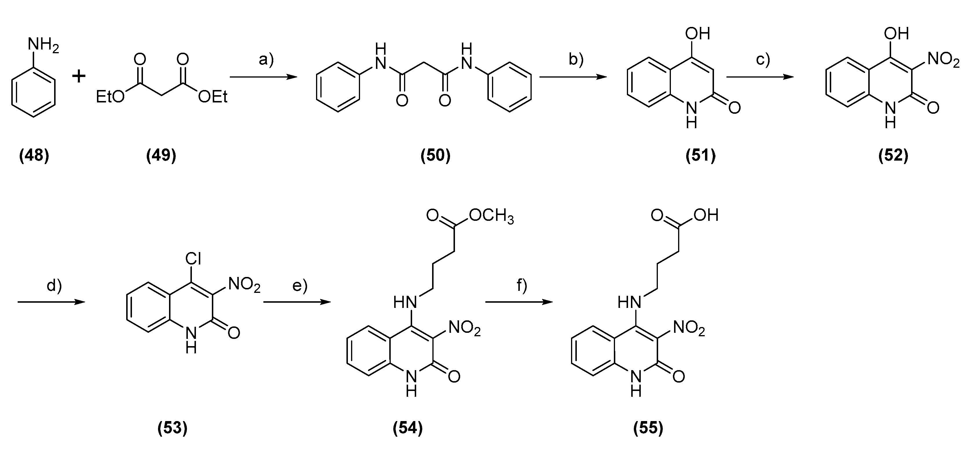
Indol-3-yl glyoxyl Derivatives
4.2.2. Fused Bicyclic GABAA Receptor Modulators Containing Two Nitrogens and 5–6 Membered Rings
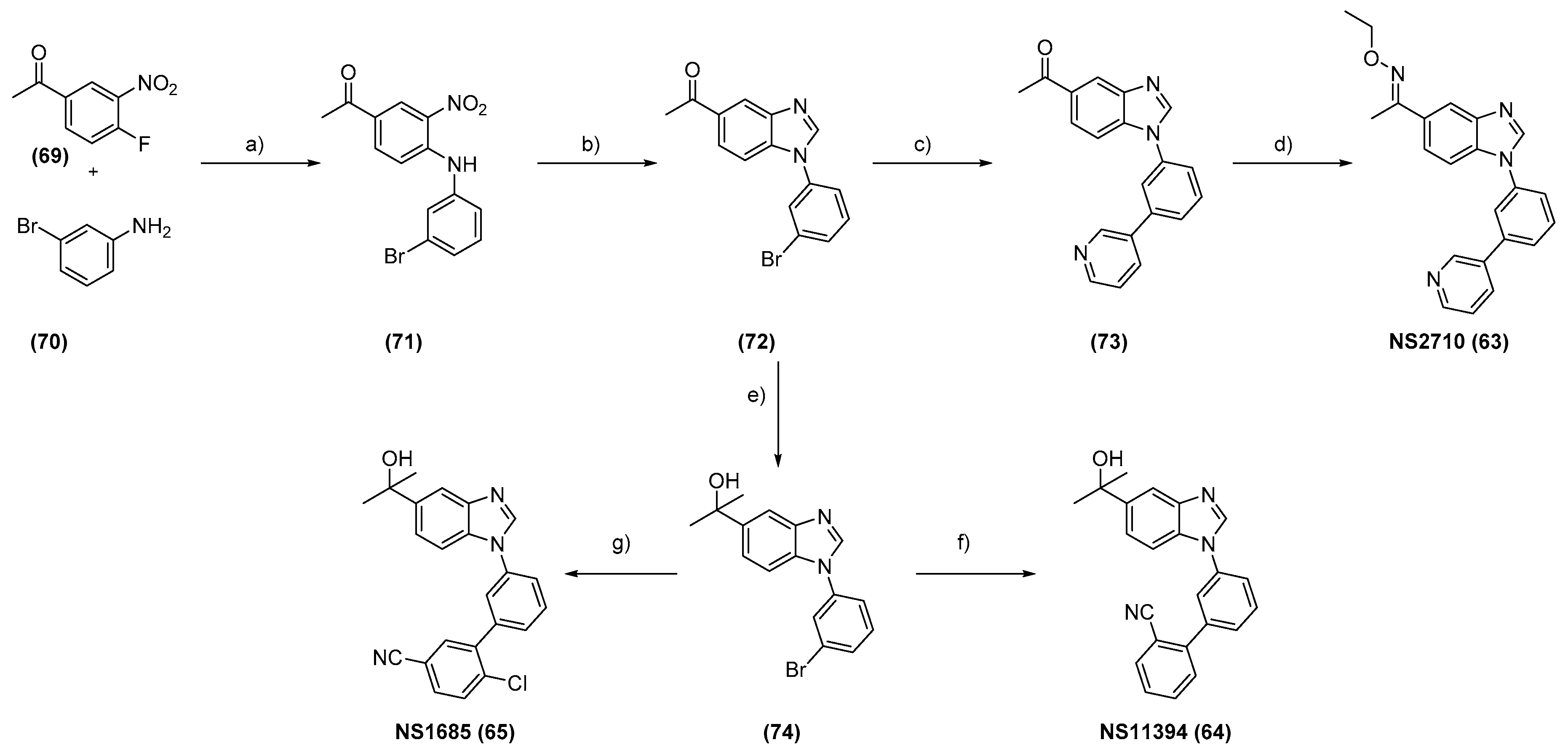
Benzimidazoles
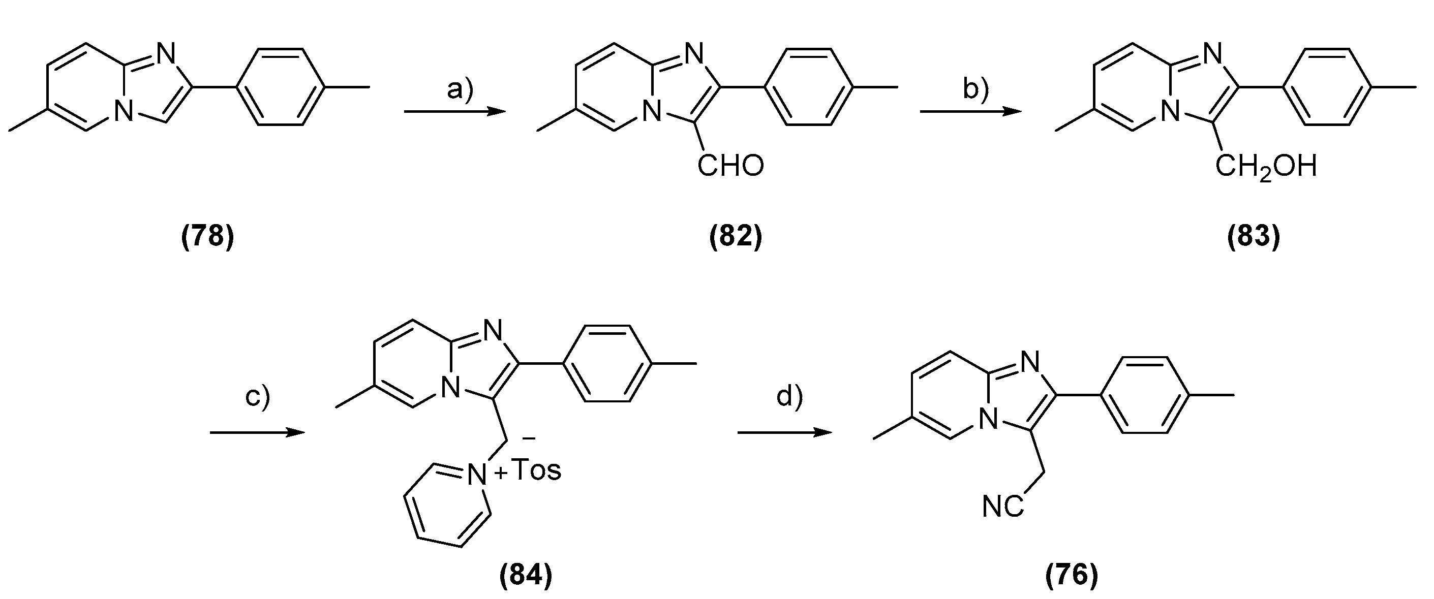
Imidazopyridines
4.2.3. Fused Bicyclic GABAA Receptor Modulators Containing Two Nitrogens and 6–7 Membered Rings
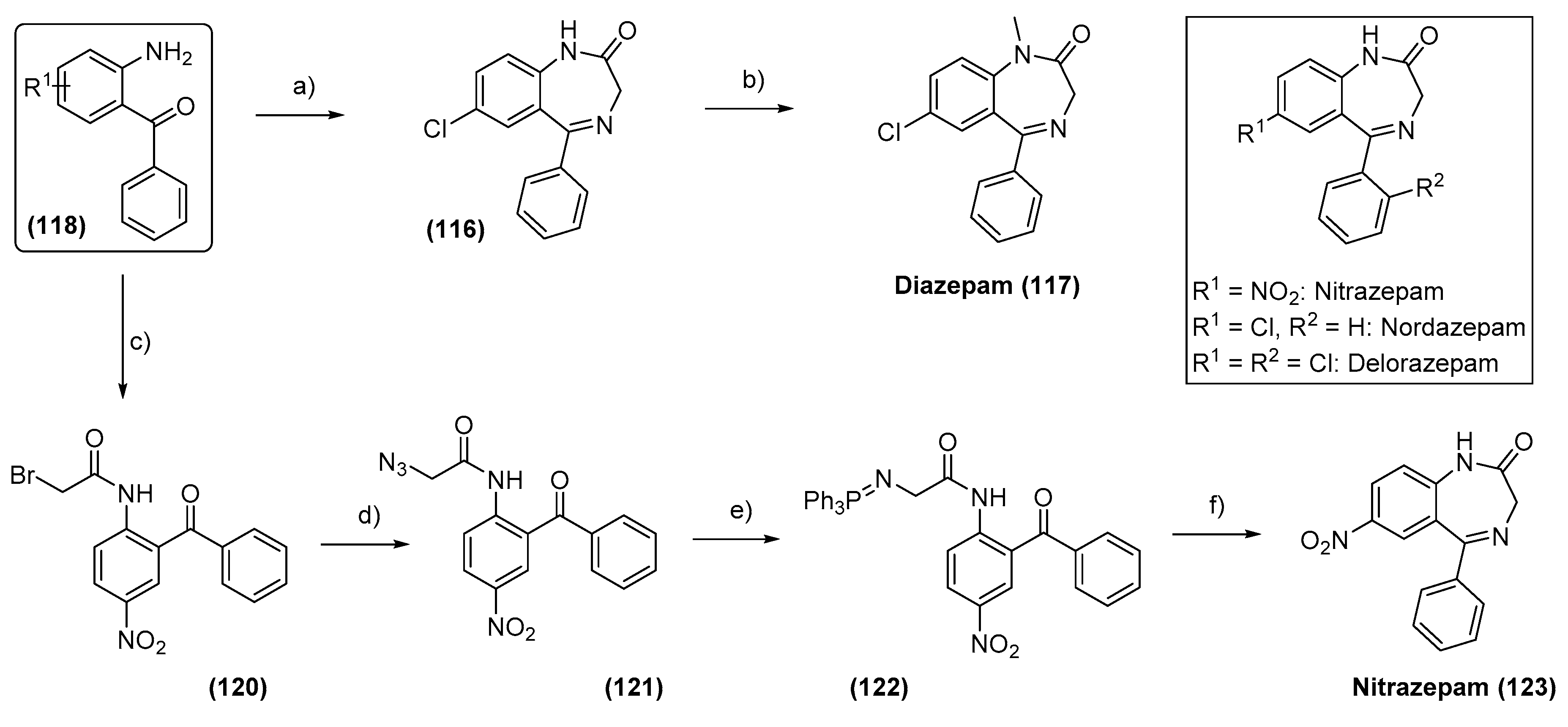
Benzodiazepines
Classical Benzodiazepines
Acetylated Benzodiazepines
Diazolobenzodiazepines
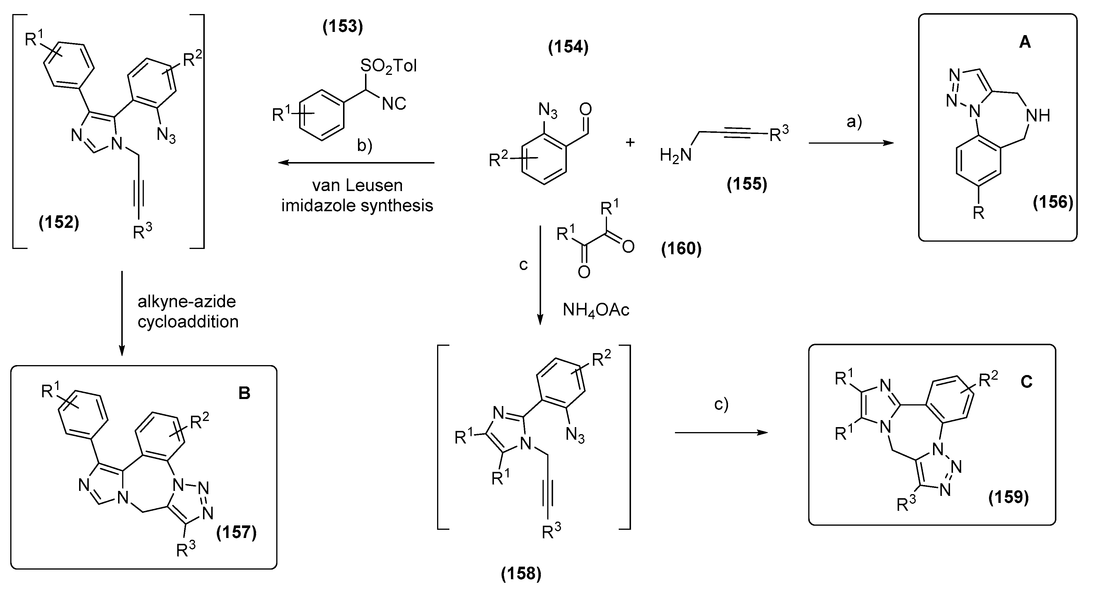
Triazolobenzodiazepines
4.2.4. Fused Bicyclic GABAA Receptor Modulators Containing Three Nitrogens
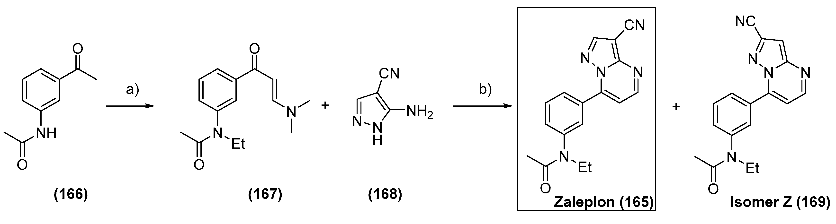
Pyrazolopyrimidine
Cyclopyrrolones
4.2.5. Fused Bicyclic GABAA Receptor Modulators Containing Four Nitrogens
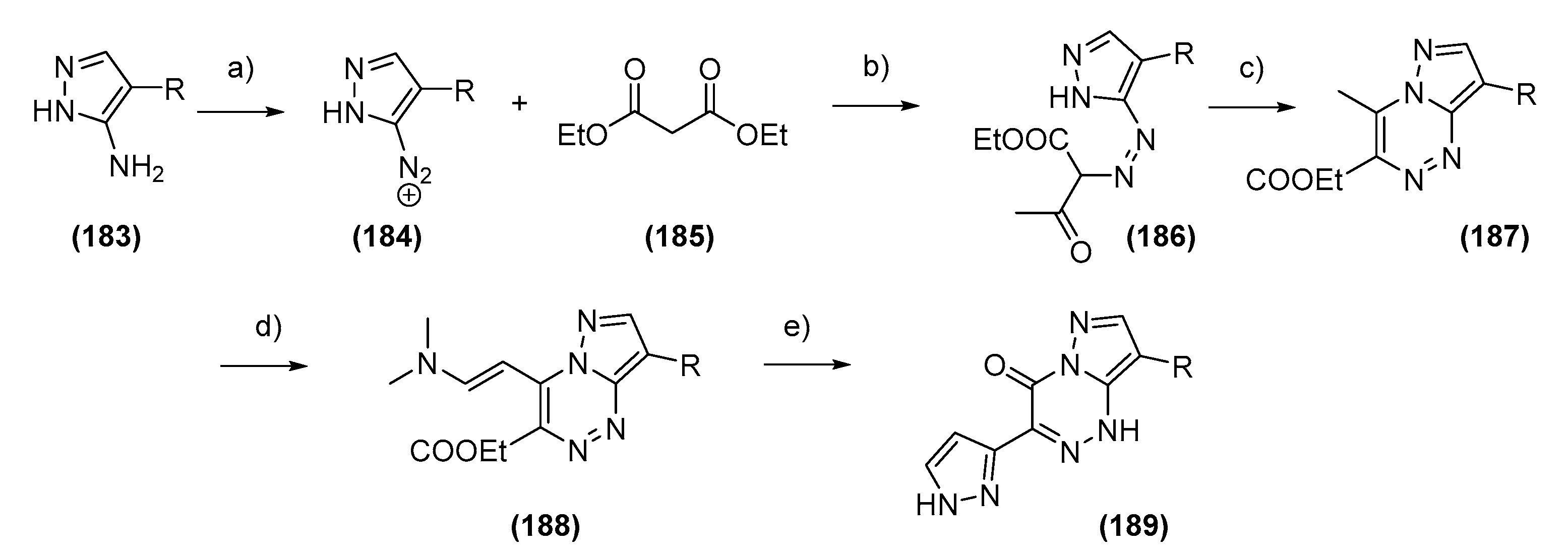
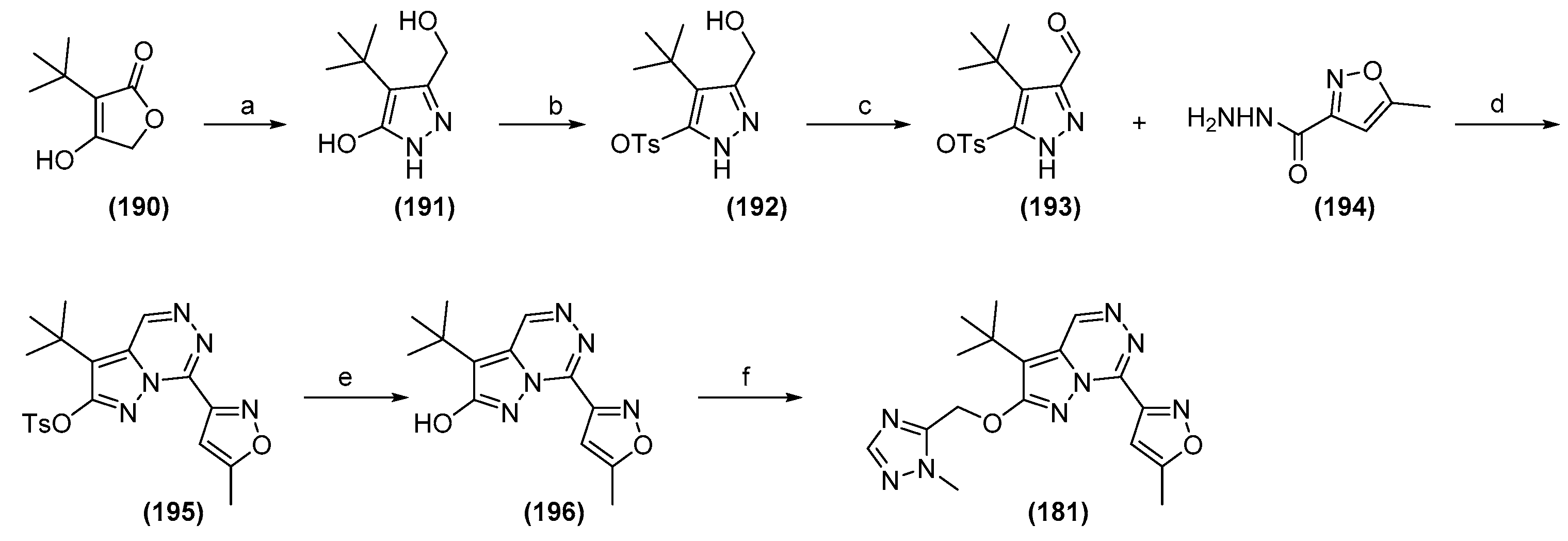
Pyrazolotriazines
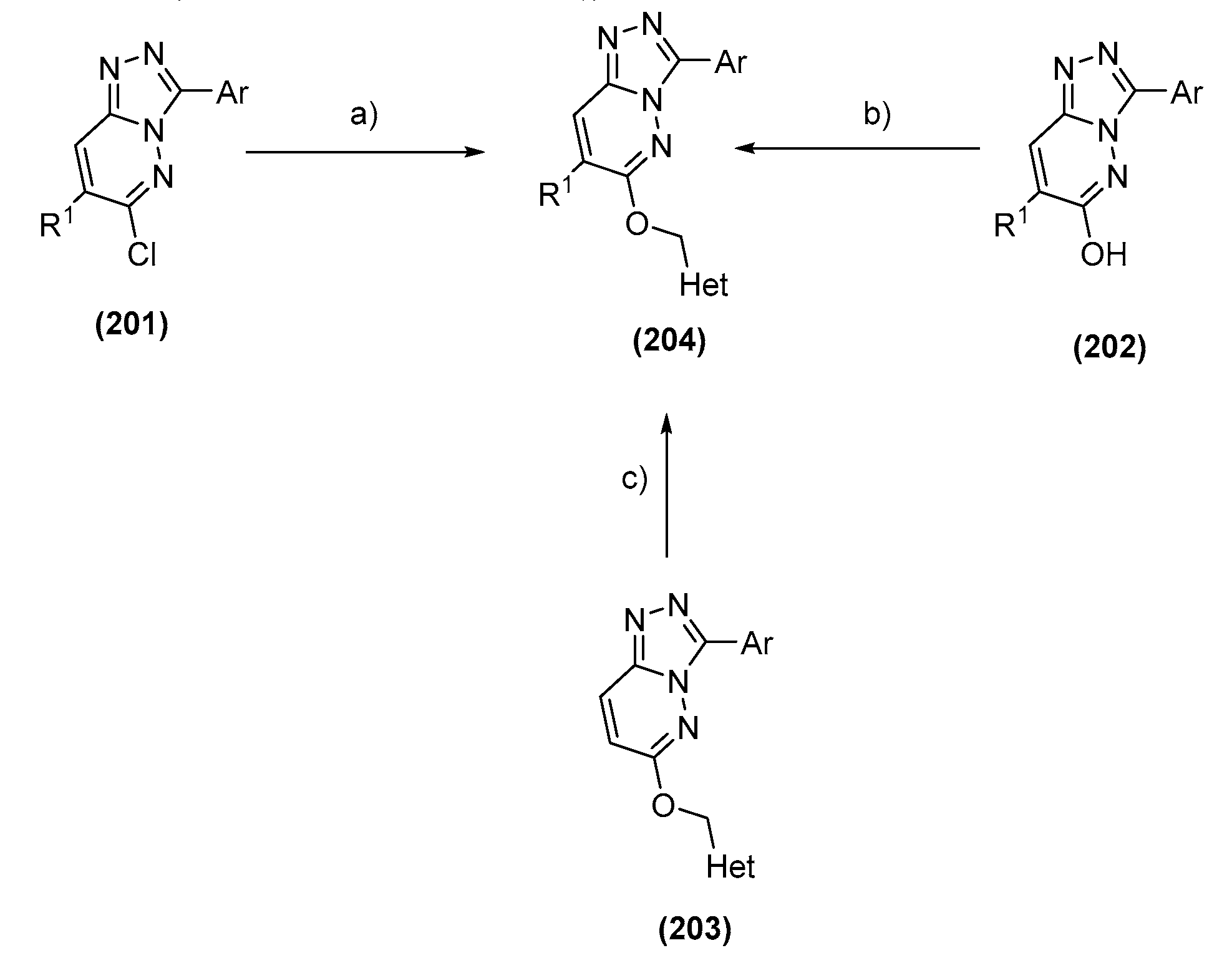
Triazolopyridazines
4.3. Fused Tricyclic GABAA Receptor Modulators
4.3.1. Fused Tricyclic GABAA Receptor Modulators Containing Two Nitrogens
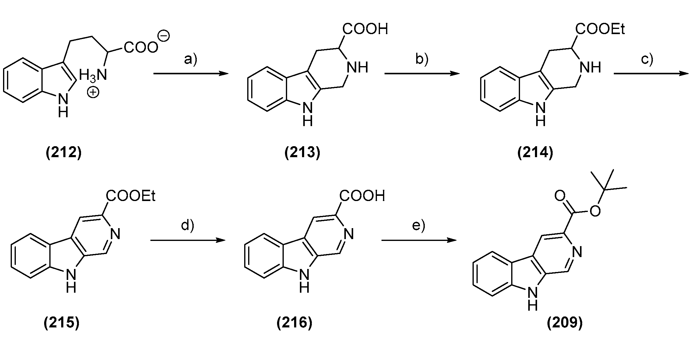
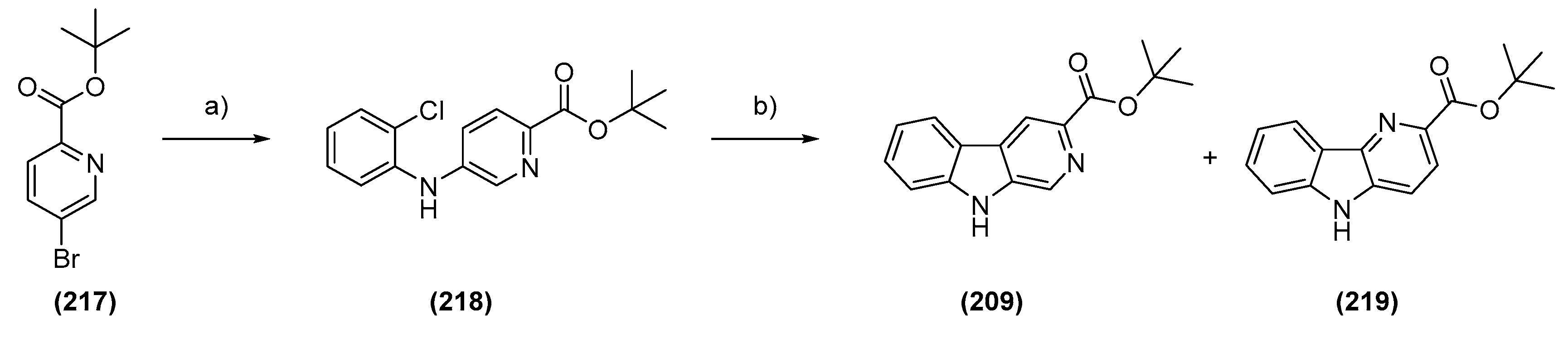
β-Carbolines
4.3.2. Fused Tricyclic GABAA Receptor Modulators Containing Three Nitrogens
Pyrazoloquinolinones
4.3.3. Fused Tricyclic GABAA Receptor Modulators Containing Four Nitrogens
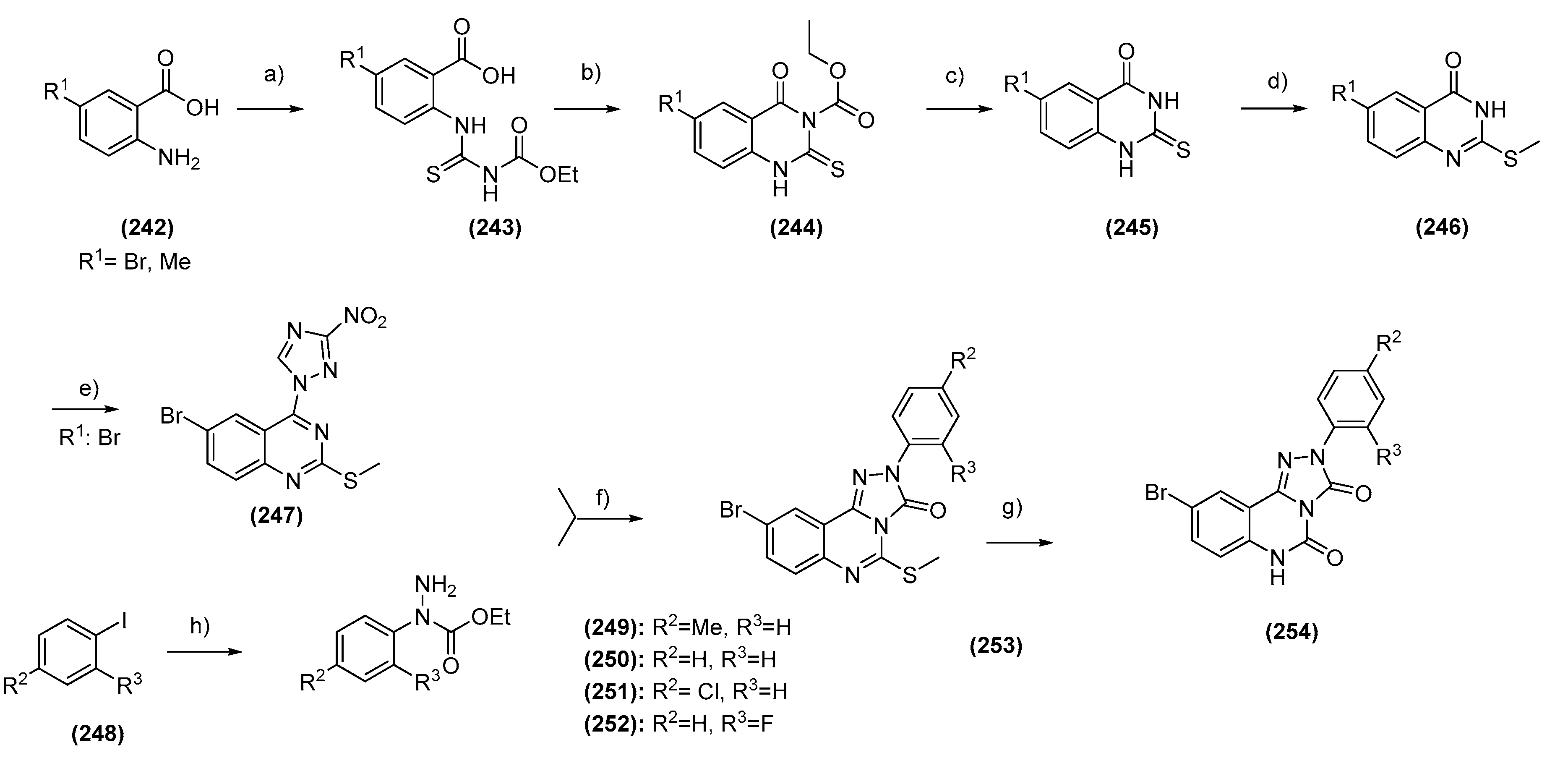
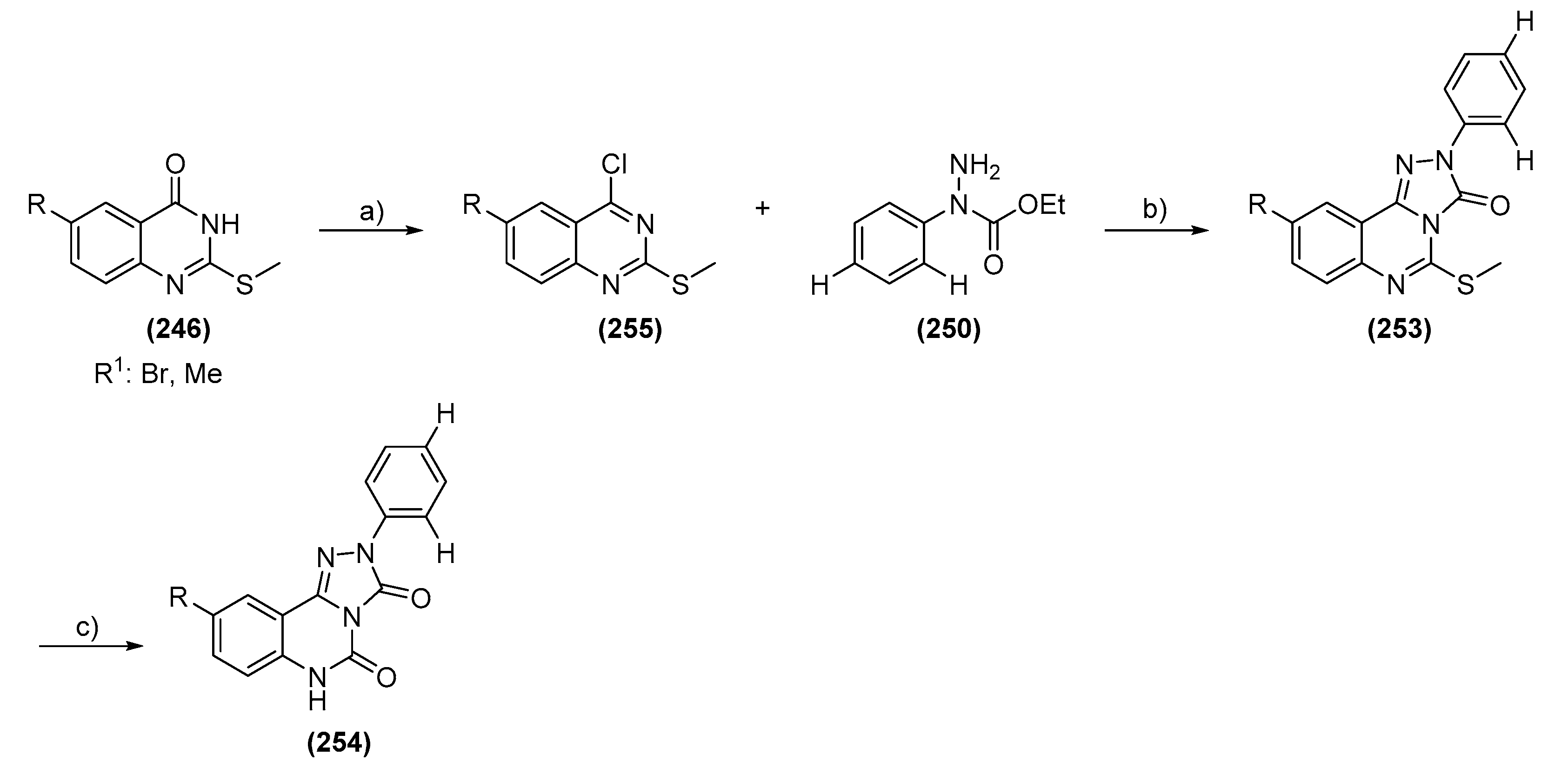
Triazoloquinazolines
Pyrazolobenzotriazines
5. Conclusions
Author Contributions
Funding
Acknowledgments
Conflicts of Interest
Abbreviations
| ADME | Absorption, Distribution, Metabolism, and Excretion |
| ACN | Acetonitrile |
| Bbt | Barbiturate |
| BZD | Benzodiazepine(s) |
| BZR | Benzodiazepine receptor |
| CDI | 1,1′-Carbonyldiimidazole |
| DBU | 1,8-Diazabicyclo[5.4.0]undec-7-ene |
| DCC | N,N′-Dicyclohexylcarbodiimide |
| DCE | 1,2-dichloroethane |
| DCM | Dichloromethane |
| DMAc | Dimethylacetamide |
| DMAP | 4-Dimethylaminopyridine |
| DMF | Dimethylformamide |
