SNP Discrimination by Tolane-Modified Peptide Nucleic Acids: Application for the Detection of Drug Resistance in Pathogens
Abstract
1. Introduction
2. Results and Discussion
2.1. Design and Synthesis of PNA and Tolane-PNA
2.2. The Effect of Linker Structures in the Tolane-PNAs on Duplex Stability with Single Strand DNA
2.3. Modification of the Tolane Structure to Enhance the Stacking Interaction with the PNA/DNA Duplex
2.4. Analysis of the Duplex Conformation of the Tolane-PNA/DNA Duplexes by Fluorescence Spectroscopy
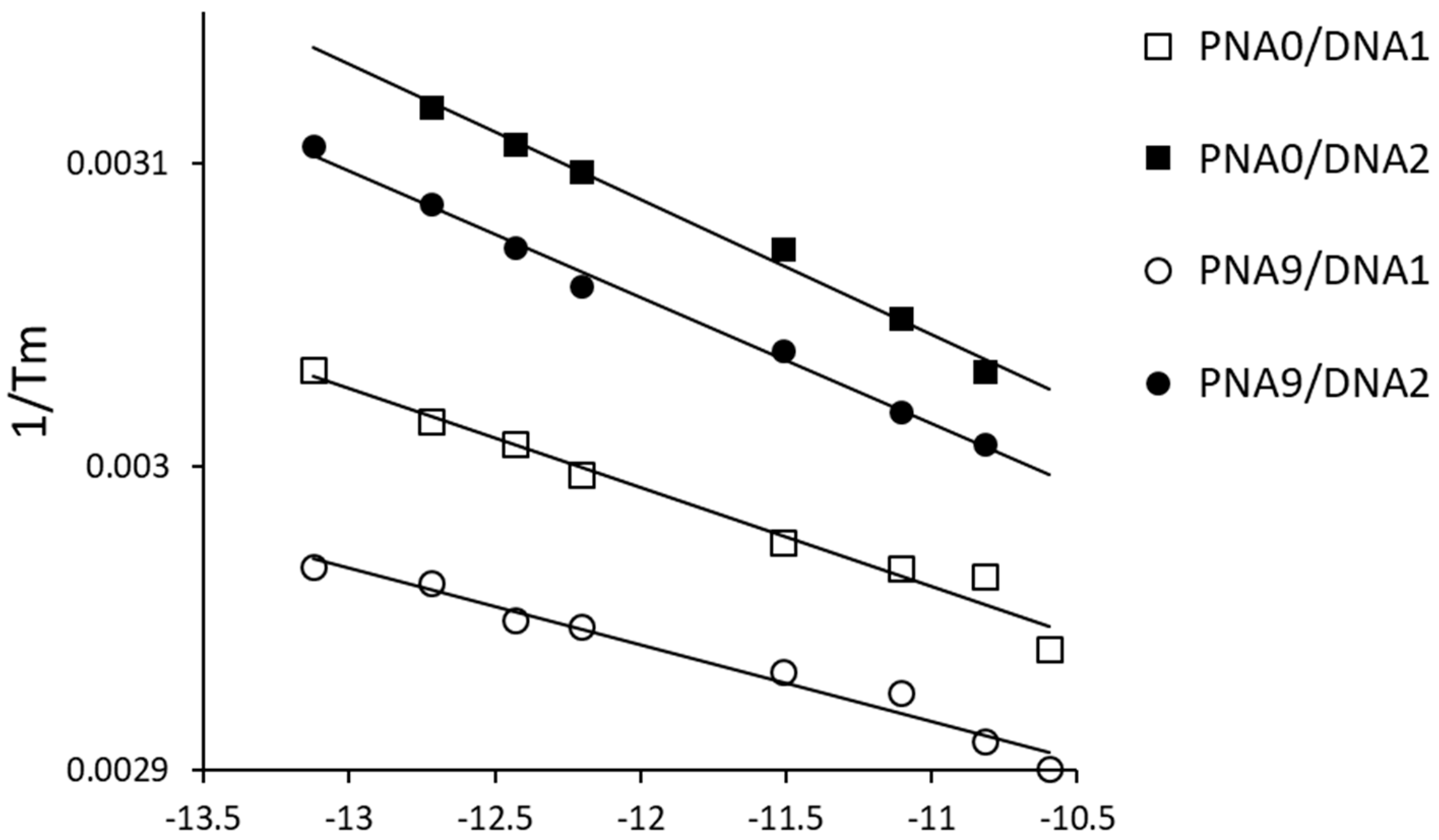
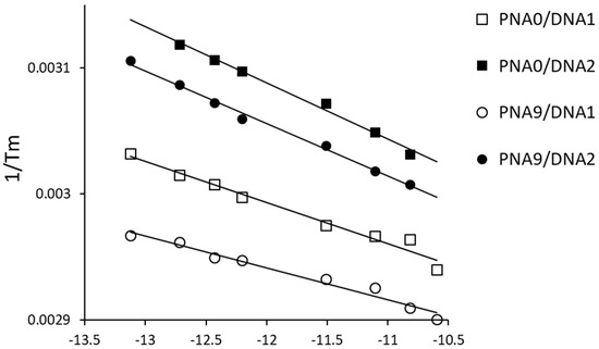
2.5. Thermodynamic Study of the PNA/DNA and Tolane-PNA/DNA Duplexes
2.6. Recognition of Single Base Mismatched DNA by Tolane 9
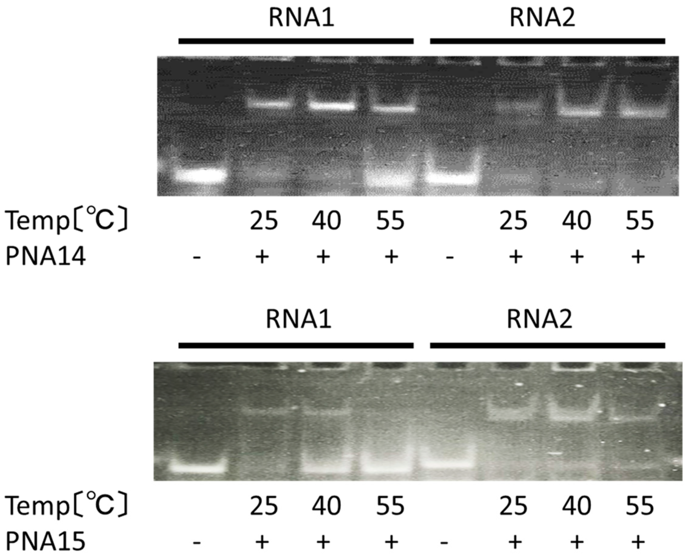
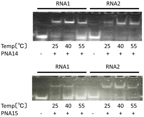
2.7. Detection of Single Nucleotide Polymorphism (SNP) in a Neuraminidase Inhibitor-Resistant Influenza Virus by PNA13 and PNA14 Using a Gel Mobility Shift Assay
3. Materials and Methods
3.1. Chemicals for Synthesis of Tolane Derivatives and General Analysis
3.2. Synthesis of Tolane Derivatives
3.3. Chemicals for PNA Synthesis
3.4. Preparation of Fmoc-Lys-(Boc)-OH Loaded Resin
3.5. PNA Synthesis
3.6. PNA Purification and Analysis
3.7. UV-Melting Analysis of PNA/DNA and Tolane-PNA/DNA
3.8. In silico Conformational Search of Tolane Derivatives in the PNA/DNA Duplex
3.9. Analysis of Duplex Conformation of Tolane-PNA/DNA Duplexes by Fluorescence Spectroscopy
3.10. Gel Mobility Shift Analysis of PNA/RNA Complexes
3.11. Preparation of Influenza A/Yokohama/1/2008/H1N1 and A/Yokohama/77/2008/H1N1
3.12. Discrimination of a SNP in the Neuraminidase Gene of Influenza A Virus by PNA and Tolane-PNA Using Nucleic Acid Chromatography
4. Conclusions
Supplementary Materials
Author Contributions
Funding
Acknowledgments
Conflicts of Interest
References
- Scitable. Definition, SNP. Available online: https://www.nature.com/scitable/definition/snp-295/ (accessed on 10 February 2020).
