The Effect of Formulation of Curcuminoids on Their Metabolism by Human Colonic Microbiota
Abstract
1. Introduction
2. Results
2.1. Curcuminoid Characterization in Botanical Extracts
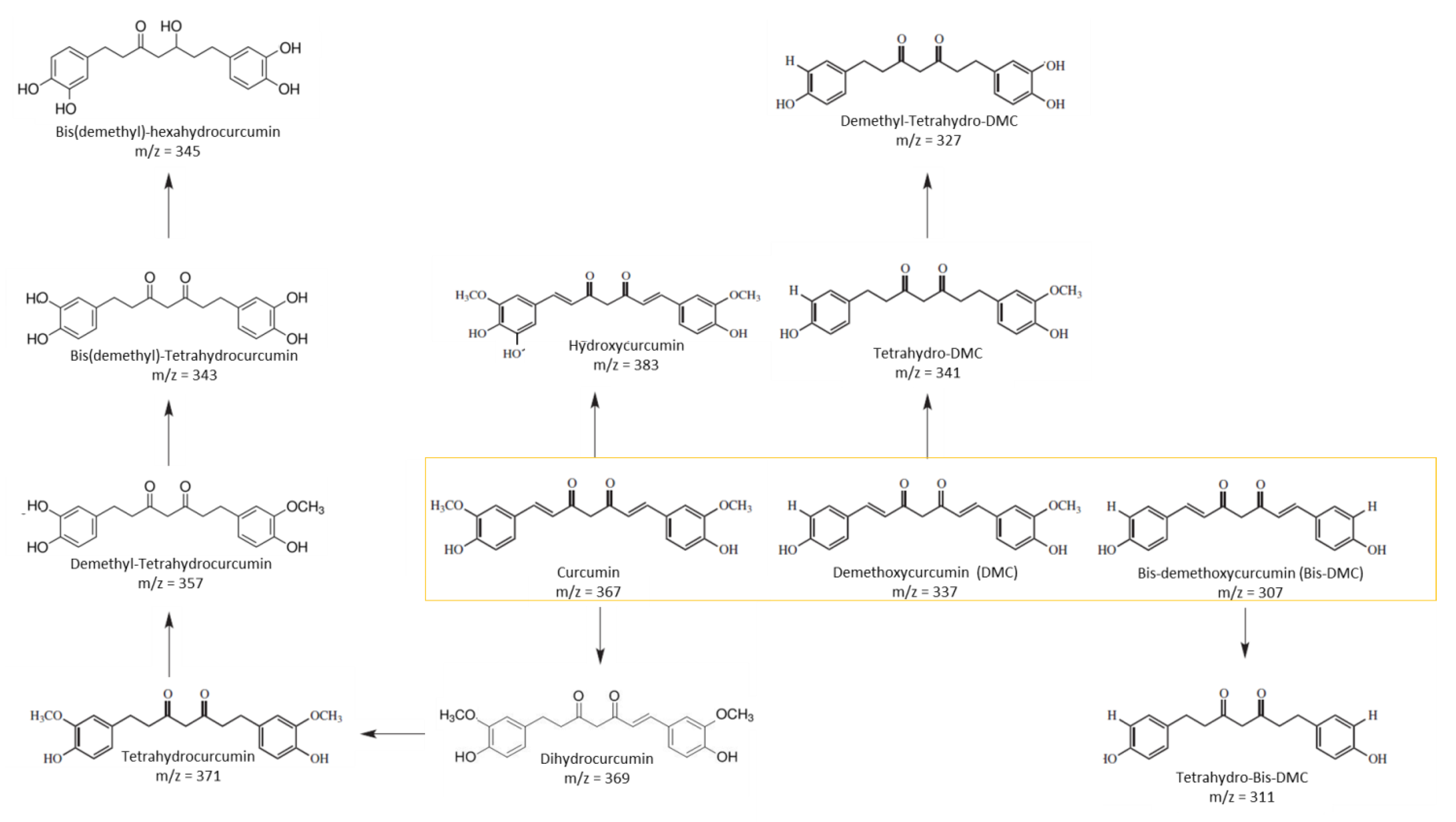
2.2. Colonic In Vitro Biotransformation of Curcuminoids
3. Discussion
4. Materials and Methods
4.1. Chemicals
4.2. Curcumin-Based Products
4.3. In Vitro Fecal Fermentation
4.4. Fecal Metabolite Extraction
4.5. uHPLC/MSn Analysis
4.6. Statistical Analysis
5. Conclusions
Author Contributions
Funding
Acknowledgments
Conflicts of Interest
References
- Shen, L.; Ji, H.-F. Bidirectional interactions between dietary curcumin and gut microbiota. Crit. Rev. Food Sci. Nutr. 2018, 59, 2896–2902. [Google Scholar] [CrossRef]
- Shehzad, A.; Ha, T.; Subhan, F.; Lee, Y.S. New mechanisms and the anti-inflammatory role of curcumin in obesity and obesity-related metabolic diseases. Eur. J. Nutr. 2011, 50, 151–161. [Google Scholar] [CrossRef] [PubMed]
- Qin, S.; Huang, L.; Gong, J.; Shen, S.; Huang, J.; Tang, Y.; Ren, H.; Hu, H. Meta-analysis of randomized controlled trials of 4 weeks or longer suggest that curcumin may afford some protection against oxidative stress. Nutr. Res. 2018, 60, 1–12. [Google Scholar] [CrossRef] [PubMed]
- Kocaadam, B.; Sanlier, N. Curcumin, an active component of turmeric (Curcuma longa), and its effects on health. Crit. Rev. Food Sci. Nutr. 2017, 57, 2889–2895. [Google Scholar] [CrossRef] [PubMed]
- Sahebkar, A.; Cicero, A.F.G.; Simental-Mendia, L.E.; Aggarwal, B.B.; Gupta, S.C. Curcumin downregulates human tumor necrosis factor-alpha levels: A systematic review and meta-analysis ofrandomized controlled trials. Pharmacol. Res. 2016, 107, 234–242. [Google Scholar] [CrossRef]
- Mirzaei, H.; Shakeri, A.; Rashidi, B.; Jalili, A.; Banikazemi, Z.; Sahebkar, A. Phytosomal curcumin: A review of pharmacokinetic, experimental and clinical studies. Biomed. Pharmacother. 2017, 85, 102–112. [Google Scholar] [CrossRef]
- Tsai, Y.-M.; Jan, W.-C.; Chien, C.-F.; Lee, W.-C.; Lin, L.-C.; Tsai, T.-H. Optimised nano-formulation on the bioavailability of hydrophobic polyphenol, curcumin, in freely-moving rats. Food Chem. 2011, 127, 918–925. [Google Scholar] [CrossRef]
- Di Meo, F.; Margarucci, S.; Galderisi, U.; Crispi, S.; Peluso, G.; Di Meo, F. Curcumin, Gut Microbiota, and Neuroprotection. Nutrients 2019, 11, 2426. [Google Scholar] [CrossRef]
