Anthocyanin Metabolites in Human Urine after the Intake of New Functional Beverages
Abstract
1. Introduction
2. Results and Discussion
2.1. Anthocyanin Content of Juices
2.2. Qualitative Analysis of Urine Metabolites of Maqui-Citrus Juice Anthocyanins
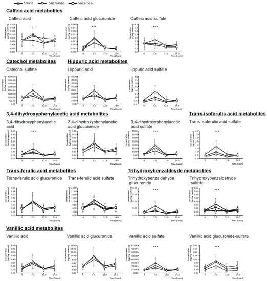
2.3. Assessment of the Concentration of Anthocyanins Metabolites in Urine Samples
2.4. Principal Component Analysis
3. Material and Methods
3.1. Chemicals and Reagents
3.2. Juice Preparation and Characterization of the Phenolic Content
3.3. Experimental Design and Samples Collection
3.4. Urine Samples Processing and Analysis by UHPLC-ESI-MS/MS
3.5. Statistical Analysis
4. Conclusions
Author Contributions
Funding
Acknowledgments
Conflicts of Interest
Abbreviations
| ANOVA | Analysis of Variance |
| CA | Caffeic Acid |
| CAT | Catechol |
| CEIC | Ethical Committee of Clinical Studies |
| Cy | Cyanidin |
| Dp | Delphinidin |
| DHPAA | 3,4-Dihidroxifenilacetic Acid |
| GA | Gallic Acid |
| Glc | Glucoside |
| Gln | glucuronide |
| HA | Hippuric Acid |
| LDL | Low Density Lipoprotein |
| MRM | Multiple Reaction Monitoring |
| RP-HPLC-DAD | Reverse-Phase High Performance Liquid Chromatography Diode Array Detector |
| Sam | Sambubioside |
| S | sulfate |
| TFA | Trans.-Ferulic Acid |
| THBA | 2,4,6-Trihidrobenzaldehid |
| TIFA | Trans.-IsoFerulic Acid |
| UHPLC-ESI-MS/MS | Ultra-High Performance Liquid Chromatography ElectroSpray Ionization Mass Spectrometry |
| VA | Vanillic Acid |
| WHO | World Health Organization |
References
- Avena, N.M.; Rada, P.; Hoebel, B.G. Evidence for sugar addiction: Behavioral and neurochemical effects of intermittent, excessive sugar intake. Neurosci. Biobehav. Rev. 2008, 32, 20–39. [Google Scholar] [CrossRef] [PubMed]
- Hone-Blanchet, A.; Fecteau, S. Overlap of food addiction and substance use disorders definitions: Analysis of animal and human studies. Neuropharmacology 2014, 85, 81–90. [Google Scholar] [CrossRef] [PubMed]
- Markus, C.R.; Rogers, P.J.; Brouns, F.; Schepers, R. Eating dependence and weight gain; no human evidence for a ‘sugar-addiction’ model of overweight. Appetite 2017, 114, 64–72. [Google Scholar] [CrossRef] [PubMed][Green Version]
- Smith, D.G.; Robbins, T.W. The neurobiological underpinnings of obesity and binge eating: A rationale for adopting the food addiction model. Biol. Psychiatry 2013, 73, 804–810. [Google Scholar] [CrossRef]
- Reedy, J.; Krebs-Smith, S.M. Dietary sources of energy, solid fats, and added sugars among children and adolescents in the United States. J. Am. Diet. Assoc. 2010, 110, 1477–1484. [Google Scholar] [CrossRef]
- Malik, V.S.; Hu, F.B. Sweeteners and Risk of Obesity and Type 2 Diabetes: The Role of Sugar-Sweetened Beverages. Curr. Diab. Rep. 2012. [Google Scholar] [CrossRef]
- Bernstein, A.M.; de Koning, L.; Flint, A.J.; Rexrode, K.M.; Willett, W.C. Soda consumption and the risk of stroke in men and women. Am. J. Clin. Nutr. 2012, 95, 1190–1199. [Google Scholar] [CrossRef]
- Amiot, M.J.; Riva, C.; Vinet, A. Effects of dietary polyphenols on metabolic syndrome features in humans: A systematic review. Obes. Rev. 2016, 17, 573–586. [Google Scholar] [CrossRef]
