Self-Assembly of Antiferromagnetically-Coupled Copper(II) Supramolecular Architectures with Diverse Structural Complexities
Abstract
1. Introduction
2. Results and Discussion
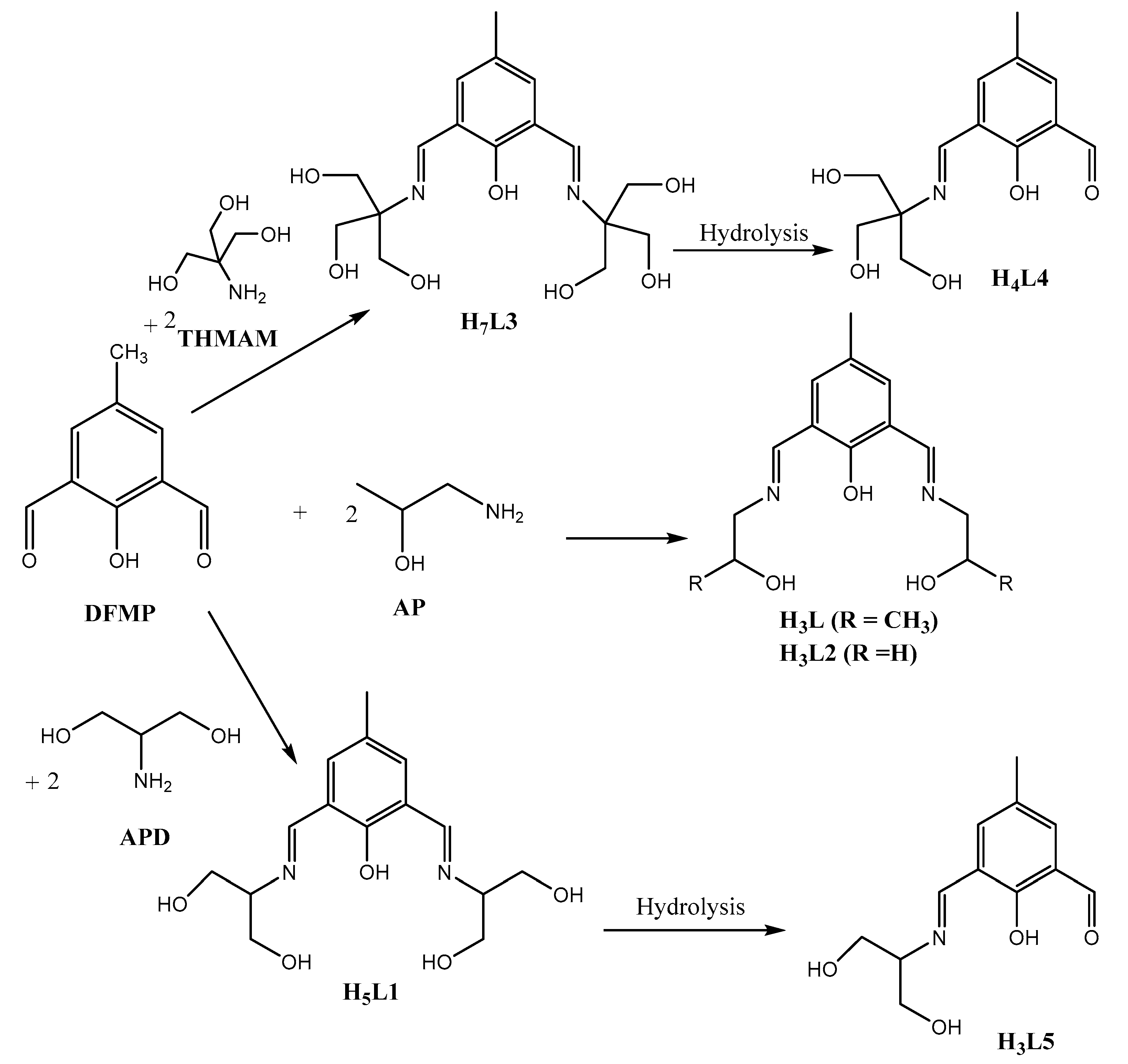
2.1. Synthesis of the Complexes
2.2. Description of Structures
2.2.1. [Cu4(HL2−)2(N3)4]·4CH3OH·56H2O (1)
2.2.2. [Cu4(L3−)2(OH)2(H2O)2] (2)
2.2.3. [Cu2(H3L12−)(N3)(H2O)(NO3)] (3)
2.2.4. {[Cu2(H3L12−)(H2O)(BF4)(N3)]·H2O}n (4)
2.2.5. [Cu7(H3L12−)2(O)2(C6H5CO2)6]·6CH3OH·44H2O (5)
2.2.6. [Cu10(H3L12−)4(O)2(OH)2(C6H5CO2)4](C6H5CO2)2·20H2O (6)
2.3. Magnetic Properties
2.4. Magneto-Structural Relationships
2.5. Powder X-ray Diffraction Studies
3. Materials and Methods
3.1. Physical Measurements
3.2. Material
3.3. Synthesis of the Coordination Complexes
3.3.1. [Cu4(HL2−)2(N3)4]·CH3OH·14H2O (1)
3.3.2. [Cu4(L3−)2(OH)2(H2O)2]·CH3OH·11H2O (2)
3.3.3. [Cu2(H3L12−)(N3)(H2O)(NO3)] (3)
3.3.4. {[Cu2(H3L12−)(H2O)(BF4)(N3)]·H2O}n (4)
3.3.5. [Cu7(H3L12−)2(O)2(C6H5CO2)6]·6CH3OH·44H2O (5)
3.3.6. [Cu10(H3L12−)4(O)2(OH)2(C6H5CO2)4](C6H5CO2H)2·20H2O (6)
3.4. X-ray Crystallography
4. Conclusions
Supplementary Materials
Author Contributions
Funding
Acknowledgments
Conflicts of Interest
References
- Uhlenheuer, D.A.; Petkau, K.; Brunsreld, L. Combining supramolecular chemistry with biology. Chem. Soc. Rev. 2010, 39, 2817–2826. [Google Scholar] [CrossRef] [PubMed]
- Davis, J.T.; Spada, G.P. Supramolecular architectures generated by self-assembly of guanosine derivatives. Chem. Soc. Rev. 2007, 36, 296–313. [Google Scholar] [CrossRef] [PubMed]
- Younjin, M.; Mustafa, A.; Kai, K.; Yuval, G.; Jacob, I. The role of interparticle and external forces in nanoparticle assembly. Nat. Mater. 2008, 7, 527–538. [Google Scholar]
- Lehn, J.-M. Supramolecular Chemistry—Scope and perspectives molecules, supermolecules, and molecular devices (Nobel Lecture). Angew. Chem. Int. Ed. 1988, 27, 89–112. [Google Scholar] [CrossRef]
- Lohmeijer, B.G.G.; Schubert, U.S. Supramolecular engineering with macromolecules: An alternative concept for block copolymers. Angew. Chem. Int. Ed. 2002, 41, 3825–3829. [Google Scholar] [CrossRef]
- Lehn, J.-M. Supramolecular Chemistry: Concepts and Perspectives; VCH: Weihneim, Germany, 1995. [Google Scholar]
- Stupp, S.I.; Palmer, L.C. Supramolecular chemistry and self-Assembly in organic materials design. Chem. Mater. 2014, 26, 507–518. [Google Scholar] [CrossRef]
- Nicolaou, K.C.; Vourloumis, D.; Winssinger, N.; Baran, P.S. The art and science of total synthesis at the dawn of the twenty-first century. Angew. Chem. Int. Ed. 2000, 39, 44–122. [Google Scholar] [CrossRef]
- He, Z.; Jiang, W.; Schalley, C.A. Integrative self-sorting: A versatile strategy for the construction of complex supramolecular architecture. Chem. Soc. Rev. 2015, 44, 779–789. [Google Scholar] [CrossRef]
- Stang, P.J.; Olenyuk, B. Self-Assembly, symmetry, and molecular architecture: Coordination as the motif in the rational design of supramolecular metallacyclic polygons and polyhedra. Acc. Chem. Res. 1997, 30, 502–518. [Google Scholar] [CrossRef]
- Glotzer, S.C. Some assembly required. Science 2004, 306, 419–420. [Google Scholar] [CrossRef]
- Boles, M.A.; Engel, M.; Talapin, D.V. Self-assembly of colloidal nanocrystals: From intricate structures to functional materials. Chem. Rev. 2016, 116, 11220–11289. [Google Scholar] [CrossRef]
- Cook, T.R.; Zheng, Y.-R.; Stang, P.J. Metal–organic frameworks and self-assembled supramolecular coordination complexes: Comparing and contrasting the design, synthesis, and functionality of metal–organic materials. Chem. Rev. 2013, 113, 734–777. [Google Scholar] [CrossRef] [PubMed]
- Tanaka, S.; Tsurugi, H.; Mashima, K. Supramolecular assemblies of multi-nuclear transition metal complexes: Synthesis and redox properties. Coord. Chem. Rev. 2014, 265, 38–51. [Google Scholar] [CrossRef]
- Dalgarno, S.J.; Power, N.P.; Atwood, J.L. Metallo-supramolecular capsules. Coord. Chem. Rev. 2008, 252, 825–841. [Google Scholar] [CrossRef]
- Koshevoy, I.O.; Koskinen, L.; Haukka, M.; Tunik, S.P.; Serdobintsev, P.Y.; Melnikov, A.S.; Pakkanen, T.A. Self-assembly of supramolecular luminescent AuI–CuI complexes: “Wrapping” an Au6Cu6 cluster in a [Au3(diphosphine)3]3+ “Belt”. Angew. Chem. Int. Ed. 2008, 47, 3942–3945. [Google Scholar] [CrossRef]
- Fujita, M. Molecular Self-Assembly Organic Versus Inorganic Approaches; Springer: Berlin/Heidelberg, Germany, 2003. [Google Scholar]
- Caulder, D.L.; Powers, R.E.; Parac, T.N.; Raymond, K.N. The Self-assembly of a predesigned tetrahedral M4L6 supramolecular cluster. Angew. Chem. Int. Ed. 1998, 37, 1840–1843. [Google Scholar] [CrossRef]
- Zheng, Z. Ligand-controlled self-assembly of polynuclear lanthanide–oxo/hydroxo complexes: From synthetic serendipity to rational supramolecular design. Chem. Commun. 2001, 24, 2521–2529. [Google Scholar] [CrossRef]
- Johnson, D.W.; Xu, J.; Saalfrank, R.W.; Raymond, K.N. Self-Assembly of a three-dimensional [Ga6(L2)6] metal–ligand “Cylinder”. Anew. Chem. Int. Ed. 1999, 38, 2882–2885. [Google Scholar] [CrossRef]