- Peterson, C.T.; Vaughn, A.R.; Sharma, V.; Chopra, D.; Mills, P.J.; Peterson, S.N.; Sivamani, R.K. Effects of Turmeric and Curcumin Dietary Supplementation on Human Gut Microbiota: A Double-Blind, Randomized, Placebo-Controlled Pilot Study. J. Evid.-Based Integr. Med. 2018. [Google Scholar] [CrossRef]
- Shen, L.; Liu, L.; Ji, H.-F. Regulative effects of curcumin spice administration on gut microbiota and its pharmacological implications. Food Nutr. Res. 2017. [Google Scholar] [CrossRef]
- Tan, S.; Calani, L.; Bresciani, L.; Dall’Asta, M.; Faccini, A.; Augustin, M.A.; Gras, S.; Del Rio, D. The degradation of curcuminoids in a human faecal fermentation model. Int. J. Food Sci. Nutr. 2015, 66, 790–796. [Google Scholar] [CrossRef] [PubMed]
- Burapan, S.; Kim, M.; Han, J. Curcuminoid Demethylation as an Alternative Metabolism by Human Intestinal Microbiota. J. Agric. Food Chem. 2017, 65, 3305–3310. [Google Scholar] [CrossRef] [PubMed]
- Lou, Y.; Zheng, J.; Hu, H.; Lee, J.; Zeng, S. Application of ultra-performance liquid chromatography coupled with quadrupole time-of-flight mass spectrometry to identify curcumin metabolites produced by human intestinal bacteria. J. Chromatogr. B 2015, 985, 38–47. [Google Scholar] [CrossRef] [PubMed]
- Del Rio, D.; Rodriguez-Mateos, A.; Spencer, J.P.; Tognolini, M.; Borges, G.; Crozier, A. Dietary (poly)phenolics in human health: Structures, bioavailability, and evidence of protective effects against chronic diseases. Antioxid. Redox Signal. 2012, 18, 1818–1892. [Google Scholar] [CrossRef] [PubMed]
- Rodriguez-Mateos, A.; Vauzour, D.; Krueger, C.G.; Shanmuganayagam, D.; Reed, J.; Calani, L.; Mena, P.; Del Rio, D.; Crozier, A. Bioavailability, bioactivity and impact on health of dietary flavonoids and related compounds: An update. Arch. Toxicol. 2014, 88, 1803–1853. [Google Scholar] [CrossRef]
- Williamson, G.; Clifford, M.N. Role of the small intestine, colon and microbiota in determining the metabolic fate of polyphenols. Biochem. Pharmacol. 2017, 139, 24–39. [Google Scholar] [CrossRef]
- Jiang, H.; Somogyi, A.; Jacobsen, N.E.; Timmermann, B.N.; Gang, D.R. Analysis of curcuminoids by positive and negative electrospray ionization and tandem mass spectrometry. Rapid Commun. Mass Spectrom. 2006, 20, 1001–1012. [Google Scholar] [CrossRef]
- Kawano, S.-I.; Inohana, Y.; Hashi, Y.; Lin, J.-M. Analysis of keto-enol tautomers of curcumin by liquid chromatography/mass spectrometry. Chin. Chem. Lett. 2013, 24, 685–687. [Google Scholar] [CrossRef]
