Ultrasound-Assisted Deep Eutectic Solvent Extraction of Anthocyanins from Blueberry Wine Residues: Optimization, Identification, and HepG2 Antitumor Activity
Abstract
1. Introduction
2. Results and Discussion
2.1. Screening of Deep Eutectic Solvents (DESs) System for the Extraction of Anthocyanins
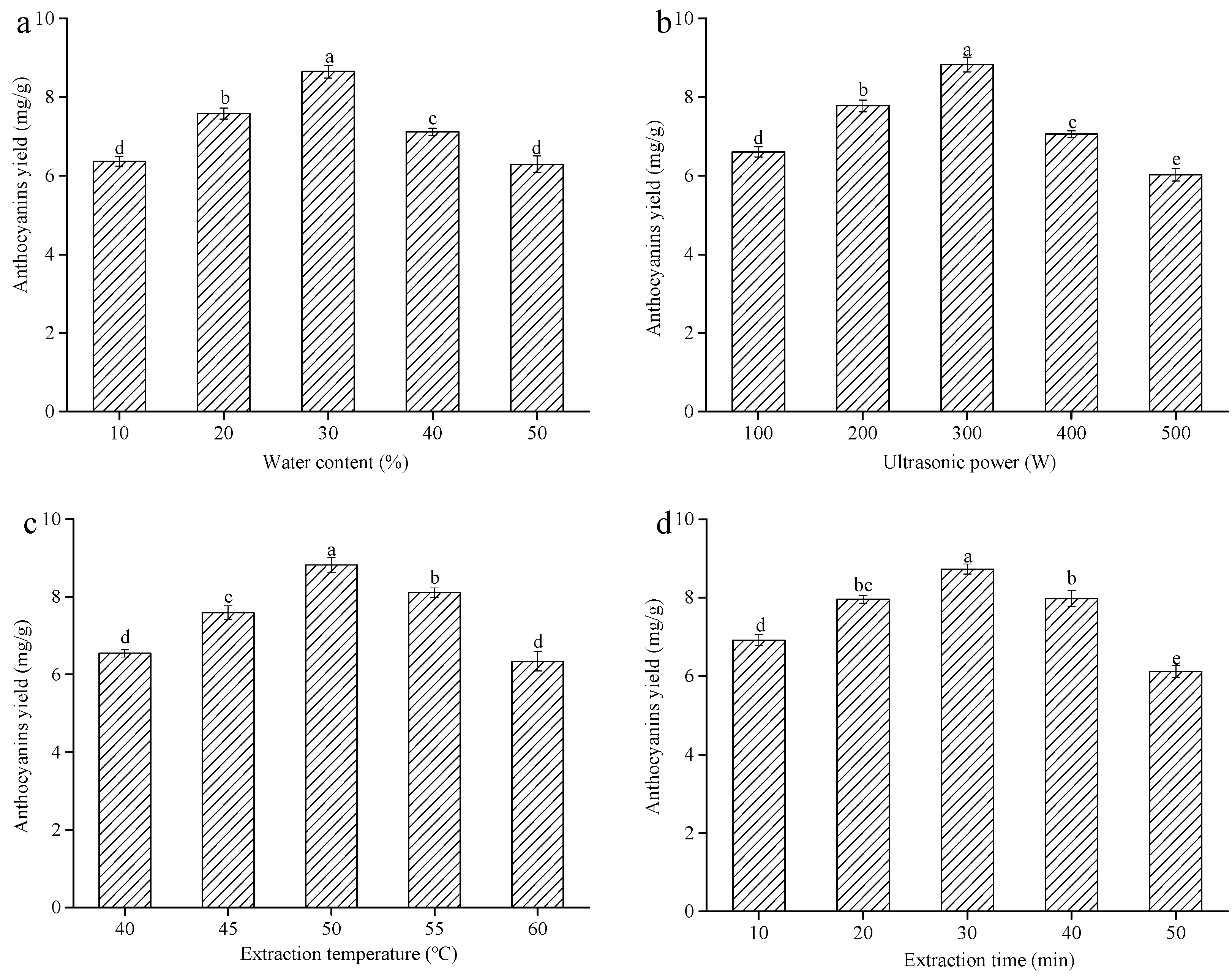
2.2. Single-Factor Experiments for Anthocyanins Extraction
2.3. Modeling of the Extraction Process
2.4. Interaction of Process Variables
2.5. Optimal Values from GA and Confirmation
2.6. Identification of Anthocyanins from Blueberry Wine Residues
2.7. Effect of CE and Component Ⅰ on Cell Viability
2.8. Effect of CE on ROS Production in HepG2 Cells
2.9. Effect of CE on the Apoptosis of HepG2 Cells
2.10. Effect of CE on the Cell Cycle of HepG2 Cells
3. Materials and Methods
3.1. Experimental Materials
3.2. Reagents and Solvents
3.3. Preparation of DESs
3.4. UADESE Procedures
3.5. Determination of Anthocyanins Yield
3.6. Experimental Design
3.6.1. Screening of Variables
3.6.2. Box–Behnken Design (BBD)
3.6.3. Validation of Model
3.7. GA
3.7.1. Establishment of the Mathematical Model
3.7.2. Mathematical Model Solution
3.8. Purification of Anthocyanins in Blueberry Wine Residues
3.9. HPLC-Diode Array Detector (DAD) and HPLC-ESI-MS/MS for Anthocyanins
3.10. Antitumor Activity
3.10.1. Cell Culture and Drug Preparation
3.10.2. Cell Viability
3.10.3. Determination of Intracellular ROS
3.10.4. Apoptosis Assay
3.10.5. Cell Cycle Analysis
3.11. Statistical Analysis
4. Conclusions
Supplementary Materials
Author Contributions
Funding
Acknowledgments
Conflicts of Interest
Ethical Approval
References
- Shi, M.; Loftus, H.; McAinch, A.J.; Su, X.Q. Blueberry as a source of bioactive compounds for the treatment of obesity, type 2 diabetes and chronic inflammation. J. Funct. Foods 2017, 30, 16–29. [Google Scholar] [CrossRef]
- Huang, W.; Zhu, Y.; Li, C.; Sui, Z.; Min, W. Effect of blueberry anthocyanins malvidin and glycosides on the antioxidant properties in endothelial cells. Oxid. Med. Cell Longev. 2016, 2016, 1591803. [Google Scholar] [CrossRef] [PubMed]
- Xue, H.; Liu, C.; Liu, C.; Xu, H.; Qin, Q.; Shen, L.; Zheng, X. A comparative study of the optimization of microwave extraction of anthocyanins from blueberry by response surface methodology and genetic algorithm-artificial neural network. Food Sci. 2018, 39, 280–288. [Google Scholar]
- Seabra, I.J.; Braga, M.E.M.; Batista, M.T.; de Sousa, H.C. Effect of solvent (CO2/ethanol/H2O) on the fractionated enhanced solvent extraction of anthocyanins from elderberry pomace. J. Supercrit. Fluid 2010, 54, 145–152. [Google Scholar] [CrossRef]
- Abbott, A.P.; Boothby, D.; Capper, G.; Davies, D.L.; Rasheed, R.K. Deep eutectic solvents formed between choline chloride and carboxylic acids: Versatile alternatives to ionic liquids. J. Am. Chem. Soc. 2004, 126, 9142–9147. [Google Scholar] [CrossRef]