- Saalfrank, R.W.; Glaser, H.; Demleitner, B.; Hampel, F.; Chowdhary, M.M.; Schunemann, V.; Trautwein, A.X.; Vaughan, G.B.M.; Yeh, R.; Davis, A.V.; et al. Self-assembly of tetrahedral and trigonal antiprismatic clusters [Fe4(L4)4] and [Fe6(L5)6] on the basis of trigonal tris-Bidentate chelators. Chem. Eur. J. 2002, 8, 493–497. [Google Scholar] [CrossRef]
- Diederich, F.; Stang, P.J. Templated Organic Synthesis; Wiley-VCH: Weinheim, Germany, 2000. [Google Scholar]
- Tandon, S.S.; Bunge, S.D.; Toth, S.A.; Sanchiz, J.; Thompson, L.K.; Shelley, J.T. Antiferromagnetically coupled dimeric dodecacopper supramolecular architectures of macrocyclic ligands with a symmetrical μ6-BO33– central moiety. Inorg. Chem. 2015, 54, 6873–6884. [Google Scholar] [CrossRef]
- McKee, V.; Tandon, S.S. X-ray crystal structure and some properties of a tetranuclear, mixed-valence manganese complex of a macrocyclic ligand. J. Chem. Soc. Chem. Commun. 1988, 19, 1334–1336. [Google Scholar] [CrossRef]
- McKee, V.; Tandon, S.S. The X-ray crystal structure and some properties of a planar tetracopper(II) macrocyclic complex containing a µ4-hydroxo bridge. J. Chem. Soc. Chem. Commun. 1988, 385–387. [Google Scholar] [CrossRef]
- McKee, V.; Tandon, S.S. An octacopper(II) complex with .µ.5-oxo, and tripod-like perchlorate ligands; formation and x-ray structure of the [Cu4(L)O(ClO4)]2(ClO4)2.2H2O dimer. Inorg. Chem. 1989, 28, 2901–2902. [Google Scholar] [CrossRef]
- Tandon, S.S.; McKee, V. Lead(II) and barium(II) complexes of a potentially octadentate macrocyclic ligand (H4L), capable of providing endogenous alkoxy and phenoxy bridges. The x-ray crystal structures of [Pb(H4L)](ClO4)2, [Pb2(H2L)](ClO4)2 and [H6L(H2O)2](ClO4)2. J. Chem. Soc. Dalton Trans. 1989, 19–24. [Google Scholar] [CrossRef]
- Downard, J.; McKee, V.; Tandon, S.S. Binuclear manganese(II) and nickel(II) complexes of a potentially octadentate macrocyclic ligand (H4L), capable of providing endogenous alkoxy and phenoxy bridges. The x-ray crystal structures of [Mn2(H2L)(CH3COO)2].CH3OH and [Ni2(H2L)Cl2(H2O)2]. Inorg. Chim. Acta 1990, 173, 181–190. [Google Scholar] [CrossRef]
- McKee, V.; Tandon, S.S. Synthesis and characterization of a series of tetra- and octa-copper(11) complexes with macrocyclic ligands. J. Chem. Soc. Dalton Trans. 1991, 221–230. [Google Scholar] [CrossRef]
- Tandon, S.S.; Thompson, L.K.; Bridson, J.N.; McKee, V.; Downard, A.J. Dinuclear copper(II) and polymeric tetranuclear copper(II) and copper(II)-copper(I) complexes of macrocyclic ligands capable of forming endogenous alkoxide and phenoxide bridges. Structural, magnetic, and electrochemical studies. Inorg. Chem. 1992, 31, 4635–4642. [Google Scholar] [CrossRef]
- Tandon, S.S.; Thompson, L.K.; Bridson, J.N. A Novel Antiferromagnetically coupled, dimeric, dodecanuclear copper(I1) complex involving two macrocyclic ligands each with a ‘benzene-like’ arrangement of six copper centres. J. Chem. Soc. Chem. Commun. 1992, 911–913. [Google Scholar] [CrossRef]
- Tandon, S.S.; Thompson, L.K.; Bridson, J.N.; Bubenik, M. Synthetic, structural and magnetic properties of mononuclear, dinuclear and tetranuclear copper(II) complexes of a 17-membered macrocyclic ligand (HM3), capable of forming endogenous phenoxide and pyridazino bridges. X-ray crystal structure of [Cu2(M3)(μ2-OMe)(NO3)2], [Cu4(M3)2(μ3-OMe)2(μ2-Cl)2Cl2], [Cu4(M3)2(μ3-OEt)2(μ2-N3)2(N3)2].(MeOH), [Cu4(M3)(μ3-Ome)2(NCS)4](DMF) and [Cu(HM3)(NCS)2]. Inorg. Chem. 1993, 32, 4621–4631. [Google Scholar]
- Chen, L.; Thompson, L.K.; Tandon, S.S.; Bridson, J.N. Synthetic, structural, and spectroscopic studies on copper(II), copper(I), and silver(I) complexes of a series of pyridazinophane and phthalazinophane macrocycles. Unusual extended metallocyclic structures. Inorg. Chem. 1993, 32, 4063–4068. [Google Scholar] [CrossRef]
- Tandon, S.S.; Thompson, L.K.; Bridson, J.N. Dinuclear copper(II) and mixed-valence copper(II)-copper(I) complexes of a 34-membered macrocyclic ligands (H2M1,H2M2) capable of forming endogenous phenolate and pyridazino bridges. X-ray crystal structures of the dinuclear copper(II) complexes [Cu2M1][BF4]2.H2O and [Cu2M2][BF4]2.CH3OH, which exhibit a remarkable ligand twist. Inorg. Chem. 1993, 32, 32–39. [Google Scholar]
- Tandon, S.S.; Thompson, L.K.; Bridson, J.N.; Benelli, C. Hexanuclear and dodecanuclear macrocyclic copper(II) and nickel(II) complexes with almost planar “benzene-like” metal arrays. Inorg. Chem. 1995, 34, 5507–5515. [Google Scholar] [CrossRef]
- Thompson, L.K.; Tandon, S.S.; Bridson, J.N.; Park, M.K. Magnetostructural Correlations in Bis(μ2-phenoxide)-Bridged Macrocyclic Dinuclear Copper(II) Complexes. Influence of Electron-Withdrawing Substituents on Exchange Coupling. Inorg. Chem. 1996, 35, 3117–3125. [Google Scholar] [CrossRef] [PubMed]
- McCrea, J.; McKee, V.; Metcalfe, T.; Tandon, S.S.; Wikaira, J. Geometric control of redox level in tetranuclear manganese and cobalt systems. Inorg. Chim. Acta 2000, 297, 220–230. [Google Scholar] [CrossRef]