| DMSO | Dimethyl sulfoxide |
| DNA | Deoxyribonucleic acid |
| DEEMM | Diethyl ethoxymethylenemalonate |
| DIPEA | N,N-Diisopropylethylamine |
| EBOB | Ethynylbicycloorthobenzoate |
| ECD | Extracellular domain |
| Eto | Etomidate |
| GABA | Gamma-aminobutyric acid |
| GABAA | GABAA receptors |
| HATU | Hexafluorophosphate Azabenzotriazole Tetramethyl Uronium |
| HTIB | [Hydroxy(tosyloxy)iodo]benzene |
| IPA HCl | Isopropanol hydrochloride |
| KOtBu | Potassium tert-butoxide |
| NAM | Negative Allosteric Modulator |
| NMP | N-Methyl-2-Pyrrolidone |
| OTC | Over-the-counter |
| PAM | Positive Allosteric Modulator |
| PET | Positron Emmission Tomography |
| PQ | Pyrazoloquinolinone |
| SAM | Silent Allosteric Modulator |
| TBBAB | Tetra-n-butylammonium bromide |
| TBAF | Tetrabutylammonium fluoride |
| TEA | Triethylamine |
| THF | Tetrahydrofuran |
| TMD | Transmembrane domain |
| TMP | 2,2,6,6-Tetramethylpiperidine |
| TosMIC | p-Toluenesulfonylmethyl isocyanide |
References
- Jampilek, J. Heterocycles in Medicinal Chemistry. Molecules 2019, 24, 3839. [Google Scholar] [CrossRef] [PubMed]
- Volonterio, A.; Zanda, M. Multicomponent, One-Pot Sequential Synthesis of 1,3,5- and 1,3,5,5-Substituted Barbiturates. J. Org. Chem. 2008, 73, 7486–7497. [Google Scholar] [CrossRef] [PubMed]
- Goodwin, N.C.; Morrison, J.P.; Fuerst, D.E.; Hadi, T. Biocatalysis in Medicinal Chemistry: Challenges to Access and Drivers for Adoption. ACS Med. Chem. Lett. 2019, 10, 1363–1366. [Google Scholar] [CrossRef] [PubMed]
- Bogdan, A.R.; Organ, M.G. Flow Chemistry as a Drug Discovery Tool: A Medicinal Chemistry Perspective. In Flow Chemistry for the Synthesis of Heterocycles; Sharma, U.K., Van der Eycken, E.V., Eds.; Springer International Publishing: Cham, Switzerland, 2018; pp. 319–341. [Google Scholar]
- Bogdos, M.K.; Pinard, E.; Murphy, J.A. Applications of organocatalysed visible-light photoredox reactions for medicinal chemistry. Beilstein J. Org. Chem. 2018, 14, 2035–2064. [Google Scholar] [CrossRef] [PubMed]