- Li, J.Z.; Paredes, R.; Ribaudo, H.J.; Svarovskaia, E.S.; Metzner, K.J.; Kozal, M.J.; Hullsiek, K.H.; Balduin, M.; Jakobsen, M.R.; Geretti, A.M.; et al. Low-frequency HIV-1 drug resistance mutations and risk of NNRTI-based antiretroviral treatment failure: A systematic review and pooled analysis. JAMA 2011, 305, 1327–1335. [Google Scholar] [CrossRef] [PubMed]
- Suzuki, Y.; Saito, R.; Sato, I.; Zaraket, H.; Nishikawa, M.; Tamura, T.; Dapat, C.; Caperig-Dapat, I.; Baranovich, T.; Suzuki, T.; et al. Identification of Oseltamivir Resistance among Pandemic and Seasonal Influenza A (H1N1) Viruses by an His275Tyr Genotyping Assay Using the Cycling Probe Method. J. Clin. Microbiol. 2011, 49, 125–130. [Google Scholar] [CrossRef] [PubMed][Green Version]
- Nielsen, P.; Egholm, M.; Berg, R.; Buchardt, O. Sequence-selective recognition of DNA by strand displacement with a thymine-substituted polyamide. Science 1991, 254, 1497–1500. [Google Scholar] [CrossRef] [PubMed]
- Hanvey, J.; Peffer, N.; Bisi, J.; Thomson, S.; Cadilla, R.; Josey, J.; Ricca, D.; Hassman, C.; Bonham, M.; Au, K.; et al. Antisense and antigene properties of peptide nucleic acids. Science 1992, 258, 1481–1485. [Google Scholar] [CrossRef]
- Larsen, H.; Bentin, T.; Nielsen, P.E. Antisense properties of peptide nucleic acid. Biochim. Biophys. Acta (BBA)—Gene Struct. Expr. 1999, 1489, 159–166. [Google Scholar] [CrossRef]
- Ray, A.; Nordén, B. Peptide nucleic acid (PNA): Its medical and biotechnical applications and promise for the future. FASEB J. 2000, 14, 1041–1060. [Google Scholar] [CrossRef]
- Egholm, M.; Buchardt, O.; Christensen, L.; Behrens, C.; Freier, S.M.; Driver, D.A.; Berg, R.H.; Kim, S.K.; Nordén, B.; Nielsen, P.E. PNA hybridizes to complementary oligonucleotides obeying the Watson–Crick hydrogen-bonding rules. Nature 1993, 365, 566–568. [Google Scholar] [CrossRef]
- Demidov, V.V.; Potaman, V.N.; Frank-Kamenetskil, M.; Egholm, M.; Buchard, O.; Sönnichsen, S.H.; Nlelsen, P.E. Stability of peptide nucleic acids in human serum and cellular extracts. Biochem. Pharmacol. 1994, 48, 1310–1313. [Google Scholar] [CrossRef]
- Hamilton, S.E.; Iyer, M.; Norton, J.C.; Corey, D.R. Specific and nonspecific inhibition of transcription by DNA, PNA, and phosphorothioate promoter analog duplexes. Bioorganic Med. Chem. Lett. 1996, 6, 2897–2900. [Google Scholar] [CrossRef]
- Ross, P.L.; Lee, K.; Belgrader, P. Discrimination of single-nucleotide polymorphisms in human DNA using peptide nucleic acid probes detected by MALDI-TOF mass spectrometry. Anal. Chem. 1997, 69, 4197–4202. [Google Scholar] [CrossRef]
- Ren, B.; Zhou, J.-M.; Komiyama, M. Straightforward detection of SNPs in double-stranded DNA by using exonuclease III/nuclease S1/PNA system. Nucleic Acids Res. 2004, 32, e42. [Google Scholar] [CrossRef] [PubMed][Green Version]
