Synthesis and Influence of 3-Amino Benzoxaboroles Structure on Their Activity against Candida albicans
Abstract
1. Introduction
2. Results and Discussion
2.1. Synthesis and Structural Studies
2.2. Studies of Activity against Candida albicans
3. Conclusions
4. Experimental Section
4.1. Materials and Methods
4.2. Synthetic Procedures and Characterization Data
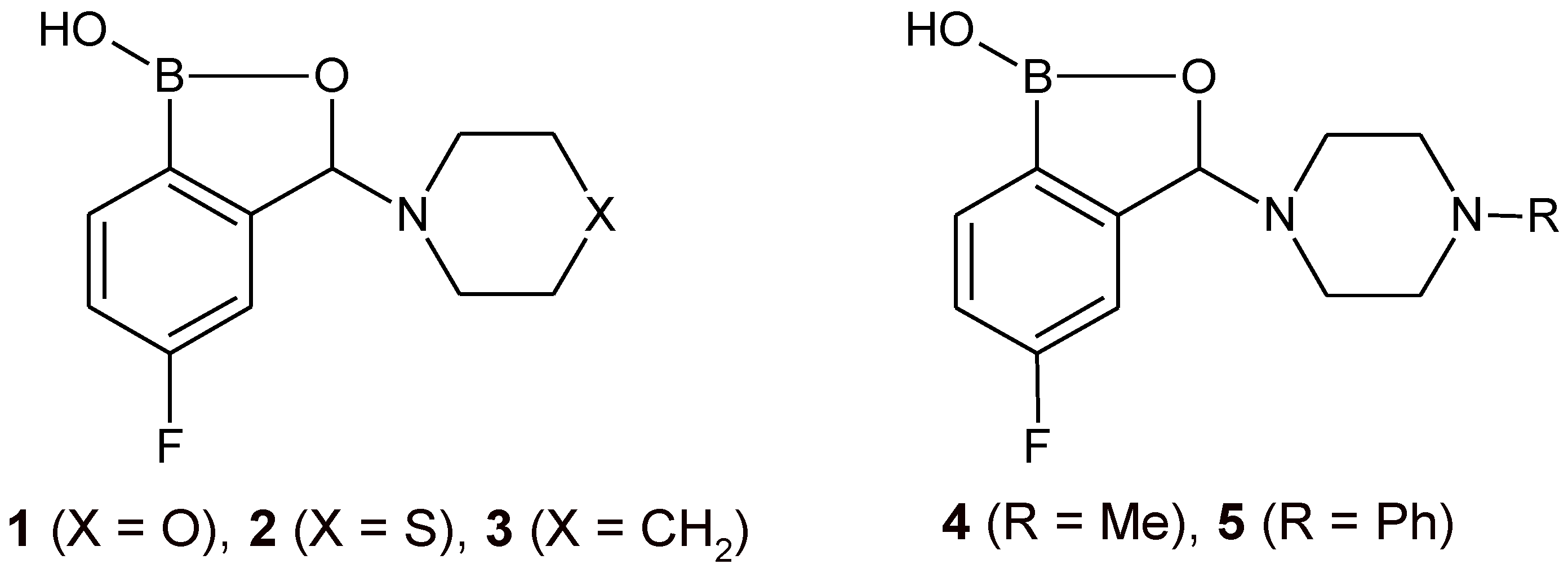
- 5-Fluoro-3-morpholin-4-yl-2,1-benzoxaborol-1(3H)-ol (1)
- 5-Fluoro-3-thiomorpholin-4-yl-2,1-benzoxaborol-1(3H)-ol (2)
- 5-Fluoro-3-piperidin-1-yl-2,1-benzoxaborol-1(3H)-ol (3)
- 5-Fluoro-3-(4-methylpiperazin-1-yl)-2,1-benzoxaborol-1(3H)-ol (4)
- 5-Fluoro-3-(4-phenylpiperazin-1-yl)-2,1-benzoxaborol-1(3H)-ol (5)
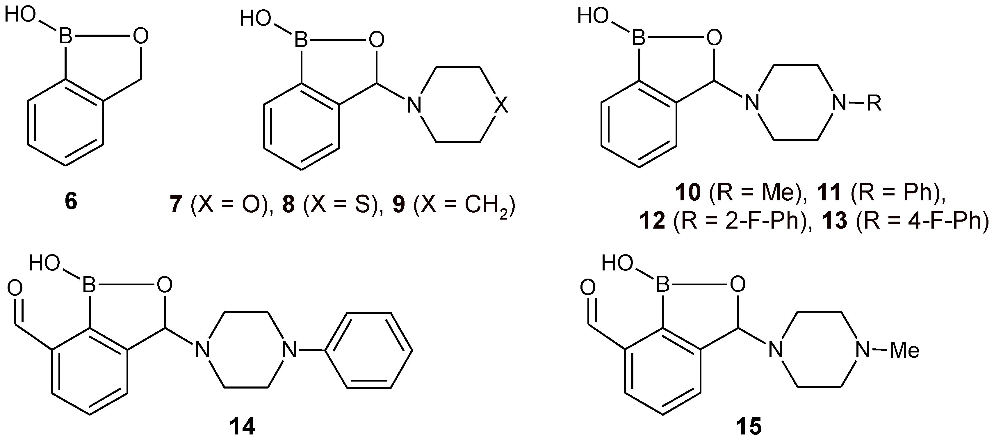
- 2,1-Benzoxaborol-1(3H)-ol (6)
- 3-Morpholin-4-yl-2,1-benzoxaborol-1(3H)-ol (7)
- 3-Thiomorpholin-4-yl-2,1-benzoxaborol-1(3H)-ol (8)
- 3-Piperidin-1-yl-2,1-benzoxaborol-1(3H)-ol (9)
- 3-(4-Methylpiperazin-1-yl)-2,1-benzoxaborol-1(3H)-ol (10)
- 3-(4-Phenylpiperazin-1-yl)-2,1-benzoxaborol-1(3H)-ol (11)
- 1-Hydroxy-3-(4-phenylpiperazin-1-yl)-1,3-dihydro-2,1-benzoxaborole-7-carbaldehyde (14)
- 1-Hydroxy-3-(4-methylpiperazin-1-yl)-1,3-dihydro-2,1-benzoxaborole-7-carbaldehyde (15)
Supplementary Materials
Author Contributions
Funding
Conflicts of Interest
References