- Liu, A.; Lou, H.; Zhao, L.; Fan, P. Validated LC/MS/MS assay for curcumin and tetrahydrocurcumin in rat plasma and application to pharmacokinetic study of phospholipid complex of curcumin. J. Pharm. Biomed. Anal. 2006, 40, 720–727. [Google Scholar] [CrossRef]
- Zhang, X.; Ye, M.; Li, R.; Yin, J.; Guo, D. Microbial transformation of curcumin by Rhizopus chinensis. Biocatal. Biotransform. 2010, 28, 380–386. [Google Scholar] [CrossRef]
- Jiang, H.; Timmermann, B.N.; Gang, D.R. Use of liquid chromatography–electrospray ionization tandem mass spectrometry to identify diarylheptanoids in turmeric (Curcuma longa L.) rhizome. J. Chromatogr. A 2006, 1111, 21–31. [Google Scholar] [CrossRef] [PubMed]
- Meisser, K.; Smarrito-Menozzi, C.; Guy, P.; Rezzi, S.; Dionisi, F.; Williamson, G.; Nagy, K.; Renouf, M. Identification of novel circulating coffee metabolites in human plasma by liquid chromatography–mass spectrometry. J. Chromatogr. A 2011, 1218, 4678–4688. [Google Scholar]
- An, C.; Sun, Z.-Z.; Shen, L.; Ji, H.-F. Biotransformation of food spice curcumin by gut bacterium Bacillus megaterium DCMB-002 and its pharmacological implications. Food Nutr. Res. 2017. [Google Scholar] [CrossRef]
- Ireson, C.; Orr, S.; Jones, D.J.; Verschoyle, R.; Lim, C.K.; Luo, J.L.; Howells, L.; Plummer, S.; Jukes, R.; Williams, M.; et al. Characterization of metabolites of the chemopreventive agent curcumin in human and rat hepatocytes and in the rat in vivo, and evaluation of their ability to inhibit phorbol ester-induced prostaglandin E2 production. Cancer Res. 2001, 61, 1058–1064. [Google Scholar]
- Arlorio, M.; Arlorio, M.; Locatelli, M.; Fuso, L.; Pellegrini, N.; Fogliano, V. In vitro evaluation of gastro-intestinal digestion and colonic biotransformation of curcuminoids considering different formulations and food matrices. J. Funct. Foods 2019, 59, 156–163. [Google Scholar]
- Hassaninasab, A.; Hashimoto, Y.; Tomita-Yokotani, K.; Kobayashi, M. Discovery of the curcumin metabolic pathway involving a unique enzyme in an intestinal microorganism. Proc. Natl. Acad. Sci. USA 2011, 108, 6615–6620. [Google Scholar] [CrossRef]
- Marczylo, T.; Verschoyle, R.D.; Cooke, D.N.; Morazzoni, P.; Steward, W.P.; Gescher, A.J. Comparison of systemic availability of curcumin with that of curcumin formulated with phosphatidylcholine. Cancer Chemother. Pharmacol. 2006, 60, 171–177. [Google Scholar] [CrossRef]