- Tandon, S.S.; Bunge, S.D.; Thompson, L.K. A tetradecanuclear copper dimeric macrocyclic complex with a body-centred heptanuclear core-structure and magnetism. Chem. Commun. 2007, 798–800. [Google Scholar] [CrossRef]
- Tandon, S.S.; Bunge, S.D.; Patel, N.; Thompson, L.K. The synthesis, structure, and magnetic properties of a novel copper(II) cluster with H-bonding directed 3D-structure comprised of interconnected double-stranded ladders. Inorg. Chem. Commun. 2009, 12, 1077–1080. [Google Scholar] [CrossRef]
- Tandon, S.S.; Bunge, S.D.; Rakosi, R.; Xu, Z.; Thompson, L.K. Self-assembly of mixed-valence Co(ii/iii) and Ni(ii) clusters: Azide-bridged 1D single chain coordination polymers comprised of tetranuclear units, tetranuclear Co(ii/iii) complexes, ferromagnetically coupled azide-bridged tetranuclear, and hexanuclear Ni(ii) complexes: Synthesis, structural, and magnetic properties. Dalton Trans. 2009, 6536–6551. [Google Scholar] [CrossRef]
- Tandon, S.S.; Bunge, S.D.; Motry, D.; Costa, J.S.; Aromí, G.; Reedijk, J.; Thompson, L.K. Copper coordination polymers based on single-chain or sheet structures involving dinuclear and tetranuclear copper(II) units: Synthesis, structures, and magnetostructural correlations. Inorg. Chem. 2009, 48, 4873–4881. [Google Scholar] [CrossRef]
- Tandon, S.S.; Bunge, S.D.; Sanchiz, J.; Thompson, L.K. Structures and magnetic properties of an antiferromagnetically coupled polymeric copper(II) complex and ferromagnetically coupled hexanuclear nickel(II) clusters. Inorg. Chem. 2012, 51, 3270–3282. [Google Scholar] [CrossRef]
- Tandon, S.S.; Bunge, S.D.; Patel, N.; Sanchiz, J. H-bonding directed formation of 1D-single chains, 2D-sheets, and 3D structures in magnetically coupled tetranuclear nickel(II) complexes with incomplete double cubane core. Polyhedron 2017, 123, 361–375. [Google Scholar] [CrossRef]
- Wilkinson, M.J.; Van Leeuwen, P.W.; Reek, J.N. New directions in supramolecular transition metal catalysis. Org. Biomol. Chem. 2005, 3, 2371–2383. [Google Scholar] [CrossRef]
- Van Leeuwen, P.W.N.M. Homogeneous Catalysis; Kluwer Academic Publishers: Dordrecht, The Netherlands, 2004. [Google Scholar]
- Funabiki, T. Catalysis by Metal Complexes; Springer-International Publisher Science, Technology, Medicine: New York, NY, USA, 1997; Volume 19. [Google Scholar]
- Sivasubramaniam, V.K.; Ganesan, M.; Rajagopal, S.; Ramaraj, R.B. Iron(III)−salen complexes as enzyme models: mechanistic study of oxo(salen)iron complexes oxygenation of organic sulfides. J. Org. Chem. 2002, 67, 1506–1514. [Google Scholar] [CrossRef] [PubMed]
- Rizzarelli, E.; Vecchio, G. Metal complexes of functionalized cyclodextrins as enzyme models and chiral receptors. Coord. Chem. Rev. 1999, 188, 343–364. [Google Scholar] [CrossRef]
- Van den Benken, E.K.; Feringu, B.L. Bimetallic catalysis by late transition metal complexes. Tetrahedron 1998, 54, 12985–13011. [Google Scholar] [CrossRef]
- Karlin, K.D. Progress in Inorganic Chemistry; Wiley: New York, NY, USA, 2007; Volume 41. [Google Scholar]
- Plass, W. Structural variety and magnetic properties of polynuclear assemblies based on 2-aminoglucose and tritopic triaminoguanidine ligands. Coord. Chem. Rev. 2009, 253, 2286–2295. [Google Scholar] [CrossRef]
- Burkhard, A.; Spielberg, E.T.; Simon, S.; Gorls, H.; Buchholz, A.; Plass, W. Hydrogen bonds as structural directive towards unusual polynuclear complexes: Synthesis, structure, and magnetic properties of copper(II) and nickel(II) complexes with a 2-aminoglucose ligand. Chem. Eur. J. 2009, 15, 1261–1271. [Google Scholar] [CrossRef]
- Ribas, R.; Escuer, A.; Monfort, M.; Vicente, R.; Cortes, R.; Lezama, L.; Rojo, T. Polynuclear NiII and MnII azido bridging complexes. Structural trends and magnetic behavior. Coord. Chem. Rev. 1999, 193–195, 1027–1068. [Google Scholar] [CrossRef]
- Dul, M.C.; Pardo, E.; Lescouëzec, R.; Journaux, Y.; Ferrando-Soria, J.; Ruiz-García, R.; Cano, J.; Julve, M.; Lloret, F.; Cangussu, D.; et al. Supramolecular coordination chemistry of aromatic polyoxalamide ligands: A metallosupramolecular approach toward functional magnetic materials. Coord. Chem. Rev. 2010, 254, 22. [Google Scholar] [CrossRef]
- Christou, G.; Gatteschi, D.; Hendrickson, D.N.; Sessoli, R. Single-molecule magnets. MRS Bull. 2000, 25, 66–71. [Google Scholar] [CrossRef]
- Miller, J.S.; Drillon, M. Magnetism: Molecules to Materials; Wiley: Weinheim, Germany, 2001. [Google Scholar]
- Miller, J.S.; Epstein, A. Organic and organometallic molecular magnetic materials—Designer magnets. Angew. Chem. Int. Ed. 1994, 33, 385–415. [Google Scholar] [CrossRef]
- Wernsdorfer, W.; Sessoli, R. Quantum phase interference and parity effects in magnetic molecular clusters. Science 1999, 284, 133–135. [Google Scholar] [CrossRef] [PubMed]
- Bogani, L.; Wernsdorfer, W. Molecular spintronics using single-molecule magnets. Nat. Mater. 2008, 7, 179–186. [Google Scholar] [CrossRef]