- Jiang, Y.; Tan, S.; Wang, Z.; Guo, Z.; Li, Q.; Wang, J. Aerobic exercise training at maximal fat oxidation intensity improves body composition, glycemic control, and physical capacity in older people with type 2 diabetes. J. Exerc. Sci. Fit. 2020, 18, 7–13. [Google Scholar] [CrossRef]
- Naseri, R.; Farzaei, F.; Haratipour, P.; Nabavi, S.F.; Habtemariam, S.; Farzaei, M.H.; Khodarahmi, R.; Tewari, D.; Momtaz, S. Anthocyanins in the Management of Metabolic Syndrome: A Pharmacological and Biopharmaceutical Review. Front. Pharmacol. 2018, 9, 1310. [Google Scholar] [CrossRef]
- Yang, L.; Ling, W.; Du, Z.; Chen, Y.; Li, D.; Deng, S.; Liu, Z.; Yang, L. Effects of Anthocyanins on Cardiometabolic Health: A Systematic Review and Meta-Analysis of Randomized Controlled Trials. Adv. Nutr. 2017, 8, 684–693. [Google Scholar] [CrossRef]
- Cardona, F.; Andres-Lacueva, C.; Tulipani, S.; Tinahones, F.J.; Queipo-Ortuno, M.I. Benefits of polyphenols on gut microbiota and implications in human health. J. Nutr. Biochem. 2013, 24, 1415–1422. [Google Scholar] [CrossRef] [PubMed]
- Ribas-Agusti, A.; Martin-Belloso, O.; Soliva-Fortuny, R.; Elez-Martinez, P. Food processing strategies to enhance phenolic compounds bioaccessibility and bioavailability in plant-based foods. Crit. Rev. Food Sci. Nutr. 2018, 58, 2531–2548. [Google Scholar] [CrossRef] [PubMed]
- Chen, L.; Cao, H.; Xiao, J. Polyphenols. In Polyphenols: Properties, Recovery, and Applications; Elsevier Health Sicences: Amsterdam, The Netherlands, 2018; pp. 45–67. [Google Scholar]
- Breda, J.; Jewell, J.; Keller, A. The Importance of the World Health Organization Sugar Guidelines for Dental Health and Obesity Prevention. Caries Res. 2019, 53, 149–152. [Google Scholar] [CrossRef] [PubMed]
- Girones-Vilaplana, A.; Mena, P.; Moreno, D.A.; Garcia-Viguera, C. Evaluation of sensorial, phytochemical and biological properties of new isotonic beverages enriched with lemon and berries during shelf life. J. Sci. Food Agric. 2014, 94, 1090–1100. [Google Scholar] [CrossRef]
- Sloan, A.E. Top 10 Functional Food Trends. Food Technol. 2018, 72, 26–43. [Google Scholar]
- Törrönen, R.; McDougall, G.J.; Dobson, G.; Stewart, D.; Hellström, J.; Mattila, P.; Pihlava, J.-M.; Koskela, A.; Karjalainen, R. Fortification of blackcurrant juice with crowberry: Impact on polyphenol composition, urinary phenolic metabolites, and postprandial glycemic response in healthy subjects. J. Funct. Foods 2012, 4, 746–756. [Google Scholar] [CrossRef]
- Fredes, C.; Osorio, M.J.; Parada, J.; Robert, P. Stability and bioaccessibility of anthocyanins from maqui (Aristotelia chilensis [Mol.] Stuntz) juice microparticles. LWT 2018, 91, 549–556. [Google Scholar] [CrossRef]
- Quispe-Fuentes, I.; Vega-Galvez, A.; Aranda, M. Evaluation of phenolic profiles and antioxidant capacity of maqui (Aristotelia chilensis) berries and their relationships to drying methods. J. Sci. Food Agric. 2018, 98, 4168–4176. [Google Scholar] [CrossRef]
- Fang, J. Bioavailability of anthocyanins. Drug Metab. Rev. 2014, 46, 508–520. [Google Scholar] [CrossRef]