- Gajic, I.S.; Savic, I.; Boskov, I.; Žerajić, S.; Markovic, I.; Gajic, D. Optimization of ultrasound-assisted extraction of phenolic compounds from black locust (Robiniae Pseudoacaciae) flowers and comparison with conventional methods. Antioxidants 2019, 8, 248. [Google Scholar] [CrossRef]
- Kurapati, V.B.; Kommineni, R.; Sundarrajan, S. Statistical analysis and mathematical modeling of dry sliding wear parameters of 2024 aluminium hybrid composites reinforced with fly ash and sic particles. Trans. Indian Inst. Metals 2018, 71, 1809–1825. [Google Scholar] [CrossRef]
- Yang, F.X.; Xu, P.; Yang, J.G.; Liang, J.; Zong, M.H.; Lou, W.Y. Efficient separation and purification of anthocyanins from saskatoon berry by using low transition temperature mixtures. RSC Adv. 2016, 6, 104582–104590. [Google Scholar] [CrossRef]
- Wiczkowski, W.; Szawara-Nowak, D.; Topolska, J. Red cabbage anthocyanins: Profile, isolation, identification, and antioxidant activity. Food Res. Int. 2013, 51, 303–309. [Google Scholar] [CrossRef]
- Zou, H.; Ma, Y.; Xu, Z.; Liao, X.; Chen, A.; Yang, S. Isolation of strawberry anthocyanins using high-speed counter-current chromatography and the copigmentation with catechin or epicatechin by high pressure processing. Food Chem. 2018, 247, 81–88. [Google Scholar] [CrossRef]
- Xue, H.; Tan, J.; Li, Q.; Tang, J.; Cai, X. Optimization ultrasound-assisted deep eutectic solvent extraction of anthocyanins from raspberry using response surface methodology coupled with genetic algorithm. Foods 2020, 9, 1409. [Google Scholar] [CrossRef] [PubMed]
- Dai, Y.; Witkamp, G.J.; Verpoorte, R.; Choi, Y.H. Tailoring properties of natural deep eutectic solvents with water to facilitate their applications. Food Chem. 2015, 187, 14–19. [Google Scholar] [CrossRef] [PubMed]
- Kauer, M.; Belova-Magri, V.; Cairós, C.; Linka, G.; Mettin, R. High-speed imaging of ultrasound driven cavitation bubbles in blind and through holes. Ultrason. Sonochem. 2018, 48, 39–50. [Google Scholar] [CrossRef] [PubMed]
- Chen, M.; Zhao, Y.; Yu, S. Optimisation of ultrasonic-assisted extraction of phenolic compounds, antioxidants, and anthocyanins from sugar beet molasses. Food Chem. 2015, 172, 543–550. [Google Scholar] [CrossRef] [PubMed]
- Jing, P.; Ruan, S.Y.; Dong, Y.; Zhang, X.G.; Yue, J.; Kan, J.Q.; Yu, L. Optimization of purification conditions of radish (Raphanus sativus L.) anthocyanin-rich extracts using chitosan. LWT Food Sci. Tech. 2011, 44, 2097–2103. [Google Scholar] [CrossRef]
- Cacace, J.E.; Mazza, G. Optimization of extraction of anthocyanins from black currants with aqueous ethanol. J. Food Sci. 2003, 68, 240–248. [Google Scholar] [CrossRef]
- Zheng, X.; Xu, X.; Liu, C.; Sun, Y.; Lin, Z.; Liu, H. Extraction characteristics and optimal parameters of anthocyanin from blueberry powder under microwave-assisted extraction conditions. Sep. Purif. Technol. 2013, 104, 17–25. [Google Scholar] [CrossRef]