- Adamczyk-Woźniak, A.; Borys, K.M.; Sporzyński, A. Recent Developments in the Chemistry and Biological Applications of Benzoxaboroles. Chem. Rev. 2015, 115, 5224–5247. [Google Scholar] [CrossRef] [PubMed]
- Pfaller, M.A.; Pappas, P.G.; Wingard, J.R. Invasive Fungal Pathogens: Current Epidemiological Trends. Clin. Infect. Dis. 2006, 43, S3–S14. [Google Scholar] [CrossRef]
- Liu, N.; Tu, J.; Dong, G.; Wang, Y.; Sheng, C. Emerging New Targets for the Treatment of Resistant Fungal Infections. J. Med. Chem. 2018, 61, 5484–5511. [Google Scholar] [CrossRef] [PubMed]
- Turner, S.A.; Butler, G. The Candida Pathogenic Species Complex. Cold Spring Harb. Perspect. Med. 2014, 4, a019778. [Google Scholar] [CrossRef]
- Bondaryk, M.; Kurzątkowski, W.; Staniszewska, M. Antifungal agents commonly used in the superficial and mucosal candidiasis treatment: Mode of action and resistance development. Adv. Dermatol. Allergol. 2013, 30, 293–301. [Google Scholar] [CrossRef]
- Lipner, S.R.; Scher, R.K. Onychomycosis: Treatment and prevention of recurrence. J. Am. Acad. Dermatol. 2019, 80, 853–867. [Google Scholar] [CrossRef]
- Zane, L.T.; Chanda, S.; Coronado, D.; Del Rosso, J. Antifungal agents for onychomycosis: New treatment strategies to improve safety. Dermatol. Online J. 2016, 22, 1. Available online: https://escholarship.org/uc/item/8d (accessed on 17 December 2020).