- Kay, C.D.; Pereira-Caro, G.; Ludwig, I.A.; Clifford, M.N.; Crozier, A. Anthocyanins and Flavanones Are More Bioavailable than Previously Perceived: A Review of Recent Evidence. Ann. Rev. Food Sci. Technol. 2017, 8, 155–180. [Google Scholar] [CrossRef] [PubMed]
- Gironés-Vilaplana, A.; Mena, P.; García-Viguera, C.; Moreno, D.A. A novel beverage rich in antioxidant phenolics: Maqui berry (Aristotelia chilensis) and lemon juice. LWT 2012, 47, 279–286. [Google Scholar] [CrossRef]
- Welch, R.W.; Antoine, J.M.; Berta, J.L.; Bub, A.; de Vries, J.; Guarner, F.; Hasselwander, O.; Hendriks, H.; Jakel, M.; Koletzko, B.V.; et al. Guidelines for the design, conduct and reporting of human intervention studies to evaluate the health benefits of foods. Br. J. Nutr. 2011, 106, S3–S15. [Google Scholar] [CrossRef] [PubMed]
- Burtis, C.A.; Ashwood, E.R.; Bruns, D.E. Tietz Textbook of Clinical Chemistry and Molecular Diagnostics-E-Book; Elsevier Health Sciences: Amsterdam, The Netherlands, 2012. [Google Scholar]
- Ludwig, I.A.; Mena, P.; Calani, L.; Borges, G.; Pereira-Caro, G.; Bresciani, L.; Del Rio, D.; Lean, M.E.; Crozier, A. New insights into the bioavailability of red raspberry anthocyanins and ellagitannins. Free Radic. Biol. Med. 2015, 89, 758–769. [Google Scholar] [CrossRef]
- Réveillon, T.; Rota, T.; Chauvet, É.; Lecerf, A.; Sentis, A. Repeatable inter-individual variation in the thermal sensitivity of metabolic rate. Oikos 2019. [Google Scholar] [CrossRef]
- Sinela, A.M.; Mertz, C.; Achir, N.; Rawat, N.; Vidot, K.; Fulcrand, H.; Dornier, M. Exploration of reaction mechanisms of anthocyanin degradation in a roselle extract through kinetic studies on formulated model media. Food Chem. 2017, 235, 67–75. [Google Scholar] [CrossRef]
- Rohrig, T.; Kirsch, V.; Schipp, D.; Galan, J.; Richling, E. Absorption of Anthocyanin Rutinosides after Consumption of a Blackcurrant (Ribes nigrum L.) Extract. J. Agric. Food Chem. 2019, 67, 6792–6797. [Google Scholar] [CrossRef]
- Nurmi, T.; Marina-Heinoven, J.M.; Nurmi, A.; Hiltunen, R.; Voutilainen, S. Metabolism of Berry Anthocyanins to Phenolic Acids in Humans. J. Agric. Food Chem. 2009, 57. [Google Scholar] [CrossRef]
- Siranoush Shahrzad, I.B. Determination of gallic acid and its metabolites in human plasma and urine by high-performance liquid chromatography. J. Chrom. B 1998, 705, 87–95. [Google Scholar] [CrossRef]
- Hollman, P.C.; de Vries, J.H.; van Leeuwen, S.D.; Mengelers, M.J.; Katan, M.B. Absorption of dietary quercetin glycosides and quercetin in healthy ileostomy volunteers. Am. J. Clin. Nutr. 1995, 62, 1276–1282. [Google Scholar] [CrossRef]
- Ursula Mülleder, M.M. Werner Pfannhauser. Urinary excretion of cyanidin glycosides. J. Biochem. Bioph. Meth. 2002, 53, 61–66. [Google Scholar] [CrossRef]
Sample Availability: Samples of the compounds are not available from the authors. |




| Beverages | Anthocyanins Z (mg/100 mL) | |||||||
|---|---|---|---|---|---|---|---|---|
| Dp 3-O-sam-5-O-glc | Dp 3,5-O-diglc | Cy 3 O-sam-5-O-glc + Cy 3,5-O-diglc | Dp 3-O-sam | Dp 3-O-glc | Cy 3-O-sam | Cy 3-O-glc | TOTAL | |
| Stevia | 3.06 ± 0.12 Y | 3.59 ± 0.02 | 1.54 ± 0.02 | 1.09 ± 0.01 | 2.87 ± 0.02 | 0.40 ± 0.01 | 0.54 ± 0.01 | 13.1 ± 0.2 |