- Boström, J.; Brown, D.G.; Young, R.J.; Keserü, G.M. Expanding the medicinal chemistry synthetic toolbox. Nat. Rev. Drug Discov. 2018, 17, 709–727. [Google Scholar] [CrossRef] [PubMed]
- Wu, G.; Zhao, T.; Kang, D.; Zhang, J.; Song, Y.; Namasivayam, V.; Kongsted, J.; Pannecouque, C.; De Clercq, E.; Poongavanam, V.; et al. Overview of Recent Strategic Advances in Medicinal Chemistry. J. Med. Chem. 2019, 62, 9375–9414. [Google Scholar] [CrossRef]
- Sieghart, W. Structure and pharmacology of gamma-aminobutyric acidA receptor subtypes. Pharmacol. Rev. 1995, 47, 181. [Google Scholar]
- Olsen, R.W.; Sieghart, W. International Union of Pharmacology. LXX. Subtypes of γ-Aminobutyric Acid(A) Receptors: Classification on the Basis of Subunit Composition, Pharmacology, and Function. Update. Pharmacol. Rev. 2008, 60, 243–260. [Google Scholar] [CrossRef]
- Hashimoto, T. GABA receptor chloride ion channel. Nihon Rinsho. 1998, 56, 1824–1829. [Google Scholar]
- Sigel, E.; Steinmann, M.E. Structure, function, and modulation of GABA(A) receptors. J. Biol. Chem. 2012, 287, 40224–40231. [Google Scholar] [CrossRef]
- Chua, H.C.; Chebib, M. GABAA Receptors and the Diversity in their Structure and Pharmacology. Adv. Pharmacol. 2017, 79, 1–34. [Google Scholar] [CrossRef]
- Wongsamitkul, N.; Baur, R.; Sigel, E. Toward Understanding Functional Properties and Subunit Arrangement of α4β2δ γ-Aminobutyric Acid, Type A (GABAA) Receptors. J. Boil. Chem. 2016, 291, 18474–18483. [Google Scholar] [CrossRef] [PubMed]
- Laverty, D.; Thomas, P.; Field, M.; Andersen, O.J.; Gold, M.G.; Biggin, P.C.; Gielen, M.; Smart, T.G. Crystal structures of a GABAA-receptor chimera reveal new endogenous neurosteroid-binding sites. Nat. Struct. Mol. Biol. 2017, 24, 977–985. [Google Scholar] [CrossRef] [PubMed]
- Puthenkalam, R.; Hieckel, M.; Simeone, X.; Suwattanasophon, C.; Feldbauer, R.V.; Ecker, G.F.; Ernst, M. Structural Studies of GABAA Receptor Binding Sites: Which Experimental Structure Tells us What? Front. Mol. Neurosci. 2016, 9, 44. [Google Scholar] [CrossRef] [PubMed]