- Liu, Y.; Wei, S.L.; Liao, M.C. Optimization of ultrasonic extraction of phenolic compounds from Euryale ferox seed shells using response surface methodology. Ind. Crop. Prod. 2013, 49, 837–843. [Google Scholar] [CrossRef]
- Castaneda-Ovando, A.; Pacheco-Hernández, M.D.L.; Páez-Hernández, M.E.; Rodríguez, J.A.; Galán-Vidal, C.A. Chemical studies of anthocyanins: A review. Food Chem. 2009, 113, 859–871. [Google Scholar] [CrossRef]
- Bosiljkov, T.; Dujmić, F.; Bubalo, M.C.; Hribar, J.; Vidrih, R.; Brnčić, M.; Jokić, S. Natural deep eutectic solvents and ultrasound-assisted extraction: Green approaches for extraction of wine lees anthocyanins. Food Bioprod. Process. 2017, 102, 195–203. [Google Scholar] [CrossRef]
- Giordano, L.; Coletta, W.; Rapisarda, P.; Donati, M.B.; Rotilio, D. Development and validation of an LC-MS/MS analysis for simultaneous determination of delphinidin-3-glucoside, cyanidin-3-glucoside and cyanidin-3-(6-malonylglucoside) in human plasma and urine after blood orange juice administration. IEEE J. Solid St. Circ. 2007, 30, 3127–3136. [Google Scholar] [CrossRef] [PubMed]
- Ghassempour, A.; Heydari, R.; Talebpour, Z.; Fakhari, A.R.; Rassouli, A.; Davies, N.; Aboul-Enein, H.Y. Study of new extraction methods for separation of anthocyanins from red grape skins: Analysis by HPLC and LC-MS/MS. J. Liq. Chromatogr. Relat. Technol. 2008, 31, 2686–2703. [Google Scholar] [CrossRef]
- Liu, L.; Cao, S.; Xie, B.; Sun, Z.; Wu, J. Degradation of cyanidin 3-rutinoside in the presence of (-)-epicatechin and litchi pericarp polyphenol oxidase. J. Agric. Food Chem. 2007, 55, 9074–9078. [Google Scholar] [CrossRef] [PubMed]
- Eguchi, K.; Sato, T. Differences in the ratios of cyanidin-3-o-glucoside and cyanidin-3-o-rutinocide to total anthocyanin under UV and Non-UV conditions in tartary buckwheat (Fagopyrum tataricum Garten). Plant Prod. Sci. 2009, 12, 150–155. [Google Scholar] [CrossRef]
- Pertuzatti, P.B.; Barcia, M.T.; Rebello, L.P.G.; Gómez-Alonso, S.; Duarte, R.M.T.; Duarte, M.C.T.; Hermosín-Gutiérrez, I. Antimicrobial activity and differentiation of anthocyanin profiles of rabbiteye and highbush blueberries using HPLC–DAD–ESI-MSn and multivariate analysis. J. Funct. Foods 2016, 26, 506–516. [Google Scholar] [CrossRef]
- Li, D.; Meng, X.; Li, B. Profiling of anthocyanins from blueberries produced in China using HPLC-DAD-MS and exploratory analysis by principal component analysis. J. Food Compos. Anal. 2016, 47, 1–7. [Google Scholar] [CrossRef]
- Liazid, A.; Guerrero, R.F.; Cantos, E.; Palma, M.; Barroso, C.G. Microwave assisted extraction of anthocyanins from grape skins. Food Chem. 2011, 124, 1238–1243. [Google Scholar] [CrossRef]
- Cui, C.; Zhang, S.; You, L.; Ren, J.; Luo, W.; Chen, W.; Zhao, M. Antioxidant capacity of anthocyanins from Rhodomyrtus tomentosa (Ait.) and identification of the major anthocyanins. Food Chem. 2013, 139, 1–8. [Google Scholar] [CrossRef]