- Boontha, B.; Nakkuntod, J.; Hirankarn, N.; Chaumpluk, P.; Vilaivan, T. Multiplex Mass Spectrometric Genotyping of Single Nucleotide Polymorphisms Employing Pyrrolidinyl Peptide Nucleic Acid in Combination with Ion-Exchange Capture. Anal. Chem. 2008, 80, 8178–8186. [Google Scholar] [CrossRef] [PubMed]
- Gaylord, B.S.; Massie, M.R.; Feinstein, S.C.; Bazan, G.C. SNP detection using peptide nucleic acid probes and conjugated polymers: Applications in neurodegenerative disease identification. Proc. Natl. Acad. Sci. USA 2005, 102, 34–39. [Google Scholar] [CrossRef] [PubMed]
- Rockenbauer, E.; Petersen, K.; Vogel, U.; Bolund, L.; Kølvraa, S.; Nielsen, K.V.; Nexø, B.A. SNP genotyping using microsphere-linked PNA and flow cytometric detection. Cytom. Part. A 2005, 64, 80–86. [Google Scholar] [CrossRef]
- Bethge, L.; Jarikote, D.V.; Seitz, O. New cyanine dyes as base surrogates in PNA: Forced intercalation probes (FIT-probes) for homogeneous SNP detection. Bioorganic Med. Chem. 2008, 16, 114–125. [Google Scholar] [CrossRef]
- Socher, E.; Jarikote, D.V.; Knoll, A.; Röglin, L.; Burmeister, J.; Seitz, O. FIT probes: Peptide nucleic acid probes with a fluorescent base surrogate enable real-time DNA quantification and single nucleotide polymorphism discovery. Anal. Biochem. 2008, 375, 318–330. [Google Scholar] [CrossRef]
- Ditmangklo, B.; Taechalertpaisarn, J.; Siriwong, K.; Vilaivan, T. Clickable styryl dyes for fluorescence labeling of pyrrolidinyl PNA probes for the detection of base mutations in DNA. Org. Biomol. Chem. 2019, 17, 9712–9725. [Google Scholar] [CrossRef]
- Kam, Y.; Rubinstein, A.; Nissan, A.; Halle, D.; Yavin, E. Detection of Endogenous K-ras mRNA in Living Cells at a Single Base Resolution by a PNA Molecular Beacon. Mol. Pharm. 2012, 9, 685–693. [Google Scholar] [CrossRef]
- Kolevzon, N.; Hashoul, D.; Naik, S.; Rubinstein, A.; Yavin, E. Single point mutation detection in living cancer cells by far-red emitting PNA–FIT probes. Chem. Commun. 2016, 52, 2405–2407. [Google Scholar] [CrossRef]
- Sawada, S.; Takao, T.; Kato, N.; Kaihatsu, K. Design of Tail-Clamp Peptide Nucleic Acid Tethered with Azobenzene Linker for Sequence-Specific Detection of Homopurine DNA. Molecules 2017, 22, 1840. [Google Scholar] [CrossRef]
- Dogan, Z.; Paulini, R.; Stütz, J.A.R.; Narayanan, S.; Richert, C. 5′-Tethered Stilbene Derivatives as Fidelity- and Affinity-Enhancing Modulators of DNA Duplex Stability. J. Am. Chem. Soc. 2004, 126, 4762–4763. [Google Scholar] [CrossRef] [PubMed]
- Kawakami, C.; Obuchi, M.; Saikusa, M.; Noguchi, Y.; Ujike, M.; Odagiri, T.; Iwata, M.; Toyozawa, T.; Tashiro, M. Isolation of oseltamivir-resistant influenza A/H1N1 virus of different origins in Yokohama City, Japan, during the 2007-2008 influenza season. Jpn. J. Infect. Dis. 2009, 62, 83–86. [Google Scholar] [PubMed]
- Kaihatsu, K.; Shah, R.H.; Zhao, X.; Corey, D.R. Extending Recognition by Peptide Nucleic Acids (PNAs): Binding to Duplex DNA and Inhibition of Transcription by Tail-Clamp PNA−Peptide Conjugates †. Biochemistry 2003, 42, 13996–14003. [Google Scholar] [CrossRef] [PubMed]