- Sieghart, W.; Savić, M.M. International Union of Basic and Clinical Pharmacology. CVI: GABAA Receptor Subtype- and Function-selective Ligands: Key Issues in Translation to Humans. Pharmacol. Rev. 2018, 70, 836. [Google Scholar] [CrossRef]
- Sieghart, W. Allosteric modulation of GABAA receptors via multiple drug-binding sites. Adv. Pharmacol. 2015, 72, 53–96. [Google Scholar] [CrossRef]
- Sigel, E.; Ernst, M. The Benzodiazepine Binding Sites of GABAA Receptors. Trends Pharmacol. Sci. 2018, 39, 659–671. [Google Scholar] [CrossRef]
- Ramerstorfer, J.; Furtmuller, R.; Sarto-Jackson, I.; Varagic, Z.; Sieghart, W.; Ernst, M. The GABAA receptor alpha+beta- interface: A novel target for subtype selective drugs. J. Neurosci. 2011, 31, 870–877. [Google Scholar] [CrossRef]
- Sieghart, W.; Ramerstorfer, J.; Sarto-Jackson, I.; Varagic, Z.; Ernst, M. A novel GABA(A) receptor pharmacology: Drugs interacting with the α(+) β(-) interface. Br. J. Pharmacol. 2012, 166, 476–485. [Google Scholar] [CrossRef]
- Masiulis, S.; Desai, R.; Uchanski, T.; Serna Martin, I.; Laverty, D.; Karia, D.; Malinauskas, T.; Zivanov, J.; Pardon, E.; Kotecha, A.; et al. GABAA receptor signalling mechanisms revealed by structural pharmacology. Nature 2019, 565, 454–459. [Google Scholar] [CrossRef]
- Iorio, M.T.; Vogel, F.D.; Koniuszewski, F.; Scholze, P.; Rehman, S.; Simeone, X.; Schnürch, M.; Mihovilovic, M.D.; Ernst, M. GABAA Receptor Ligands Often Interact with Binding Sites in the Transmembrane Domain and in the Extracellular Domain—Can the Promiscuity Code Be Cracked? Int. J. Mol. Sci. 2020, 21, 334. [Google Scholar] [CrossRef] [PubMed]
- Scott, S.; Aricescu, A.R. A structural perspective on GABAA receptor pharmacology. Curr. Opin. Struct. Biol. 2019, 54, 189–197. [Google Scholar] [CrossRef] [PubMed]
- NIH. NCI Dictionary of Cancer Terms. Available online: https://www.cancer.gov/publications/dictionaries/cancer-terms (accessed on 21 February 2020).