- Elewski, B.; Pariser, D.; Rich, P.; Scher, R.K. Current and emerging options in the treatment of onychomycosis. Semin. Cutan. Med. Surg. 2013, 32, S9–S12. [Google Scholar] [CrossRef]
- Thomas, J.; Peterson, G.M.; Christenson, J.K.; Kosari, S.; Baby, K.E. Antifungal Drug Use for Onychomycosis. Am. J. Ther. 2019, 26, E388–E396. [Google Scholar] [CrossRef]
- Fernandes, G.F.S.; Denny, W.A.; Dos Santos, J.L. Boron in drug design: Recent advances in the development of new therapeutic agents. Eur. J. Med. Chem. 2019, 179, 791–804. [Google Scholar] [CrossRef]
- Kubota-Ishida, N.; Takei-Masuda, N.; Kaneda, K.; Nagira, Y.; Chikada, T.; Nomoto, M.; Tabata, Y.; Takahata, S.; Maebashi, K.; Hui, X.; et al. In vitro human onychopharmacokinetic and pharmacodynamic analyses of me1111, a new topical agent for onychomycosis. Antimicrob. Agents Chemother. 2018, 62, e00779-17. [Google Scholar] [CrossRef] [PubMed]
- Ciaravino, V.; Coronado, D.; Lanphear, C.; Hoberman, A.; Chanda, S. Tavaborole, a Novel Boron-Containing Small Molecule Pharmaceutical Agent for Topical Treatment of Onychomycosis: I. Reproductive and Developmental Toxicity Studies. Int. J. Toxicol. 2016, 35, 530–542. [Google Scholar] [CrossRef] [PubMed]
- Elewski, B.E.; Tosti, A. Tavaborole for the treatment of onychomycosis. Expert Opin. Pharmacother. 2014, 15, 1439–1448. [Google Scholar] [CrossRef] [PubMed]
- Abastabar, M.; Haghani, I.; Shokohi, T.; Hedayati, M.T.; Aghili, S.R.; Shabanzadeh, S.; Badali, H.; Jedi, A.; Dadashi, S.; Hosseini, T.; et al. Low in vitro antifungal activity of tavaborole against yeasts and molds from onychomycosis. Antimicrob. Agents Chemother. 2018, 62, e01632-18. [Google Scholar] [CrossRef]
- Rock, F.L.; Mao, W.; Yaremchuk, A.; Tukalo, M.; Crépin, T.; Zhou, H.; Zhang, Y.K.; Hernandez, V.; Akama, T.; Baker, S.J.; et al. An antifungal agent inhibits an aminoacyl-tRNA synthetase by trapping tRNA in the editing site. Science 2007, 316, 1759–1761. [Google Scholar] [CrossRef]
- Gupta, A.K.; Daigle, D. Potential role of tavaborole for the treatment of onychomycosis. Future Microbiol. 2014, 9, 1243–1250. [Google Scholar] [CrossRef]
- Wermuth, C. Similarity in drugs: Reflections on analogue design. Drug Discov. Today 2006, 11, 348–354. [Google Scholar] [CrossRef]
- Wu, G.; Zhao, T.; Kang, D.; Zhang, J.; Song, Y.; Namasivayam, V.; Kongsted, J.; Pannecouque, C.; De Clercq, E.; Poongavanam, V.; et al. Overview of Recent Strategic Advances in Medicinal Chemistry. J. Med. Chem. 2019, 62, 9375–9414. [Google Scholar] [CrossRef]
- Wieczorek, D.; Lipok, J.; Borys, K.M.; Adamczyk-Woźniak, A.; Sporzyński, A. Investigation of fungicidal activity of 3-piperazine-bis(benzoxaborole) and its boronic acid analogue. Appl. Organomet. Chem. 2014, 28, 347–350. [Google Scholar] [CrossRef]
- Borys, K.M.; Matuszewska, A.; Wieczorek, D.; Kopczyńska, K.; Lipok, J.; Madura, I.D.; Adamczyk-Woźniak, A. Synthesis and structural elucidation of novel antifungal N-(fluorophenyl)piperazinyl benzoxaboroles and their analogues. J. Mol. Struct. 2019, 1181, 587–598. [Google Scholar] [CrossRef]