| Sucralose | 3.19 ± 0.05 | 3.51 ± 0.01 | 1.51 ± 0.01 | 1.11 ± 0.01 | 3.02 ± 0.01 | 0.41 ± 0.01 | 0.57 ± 0.01 | 13.3 ± 0.1 |
| Sucrose | 3.19 ± 0.01 | 3.36 ± 0.09 | 1.38 ± 0.01 | 1.09 ± 0.01 | 2.90 ± 0.01 | 0.40 ± 0.01 | 0.55 ± 0.01 | 12.9 ± 0.2 |
| p-value | >0.05 N.s. | >0.05 N.s. | >0.05 N.s. | >0.05 N.s. | >0.05 N.s. | >0.05 N.s. | >0.05 N.s. | >0.05 N.s. |
| Compound | RT (min) | Precursor Ion | Product Ion | Fragmentation (V) | CE (V) | Polarity |
|---|---|---|---|---|---|---|
| Cyanidin metabolites | ||||||
| Cyanidin (Cy) | 8.81 | 287.0 | 137.0 | 100 | 20 | Positive |
| Cy glucoside | N.f. | 449.0 | 287.0 | 100 | 20 | Positive |
| Cy diglucoside | N.f. | 743.0 | 287.0 | 100 | 20 | Positive |
| Cy sambubioside | N.f. | 581.0 | 287.0 | 100 | 20 | Positive |
| CYA sambubioside-glucoside | N.f. | 611.0 | 287.0 | 100 | 20 | Positive |
| Delphinidin metabolites | ||||||
| Delphinidin (Dp) | 5.18 | 303.0 | 229.0/257.0 | 100 | 20 | Positive |
| Dp glucoside | N.f. | 465.0 | 303.0 | 100 | 20 | Positive |
| Dp diglucoside | N.f. | 627.0 | 303.0 | 100 | 20 | Positive |
| Dp sambubioside | N.f. | 597.0 | 303.0 | 100 | 20 | Positive |
| Dp sambubioside-glucoside | N.f. | 759.0 | 303.0 | 100 | 20 | Positive |
| Caffeic acid metabolites | ||||||
| Caffeic acid (CA) | 3.25 | 179.1 | 135.0 | 70 | 15 | Negative |
| CA Glucuronide | 2.40 | 355.1 | 179.1 | 70 | 15 | Negative |
| CA diglucuronide | N.f. | 531.1 | 179.1 | 70 | 15 | Negative |
| CA Sulfate | 2.99 | 259.1 | 179.1 | 70 | 15 | Negative |
| CA Glucuronide-Sulfate | 1.95 | 435.1 | 179.1 | 70 | 15 | Negative |
| CA disulfate | N.f. | 339.1 | 179.1 | 70 | 15 | Negative |
| Catechol metabolites | ||||||
| Catechol (CAT) | 5.04 | 109.0 | 67.0 | 80 | 6 | Negative |
| CAT Glucuronide | N.f. | 286.0 | 109.0 | 80 | 6 | Negative |
| CAT diglucuronide | 2.83 | 461.0 | 109.0 | 80 | 6 | Negative |
| CAT Sulfate | 1.59 | 189.0 | 109.0 | 80 | 6 | Negative |
| CAT Glucuronide-Sulfate | 1.38 | 365.0 | 109.0 | 80 | 6 | Negative |
| CAT disulfate | N.f. | 269.0 | 109.0 | 80 | 6 | Negative |
| 3,4-Dihidroxifenilacetic acid metabolites | ||||||
| 3,4-Dihidroxifenilacetic acid (DHPAA) | 1.80 | 166.8 | 123.2 | 70 | 5 | Negative |
| DHPAA Glucuronide | 1.58 | 342.8 | 166.8 | 70 | 5 | Negative |
| DHPAA diglucuronide | 1.04 | 518.8 | 166.8 | 70 | 5 | Negative |
| DHPAA Sulfate | 1.14 | 246.8 | 166.8 | 70 | 5 | Negative |
| DHPAA Glucuronide-Sulfate | 0.74 | 422.8 | 166.8 | 70 | 5 | Negative |
| DHPAA disulfate | 1.07 | 326.8 | 166.8 | 70 | 5 | Negative |
| Hippuric acid metabolites | ||||||
| Hippuric acid (HA) | 2.55 | 178.0 | 134.4 | 80 | 5 | Negative |
| HA Glucuronide | 1.70 | 354.0 | 178.0 | 80 | 5 | Negative |
| HA diglucuronide | 0.59 | 530.0 | 178.0 | 80 | 5 | Negative |
| HA Sulfate | 1.78 | 258.0 | 178.0 | 80 | 5 | Negative |
| HA Glucuronide-Sulfate | N.f. | 434.0 | 178.0 | 80 | 5 | Negative |
| HA disulfate | N.f. | 338.0 | 178.0 | 80 | 5 | Negative |
| Gallic acid metabolites | ||||||
| Gallic acid (GA) | 0.71 | 169.0 | 125.0 | 70 | 10 | Negative |
| GA Glucuronide | N.f. | 345.0 | 169.0 | 70 | 10 | Negative |
| GA diglucuronide | N.f. | 521.0 | 169.0 | 70 | 10 | Negative |