- Caneschi, A.; Gatteschi, D.; Lalioti, N.; Sangregorio, C.; Sessoli, R.; Ventiru, G.; Vendigni, A.; Rettori, A.; Pini, M.G.; Novak, M.A. Cobalt(II)-nitronyl nitroxide chains as molecular magnetic nanowires. Angew. Chem. Int. Ed. 2001, 40, 1760–1763. [Google Scholar] [CrossRef]
- Gatteschi, D.; Sessoli, R. Quantum tunneling of magnetization and related phenomena in molecular materials. Angew. Chem. Int. Ed. 2003, 42, 268–297. [Google Scholar] [CrossRef]
- Thomas, L.; Lionti, F.; Ballou, R.; Gatteschi, D.; Sessoli, R.; Barbara, B. Macroscopic quantum tunnelling of magnetization in a single crystal of nanomagnets. Nature 1996, 383, 145–147. [Google Scholar] [CrossRef]
- Milios, C.J.; Vinslava, A.; Wernsdorfer, W.; Moggach, S.; Parsons, S.; Perlepes, S.P.; Christou, G.; Brechin, E.K. A Record anisotropy barrier for a single-molecule magnet. J. Am. Chem. Soc. 2007, 129, 2754–2755. [Google Scholar] [CrossRef]
- Timco, G.A.; Faust, T.B.; Tuna, F.; Winpenny, R.E.P. Linking heterometallic rings for quantum information processing and amusement. Chem. Soc. Rev. 2011, 40, 3067–3075. [Google Scholar] [CrossRef]
- Santini, P.; Carretta, S.; Troiani, F.; Amoretti, G. Molecular nanomagnets as quantum simulators. Phys. Rev. Lett. 2011, 107, 230502. [Google Scholar] [CrossRef]
- Timco, G.A.; McInnes, E.J.L.; Winpenny, R.E.P. Physical studies of heterometallic rings: An ideal system for studying magnetically-coupled systems. Chem. Soc. Rev. 2013, 42, 1796–1806. [Google Scholar] [CrossRef]
- Kahn, O. Molecular Magnetism; VCH: New York, NY, USA, 1993; p. 131. [Google Scholar]
- Murrie, M. Cobalt(II) single-molecule magnets. Chem. Soc. Rev. 2010, 39, 1986–1995. [Google Scholar] [CrossRef]
- Aromi, G.; Brechin, E.K. Synthesis of 3d metallic single-molecule magnets. In Single-Molecule Magnets and Related Phenomena; Structure and Bonding Series; Winpenny, R., Ed.; Springer: Berlin/Heidelberg, Germany, 2006; Volume 122. [Google Scholar]
- Thompson, L.K. Polynuclear coordination complexes—From dinuclear to nonanuclear and beyond. Coord. Chem. Rev. 2002, 233–234, 193–206. [Google Scholar] [CrossRef]
- Thompson, L.K.; Dawe, L.N. Magnetic properties of transition metal (Mn(II), Mn(III), Ni(II), Cu(II)) and lanthanide (Gd(III), Dy(III), Tb(III), Eu(III), Ho(III), Yb(III)) clusters and [nxn] grids: Isotropic exchange and SMM behaviour. Coord. Chem. Rev. 2015, 289–290, 13–31. [Google Scholar] [CrossRef]
- Turnbull, M.M.; Sugimoto, T.; Thompson, L.K. Molecule-Based Magnetic Materials—Theory, Techniques, and Applications; ACS: Washington, DC, USA, 1996; Volume 644. [Google Scholar]
- Ferguson, A.; Lawrence, J.; Parkin, A.; Sanchez-Benitez, J.; Kamenev, K.V.; Brechin, E.K.; Wernsdorfer, W.; Hill, S.; Murrie, M. Synthesis and characterisation of a Ni4 single-molecule magnet with S4 symmetry. Dalton Trans. 2008, 6409–6414. [Google Scholar] [CrossRef] [PubMed]
- Ritchie, C.; Ferguson, A.; Nojiri, H.; Miras, H.N.; Song, Y.-F.; Long, D.-L.; Burkholder, E.; Murrie, M.; Kogerler, P.; Brechin, E.K.; et al. Polyoxometalate-mediated self-assembly of single-molecule magnets: {[XW9O34]2[MnIII4MnII2O4(H2O)4]}12. Angew. Chem. Int. Ed. 2008, 47, 5609–5612. [Google Scholar] [CrossRef] [PubMed]
- Milios, C.J.; Vinslava, A.; Wood, P.A.; Parsons, S.; Wernsdorfer, W.; Christou, G.; Perlepes, S.P.; Brechin, E.K. A Single-molecule magnet with a “Twist”. J. Am. Chem. Soc. 2007, 129, 8–9. [Google Scholar] [CrossRef]
- Stamatatos, T.C.; Abboud, K.A.; Wernsdorfer, W.; Christou, G. “Spin Tweaking” of a high-spin molecule: An Mn25 single-molecule magnet with an S = 61/2 ground state. Angew. Chem. Int. Ed. 2007, 46, 884–888. [Google Scholar] [CrossRef] [PubMed]
- Milios, C.J.; Inglis, R.; Vinslava, A.; Bagai, R.; Wernsdorfer, W.; Parsons, S.; Perlepes, S.P.; Christou, G.; Brechin, E.K. Toward a magnetostructural correlation for a family of Mn6 SMMs. J. Am. Chem. Soc. 2007, 129, 12505–12511. [Google Scholar] [CrossRef]
- Murugesu, M.; Habrych, M.; Wernsdorfer, W.; Abboud, K.A.; Christou, G. Single-molecule magnets: A Mn25 complex with a record S = 51/2 spin for a molecular species. J. Am. Chem. Soc. 2004, 126, 4766–4767. [Google Scholar] [CrossRef]
- Soler, M.; Wernsdorfer, W.; Folting, K.; Pink, M.; Christou, G. Single-molecule magnets: A large Mn30 molecular nanomagnet exhibiting quantum tunneling of magnetization. J. Am. Chem. Soc. 2004, 126, 2156–2165. [Google Scholar] [CrossRef]
- Aliaga-Alcalde, N.; Edwards, R.S.; Hill, S.O.; Wernsdorfer, W.; Foltin, K.; Christou, G. Single-molecule magnets: Preparation and properties of low symmetry [Mn4O3(O2CPh-R)4(dbm)3] complexes with S = 9/2. J. Am. Chem. Soc. 2004, 126, 12503–12516. [Google Scholar] [CrossRef]
- Bagai, R.; Wernsdorfer, W.; Abboud, K.A.; Christou, G. Exchange-biased dimers of single-molecule magnets in oFF and oN states. J. Am. Chem. Soc. 2007, 129, 12918–12919. [Google Scholar] [CrossRef] [PubMed]
- Coulon, C.; Miyasaki, H.; Clerac, R. Single-chain magnets:Theoretical approach and experimental systems. Struct. Bond. 2006, 122, 163. [Google Scholar]