- Kaihatsu, K.; Sawada, S.; Nakamura, S.; Nakaya, T.; Yasunaga, T.; Kato, N. Sequence-Specific and Visual Identification of the Influenza Virus NS Gene by Azobenzene-Tethered Bis-Peptide Nucleic Acid. PLoS ONE 2013, 8, e64017. [Google Scholar] [CrossRef] [PubMed]
- Kaihatsu, K.; Sawada, S.; Kato, N. Rapid Identification of Swine-Origin Influenza A Virus by Peptide Nucleic Acid Chromatography. J. Antivirals Antiretrovir. 2013, 5, 77–79. [Google Scholar]
- Kemler, I.; Whittaker, G.; Helenius, A. Nuclear Import of Microinjected Influenza Virus Ribonucleoproteins. Virology 1994, 202, 1028–1033. [Google Scholar] [CrossRef]
Sample Availability: Samples of the compounds are not available from the authors. |











| Name | PNA (N-C)/DNA or RNA (5′-3′) | Mass | |
|---|---|---|---|
| Calculated | Found | ||
| PNA0 | TTCCCTCCTCTA-Lys | 3258.38 | 3261.74 |
| PNA1 | Tolane1-TTCCCTCCTCTA-Lys | 3490.67 | 3495.84 |
| PNA2 | Tolane2-TTCCCTCCTCTA-Lys | 3476.65 | 3482.33 |
| PNA3 | Tolane3-TTCCCTCCTCTA-Lys | 3504.70 | 3508.71 |
| PNA4 | Tolane4-TTCCCTCCTCTA-Lys | 3518.73 | 3519.78 |
| PNA5 | Tolane5-TTCCCTCCTCTA-Lys | 3532.76 | 3536.00 |
| PNA6 | Tolane6-TTCCCTCCTCTA-Lys | 3520.70 | 3520.79 |
| PNA7 | Tolane7-TTCCCTCCTCTA-Lys | 3520.70 | 3521.16 |
| PNA8 | Tolane8-TTCCCTCCTCTA-Lys | 3533.72 | 3534.27 |
| PNA9 | Tolane9-TTCCCTCCTCTA-Lys | 3570.76 | 3570.68 |
| PNA10 | Tolane10-TTCCCTCCTCTA-Lys | 3644.85 | 3642.05 |
| PNA11 | Tolane11-TTCCCTCCTCTA-Lys | 3550.73 | 3552.13 |
| PNA12 | Tolane12-TTCCCTCCTCTA-Lys | 3545.71 | 3546.78 |
| DNA1 | ATGTCCTAGAGGAGGGAATAA | - | - |
| DNA2 | ATGTCCTAGAGGAGGGCATAA | - | - |
| PNA | Tm (°C) | ||
|---|---|---|---|
| Match 1 | Mismatch 2 | ∆Tm 3 | |
| 0 | 56.5 ± 0.9 | 48.6 ± 0.9 | 7.9 |
| 1 | 60.8 ± 0.6 | 48.8 ± 0.7 | 12.0 |
| 2 | 59.3 ± 0.9 | 48.5 ± 0.9 | 10.8 |
| 3 | 60.1 ± 0.1 | 48.1 ± 0.7 | 12.0 |
| 4 | 61.7 ± 0.9 | 48.7 ± 0.8 | 13.0 |
| 5 | 59.6 ± 0.2 | 48.4 ± 0.3 | 11.2 |
| 6 | 63.0 ± 0.6 | 48.5 ± 0.9 | 14.5 |
| 7 | 62.2 ± 0.3 | 48.8 ± 0.6 | 13.4 |
| 8 | 60.9 ± 0.3 | 48.7 ± 0.4 | 12.2 |
| 9 | 64.8 ± 0.6 | 48.3 ± 0.9 | 16.5 |
| 10 | 60.7 ± 1.2 4 | 48.6 ± 0.3 4 | 12.1 4 |
| 11 | 60.9 ± 0.5 | 48.9 ± 0.7 | 12.0 |
| 12 | 63.3 ± 0.7 | 49.2 ± 0.2 | 14.1 |
| ∆G°(298K) (kcal/mol) | ∆H° (kcal/mol) | ∆S°(298K) (cal/mol·K) | Tm °C | |
|---|---|---|---|---|
| PNA0/DNA1 | −13.7 | −61.8 | −159.5 | 56.6 ± 0.9 |
| PNA9/DNA1 | −16.9 | −79.1 | −208.8 | 64.9 ± 0.6 |
| PNA0/DNA2 | −10.7 | −44.6 | −113.7 | 49.4 ± 0.9 |
| PNA9/DNA2 | −11.3 | −47.6 | −121.5 | 50.2 ± 0.9 |
| PNA (N-C)/DNA (5′-3′) | |
|---|---|
| PNA0 | TTCCCTCCTCTA-Lys |
| PNA9 | Tolane9-TTCCCTCCTCTA-Lys |
| DNA1 | ATGTCCTAGAGGAGGGAATAA |
| DNA3-T | ATGTCCTAGAGGAGGGATTAA |
| DNA3-G | ATGTCCTAGAGGAGGGAGTAA |
| DNA3-C | ATGTCCTAGAGGAGGGACTAA |
| DNA4-T | ATGTCCTAGAGGAGGGTATAA |