- Beaumont, K.; Chilton, W.S.; Yamamura, H.I.; Enna, S.J. Muscimol binding in rat brain: Association with synaptic GABA receptors. Brain Res. 1978, 148, 153–162. [Google Scholar] [CrossRef]
- Andrews, P.R.; Johnston, G.A.R. Gaba agonists and antagonists. Biochem. Pharmacol. 1979, 28, 2697–2702. [Google Scholar] [CrossRef]
- Johnston, G.A.R. Advantages of an antagonist: Bicuculline and other GABA antagonists. Br. J. Pharmacol. 2013, 169, 328–336. [Google Scholar] [CrossRef]
- Belelli, D.; Lambert, J.J. Neurosteroids: Endogenous regulators of the GABAA receptor. Nat. Rev. Neurosci. 2005, 6, 565–575. [Google Scholar] [CrossRef]
- Lambert, J.J.; Belelli, D.; Peden, D.R.; Vardy, A.W.; Peters, J.A. Neurosteroid modulation of GABAA receptors. Prog. Neurobiol. 2003, 71, 67–80. [Google Scholar] [CrossRef]
- Uwai, K.; Ohashi, K.; Takaya, Y.; Ohta, T.; Tadano, T.; Kisara, K.; Shibusawa, K.; Sakakibara, R.; Oshima, Y. Exploring the Structural Basis of Neurotoxicity in C17-Polyacetylenes Isolated from Water Hemlock. J. Med. Chem. 2000, 43, 4508–4515. [Google Scholar] [CrossRef]
- Rudolph, U.; Möhler, H. GABA-based therapeutic approaches: GABAA receptor subtype functions. Curr. Opin. Pharmacol. 2006, 6, 18–23. [Google Scholar] [CrossRef]
- Benkherouf, A.Y.; Taina, K.-R.; Meera, P.; Aalto, A.J.; Li, X.-G.; Soini, S.L.; Wallner, M.; Uusi-Oukari, M. Extrasynaptic δ-GABAA receptors are high-affinity muscimol receptors. J. Neurochem. 2019, 149, 41–53. [Google Scholar] [CrossRef]
- Korpi, E.R.; Wong, G.; Luddens, H. Subtype specificity of gamma-aminobutyric acid type A receptor antagonism by clozapine. Naunyn Schmiedebergs Arch. Pharmacol. 1995, 352, 365–373. [Google Scholar] [CrossRef] [PubMed]
- Rudolph, U.; Möhler, H. GABAA receptor subtypes: Therapeutic potential in Down syndrome, affective disorders, schizophrenia, and autism. Annu. Rev. Pharmacol. Toxicol. 2014, 54, 483–507. [Google Scholar] [CrossRef] [PubMed]
- Hulsman, N.; Hollmann, M.W.; Preckel, B. Newer propofol, ketamine, and etomidate derivatives and delivery systems relevant to anesthesia practice. Best Pract. Res. Clin. Anaesthesiol. 2018, 32, 213–221. [Google Scholar] [CrossRef] [PubMed]
- Antkowiak, B.; Rammes, G. GABA(A) receptor-targeted drug development -New perspectives in perioperative anesthesia. Expert Opin. Drug Discov. 2019, 14, 683–699. [Google Scholar] [CrossRef] [PubMed]
- Feng, A.Y.; Kaye, A.D.; Kaye, R.J.; Belani, K.; Urman, R.D. Novel propofol derivatives and implications for anesthesia practice. J. Anaesthesiol. Clin. Pharmacol. 2017, 33, 9–15. [Google Scholar] [CrossRef] [PubMed]
- Sahinovic, M.M.; Struys, M.M.R.F.; Absalom, A.R. Clinical Pharmacokinetics and Pharmacodynamics of Propofol. Clin. Pharm. 2018, 57, 1539–1558. [Google Scholar] [CrossRef]
- Ebert, T. Sympathetic and Hemodynamic Effects of Moderate and Deep Sedation with Propofol in Humans. Anesthesiology 2005, 103, 20–24. [Google Scholar] [CrossRef]
- Blouin, R.T.; Seifert, H.A.; Babenco, H.D.; Conard, P.F.; Gross, J.B. Propofol Depresses the Hypoxic Ventilatory Response during Conscious Sedation and Isohypercapnia. Anesthesiology 1993, 79, 1177–1182. [Google Scholar] [CrossRef]
- Malapero, R.J.; Zaccagnino, M.P.; Brovman, E.Y.; Kaye, A.D.; Urman, R.D. Etomidate derivatives: Novel pharmaceutical agents in anesthesia. J. Anaesthesiol. Clin. Pharmacol. 2017, 33, 429–431. [Google Scholar] [CrossRef]
- Spence, J.; Belley-Côté, E.; Devereaux, P.J.; Whitlock, R.; Um, K.; McClure, G.; Lamy, A.; LeManach, Y.; Connolly, S.; Syed, S. Benzodiazepine administration during adult cardiac surgery: A survey of current practice among Canadian anesthesiologists working in academic centres. Can. J. Anesth. 2018, 65, 263–271. [Google Scholar] [CrossRef]
- Swann, A.; Williams, J.; Fatovich, D.M. Recall after procedural sedation in the emergency department. Emerg. Med. J. 2007, 24, 322–324. [Google Scholar] [CrossRef] [PubMed]
- Schwartz, T.L.; Goradia, V. Managing insomnia: An overview of insomnia and pharmacologic treatment strategies in use and on the horizon. Drugs Context 2013, 2013, 1–10. [Google Scholar] [CrossRef] [PubMed]
- Donoghue, J.; Lader, M. Usage of benzodiazepines: A review. Int. J. Psychiatry Clin. Pract. 2010, 14, 78–87. [Google Scholar] [CrossRef] [PubMed]
- Dundar, Y.; Boland, A.; Strobl, J.; Dodd, S.; Haycox, A.; Bagust, A.; Bogg, J.; Dickson, R.; Walley, T. Newer hypnotic drugs for the short-term management of insomnia: A systematic review and economic evaluation. Health Technol. Assess. 2004, 8, 1–125. [Google Scholar] [CrossRef]
- Hu, Z.; Oh, S.; Ha, T.-W.; Hong, J.-T.; Oh, K.-W. Sleep-Aids Derived from Natural Products. Biomol. Ther. 2018, 26, 343–349. [Google Scholar] [CrossRef]
- Glauser, T.; Shinnar, S.; Gloss, D.; Alldredge, B.; Arya, R.; Bainbridge, J.; Bare, M.; Bleck, T.; Dodson, W.E.; Garrity, L.; et al. Evidence-Based Guideline: Treatment of Convulsive Status Epilepticus in Children and Adults: Report of the Guideline Committee of the American Epilepsy Society. Epilepsy Curr. 2016, 16, 48–61. [Google Scholar] [CrossRef]
- Sheriff, F.G.; Hinson, H.E. Pathophysiology and clinical management of moderate and severe traumatic brain injury in the ICU. Semin. Neurol. 2015, 35, 42–49. [Google Scholar] [CrossRef]
- Andersson, J.D.; Halldin, C. PET radioligands targeting the brain GABAA/benzodiazepine receptor complex. J. Label. Compd. Radiopharm. 2013, 56, 196–206. [Google Scholar] [CrossRef]
- Forman, S.A. Clinical and Molecular Pharmacology of Etomidate. Anesthesiology 2011, 114, 695–707. [Google Scholar] [CrossRef]
- Sneyd, J.R. Novel Etomidate Derivatives. Curr. Pharm. Des. 2012, 18, 6253–6256. [Google Scholar] [CrossRef]
- Raines, D.E. The Pharmacology of Etomidate and Etomidate Derivatives. Int. Anesthesiol. Clin. 2015, 53, 63–75. [Google Scholar] [CrossRef] [PubMed]
- Manjathuru, M.M.; Anil, N.; Derambala, Y.; Vasudeva, P.K.; Arulmoli, T. A Process for Preparation of Etomidate. IN4309CHE2011. 11 December 2011. [Google Scholar]
- Godefroi, E.F.; Eijcken, C.A.M. Imidazole Carboxylates. U.S. Patent US3354173, 21 November 1967. [Google Scholar]
- Laha, J.K.; Cuny, G.D. Synthesis of Fused Imidazoles, Pyrroles, and Indoles with a Defined Stereocenter α to Nitrogen Utilizing Mitsunobu Alkylation Followed by Palladium-Catalyzed Cyclization. J. Org. Chem. 2011, 76, 8477–8482. [Google Scholar] [CrossRef] [PubMed]
- Husain, S.S.; Ziebell, M.R.; Ruesch, D.; Hong, F.; Arevalo, E.; Kosterlitz, J.A.; Olsen, R.W.; Forman, S.A.; Cohen, J.B.; Miller, K.W. 2-(3-Methyl-3H-diaziren-3-yl)ethyl 1-(1-phenylethyl)-1H-imidazole-5-carboxylate: A Derivative of the Stereoselective General Anesthetic Etomidate for Photolabeling Ligand-Gated Ion Channels. J. Med. Chem. 2003, 46, 1257–1265. [Google Scholar] [CrossRef] [PubMed]
- Husain, S.S.; Pejo, E.; Ge, R.; Raines, D.E. Modifying Methoxycarbonyl Etomidate Inter-Ester Spacer Optimizes In Vitro Metabolic Stability and In Vivo Hypnotic Potency and Duration of Action. Anesthesiology 2012, 117, 1027–1036. [Google Scholar] [CrossRef] [PubMed]
- Pejo, E.; Santer, P.; Jeffrey, S.; Gallin, H.; Husain, S.S.; Raines, D.E. Analogues of Etomidate: Modifications around Etomidate’s Chiral Carbon and the Impact on In Vitro and In Vivo Pharmacology. Anesthesiology 2014, 121, 290–301. [Google Scholar] [CrossRef] [PubMed]
- Sanna, E.; Murgia, A.; Casula, A.; Usala, M.; Maciocco, E.; Tuligi, G.; Biggio, G. Direct Activation of GABAA Receptors by Loreclezole, an Anticonvulsant Drug with Selectivity for the β-Subunit. Neuropharmacology 1996, 35, 1753–1760. [Google Scholar] [CrossRef]
- Wingrove, P.B.; Wafford, K.A.; Bain, C.; Whiting, P.J. The modulatory action of loreclezole at the gamma-aminobutyric acid type A receptor is determined by a single amino acid in the beta 2 and beta 3 subunit. Proc. Natl. Acad. Sci. 1994, 91, 4569–4573. [Google Scholar] [CrossRef]
- Heeres, J. 1-(2-Aryl-2-halo-1-ethenyl)-1H-azoles. EP0142190. 22 May 1985. [Google Scholar]
- Lebouvier, N.; Giraud, F.; Corbin, T.; Na, Y.M.; Le Baut, G.; Marchand, P.; Le Borgne, M. Efficient microwave-assisted synthesis of 1-(1H-indol-1-yl)-2-phenyl-3-(1H-1,2,4-triazol-1-yl)propan-2-ols as antifungal agents. Tetrahedron Lett. 2006, 47, 6479–6483. [Google Scholar] [CrossRef]
- Karakurt, A.; Özalp, M.; Işık, Ş.; Stables, J.P.; Dalkara, S. Synthesis, anticonvulsant and antimicrobial activities of some new 2-acetylnaphthalene derivatives. Bioorganic Med. Chem. 2010, 18, 2902–2911. [Google Scholar] [CrossRef]
- Immediata, T.; Day, A.R. β-Naphtyl Derivatives of Ethanolamine and N-Substituted Ethanolamines. J. Org. Chem. 1940, 5, 512–527. [Google Scholar] [CrossRef]
- Nardi, D.; Tajana, A.; Leonardi, A.; Pennini, R.; Portioli, F.; Magistretti, M.J.; Subissi, A. Synthesis and anticonvulsant activity of N-(benzoylalkyl)imidazoles and N-(.omega.-phenyl-.omega.-hydroxyalkyl)imidazoles. J. Med. Chem. 1981, 24, 727–731. [Google Scholar] [CrossRef] [PubMed]
- Vardanyan, R.S.; Hruby, V.J. 4 - Soporific Agents (Hypnotics and Sedative Drugs). In Synthesis of Essential Drugs; Vardanyan, R.S., Hruby, V.J., Eds.; Elsevier: Amsterdam, The Netherlands, 2006; pp. 57–68. [Google Scholar]
- Löscher, W.; Rogawski, M.A. How theories evolved concerning the mechanism of action of barbiturates. Epilepsia 2012, 53, 12–25. [Google Scholar] [CrossRef] [PubMed]
- Katsamakas, S.; Papadopoulos, A.G.; Kouskoura, M.G.; Markopoulou, C.K.; Hadjipavlou-Litina, D. Examining barbiturate scaffold for the synthesis of new agents with biological interest. Futur. Med. Chem. 2019, 11, 2063–2079. [Google Scholar] [CrossRef] [PubMed]
- Lager, E.; Andersson, P.; Nilsson, J.; Pettersson, I.; Nielsen, E.Ø.; Nielsen, M.; Sterner, O.; Liljefors, T. 4-Quinolone Derivatives: High-Affinity Ligands at the Benzodiazepine Site of Brain GABAA Receptors. Synthesis, Pharmacology, and Pharmacophore Modeling. J. Med. Chem. 2006, 49, 2526–2533. [Google Scholar] [CrossRef] [PubMed]
- Gaeta, A.; Woodcraft, J.; Plant, S.; Goggi, J.; Jones, P.; Battle, M.; Trigg, W.; Luthra, S.K.; Glaser, M. Use of 2-[18F]fluoroethylazide for the Staudinger ligation—Preparation and characterisation of GABAA receptor binding 4-quinolones. Bioorg. Med. Chem. Lett. 2010, 20, 4649–4652. [Google Scholar] [CrossRef] [PubMed]