- Coulon, C.; Clerac, R.; Lecren, L.; Wernsdorfer, W.; Miyasaka, H. Glauber dynamics in a single-chain magnet: From theory to real systems. Phys. Rev. B 2004, 69, 132408. [Google Scholar] [CrossRef]
- Yang, E.C.; Hendrickson, D.N.; Wernsdorfer, W.; Nakano, M.; Zakharov, L.N.; Sommer, R.D.; Rheingold, A.L.; Ledezma-Gairaud, M.; Christou, G. Cobalt single-molecule magnet. J. Appl. Phys. 2002, 91, 7382–7384. [Google Scholar] [CrossRef]
- Clerac, R.; Miyasaka, H.; Yamashita, M.; Coulon, C. Evidence for single-chain magnet behavior in a MnIII−NiII chain designed with high spin magnetic units: A route to high temperature metastable magnets. J. Am. Chem. Soc. 2002, 124, 12837–12844. [Google Scholar] [CrossRef]
- Brechin, E.K.; Boskovic, C.; Wernsdorfer, W.; Yoo, J.; Yamaguchi, A.; Sanudo, E.C.; Concolino, Y.R.; Rheingold, A.L.; Ishimoto, H.; Hendrickson, D.N.; et al. Quantum tunneling of magnetization in a new [Mn18]2+ Single-molecule magnet with S = 13. J. Am. Chem. Soc. 2002, 124, 9710–9711. [Google Scholar] [CrossRef] [PubMed]
- Friedman, J.R.; Sarachik, M.P.; Tejada, J.; Maciejewski, J.; Ziolo, R. Steps in the hysteresis loops of a high-spin molecule. J. Appl. Phys. 1996, 79, 6031–6033. [Google Scholar] [CrossRef]
- Friedman, J.R.; Sarachik, M.P.; Tejada, J.; Ziolo, R. Macroscopic measurement of resonant magnetization tunneling in high-spin molecules. Phys. Rev. Lett. 1996, 76, 3830–3833. [Google Scholar] [CrossRef]
- Massoud, S.S.; Mautner, F.A.; Vicente, R.; Gallo, A.A.; Ducasse, E. Dinuclear and polynuclear bridged azido–nickel(II) complexes: Synthesis, structure determination, and magnetic properties. Eur. J. Inorg. Chem. 2007, 2007, 1091–1102. [Google Scholar] [CrossRef]
- Escuer, A.; Aromi, G. Azide as a bridging ligand and magnetic coupler in transition metal clusters. Eur. J. Inorg. Chem. 2006, 2006, 4721–4736. [Google Scholar] [CrossRef]
- Ferbinteanu, M.; Miyasaka, H.; Wernsdorfer, W.; Nakata, K.; Sugiura, K.; Yamashita, M.; Coulon, C.; Clerac, R. Single-chain magnet (NEt4)[Mn2(5-MeOsalen)2Fe(CN)6] made of MnIII−FeIII−MnIII trinuclear single-molecule magnet with an ST = 9/2 spin ground state. J. Am. Chem. Soc. 2005, 127, 3090–3099. [Google Scholar] [CrossRef]
- Tasiopoulos, A.J.; Vinslava, A.; Wernsdorfer, W.; Abboud, K.A.; Christou, G. Giant single-molecule magnets: A {Mn84} torus and its supramolecular nanotubes. Angew. Chem. Int. Ed. 2004, 43, 2117–2121. [Google Scholar] [CrossRef] [PubMed]
- Chakov, N.E.; Wernsdorfer, W.; Abboud, K.A.; Christou, G. Mixed-valence MnIIIMnIV clusters [Mn7O8(O2SePh)8(O2CMe)(H2O)] and [Mn7O8(O2SePh)9(H2O)]: Single-chain magnets exhibiting quantum tunneling of magnetization. Inorg. Chem. 2004, 43, 5919–5930. [Google Scholar] [CrossRef] [PubMed]
- Chakraborty, A.; Rao, L.S.; Manna, A.K.; Pati, S.K.; Ribas, J.; Maji, T.K. Discrete dinuclear complex to extended 2D compound in a Cu–azido system by controlling coligand stoichiometry: Synthesis and magneto-structural correlations. Dalton Trans. 2013, 42, 10707–10714. [Google Scholar] [CrossRef] [PubMed]
- Nanda, P.K.; Aromi, G.; Ray, D. Tetranuclear Cu(ii) complex supported by a central μ4-1,1,3,3 azide bridge. Chem. Commun. 2006, 3181–3183. [Google Scholar] [CrossRef]
- Demeshko, S.; Leibeling, G.; Maringgele, W.; Meyer, F.; Mennerich, C.; Klauss, H.H.; Pritzkow, H. Structural variety and magnetic properties of tetranuclear nickel(II) complexes with a central μ4-azide. Inorg. Chem. 2005, 44, 519–528. [Google Scholar] [CrossRef]
- Meyer, F.; Demeshko, S.; Leibeling, G.; Kersting, B.; Kaifer, E.; Pritzkow, H. Structures and magnetic properties of tetranuclear Nickel(II) complexes with unusual μ3-1,1,3 Azido bridges. Chem. Eur. J. 2005, 11, 1518–1526. [Google Scholar] [CrossRef]
- Boudalis, A.K.; Donnadieu, B.; Nastopoulos, V.; Clemente-Juan, J.M.; Mari, A.; Sanakis, Y.; Tuchagues, J.P.; Perlepes, S.P. A Nonanuclear. Iron(II) single-molecule magnet. Angew. Chem. Int. Ed. 2004, 43, 2266–2270. [Google Scholar] [CrossRef]
- Meyer, F.; Kozlowski, H. Nickel. In Comprehensive Coordination Chemistry; McCleverty, J.A., Meyer, T.J., Eds.; Elsevier: Oxford, UK, 2004; pp. 247–276. [Google Scholar]
- Ma, D.; Hikichi, S.; Akita, M.; Moro-oka, Y. An entry to half-sandwich complexes of first row transition metals (Ni, Co, Mn) containing the Kläui tripodal ligand, LOMe: Synthesis and crystal structures of oligomeric, [LOMeM(µ-X)(L)]n (n = 2, 4), and monomeric complexes, LOMeM(L2)(X). J. Chem. Soc. Dalton Trans. 2000, 7, 1123–1134. [Google Scholar] [CrossRef]
- Thompson, L.K.; Tandon, S.S. Azide bridged dicopper and dinickel complexes: Structure and magnetism. Comm. Inorg. Chem. 1996, 18, 125–144. [Google Scholar] [CrossRef]
- Halcrow, M.A.; Huffman, J.C.; Christou, G. A Nickel(II) Azide cubane: Characterization of the magnetic exchange interactions mediated by a triply bridging azide group bound end-on. Angew. Chem. Int. Ed. 1995, 34, 889–891. [Google Scholar] [CrossRef]