- Adamczyk-Woźniak, A.; Komarovska-Porokhnyavets, O.; Misterkiewicz, B.; Novikov, V.P.; Sporzyński, A. Biological activity of selected boronic acids and their derivatives. Appl. Organomet. Chem. 2012, 26, 390–393. [Google Scholar] [CrossRef]
- Borys, K.M.; Wieczorek, D.; Tarkowska, M.; Jankowska, A.; Lipok, J.; Adamczyk-Woźniak, A. Mechanochemical synthesis of antifungal bis(benzoxaboroles). RSC Adv. 2020, 10, 37187–37193. [Google Scholar] [CrossRef]
- Adamczyk-Woźniak, A.; Madura, I.; Velders, A.H.; Sporzyński, A. Diverse reactivity of 2-formylphenylboronic acid with secondary amines: Synthesis of 3-amino-substituted benzoxaboroles. Tetrahedron Lett. 2010, 51, 6181–6185. [Google Scholar] [CrossRef]
- Adamczyk-Woźniak, A.; Borys, K.M.; Madura, I.D.; Pawełko, A.; Tomecka, E.; Żukowski, K. Lewis acidity and sugar receptor activity of 3-amino-substituted benzoxaboroles and their ortho-aminomethylphenylboronic acid analogues. New J. Chem. 2013, 37, 188–194. [Google Scholar] [CrossRef]
- Adamczyk-Woźniak, A.; Borys, K.M.; Madura, I.D.; Michałek, S.; Pawełko, A. Straightforward synthesis and crystal structures of the 3-piperazine-bisbenzoxaboroles and their boronic acid analogs. Tetrahedron 2013, 69, 8936–8942. [Google Scholar] [CrossRef]
- Madura, I.D.; Adamczyk-Woźniak, A.; Jakubczyk, M.; Sporzyński, A. 5-Fluoro-1,3-dihydro-2,1-benzoxaborol-1-ol. Acta Crystallogr. Sect. E Struct. Rep. Online 2011, 67, o414–o415. [Google Scholar] [CrossRef]
- Adamczyk-Woźniak, A.; Cyrański, M.K.; Jakubczyk, M.; Klimentowska, P.; Koll, A.; Kołodziejczak, J.; Pojmaj, G.; Żubrowska, A.; Żukowska, G.Z.; Sporzyński, A. Influence of the substituents on the structure and properties of benzoxaboroles. J. Phys. Chem. A 2010, 114, 2324–2330. [Google Scholar] [CrossRef]
- Sporzyński, A.; Lewandowski, M.; Rogowska, P.; Cyrański, M.K. 1,3-Dihydro-1-hydroxy-3-morpholin-4-yl-2,1-benzoxaborole: Product of the reaction of o-formylphenylboronic acid with morpholine. Appl. Organomet. Chem. 2005, 19, 1202–1203. [Google Scholar] [CrossRef]
- Czerwińska, K.; Madura, I.D.; Zachara, J. Geometry of trigonal boron coordination sphere in boronic acids derivatives—A bond-valence vector model approach. Acta Crystallogr. Sect. B 2016, 72, 241–248. [Google Scholar] [CrossRef]
- Farrugia, L.J. WinGX and ORTEP for Windows: An update. J. Appl. Crystallogr. 2012, 45, 849–854. [Google Scholar] [CrossRef]
- Adamczyk-Woźniak, A.; Gozdalik, J.T.; Wieczorek, D.; Madura, I.D.; Kaczorowska, E.; Brzezińska, E.; Sporzyński, A.; Lipok, J. Synthesis, Properties and Antimicrobial Activity of 5-Trifluoromethyl-2-formylphenylboronic Acid. Molecules 2020, 25, 799. [Google Scholar] [CrossRef] [PubMed]
- Borys, K.M.; Wieczorek, D.; Pecura, K.; Lipok, J.; Adamczyk-Woźniak, A. Antifungal activity and tautomeric cyclization equilibria of formylphenylboronic acids. Bioorg. Chem. 2019, 91, a103081. [Google Scholar] [CrossRef] [PubMed]
- CrysAlisPro, Version 1.171.38.46; Rigaku: Tolyo, Japan, 2018.