| DNA4-G | ATGTCCTAGAGGAGGGGATAA |
| DNA4-C | ATGTCCTAGAGGAGGGCATAA |
| DNA5-T | ATGTCCTAGAGGAGGTAATAA |
| DNA5-A | ATGTCCTAGAGGAGGAAATAA |
| DNA5-C | ATGTCCTAGAGGAGGCAATAA |
| PNA | Tm (°C) | |||||||||
|---|---|---|---|---|---|---|---|---|---|---|
| Matched 1 DNA1 | Mismatched 1 DNA3 | Mismatched 1 DNA4 | Mismatched 1 DNA5 | |||||||
| T/A | T/T | T/G | T/C | T/T | T/G | T/C | C/T | C/A | C/C | |
| PNA0 | 56.6 (±0.9) | 57.0 (±0.4) | 57.7 (±0.3) | 53.0 (±0.9) | 56.7 (±1.9) | 56.6 (±1.2) | 49.6 (±0.9) | 54.0 (±0.8) | 53.7 (±0.7) | 52.5 (±1.1) |
| PNA9 | 64.9 (±0.6) | 59.5 (±0.1) | 60.1 (±0.3) | 53.3 (±0.2) | 58.5 (±0.8) | 59.2 (±0.9) | 50.2 (±0.9) | 55.4 (±0.4) | 55.2 (±0.5) | 52.8 (±0.5) |
| Name | PNA (N-C)/RNA (5′-3′) or DNA | Mass | |
|---|---|---|---|
| Calculated. | Found | ||
| PNA13 | TTTTATTATGAG-Lys-O-O-Lys-biotin | 4062.35 | 4063.27 |
| PNA14 | Tolane9-TTTTATTATGAG-Lys-O-O-Lys-biotin | 4374.45 | 4374.45 |
| DNA6 | GCATTCCTCATAATAGAAATT | - | - |
| DNA7 | GCATTCCTCATAATAAAAATT | - | - |
| RNA1 | Cy5-GCAUUCCUCAUAAUAGAAAUU | - | - |
| RNA2 | Cy5-GCAUUCCUCAUAAUAAAAAUU | -- | - |
| Tm1 (°C) With Sensitive Sequence | Tm2 (°C) With Resistant Sequence | ΔTm (Tm2 − Tm1) (°C) | |
|---|---|---|---|
| PNA13 | 48.0 (DNA6) | 53.5 (DNA7) | 5.5 |
| PNA14 | 47.6 (DNA6) | 59.3 (DNA7) | 11.7 |
| PNA13 | 40.2 (RNA1) | 51.7 (RNA2) | 11.5 |
| PNA14 | 31.5 (RNA1) | 55.3 (RNA2) | 23.8 |
© 2020 by the authors. Licensee MDPI, Basel, Switzerland. This article is an open access article distributed under the terms and conditions of the Creative Commons Attribution (CC BY) license (http://creativecommons.org/licenses/by/4.0/).
Share and Cite
Takagi, K.; Hayashi, T.; Sawada, S.; Okazaki, M.; Hori, S.; Ogata, K.; Kato, N.; Ebara, Y.; Kaihatsu, K. SNP Discrimination by Tolane-Modified Peptide Nucleic Acids: Application for the Detection of Drug Resistance in Pathogens. Molecules 2020, 25, 769. https://doi.org/10.3390/molecules25040769
Takagi K, Hayashi T, Sawada S, Okazaki M, Hori S, Ogata K, Kato N, Ebara Y, Kaihatsu K. SNP Discrimination by Tolane-Modified Peptide Nucleic Acids: Application for the Detection of Drug Resistance in Pathogens. Molecules. 2020; 25(4):769. https://doi.org/10.3390/molecules25040769
Chicago/Turabian StyleTakagi, Kenji, Tenko Hayashi, Shinjiro Sawada, Miku Okazaki, Sakiko Hori, Katsuya Ogata, Nobuo Kato, Yasuhito Ebara, and Kunihiro Kaihatsu. 2020. "SNP Discrimination by Tolane-Modified Peptide Nucleic Acids: Application for the Detection of Drug Resistance in Pathogens" Molecules 25, no. 4: 769. https://doi.org/10.3390/molecules25040769
APA StyleTakagi, K., Hayashi, T., Sawada, S., Okazaki, M., Hori, S., Ogata, K., Kato, N., Ebara, Y., & Kaihatsu, K. (2020). SNP Discrimination by Tolane-Modified Peptide Nucleic Acids: Application for the Detection of Drug Resistance in Pathogens. Molecules, 25(4), 769. https://doi.org/10.3390/molecules25040769