- Mokrov, G.V.; Voronina, T.A.; Litvinova, S.A.; Kovalev, I.G.; Nerobkova, L.N.; Durnev, A.D.; Gudasheva, T.A.; Seredenin, S.B. Synthesis and Anticonvulsant Activity of 4-Amino-3-Nitro-1-Thiocoumarins and 4-Amino-3-Nitroquinolin-2-Ones. Pharm. Chem. J. 2019, 53, 194–200. [Google Scholar] [CrossRef]
- Da Settimo, A.; Primofiore, G.; Marini, A.M.; Ferrarini, P.L.; Franzone, J.; Cirillo, R.; Reboani, M.C. N-(Indol-3-ylglyoxylyl)methionine derivatives: Preparation and gastric anti-secretory activity. Eur. J. Med. Chem. 1988, 23, 21–24. [Google Scholar] [CrossRef]
- Da Settimo, A.; Primofiore, G.; Da Settimo, F.; Marini, A.M.; Novellino, E.; Greco, G.; Gesi, M.; Martini, C.; Giannaccini, G.; Lucacchini, A. N‘-Phenylindol-3-ylglyoxylohydrazide Derivatives: Synthesis, Structure−Activity Relationships, Molecular Modeling Studies, and Pharmacological Action on Brain Benzodiazepine Receptors. J. Med. Chem. 1998, 41, 3821–3830. [Google Scholar] [CrossRef]
- Primofiore, G.; Taliani, S.; Da Settimo, F.; Marini, A.M.; La Motta, C.; Simorini, F.; Patrizi, M.P.; Sergianni, V.; Novellino, E.; Greco, G.; et al. Novel N-Substituted Indol-3-ylglyoxylamides Probing the LDi and L1/L2 Lipophilic Regions of the Benzodiazepine Receptor Site in Search for Subtype-Selective Ligands. J. Med. Chem. 2007, 50, 1627–1634. [Google Scholar] [CrossRef]
- Naaz, F.; Preeti Pallavi, M.C.; Shafi, S.; Mulakayala, N.; Shahar Yar, M.; Sampath Kumar, H.M. 1,2,3-triazole tethered Indole-3-glyoxamide derivatives as multiple inhibitors of 5-LOX, COX-2 & tubulin: Their anti-proliferative & anti-inflammatory activity. Bioorg. Chem. 2018, 81, 1–20. [Google Scholar] [CrossRef]
- Fukuda, Y.; Ichimaru, Y.; Teuber, L.; Waetjen, F. Benzimidazole Compounds, Pharmaceutical Compositions Containing the Compounds and Their Use. WO9919323. 22 April 1999. [Google Scholar]
- Mirza, N.R.; Larsen, J.S.; Mathiasen, C.; Jacobsen, T.A.; Munro, G.; Erichsen, H.K.; Nielsen, A.N.; Troelsen, K.B.; Nielsen, E.Ø.; Ahring, P.K. NS11394 [3′-[5-(1-Hydroxy-1-methyl-ethyl)-benzoimidazol-1-yl]-biphenyl-2-carbonitrile], a Unique Subtype-Selective GABAA Receptor Positive Allosteric Modulator: In Vitro Actions, Pharmacokinetic Properties and in Vivo Anxiolytic Efficacy. J. Pharmacol. Exp. Ther. 2008, 327, 954–968. [Google Scholar] [CrossRef] [PubMed]
- de Lucas, A.G.; Ahring, P.K.; Larsen, J.S.; Rivera-Arconada, I.; Lopez-Garcia, J.A.; Mirza, N.R.; Munro, G. GABAA α5 subunit-containing receptors do not contribute to reversal of inflammatory-induced spinal sensitization as indicated by the unique selectivity profile of the GABAA receptor allosteric modulator NS16085. Biochem. Pharmacol. 2015, 93, 370–379. [Google Scholar] [CrossRef] [PubMed]
- John, R.A. Anxioselective Compounds Acting at the GABAA Receptor Benzodiazepine Binding Site. Curr. Drug Targets CNS Neurol. Disord. 2003, 2, 213–232. [Google Scholar] [CrossRef]
- Larsen, J.S.; Teuber, L.; Ahring, P.K.; Nielsen, E.O.; Mirza, N. Benzimidazole Derivatives and Their Use for Modulating the Gabaa Receptor Complex. WO2007110374. 4 October 2007. [Google Scholar]
- Liu, J.F.; Harbeson, S.L. Subsitituted Benzimidazoles. WO2011047315. 21 April 2011. [Google Scholar]
- Teuber, L.; Waetjen, F.; Fukuda, Y.; Ushiroda, O.; Sasaki, T. Benzimidazole Compounds and Their Use as Modulators of the Gabaa Receptor Complex. WO9633191. 24 October 1996. [Google Scholar]
- Guzzo, P.R. GABAA Receptor Agonists for Insomnia: Zolpidem (Ambien®), Zaleplon (Sonata®), Eszopiclone (Estorra®, Lunesta®), and Indiplon. In The Art of Drug Synthesis; John Wiley & Sons, Inc.: Hoboken, NJ, USA, 2007; pp. 215–223. [Google Scholar]
- Ciraulo, D.A.; Oldham, M. Chapter Sixteen—Sedative Hypnotics. In The Effects of Drug Abuse on the Human Nervous System; Madras, B., Kuhar, M., Eds.; Academic Press: Boston, MA, USA, 2014; pp. 499–532. [Google Scholar]
- Langtry, H.D.; Benfield, P. Zolpidem. Drugs 1990, 40, 291–313. [Google Scholar] [CrossRef]
- Holm, K.J.; Goa, K.L. Zolpidem. Drugs 2000, 59, 865–889. [Google Scholar] [CrossRef]
- Patil, S.S.; Patil, S.V.; Bobade, V.D. An Efficient Synthesis of Zolpidem. Org. Prep. Proced. Int. 2011, 43, 260–264. [Google Scholar] [CrossRef]
- Albright, J.D.; Dusza, J.P.; Tomcufcik, A.S. [7-(3-disubstituted amino)phenyl]pyrazolo[1,5-a]pyrimidines. US4626538. 2 December 1986. [Google Scholar]
- Katritzky, A.R.; Xu, Y.-J.; Tu, H. Regiospecific Synthesis of 3-Substituted Imidazo[1–a]pyridines, Imidazo[1,2-a]pyrimidines, and Imidazo[1,2-c]pyrimidine. J. Org. Chem. 2003, 68, 4935–4937. [Google Scholar] [CrossRef]
- Bernardon, J.-M.; George, P.; Kaplan, J.-P. Therapeutically Useful Imidazo[1,2-a]Pyridine Derivatives. US4492695. 8 January 1985. [Google Scholar]
- Eswaraiah, P.; Chakravarthy, I.E.; Prasada Rao, D.E.; Rajendiran, C. A novel and efficient process for the preparation of zolpidem, an insomnia drug. J. Chem. Pharm. Res. 2016, 8, 1162–1166. [Google Scholar]
- John, R.A. GABAA Receptor Subtype-Selective Modulators. I. a2/a3-Selective Agonists as Non-Sedating Anxiolytics. Curr. Top. Med. Chem. 2011, 11, 1176–1202. [Google Scholar] [CrossRef]
- Dias, R.; Sheppard, W.F.A.; Fradley, R.L.; Garrett, E.M.; Stanley, J.L.; Tye, S.J.; Goodacre, S.; Lincoln, R.J.; Cook, S.M.; Conley, R.; et al. Evidence for a Significant Role of α3-Containing GABAA Receptors in Mediating the Anxiolytic Effects of Benzodiazepines. J. Neurosci. 2005, 25, 10682–10688. [Google Scholar] [CrossRef]
- Neumann, E.; Ralvenius, W.T.; Acuña, M.A.; Rudolph, U.; Zeilhofer, H.U. TP003 is a non-selective benzodiazepine site agonist that induces anxiolysis via α2GABAA receptors. Neuropharmacology 2018, 143, 71–78. [Google Scholar] [CrossRef]
- Goodacre, S.C.; Hallett, D.J.; Humphries, A.C.; Jones, P.; Kelly, S.M.; Merchant, K.J.; Moore, K.W.; Reader, M. Imidazo-Pyridine Derivatives as Ligands for GABA Receptors. WO03099816. 4 December 2003. [Google Scholar]
- Humphries, A.C.; Gancia, E.; Gilligan, M.T.; Goodacre, S.; Hallett, D.; Merchant, K.J.; Thomas, S.R. 8-Fluoroimidazo[1,2-a]pyridine: Synthesis, physicochemical properties and evaluation as a bioisosteric replacement for imidazo[1,2-a]pyrimidine in an allosteric modulator ligand of the GABAA receptor. Bioorg. Med. Chem. Lett. 2006, 16, 1518–1522. [Google Scholar] [CrossRef] [PubMed]
- Wafford, K.A.; van Niel, M.B.; Ma, Q.P.; Horridge, E.; Herd, M.B.; Peden, D.R.; Belelli, D.; Lambert, J.J. Novel compounds selectively enhance δ subunit containing GABAA receptors and increase tonic currents in thalamus. Neuropharmacology 2009, 56, 182–189. [Google Scholar] [CrossRef] [PubMed]
- Jensen, M.; Wafford, K.; Brown, A.; Belelli, D.; Lambert, J.; Mirza, N. A study of subunit selectivity, mechanism and site of action of the delta selective compound 2 (DS2) at human recombinant and rodent native GABAA receptors. Br. J. Pharmacol. 2013, 168, 1118–1132. [Google Scholar] [CrossRef] [PubMed]
- Lee, H.J.; Absalom, N.L.; Hanrahan, J.R.; van Nieuwenhuijzen, P.; Ahring, P.K.; Chebib, M. A pharmacological characterization of GABA, THIP and DS2 at binary α4β3 and β3δ receptors: GABA activates β3δ receptors via the β3(+)δ(−) interface. Brain Res. 2016, 1644, 222–230. [Google Scholar] [CrossRef] [PubMed]
- Ahring, P.K.; Bang, L.H.; Jensen, M.L.; Strøbæk, D.; Hartiadi, L.Y.; Chebib, M.; Absalom, N. A pharmacological assessment of agonists and modulators at α4β2γ2 and α4β2δ GABAA receptors: The challenge in comparing apples with oranges. Pharmacol. Res. 2016, 111, 563–576. [Google Scholar] [CrossRef]
- Yakoub, K.; Jung, S.; Sattler, C.; Damerow, H.; Weber, J.; Kretzschmann, A.; Cankaya, A.S.; Piel, M.; Rösch, F.; Haugaard, A.S.; et al. Structure–Function Evaluation of Imidazopyridine Derivatives Selective for δ-Subunit-Containing γ-Aminobutyric Acid Type A (GABAA) Receptors. J. Med. Chem. 2018, 61, 1951–1968. [Google Scholar] [CrossRef]
- Sternbach, L.H. The benzodiazepine story. In Progress in Drug Research / Fortschritte der Arzneimittelforschung / Progrès des Recherches Pharmaceutiques; Jucker, E., Ed.; Birkhäuser Basel: Basel, Switzerland, 1978; pp. 229–266. [Google Scholar]
- Elisabet Batlle, E.L.; Miquel, V.; Maria, D.P. 1,4-Benzodiazepines and New Derivatives: Description, Analysis, and Organic Synthesis; IntechOpen: London, UK, 2018. [Google Scholar]
- Massah, A.R.; Gharaghani, S.; Lordejani, H.A.; Asakere, N. New and mild method for the synthesis of alprazolam and diazepam and computational study of their binding mode to GABAA receptor. Med. Chem. Res. 2016, 25, 1538–1550. [Google Scholar] [CrossRef]
- Babin, P.; Devaux, G. An easy laboratory route to nitrazepam. J. Chem. Educ. 1989, 66, 522. [Google Scholar] [CrossRef]
- Li, G.; Golani, L.K.; Jahan, R.; Rashid, F.; Cook, J.M. Improved Synthesis of Anxiolytic, Anticonvulsant, and Antinociceptive α2/α3-GABA(A)-ergic Receptor Subtype Selective Ligands as Promising Agents to Treat Anxiety, Epilepsy, and Neuropathic Pain. Synthesis 2018, 50, 4124–4132. [Google Scholar] [CrossRef]
- Bell, S.C.; Childress, S.J. A Rearrangement of 5-Aryl-1,3-dihydro-2H-1,4-benzodiazepine-2-one 4-Oxides1. J. Org. Chem. 1962, 27, 1691–1695. [Google Scholar] [CrossRef]
- Feng, X.; Fu, L.; Liao, J.; Liu, Y.; Zeng, J. Improved Preparation Method of 7-chlorin-5-phenyl-1,3-dihydro-2H-1,4-benzodiazepine-2-keto-4-oxide. CN104961692A, 7 October 2015. [Google Scholar]
- Köves, G.J. Synthesis of deuterium labelled lorazepam. J. Label. Compd. Radiopharm. 1991, 29, 15–22. [Google Scholar] [CrossRef]
- Cepanec, I.; Litvić, M.; Pogorelić, I. Efficient Synthesis of 3-Hydroxy-1,4-benzodiazepines Oxazepam and Lorazepam by New Acetoxylation Reaction of 3-Position of 1,4-Benzodiazepine Ring. Org. Process. Res. Dev. 2006, 10, 1192–1198. [Google Scholar] [CrossRef]
- Kovač, T.; Oklobdžija, M.; Šunjić, V.; Kajfež, F. Comparative study on the preparation of C(3)-hydroxy-1,3-dihydro-2H-1,4-benzodiazepin-2-ones. J. Heterocycl. Chem. 1979, 16, 1449–1454. [Google Scholar] [CrossRef]
- Walser, A.; Benjamin, L.E.; Flynn, T.; Mason, C.; Schwartz, R.; Fryer, R.I. Quinazolines and 1,4-benzodiazepines. 84. Synthesis and reactions of imidazo[1,5-a][1,4]benzodiazepines. J. Org. Chem. 1978, 43, 936–944. [Google Scholar] [CrossRef]
- Lingamchetty, T.N.; Saadabadi, A. Midazolam. Available online: https://www.ncbi.nlm.nih.gov/books/NBK537321/ (accessed on 21 February 2020).