- Cuomo, J.; Appendino, G.; Dern, A.S.; Schneider, E.; McKinnon, T.P.; Brown, M.J.; Togni, S.; Dixon, B.M. Comparative Absorption of a Standardized Curcuminoid Mixture and Its Lecithin Formulation. J. Nat. Prod. 2011, 74, 664–669. [Google Scholar] [CrossRef]
- Bresciani, L.; Dall’Asta, M.; Favari, C.; Calani, L.; Del Rio, D.; Brighenti, F. An in vitro exploratory study of dietary strategies based on polyphenol-rich beverages, fruit juices and oils to control trimethylamine production in the colon. Food Funct. 2018, 9, 6470–6483. [Google Scholar] [CrossRef]
- Dall’Asta, M.; Calani, L.; Tedeschi, M.; Jechiu, L.; Brighenti, F.; Del Rio, D. Identification of microbial metabolites derived from in vitro fecal fermentation of different polyphenolic food sources. Nutrition 2012, 28, 197–203. [Google Scholar] [CrossRef]
Sample Availability: Samples are available from the authors. |

| Compound | Unformulated Botanical Extract | Lecithin-Formulated Botanical Extract |
|---|---|---|
| Curcumin | 943.2 ± 4.4 | 324.4 ± 5.3 |
| DMC | 332.1 ± 5.3 | 148.8 ± 3.3 |
| Bis-DMC | 37.6 ± 0.6 | 22.0 ± 0.7 |
| Dihydrocurcumin | 12.7 ± 0.6 | 4.6 ± 0.9 |
| Hydroxycurcumin | 4.4 ± 0.1 | 4.6 ± 0.2 |
| Compound | RT | [M − H]− (m/z) | MS2 | MS3 |
|---|---|---|---|---|
| Curcumin | 5.9–7.6 | 367 | 217, 173, 149, 175 | 173, 202 |
| DMC | 5.8–7.4 | 337 | 217, 187, 173, 143 | 173, 202 |
| Bis-DMC | 5.7–7.3 | 307 | 187, 143, 119 | 143 |
| Dihydrocurcumin | 7.3 | 369 | 219, 149, 233, 175, 149, 134 | |
| Hydroxycurcumin | 6.7 | 383 | 217, 173, 165, 233, 150 | 173, 202 |
| Tetrahydrocurcumin | 5.9–7.1 | 371 | 235, 249, 247, 207, 193, 121 | |
| Demethyl-Tetrahydrocurcumin | 5.2–6.4 | 357 | 235, 247, 193, 121, 109 | |
| Bis(demethyl)-Tetrahydrocurcumin | 4.5–5.6 | 343 | 221, 233, 203, 121, 163 | |
| Tetrahydro-DMC | 5.8–7.0 | 341 | 219, 235, 205, 247, 121, 177 | |
| Tetrahydro-Bis-DMC | 5.7–6.9 | 311 | 205, 217, 269 | |
| Demethyl-Tetrahydro-DMC | 5.1–6.3 | 327 | 205, 217, 221, 109, 99, 121 | |
| Bis(demethyl)hexahydrocurcumin | 4.0 | 345 | 165, 179, 121, 223, 109, 235, 205 | 165: 121, 109, 123; 179: 121, 109, 57 |
| Compound | Unformulated Botanical Extract | Lecithin-Formulated Botanical Extract | ||||
|---|---|---|---|---|---|---|
| 0 h | 5 h | 24 h | 0 h | 5 h | 24 h | |
| Curcumin | 158.3 ± 25.3 a | 166.1 ± 15.9 a | 122.3 ± 8.5 a | 207.9 ± 30.4 a | 211.3 ± 8.9 a,* | 75.9 ± 6.3 b,** |
| DMC | 45.7 ± 10.8 a | 48.4 ± 6.9 a | 32.4 ± 3.5 a | 85.4 ± 12.7 a,* | 54.1 ± 2.8 b | 9.7 ± 1.3 c,*** |