- Halcrow, M.A.; Sun, J.S.; Huffman, J.C.; Christou, G. Structural and magnetic properties of [Ni4(µ3-OMe)4(dbm)4(MeOH)4] and [NÍ4(η1 µ3-N3)4(dbm)4(EtOH)4]. magnetostructural correlations for [Ni4X4]4+ cubane complexes. Inorg. Chem. 1995, 34, 4167–4177. [Google Scholar] [CrossRef]
- Charlot, M.F.; Kahn, O.; Chaillet, M.; Larrieu, C. Interaction between Copper(II) Ions through the azido bridge: Concept of spin polarization and ab initio calculations on model systems. J. Am. Chem. Soc. 1986, 108, 2574–2581. [Google Scholar] [CrossRef]
- Zhang, W.X.; Ma, C.Q.; Wang, X.N.; Yu, Z.G.; Lin, Q.J.; Jiang, D.H. Synthesis and structure of tetranuclear copper(II) complex containing μ4-oxo bridge. Chin. J. Chem. 1995, 13, 497–503. [Google Scholar] [CrossRef]
- Mukherjee, S.; Weyhermuller, T.; Bothe, E.; Wieghardt, K.; Chaudhuri, P. Single-atom O-bridged urea in a dinickel(II) complex together with NiII4, CuII2 and CuII4 complexes of a pentadentate phenol-containing Schiff base with (O,N,O,N,O)-donor atom. Eur. J. Inorg. Chem. 2003, 2003, 863–875. [Google Scholar] [CrossRef]
- Mukherjee, S.; Weyhermuller, T.; Bothe, E.; Chaudhuri, P. Structural, magnetochemical and electrochemical studies of dinuclear complexes containing the [VVO]2, [VIVO]2, Cr2III, Mn2III and Fe2III cores of a potentially pentadentate phenol-containing ligand with (O,N,O,N,O)-donor atoms. Eur. J. Inorg. Chem. 2003, 2003, 1956–1965. [Google Scholar] [CrossRef]
- Mandal, D.; Ray, D. Self-assembly of a face-shared partial double cubane supported by alkoxo terminal and bridging ligands. Inorg. Chem. Commun. 2007, 10, 1202–1205. [Google Scholar] [CrossRef]
- Przyojski, J.A.; Myers, N.N.; Arman, H.D.; Prosvirin, A.; Dunbar, K.R.; Natarajan, M.; Krishnan, M.; Mohan, S.; Walmsley, J.A. Dinuclear and heptanuclear complexes of copper(II) with 7-azaindole ligand: Synthesis, characterization, magnetic properties, and biological activity. J. Inorg. Biochem. 2013, 127, 175–181. [Google Scholar] [CrossRef]
- Ferrer, S.; Aznar, E.; Lloret, F.; Castiñeiras, A.; Liu-González, M.; Borrás, J. One-dimensional metal−organic framework with unprecedented heptanuclear copper units. Inorg. Chem. 2007, 46, 372–374. [Google Scholar] [CrossRef]
- Majumder, S.; Sarkar, S.; Sasmal, S.; Sañudo, E.C.; Mohanta, S. Heterobridged dinuclear, tetranuclear, dinuclear-based 1-D, and heptanuclear-based 1-D complexes of copper(II) derived from a dinucleating ligand: Syntheses, structures, magnetochemistry, spectroscopy, and catecholase activity. Inorg. Chem. 2011, 50, 7540–7554. [Google Scholar] [CrossRef]
- Gottschaldt, M.; Wegner, R.; Görls, H.; Jäger, E.-G.; Klemm, D. Synthesis and crystal structure of a heptanuclear and an octanuclear copper(II) complex derived from α-D-glucofuranoses. Eur. J. Inorg. Chem. 2007, 2007, 3633–3638. [Google Scholar] [CrossRef]
- Xu, Y.; Xia, P.; Wang, X.; Wei, W.; Zhanga, F.; Hu, C. Positional disorder of Cu(ii) ions in a cluster: A novel heptanuclear Cu(ii) core supported by 4-bromo-3,5-dimethylpyrazolate. CrystEngComm 2011, 13, 2820–2823. [Google Scholar] [CrossRef]
- Biswas, C.; Drew, M.G.B.; Ruiz, E.; Estrader, M.; Diaz, C.; Ghosh, A. Synthesis, crystal structure and magnetic properties of three unprecedented tri-nuclear and one very rare tetra-nuclear copper(II) Schiff-base complexes supported by mixed azido/phenoxo/nitrato or acetato bridges. Dalton Trans. 2010, 39, 7474–7484. [Google Scholar] [CrossRef] [PubMed]
- Crawford, V.H.; Richardson, H.W.; Wasson, R.R.; Hodgson, D.J.; Hatfield, W.E. Relationship between the singlet-triplet splitting and the Cu-O-Cu bridge angle in hydroxo-bridged copper dimers. Inorg. Chem. 1976, 9, 2107–2110. [Google Scholar] [CrossRef]
- Tandon, S.S.; Thompson, L.K.; Manuel, M.E.; Bridson, J.N. Magnetostructural correlations in µ2-M_N3 bridged, dinuclear copper(II) complexes. 1. Ferromagnetic and antiferromagnetic coupling associated with the azide bridge. X-ray crystal structures of [Cu2(DMPTD)(µ2-N3)(µ2-Cl)Cl2]∙CH3CN, [Cu2(DMPTD)(µ2-N3)2(N3)2], [Cu2(DIP)(µ2-N3)(µ2-Cl)Cl2]∙0.5CH3OH, [Cu2(PAP46Me-H)µ2-N3)(N3)2]∙0.33H2O, [Cu2(PAP)(µ2-N3)Cl3] CH2Cl2, [Cu2(PAP)(µ2-N3)(N3)(N03)(CH30H)] (N03)CH30H, [Cu2(PPD3Me)(µ2-N3)Cl3(H20)i.s], and [Cu2(PPD)µ2-N3)(N03)3(H20)1.6]. Inorg. Chem. 1994, 33, 5555–5570. [Google Scholar]
- Thompson, L.K.; Tandon, S.S.; Manuel, M.E. Magneto-structural correlations in μ2-1,1-azide-bridged, dinuclear copper(II) complexes. Part 2. Dominant antiferromagnetic coupling with azide bridge angles exceeding 108º. X-ray structures of [Cu2(PAP)(μ2-N3)Br3].CH2Cl2, [Cu2(PAP6Me)(μ2-N3)(µ2-Br)Br2]. 1.68H2O, [Cu2(PAP6Me)(μ2-N3)(μ2-H2O)(NO3)2](NO3).0.75CH3OH, [Cu2(PAN)(μ2-N3) (µ2-NO3)(NO3)2]·CH3OH. CH3CN and [Cu2(PPD3,5Me)(μ2-N3)Br3·CH3OH]. Inorg. Chem. 1995, 34, 2356–2366. [Google Scholar]
- Das, A.; Bhattacharya, K.; Das, L.K.; Giri, S.; Ghosh, A. Mixed azido/phenoxido bridged trinuclear Cu(ii) complexes of Mannich bases: Synthesis, structures, magnetic properties and catalytic oxidase activities. Dalton Trans. 2018, 47, 9385–9399. [Google Scholar] [CrossRef]