| GA Sulfate | N.f. | 249.0 | 169.0 | 70 | 10 | Negative |
| GA Glucuronide-Sulfate | N.f. | 425.0 | 169.0 | 70 | 10 | Negative |
| GA disulfate | N.f. | 329.0 | 169.0 | 70 | 10 | Negative |
| Trans.-ferulic acid metabolites | ||||||
| Trans.-ferulic acid (TFA) | 4.46 | 192.8 | 133.8 | 20 | 5 | Negative |
| TFA Glucuronide | 4.25 | 368.8 | 192.8 | 20 | 5 | Negative |
| TFA diglucuronide | 1.74 | 544.8 | 192.8 | 20 | 5 | Negative |
| TFA Sulfate | 3.56 | 272.8 | 192.8 | 20 | 5 | Negative |
| TFA Glucuronide-Sulfate | N.f. | 448.8 | 192.8 | 20 | 5 | Negative |
| TFA disulfate | 1.32 | 352.8 | 192.8 | 20 | 5 | Negative |
| 2,4,6-Trihidrobenzaldehid metabolites | ||||||
| 2,4,6-Trihidrobenzaldehid (THBA) | 5.10 | 153.1 | 106.8 | 90 | 18 | Negative |
| THBA Glucuronide | 5.08 | 329.1 | 153.1 | 90 | 18 | Negative |
| THBA diglucuronide | N.f. | 505.1 | 153.1 | 90 | 18 | Negative |
| THBA Sulfate | 1.46 | 233.1 | 153.1 | 90 | 18 | Negative |
| THBA Glucuronide-Sulfate | N.f. | 409.1 | 153.1 | 90 | 18 | Negative |
| THBA disulfate | N.f. | 313.1 | 153.1 | 90 | 18 | Negative |
| Trans.-isoferulic acid metabolites | ||||||
| Trans.-isoferulic acid (TIFA) | 1.46 | 193.7 | 134.7 | 70 | 5 | Negative |
| TIFA Glucuronide | N.f. | 366.7 | 193.7 | 70 | 5 | Negative |
| TIFA diglucuronide | N.f. | 545.7 | 193.7 | 70 | 5 | Negative |
| TIFA Sulfate | 1.45 | 273.7 | 193.7 | 70 | 5 | Negative |
| TIFA Glucuronide-Sulfate | N.f. | 449.7 | 193.7 | 70 | 5 | Negative |
| TIFA disulfate | N.f. | 353.7 | 193.7 | 70 | 5 | Negative |
| Vanillic acid metabolites | ||||||
| Vanillic acid (VA) | 3.18 | 167.0 | 151.8 | 100 | 15 | Negative |
| VA Glucuronide | 1.57 | 343.0 | 167.0 | 100 | 15 | Negative |
| VA diglucuronide | N.f. | 519.0 | 167.0 | 100 | 15 | Negative |
| VA Sulfate | 1.14 | 247.0 | 167.0 | 100 | 15 | Negative |
| VA Glucuronide-Sulfate | 0.93 | 423.0 | 167.0 | 100 | 15 | Negative |
| VA disulfate | 1.13 | 327.0 | 167.0 | 100 | 15 | Negative |
© 2020 by the authors. Licensee MDPI, Basel, Switzerland. This article is an open access article distributed under the terms and conditions of the Creative Commons Attribution (CC BY) license (http://creativecommons.org/licenses/by/4.0/).
Share and Cite
Agulló, V.; Villaño, D.; García-Viguera, C.; Domínguez-Perles, R. Anthocyanin Metabolites in Human Urine after the Intake of New Functional Beverages. Molecules 2020, 25, 371. https://doi.org/10.3390/molecules25020371
Agulló V, Villaño D, García-Viguera C, Domínguez-Perles R. Anthocyanin Metabolites in Human Urine after the Intake of New Functional Beverages. Molecules. 2020; 25(2):371. https://doi.org/10.3390/molecules25020371
Chicago/Turabian StyleAgulló, Vicente, Débora Villaño, Cristina García-Viguera, and Raúl Domínguez-Perles. 2020. "Anthocyanin Metabolites in Human Urine after the Intake of New Functional Beverages" Molecules 25, no. 2: 371. https://doi.org/10.3390/molecules25020371
APA StyleAgulló, V., Villaño, D., García-Viguera, C., & Domínguez-Perles, R. (2020). Anthocyanin Metabolites in Human Urine after the Intake of New Functional Beverages. Molecules, 25(2), 371. https://doi.org/10.3390/molecules25020371