| Bis-DMC | 5.0 ± 1.2 a | 4.9 ± 0.7 a | 2.8 ± 0.3 a | 15.1 ± 2.4 a,** | 10.4 ± 0.4 b,*** | 1.7 ± 0.2 c,** |
| Dihydrocurcumin | 2.5 ± 0.5 ab | 3.3 ± 0.5 a | 1.6 ± 0.1 b | 6.4 ± 0.8 a,** | 8.8 ± 0.5 b,*** | 0.6 ± 0.1 c,*** |
| Hydroxycurcumin | 0.4 ± 0.1 a | 0.9 ± 0.2 b | 0.6 ± 0.1 a | 4.2 ± 0.8 a,* | 5.8 ± 0.5 b,*** | 1.3 ± 0.2 c,** |
| Tetrahydrocurcumin | n.d. | 4.4 ± 0.1 | n.d. | n.d. | 12.1 ± 0.5 ** | n.d. |
| Demethyl-Tetrahydrocurcumin | n.d. | 14.2 ± 0.9 | n.d. | n.d. | 15.9 ± 3.1 a | 0.6 ± 0.1 b,*** |
| Bis(demethyl)-Tetrahydrocurcumin | n.d. | 3.9 ± 0.9 a | 74.6 ± 5.4 b | n.d. | 0.9 ± 0.3 a,** | 235.9 ± 5.6 b,*** |
| Tetrahydro-DMC | n.d. | 3.4 ± 0.1 a | 0.4 ± 0.0 b | n.d. | 19.6 ± 1.2 a,** | 2.0 ± 0.3 b,** |
| Tetrahydro-Bis-DMC | n.d. | 1.4 ± 0.2 a | 1.9 ± 0.1 b | n.d. | 3.3 ± 0.3 a,** | 7.7 ± 0.0 b,*** |
| Demethyl-Tetrahydro-DMC | n.d. | 1.7 ± 0.3 a | 12.9 ± 1.0 b | n.d. | 5.4 ± 1.0 a,** | 52.9 ± 1.3 b,*** |
| Bis(demethyl)-hexahydrocurcumin | n.d. | 1.3 ± 0.2 a | 63.8 ± 4.5 b | n.d. | 0.8 ± 0.2 a | 114.4 ± 0.9 b,*** |
© 2020 by the authors. Licensee MDPI, Basel, Switzerland. This article is an open access article distributed under the terms and conditions of the Creative Commons Attribution (CC BY) license (http://creativecommons.org/licenses/by/4.0/).
Share and Cite
Bresciani, L.; Favari, C.; Calani, L.; Francinelli, V.; Riva, A.; Petrangolini, G.; Allegrini, P.; Mena, P.; Del Rio, D. The Effect of Formulation of Curcuminoids on Their Metabolism by Human Colonic Microbiota. Molecules 2020, 25, 940. https://doi.org/10.3390/molecules25040940
Bresciani L, Favari C, Calani L, Francinelli V, Riva A, Petrangolini G, Allegrini P, Mena P, Del Rio D. The Effect of Formulation of Curcuminoids on Their Metabolism by Human Colonic Microbiota. Molecules. 2020; 25(4):940. https://doi.org/10.3390/molecules25040940
Chicago/Turabian StyleBresciani, Letizia, Claudia Favari, Luca Calani, Veronica Francinelli, Antonella Riva, Giovanna Petrangolini, Pietro Allegrini, Pedro Mena, and Daniele Del Rio. 2020. "The Effect of Formulation of Curcuminoids on Their Metabolism by Human Colonic Microbiota" Molecules 25, no. 4: 940. https://doi.org/10.3390/molecules25040940
APA StyleBresciani, L., Favari, C., Calani, L., Francinelli, V., Riva, A., Petrangolini, G., Allegrini, P., Mena, P., & Del Rio, D. (2020). The Effect of Formulation of Curcuminoids on Their Metabolism by Human Colonic Microbiota. Molecules, 25(4), 940. https://doi.org/10.3390/molecules25040940