- Dolomanov, O.V.; Bourhis, L.J.; Gildea, R.J.; Howard, J.A.K.; Puschmann, H. OLEX2: A complete structure solution, refinement and analysis program. J. Appl. Crystallogr. 2009, 42, 339–341. [Google Scholar] [CrossRef]
- Sheldrick, G.M. Integrated space-group and crystal-structure determination. Acta Crystallogr. Sect. A 2015, 71, 3–8. [Google Scholar] [CrossRef] [PubMed]
- Sheldrick, G.M. Crystal structure refinement with SHELXL. Acta Crystallogr. Sect. C 2015, 71, 3–8. [Google Scholar] [CrossRef]
- Macrae, C.F.; Bruno, I.J.; Chisholm, J.A.; Edgington, P.R.; McCabe, P.; Pidcock, E.; Rodriguez-Monge, L.; Taylor, R.; van de Streek, J.; Wood, P.A. Mercury CSD 2.0—New features for the visualization and investigation of crystal structures. J. Appl. Crystallogr. 2008, 41, 466–470. [Google Scholar] [CrossRef]






| Compound | 10 μg | 25 μg | 50 μg | 100 μg | DMSO | MIC (μg/mL) |
|---|---|---|---|---|---|---|
| amphotericine B | 9 ± 1 | 9 ± 1 | 8 ± 1 | 9 ± 1 | 0 | <=1 |
| Tavaborole [31] | 40 ± 1 | 44 ± 1 | 48 ± 2 | 54 ± 2 | 0 | 2 |
| 1 | 20 ± 1 | 25 ± 2 | 28 ± 2 | 31 ± 3 | 0 | 62.5 |
| 2 | 20 ± 1 | 25 ± 1 | 27 ± 2 | 29 ± 1 | 0 | 62.5 |
| 3 | 20 ± 2 | 25 ± 1 | 27 ± 2 | 31 ± 1 | 0 | 62.5 |
| 4 | 12 ± 1 | 27 ± 1 | 30 ± 1 | 34 ± 1 | 0 | 31.2 |
| 5 | 19 ± 1 | 25 ± 2 | 28 ± 1 | 32 ± 1 | 0 | 31.2 |
| 6 | 30 ± 1 | 36 ± 1 | 39 ± 1 | 44 ± 2 | 0 | 8 |
| 7 | 11 ± 1 | 17 ± 1 | 23 ± 1 | 27 ± 1 | 0 | 125 |
| 8 | 7 ± 1 | 13 ± 2 | 20 ± 2 | 25 ± 2 | 0 | 125 |
| 9 | 10 ± 1 | 16 ± 2 | 22 ± 1 | 26 ± 2 | 0 | 125 |
| 10 | 6 * ± 1 | 14 ± 1 | 21 ± 1 | 28 ± 1 | 0 | 62.5 |
| 11 | 5 * ± 1 | 10 ± 1 | 18 ± 1 | 21 ± 1 | 0 | 62.5 |
| 12 | 5 * ± 1 | 15 ± 1 | 22 ± 2 | 26 ± 1 | 0 | 62.5 |
| 13 | 12 ± 1 | 18 ± 2 | 22 ± 1 | 27 ±1 | 0 | 62.5 |
| 14 | 0 | 0 | 0 | 0 | 0 | >250 |
| 15 | 0 | 0 | 0 | 0 | 0 | >500 |
Sample Availability: Not available. | |
Publisher’s Note: MDPI stays neutral with regard to jurisdictional claims in published maps and institutional affiliations. |
© 2020 by the authors. Licensee MDPI, Basel, Switzerland. This article is an open access article distributed under the terms and conditions of the Creative Commons Attribution (CC BY) license (http://creativecommons.org/licenses/by/4.0/).
Share and Cite
Wieczorek, D.; Kaczorowska, E.; Wiśniewska, M.; Madura, I.D.; Leśniak, M.; Lipok, J.; Adamczyk-Woźniak, A. Synthesis and Influence of 3-Amino Benzoxaboroles Structure on Their Activity against Candida albicans. Molecules 2020, 25, 5999. https://doi.org/10.3390/molecules25245999
Wieczorek D, Kaczorowska E, Wiśniewska M, Madura ID, Leśniak M, Lipok J, Adamczyk-Woźniak A. Synthesis and Influence of 3-Amino Benzoxaboroles Structure on Their Activity against Candida albicans. Molecules. 2020; 25(24):5999. https://doi.org/10.3390/molecules25245999
Chicago/Turabian StyleWieczorek, Dorota, Ewa Kaczorowska, Marta Wiśniewska, Izabela D. Madura, Magdalena Leśniak, Jacek Lipok, and Agnieszka Adamczyk-Woźniak. 2020. "Synthesis and Influence of 3-Amino Benzoxaboroles Structure on Their Activity against Candida albicans" Molecules 25, no. 24: 5999. https://doi.org/10.3390/molecules25245999
APA StyleWieczorek, D., Kaczorowska, E., Wiśniewska, M., Madura, I. D., Leśniak, M., Lipok, J., & Adamczyk-Woźniak, A. (2020). Synthesis and Influence of 3-Amino Benzoxaboroles Structure on Their Activity against Candida albicans. Molecules, 25(24), 5999. https://doi.org/10.3390/molecules25245999