- Taghizadeh, M.J.; Malakpouri, G.R.; Javidan, A. Improved and scalable methods for the synthesis of midazolam drug and its analogues using isocyanide reagents. J. Iran. Chem. Soc. 2019, 16, 785–794. [Google Scholar] [CrossRef]
- Silverman, R.B.; Holladay, M.W. Chapter 9—Prodrugs and Drug Delivery Systems. In The Organic Chemistry of Drug Design and Drug Action (Third Edition); Silverman, R.B., Holladay, M.W., Eds.; Academic Press: Boston, MA, USA, 2014; pp. 423–468. [Google Scholar]
- Sharp, P.P.; Garnier, J.-M.; Hatfaludi, T.; Xu, Z.; Segal, D.; Jarman, K.E.; Jousset, H.; Garnham, A.; Feutrill, J.T.; Cuzzupe, A.; et al. Design, Synthesis, and Biological Activity of 1,2,3-Triazolobenzodiazepine BET Bromodomain Inhibitors. ACS Med. Chem. Lett. 2017, 8, 1298–1303. [Google Scholar] [CrossRef]
- Granger, B.A.; Kaneda, K.; Martin, S.F. Multicomponent Assembly Strategies for the Synthesis of Diverse Tetrahydroisoquinoline Scaffolds. Org. Lett. 2011, 13, 4542–4545. [Google Scholar] [CrossRef]
- Sunderhaus, J.D.; Dockendorff, C.; Martin, S.F. Applications of Multicomponent Reactions for the Synthesis of Diverse Heterocyclic Scaffolds. Org. Lett. 2007, 9, 4223–4226. [Google Scholar] [CrossRef]
- Donald, J.R.; Wood, R.R.; Martin, S.F. Application of a Sequential Multicomponent Assembly Process/Huisgen Cycloaddition Strategy to the Preparation of Libraries of 1,2,3-Triazole-Fused 1,4-Benzodiazepines. ACS Comb. Sci. 2012, 14, 135–143. [Google Scholar] [CrossRef]
- Donald, J.R.; Martin, S.F. Synthesis and Diversification of 1,2,3-Triazole-Fused 1,4-Benzodiazepine Scaffolds. Org. Lett. 2011, 13, 852–855. [Google Scholar] [CrossRef] [PubMed]
- Gracias, V.; Darczak, D.; Gasiecki, A.F.; Djuric, S.W. Synthesis of fused triazolo-imidazole derivatives by sequential van Leusen/alkyne–azide cycloaddition reactions. Tetrahedron Lett. 2005, 46, 9053–9056. [Google Scholar] [CrossRef]
- Nguyen, H.H.; Palazzo, T.A.; Kurth, M.J. Facile One-Pot Assembly of Imidazotriazolobenzodiazepines via Indium(III)-Catalyzed Multicomponent Reactions. Org. Lett. 2013, 15, 4492–4495. [Google Scholar] [CrossRef]
- Ma, X.; Zhang, X.; Qiu, W.; Zhang, W.; Wan, B.; Evans, J.; Zhang, W. One-Pot Synthesis of Triazolobenzodiazepines Through Decarboxylative [3 + 2] Cycloaddition of Nonstabilized Azomethine Ylides and Cu-Free Click Reactions. Molecules 2019, 24, 601. [Google Scholar] [CrossRef] [PubMed]
- Vanover, K.E.; Mangano, R.M.; Barrett, J.E. CL 284,846, a novel sedative-hypnotic: Evaluation of its metabolites for pharmacological activity in vitro and in vivo. Drug Dev. Res. 1994, 33, 39–45. [Google Scholar] [CrossRef]
- Hurst, M.; Noble, S. Zaleplon. CNS Drugs 1999, 11, 387–392. [Google Scholar] [CrossRef]
- Rádl, S.; Blahovcová, M.; Plaček, L.; Pekárek, T.; Havlíček, J. Synthesis of some impurities and/or degradation products of zaleplon. J. Heterocycl. Chem. 2010, 47, 276–283. [Google Scholar] [CrossRef]
- Lemon, M.D.; Strain, J.D.; Hegg, A.M.; Farver, D.K. Indiplon in the management of insomnia. Drug Des. Dev. Ther. 2009, 3, 131–142. [Google Scholar] [CrossRef]
- Selleri, S.; Bruni, F.; Costagli, C.; Costanzo, A.; Guerrini, G.; Ciciani, G.; Gratteri, P.; Bonaccini, C.; Malmberg Aiello, P.; Besnard, F.; et al. Synthesis and Benzodiazepine Receptor Affinity of Pyrazolo[1,5-a]pyrimidine Derivatives. 3. New 6-(3-Thienyl) Series as α1 Selective Ligands. J. Med. Chem. 2003, 46, 310–313. [Google Scholar] [CrossRef]
- Guerrini, G.; Ciciani, G.; Daniele, S.; Di Cesare Mannelli, L.; Ghelardini, C.; Martini, C.; Selleri, S. Synthesis and pharmacological evaluation of pyrazolo[1,5-a]pyrimidin-7(4H)-one derivatives as potential GABAA-R ligands. Bioorg. Med. Chem. 2017, 25, 1901–1906. [Google Scholar] [CrossRef]
- Selleri, S.; Bruni, F.; Costagli, C.; Costanzo, A.; Guerrini, G.; Ciciani, G.; Costa, B.; Martini, C. Synthesis and BZR affinity of pyrazolo[1,5-a]pyrimidine derivatives. Part 1: Study of the structural features for BZR recognition. Bioorg. Med. Chem. 1999, 7, 2705–2711. [Google Scholar] [CrossRef]
- Liang, L.; Huang, Y.; Xu, R.; Wei, Y.; Xiao, L.; Wang, G. Eszopiclone for the treatment of primary insomnia: A systematic review and meta-analysis of double-blind, randomized, placebo-controlled trials. Sleep Med. 2019, 62, 6–13. [Google Scholar] [CrossRef]
- Cotrel, C.; Gerard, R. Optically Active 5H-pyrrolo[3, 4-B]Pyrazine Derivative, Its Preparation and Pharmaceutical Compositions Containing It. US6319926. 20 November 2001. [Google Scholar]
- Cotrel, C.; Val-de-Marne; Jeanmart, C.; Messer, M.N. Pyrrolo[3,4-b]Pyrazine Derivatives. US3862149. 21 January 1975. [Google Scholar]
- Chinta, R.R.; Jambula, M.R.; Mandava, V.N.B.R.; Sreenadhacharyulu, K. Eszopiclone Process. US20070054914. 8 March 2007. [Google Scholar]
- Mainfeld, A.; Mendelovici, M. Process for the Preparation of Zopiclone. US20080015197. 17 January 2008. [Google Scholar]
- Calyx Chemicals and Pharmaceuticals, P.L. Improved Process for Zopiclone Synthesis. IN2007DE02778. 14 June 2004. [Google Scholar]
- Guerrini, G.; Ciciani, G.; Daniele, S.; Martini, C.; Costagli, C.; Guarino, C.; Selleri, S. A new class of pyrazolo[5,1-c][1,2,4]triazines as γ-aminobutyric type A (GABAA) receptor subtype ligand: Synthesis and pharmacological evaluation. Bioorg. Med. Chem. 2018, 26, 2475–2487. [Google Scholar] [CrossRef] [PubMed]
- Atack, J.R.; Maubach, K.A.; Wafford, K.A.; O’Connor, D.; Rodrigues, A.D.; Evans, D.C.; Tattersall, F.D.; Chambers, M.S.; MacLeod, A.M.; Eng, W.-S.; et al. In Vitro and in Vivo Properties of 3-tert-Butyl-7-(5-methylisoxazol-3-yl)-2-(1-methyl-1H-1,2,4-triazol-5-ylmethoxy)-pyrazolo[1,5-d]-[1,2,4]triazine (MRK-016), a GABAA Receptor α5 Subtype-Selective Inverse Agonist. J. Pharmacol. Exp. Ther. 2009, 331, 470–484. [Google Scholar] [CrossRef] [PubMed]
- Chambers, M.S.; Atack, J.R.; Carling, R.W.; Collinson, N.; Cook, S.M.; Dawson, G.R.; Ferris, P.; Hobbs, S.C.; O’Connor, D.; Marshall, G.; et al. An Orally Bioavailable, Functionally Selective Inverse Agonist at the Benzodiazepine Site of GABAA α5 Receptors with Cognition Enhancing Properties. J. Med. Chem. 2004, 47, 5829–5832. [Google Scholar] [CrossRef]
- Atack, J.R. GABAA Receptor α2/α3 Subtype-Selective Modulators as Potential Nonsedating Anxiolytics. In Behavioral Neurobiology of Anxiety and Its Treatment; Stein, M.B., Steckler, T., Eds.; Springer: Berlin/Heidelberg, Germany, 2010; pp. 331–360. [Google Scholar]
- Skolnick, P. Anxioselective anxiolytics: On a quest for the Holy Grail. Trends Pharm. Sci. 2012, 33, 611–620. [Google Scholar] [CrossRef]
- Atack, J.; Wafford, K.; Street, L.; Dawson, G.; Tye, S.; Van Laere, K.; Bormans, G.; Sanabria-Bohórquez, S.; De Lepeleire, I.; de Hoon, J.; et al. MRK-409 (MK-0343), a GABAA receptor subtype-selective partial agonist, is a non-sedating anxiolytic in preclinical species but causes sedation in humans. J. Psychopharmacol. 2010, 25, 314–328. [Google Scholar] [CrossRef]
- Carling, R.W.; Madin, A.; Guiblin, A.; Russell, M.G.N.; Moore, K.W.; Mitchinson, A.; Sohal, B.; Pike, A.; Cook, S.M.; Ragan, I.C.; et al. 7-(1,1-Dimethylethyl)-6-(2-ethyl-2H-1,2,4- triazol-3-ylmethoxy)-3-(2-fluorophenyl)- 1,2,4-triazolo[4,3-b]pyridazine: A Functionally Selective γ-Aminobutyric AcidA (GABAA) α2/α3-Subtype Selective Agonist That Exhibits Potent Anxiolytic Activity but Is Not Sedating in Animal Models. J. Med. Chem. 2005, 48, 7089–7092. [Google Scholar] [CrossRef]
- Broughton, H.B.; Carling, W.R.; Castro, P.J.L.; Guiblin, A.R.; Madin, A.; Moore, K.W.; Russell, M.G.; Street, L.J. Substituted Triazolo-Pyridazine Derivatives as Ligands for GABA Receptors. EP0915875. 19 May 1999. [Google Scholar]
- Yin, W.; Majumder, S.; Clayton, T.; Petrou, S.; VanLinn, M.L.; Namjoshi, O.A.; Ma, C.; Cromer, B.A.; Roth, B.L.; Platt, D.M.; et al. Design, synthesis, and subtype selectivity of 3,6-disubstituted β-carbolines at Bz/GABA(A)ergic receptors. SAR and studies directed toward agents for treatment of alcohol abuse. Bioorg. Med. Chem. 2010, 18, 7548–7564. [Google Scholar] [CrossRef]