- Lorosch, J.; Paulus, H.; Haase, W. Crystal structure and magnetic properties of a tetramer with a step-like Cu4N402 core containing asymmetric bridged dimeric subunits related to the hemocyanin copper active site. Inorg. Chim. Acta 1985, 106, 101–108. [Google Scholar] [CrossRef]
- Mallah, T.; Boillot, M.L.; Kahn, O.; Gouteron, J.; Jeannin, S.; Jeannin, Y. Crystal structures and magnetic properties of .mu.-phenolato copper(II) binuclear complexes with hydroxo, azido, and cyanato-O exogenous bridges. Inorg. Chem. 1986, 25, 3058–3065. [Google Scholar] [CrossRef]
- Mallah, T.; Kahn, O.; Gouteron, J.; Jeannin, S.; Jeannin, Y.; Oconnor, C.J. Crystal structures and magnetic properties of dinuclear copper(II) complexes of 2,6-bis(N-(2-pyridylmethyl)formimidoyl)-4-methylphenolate with azido and cyanato-0 exogenous ligands. Inorg. Chem. 1987, 26, 1375–1380. [Google Scholar] [CrossRef]
- Chattopadhyay, T.; Banu, K.S.; Banerjee, A.; Ribas, J.; Majee, A.; Nethaji, M.; Das, D. A novel single pot synthesis of binuclear copper(II) complexes of macrocyclic and macroacyclic compartmental ligands: Structures and magnetic properties. J. Mol. Struct. 2007, 833, 13–22. [Google Scholar] [CrossRef]
- Kahn, O.; Mallah, T.; Gouteron, J.; Jeannin, S.; Jeannin, Y. Low-lying electronic states in µ-phenolato copper(II) binuclear compounds with hydroxo, ethanolato, azido, and cyanato exogenous bridges: Crystal structures, magnetic properties, and interpretations. J. Chem. Soc. Dalton Trans. 1989, 1117–1126. [Google Scholar] [CrossRef]
- Cheng, P.; Liao, D.; Yan, S.; Jiang, Z.; Wang, G.; Yao, X.; Wang, H. Magnetic interaction in the keto and enol forms of binuclear copper (II) complexes with a Robson-type ligand. X-ray crystal structure of [Cu2 (HL) (μ-N3) (H2O) (C2H5OH) (ClO4)]. Inorg. Chim. Acta 1996, 248, 135–137. [Google Scholar] [CrossRef]
- Karlin, K.D.; Farooq, A.; Hayes, J.C.; Cohen, B.I.; Rowe, T.M.; Sinn, E.; Zubieta, J. Models for met-hemocyanin derivatives: Structural and spectroscopic comparisons of analogous phenolate and X (X = OH−, OMe−, N3−, Cl−, OAc−, OBz−) doubly bridged dinuclear copper (II) complexes. Inorg. Chem. 1987, 26, 1271–1280. [Google Scholar] [CrossRef]
- Banerjee, A.; Singh, R.; Colacio, E.; Rajak, K.K. Binuclear copper(II) chelates with heptadentate ligands: Synthesis, structure, magnetic properties, DFT studies, and catecholase and hydrolytic DNA cleavage activity. Eur. J. Inorg. Chem. 2009, 2009, 277–284. [Google Scholar] [CrossRef]
- Fallah, M.S.E.; Badyine, F.; Vicente, R.; Escuer, A.; Solans, X.; Bardia, M.F. Complementarity and countercomplementarity in polynuclear copper(II) complexes with R2NCH2CH(OH)CH2NR2 (R = H, CH3): Crystal structures and magnetic study. Dalton Trans. 2006, 2934–2942. [Google Scholar] [CrossRef] [PubMed]
- Nishida, Y.; Kida, S. Crystal structures and magnetism of binuclear copper(II) complexes with alkoxide bridges. Importance of orbital complementarity in spin coupling through two different bridging groups. J. Chem. Soc. Dalton Trans. 1986, 2633–2640. [Google Scholar] [CrossRef]
- Ruiz, E.; Alemany, P.; Alvarez, S.; Cano, J. Structural modeling and magneto−structural correlations for hydroxo-bridged copper(II) binuclear complexes. Inorg. Chem. 1997, 36, 3683–3688. [Google Scholar] [CrossRef]
- Ruiz, E.; Cano, J.; Alvarez, S.; Alemany, P. Magnetic coupling in end-on azido-bridged transition metal complexes: A density functional study. J. Am. Chem. Soc. 1998, 120, 11122–11129. [Google Scholar] [CrossRef]
- Macrae, C.F.; Sovago, I.; Cottrell, S.J.; Galek, P.T.A.; McCabe, P.; Pidcock, E.; Platings, M.; Shields, G.P.; Stevens, J.S.; Towler, M.; et al. Mercury 4.0: From visualization to analysis, design and prediction. J. Appl. Cryst. 2020, 53, 226–235. [Google Scholar] [CrossRef]
- Ullman, F.; Brittner, K. Ther die herstellung von oxyuvitinaldehyd aue p-kresol. Chem. Ber. 1909, 42, 2539–2549. [Google Scholar] [CrossRef]
- Bruker. APEX3; Bruker AXS, Inc. Analytical X-Ray Systems: Madison, WI, USA, 2018. [Google Scholar]
- Bruker. SAINT, Version 6.45A; Bruker AXS, Inc. Analytical X-Ray Systems: Madison, WI, USA, 2003. [Google Scholar]
- Sheldrick, G.M. Crystal structure solution with ShelXT. Acta Cryst. A 2015, 71, 3–8. [Google Scholar] [CrossRef] [PubMed]
- Bruker. SHELXTL V6.12; Bruker AXS, Inc. Analytical X-Ray Systems: Madison, WI, USA, 2002. [Google Scholar]
- Dolomanov, O.V.; Bourhis, L.J.; Gildea, R.J.; Howard, J.A.K.; Puschmann, H. OLEX2: A complete structure solution, refinement and analysis program. J. Appl. Cryst. 2009, 42, 339–341. [Google Scholar] [CrossRef]


















| Compound/Formula | Cu∙∙∙Cu [Å] | Cu–OPh–Cu [°] | Cu–N–Cu [°] | −J [cm−1] | Geometry | Ref | |
|---|---|---|---|---|---|---|---|
| 1 | [Cu4(HL2−)2(µ-N3)4] | 3.092 | 101.88 | 102.4 | 278 | SP/SPI | TW | 
| 2 | [Cu2(H3L12−)(µ-N3)(H2O)(NO3)] | 3.019 | 100.80 | 100.07 | 177.3 | SP/SP | TW | 
| 3 | {[Cu2(H2L2)(N3)3]•H2O•0.7CH3OH}n | 3.112 | 102.3 | 104.09 | 512 | SP/SP | [41] | 
| 4 | {[Cu2(H2L2)(N3)3]•CH3OH}n | 3.125 | 102.7 | 103.20 | 330 | OC/OC | [41] | 
| 5 | {[Cu2(HL2)(N3)]ClO4•0.8(CH3OH)}n | 3.042 | 101.1 | 99.87 | 347 | SPL/SP | [41] | 
| 6 | {[Cu2L3(N3)3](ClO4) 2}n | 3.12 | 102.9 | 104.5 | 264 | SP/SP | [119] | 
| 7 | [Cu2(L4)(N3)(ClO4)2]•nH2O | 2.972 | 98.7 | 100.0 | 86.5 | OC/SP | [120] | 
| 8 | [Cu2(L5)(N3)](ClO4)2•nH2O | 2.993 | 100.5 | 99.7 | 161 | OC/SP | [121] | 
| 9 | [Cu2(L6)(μ-N3)(N3)2]•nH2O | 3.032 | 101.3 | 98.26 | 188.6 | OC/SP | [122] | 
| 10 | [Cu2(L7)(N3)] | 3.035 | 99.4 | 106.1 | 278 | OC/OC | [123] | 
| 11 | [Cu2(L8)(N3)]•nH2O | 3.007 | 100.4 | 102.8 | 408 | OC/OC | [123] | 
| 12 | [Cu2(HL9)(µ-N3)(H2O)(C2H5OH) (C1O4) ] | 2.968 | 99.2 | 99.9 | 66.2 | OC/SP | [124] | 
| 13 | [Cu2(L10)(N3)][PF6]2 | 3.185 | 107.9 | 103.6 | 440 | SP/SP | [125] | 
| 14 | [Cu3(L11)2(µ1,1-N3)2(CH3OH)2(BF4)2] | 2.988 | 100.8 | 96.5 | 9.86 | SP/OC | [114] | 
| 15 | [Cu3(L11)2(µ1,1-N3)2(µ-NO3)2] | 2.977 | 97.1 | 97.2 | 11.6 | SP/OC | [114] | 
| 16 | [Cu3(L12)2(µ1,1-N3)2(CH3OH)2(BF4)2] | 2.996 | 97.1 | 97.4 | 19.98 | SP/OC | [114] | 
| 17 | [{Cu2 (L13)(µ1,1-N3)(ClO4)}2(µ1,3-N3)2] | 3.097 | 102.36 | 101.39 | 119.5 | SP/OC | [111] | 
| 18 | [(CuL14)2(µ1,1N3)2Cu(H2O)]·CH3OH | 3.0071 | 100.09 | 97.54 | 64.42 | SP/SP | [118] | 
| 19 | [(CuL15)2(µ1,1-N3)2Cu(H2O)]· CH3OH | 2.950 | 98.05 | 94.53 | 9.60 | SP/SP | [118] | 
| 20 | [(CuL16)2(µ1,1-N3)2Cu(H2O)]· 2CH3OH | 2.9398 | 98.03 | 95.34 | 4.54 | SP/SP | [118] | 
| 21 | [Cu2 (L17)(µ1,1-N3)]·2H2O | 3.10 | 102.06 | 102.94 | 119 | SP/SP | [126] | 
| Compound | 1 | 2 | 3 | 
|---|---|---|---|
| Empirical formula | C30H40Cu4N16O6 | C30H44Cu4N4O10 | C15H19Cu2N6O9 | 
| M | 974.94 | 874.85 | 554.44 | 
| Crystal System | Monoclinic | monoclinic | monoclinic | 
| Space group | C2/c | C2/c | P21/c | 
| a/Å | 27.504(8) | 17.6107(10) | 10.1607(6) | 
| b/Å | 22.357(8) | 11.8828(7) | 24.3239(14) | 
| c/ Å | 7.187(3) | 22.8905(17) | 8.2923(5) | 
| α/ ˚ | - | ||
| β/ ˚ | 93.526(7) | 109.0710(10) | 94.2440(10) | 
| γ/ ˚ | - | ||
| V/A3 | 4798(3) | 4527.3(5) | 2043.8(2) | 
| ρcalcd(g cm−3) | 1.35 | 1.284 | 1.802 | 
| T/K | 190 | 190 | 190.15 | 
| Z | 4 | 4 | 4 | 
| μ/mm−1 | 1.801 | 1.899 | 2.144 | 
| Crystal size (mm) | 0.4 × 0.2 × 0.1 | 0.5 × 0.2 × 0.2 | 0.2 × 0.2 × 0.15 | 
| Reflections collected: | |||
| Total | 18,862 | 17,838 | 16,291 | 
| Unique | 4253 | 4004 | 3610 | 
| Rint, | 0.063 | 0.0193 | 0.0299 | 
| Final R1, wR2 | 0.0712, 0.2090 | 0.0401, 0.12732 | 0.0265, 0.0691 | 
| Compound | 4 | 5 | 6 | 
| Empirical formula | C15H24BCu2F4N5O7 | C72H71Cu7N5O27 | C88H100Cu10N8O32 | 
| M | 600.28 | 1883.11 | 2417.5 | 
| Crystal System | monoclinic | monoclinic | triclinic | 
| Space group | P21/c | P21/c | Pī | 
| a/Å | 12.730(4) | 20.291(3) | 12.835(13) | 
| b/Å | 8.228(3) | 22.194(3) | 15.38(2) | 
| c/ Å | 20.879(6) | 33.076(3) | 15.81(2) | 
| α/ ˚ | - | 103.149(17) | |
| β/ ˚ | 97.208(5) | 116.575(2) | 113.233(9) | 
| γ/ ˚ | - | 100.144(14) | |
| V/A3 | 2169.7(12) | 8892(2) | 2666(6) | 
| ρcalcd(g cm−3) | 1.838 | 1.407 | 1.506 | 
| T/K | 190.15 | 190 | 190 | 
| Z | 4 | 4 | 1 | 
| μ/mm−1 | 2.044 | 1.714 | 2.028 | 
| Crystal size (mm) | 0.45 × 0.15 × 0.15 | 0.2 × 0.2 × 0.1 | 0.2 × 0.2 × 0.1 | 
| Reflections collected: | |||
| Total | 15,704 | 66,906 | 9178 | 
| Unique | 3838 | 15737 | 9178 | 
| Rint, | 0.0676 | 0.0795 | 0.0873 | 
| Final R1, wR2 | 0.0630, 0.1710 | 0.0679, 0.1817 | 0.0998, 0.2402 | 
| Sample Availability: Samples of the compounds 1–6 are available from the authors. | |
| Publisher’s Note: MDPI stays neutral with regard to jurisdictional claims in published maps and institutional affiliations. | 
© 2020 by the authors. Licensee MDPI, Basel, Switzerland. This article is an open access article distributed under the terms and conditions of the Creative Commons Attribution (CC BY) license (http://creativecommons.org/licenses/by/4.0/).
Share and Cite
Tandon, S.S.; Bunge, S.D.; Patel, N.; Wang, E.C.; Thompson, L.K. Self-Assembly of Antiferromagnetically-Coupled Copper(II) Supramolecular Architectures with Diverse Structural Complexities. Molecules 2020, 25, 5549. https://doi.org/10.3390/molecules25235549
Tandon SS, Bunge SD, Patel N, Wang EC, Thompson LK. Self-Assembly of Antiferromagnetically-Coupled Copper(II) Supramolecular Architectures with Diverse Structural Complexities. Molecules. 2020; 25(23):5549. https://doi.org/10.3390/molecules25235549
Chicago/Turabian StyleTandon, Santokh S., Scott D. Bunge, Neil Patel, Esther C. Wang, and Laurence K. Thompson. 2020. "Self-Assembly of Antiferromagnetically-Coupled Copper(II) Supramolecular Architectures with Diverse Structural Complexities" Molecules 25, no. 23: 5549. https://doi.org/10.3390/molecules25235549
APA StyleTandon, S. S., Bunge, S. D., Patel, N., Wang, E. C., & Thompson, L. K. (2020). Self-Assembly of Antiferromagnetically-Coupled Copper(II) Supramolecular Architectures with Diverse Structural Complexities. Molecules, 25(23), 5549. https://doi.org/10.3390/molecules25235549
 
         
                                                

 
       