- Namjoshi, O.A.; Gryboski, A.; Fonseca, G.O.; Van Linn, M.L.; Wang, Z.-J.; Deschamps, J.R.; Cook, J.M. Development of a Two-Step Route to 3-PBC and βCCt, Two Agents Active against Alcohol Self-Administration in Rodent and Primate Models. J. Org. Chem. 2011, 76, 4721–4727. [Google Scholar] [CrossRef][Green Version]
- Yokoyama, N.; Ritter, B.; Neubert, A.D. 2-Arylpyrazolo[4,3-c]quinolin-3-ones: A novel agonist, a partial agonist and an antagonist of benzodiazepines. J. Med. Chem. 1982, 25, 337–339. [Google Scholar] [CrossRef] [PubMed]
- Varagic, Z.; Wimmer, L.; Schnürch, M.; Mihovilovic, M.D.; Huang, S.; Rallapalli, S.; Cook, J.M.; Mirheydari, P.; Ecker, G.F.; Sieghart, W.; et al. Identification of novel positive allosteric modulators and null modulators at the GABAA receptor α+β− interface. Br. J. Pharmacol. 2013, 169, 371–383. [Google Scholar] [CrossRef] [PubMed]
- File, S.E.; Pellow, S.; Wilks, L. The sedative effects of CL 218,872, like those of chlordiazepoxide, are reversed by benzodiazepine antagonists. Psychopharmacology 1985, 85, 295–300. [Google Scholar] [CrossRef]
- File, S.E.; Pellow, S. The anxiogenic action of FG 7142 in the social interaction test is reversed by chlordiazepoxide and Ro 15-1788 but not by CGS 8216. Arch. Int. Pharm. Ther. 1984, 271, 198–205. [Google Scholar]
- Savini, L.; Chiasserini, L.; Pellerano, C.; Biggio, G.; Maciocco, E.; Serra, M.; Cinone, N.; Carrieri, A.; Altomare, C.; Carotti, A. High affinity central benzodiazepine receptor ligands. Part 2: Quantitative structure–activity relationships and comparative molecular field analysis of pyrazolo[4,3-c]quinolin-3-ones. Bioorg. Med. Chem. 2001, 9, 431–444. [Google Scholar] [CrossRef]
- Savini, L.; Massarelli, P.; Nencini, C.; Pellerano, C.; Biggio, G.; Maciocco, A.; Tuligi, G.; Carrieri, A.; Cinone, N.; Carotti, A. High affinity central benzodiazepine receptor ligands: Synthesis and structure–activity relationship studies of a new series of pyrazolo[4,3-c]quinolin-3-ones. Bioorg. Med. Chem. 1998, 6, 389–399. [Google Scholar] [CrossRef]
- Shindo, H.; Takada, S.; Murata, S.; Eigyo, M.; Matsushita, A. Thienylpyrazoloquinolines with high affinity to benzodiazepine receptors: Continuous shift from inverse agonist to agonist properties depending on the size of the alkyl substituent. J. Med. Chem. 1989, 32, 1213–1217. [Google Scholar] [CrossRef]
- Varagic, Z.; Ramerstorfer, J.; Huang, S.; Rallapalli, S.; Sarto-Jackson, I.; Cook, J.; Sieghart, W.; Ernst, M. Subtype selectivity of α+β- site ligands of GABAA receptors: Identification of the first highly specific positive modulators at α6β2/3γ2 receptors. Br. J. Pharmacol. 2013, 169, 384–399. [Google Scholar] [CrossRef]
- López Rivilli, M.J.; Turina, A.V.; Bignante, E.A.; Molina, V.H.; Perillo, M.A.; Briñon, M.C.; Moyano, E.L. Synthesis and pharmacological evaluation of pyrazolo[4,3-c]quinolinones as high affinity GABAA-R ligands and potential anxiolytics. Bioorg. Med. Chem. 2018, 26, 3967–3974. [Google Scholar] [CrossRef] [PubMed]
- Baur, R.; Tan, K.R.; Luscher, B.P.; Gonthier, A.; Goeldner, M.; Sigel, E. Covalent modification of GABAA receptor isoforms by a diazepam analogue provides evidence for a novel benzodiazepine binding site that prevents modulation by these drugs. J. Neurochem. 2008, 106, 2353–2363. [Google Scholar] [CrossRef]
- Francis, J.E.; Cash, W.D.; Barbaz, B.S.; Bernard, P.S.; Lovell, R.A.; Mazzenga, G.C.; Friedmann, R.C.; Hyun, J.L.; Braunwalder, A.F. Synthesis and benzodiazepine binding activity of a series of novel [1,2,4]triazolo[1,5-c]quinazolin-5(6H)-ones. J. Med. Chem. 1991, 34, 281–290. [Google Scholar] [CrossRef] [PubMed]
- Gatta, F.; Del Giudice, M.R.; Borioni, A. Synthesis of [1,2,4]triazoloquinazoline and [1,2,4]-triazolo-1,4-benzodiazepine derivatives. J. Heterocycl. Chem. 1993, 30, 11–16. [Google Scholar] [CrossRef]
- Guerrini, G.; Ciciani, G.; Ciattini, S.; Crocetti, L.; Daniele, S.; Martini, C.; Melani, F.; Vergelli, C.; Giovannoni, M.P. Pyrazolo[1,5-a]quinazoline scaffold as 5-deaza analogue of pyrazolo[5,1-c][1,2,4]benzotriazine system: Synthesis of new derivatives, biological activity on GABAA receptor subtype and molecular dynamic study. J. Enzym. Inhib. Med. Chem. 2016, 31, 195–204. [Google Scholar] [CrossRef] [PubMed]
- Catarzi, D.; Cecchi, L.; Colotta, V.; Melani, F.; Filacchioni, G.; Martini, C.; Giusti, L.; Lucacchini, A. Structure-Activity Relationships of 1,2,4-Triazolo[1,5-a]quinoxalines and Their 1-Deaza Analogs Imidazo[1,2-a]quinoxalines at the Benzodiazepine Receptor. J. Med. Chem. 1994, 37, 2846–2850. [Google Scholar] [CrossRef]
- Nilsson, J.; Gidlöf, R.; Nielsen, E.Ø.; Liljefors, T.; Nielsen, M.; Sterner, O. Triazoloquinazolinediones as novel high affinity ligands for the benzodiazepine site of GABAA receptors. Bioorg. Med. Chem. 2011, 19, 111–121. [Google Scholar] [CrossRef]
- Zhang, W.; Koehler, K.F.; Zhang, P.; Cook, J.M. Development of a comprehensive pharmacophore model for the benzodiazepine receptor. Drug Des. Discov. 1995, 12, 193–248. [Google Scholar]
- Costanzo, A.; Guerrini, G.; Bruni, F.; Ciciani, G.; Selleri, S.; Cappelletti, S.; Costa, B.; Martini, C.; Lucacchini, A. Benzodiazepine receptor ligands—Part II. Synthesis and biological evaluation of pyrazolo[5,1-c][1,2,4]benzotriazine 4-oxide. Eur. J. Med. Chem. 1998, 33, 237–244. [Google Scholar] [CrossRef]
- Guerrini, G.; Ciciani, G.; Bruni, F.; Selleri, S.; Guarino, C.; Melani, F.; Montali, M.; Daniele, S.; Martini, C.; Ghelardini, C.; et al. New Fluoro Derivatives of the Pyrazolo[5,1-c][1,2,4]benzotriazine 5-Oxide System: Evaluation of Fluorine Binding Properties in the Benzodiazepine Site on γ-Aminobutyrric Acid Type A (GABAA) Receptor. Design, Synthesis, Biological, and Molecular Modeling Investigation. J. Med. Chem. 2010, 53, 7532–7548. [Google Scholar] [CrossRef]
- Guerrini, G.; Ciciani, G.; Costanzo, A.; Daniele, S.; Martini, C.; Ghelardini, C.; Di Cesare Mannelli, L.; Ciattini, S. Synthesis of novel cognition enhancers with pyrazolo[5,1-c][1,2,4]benzotriazine core acting at γ-aminobutyric acid type A (GABAA) receptor. Bioorg. Med. Chem. 2013, 21, 2186–2198. [Google Scholar] [CrossRef]




























































© 2020 by the authors. Licensee MDPI, Basel, Switzerland. This article is an open access article distributed under the terms and conditions of the Creative Commons Attribution (CC BY) license (http://creativecommons.org/licenses/by/4.0/).
Share and Cite
Vega Alanis, B.A.; Iorio, M.T.; Silva, L.L.; Bampali, K.; Ernst, M.; Schnürch, M.; Mihovilovic, M.D. Allosteric GABAA Receptor Modulators—A Review on the Most Recent Heterocyclic Chemotypes and Their Synthetic Accessibility. Molecules 2020, 25, 999. https://doi.org/10.3390/molecules25040999
Vega Alanis BA, Iorio MT, Silva LL, Bampali K, Ernst M, Schnürch M, Mihovilovic MD. Allosteric GABAA Receptor Modulators—A Review on the Most Recent Heterocyclic Chemotypes and Their Synthetic Accessibility. Molecules. 2020; 25(4):999. https://doi.org/10.3390/molecules25040999
Chicago/Turabian StyleVega Alanis, Blanca Angelica, Maria Teresa Iorio, Luca L. Silva, Konstantina Bampali, Margot Ernst, Michael Schnürch, and Marko D. Mihovilovic. 2020. "Allosteric GABAA Receptor Modulators—A Review on the Most Recent Heterocyclic Chemotypes and Their Synthetic Accessibility" Molecules 25, no. 4: 999. https://doi.org/10.3390/molecules25040999
APA StyleVega Alanis, B. A., Iorio, M. T., Silva, L. L., Bampali, K., Ernst, M., Schnürch, M., & Mihovilovic, M. D. (2020). Allosteric GABAA Receptor Modulators—A Review on the Most Recent Heterocyclic Chemotypes and Their Synthetic Accessibility. Molecules, 25(4), 999. https://doi.org/10.3390/molecules25040999