- Azevedo, J.; Teixeira, N.; Oliveira, J.; de Freitas, V.; Mateus, N. Effect of sugar acylation on the antioxidant properties of Vitis vinifera red grape malvidin-3-glucoside. Int. J. Food Sci. Tech. 2011, 46, 343–349. [Google Scholar] [CrossRef]
- Tanaka, J.; Nakanishi, T.; Ogawa, K.; Tsuruma, K.; Shimazawa, M.; Shimoda, H.; Hara, H. Purple rice extract and anthocyanidins of the constituents protect against light-induced retinal damage in vitro and in vivo. J. Agric. Food Chem. 2011, 59, 528–536. [Google Scholar] [CrossRef]
- Schantz, M.; Mohn, C.; Baum, M.; Richling, E. Antioxidative efficiency of an anthocyanin rich bilberry extract in the human colon tumor cell lines Caco-2 and HT-29. J. Berry Res. 2010, 1, 25–33. [Google Scholar] [CrossRef]
- Long, H.L.; Zhang, F.F.; Wang, H.L.; Yang, W.S.; Hou, H.T.; Yu, J.K.; Liu, B. Mulberry anthocyanins improves thyroid cancer progression mainly by inducing apoptosis and autophagy cell death. J. Med. Sci. 2018, 34, 255–262. [Google Scholar] [CrossRef] [PubMed]
- Sun, X.; Zhou, T.; Wei, C.; Lan, W.; Zhao, Y.; Pan, Y.; Wu, V.C.H. Antibacterial effect and mechanism of anthocyanin rich Chinese wild blueberry extract on various foodborne pathogens. Food Control 2018, 94, 155–161. [Google Scholar] [CrossRef]
- Shen, M.; Liu, K.; Liang, Y.; Liu, G.; Sang, J.; Li, C. Extraction optimization and purification of anthocyanins from Lycium ruthenicum Murr. and evaluation of tyrosinase inhibitory activity of the anthocyanins. J. Food Sci. 2020, 85, 696–706. [Google Scholar] [CrossRef] [PubMed]
- Thirugnanasambandham, K.; Sivakumar, V.; Maran, J.P. Process optimization and analysis of microwave assisted extraction of pectin from dragon fruit peel. Carbohyd. Polym. 2014, 112, 622–626. [Google Scholar] [CrossRef] [PubMed]
- Zheng, X.; Zhang, Z.; Jin, C.; Mu, Y.; Liu, C.; Chen, Z.; Lin, Z. Purification characteristics and parameters optimization of anthocyanin extracted from blueberry. Int. J. Agric. Biol. Eng. 2015, 8, 135–144. [Google Scholar]
- Sri, S.; Priya, L.; Devi, P.R.; Eganathan, P.; Kingsley, J. In vitro antimicrobial activity of Syzygium cumini fruit peel and identification of anthocyanins. Afr. J. Pharm. Pharmacol. 2013, 7, 1719–1728. [Google Scholar]
- Pinela, J.; Prieto, M.A.; Pereira, E.; Jabeur, I.; Barreiro, M.F.; Barros, L.; Ferreira, I.C.F.R. Optimization of heat- and ultrasound-assisted extraction of anthocyanins from Hibiscus sabdariffa calyces for natural food colorants. Food Chem. 2019, 275, 309–321. [Google Scholar] [CrossRef]
- Liu, W.; Yang, C.; Zhou, C.; Wen, Z.; Dong, X. An improved microwave-assisted extraction of anthocyanins from purple sweet potato in favor of subsequent comprehensive utilization of pomace. Food Bioprod. Process. 2019, 115, 1–9. [Google Scholar] [CrossRef]









| No. | Independent Variables | Anthocyanins Yield (mg/g) | |||
|---|---|---|---|---|---|
| Water Content (X1)/% | Ultrasonic Power (X2)/W | Extraction Temperature (X3)/°C | Extraction Time (X4)/min | ||
| 1 | −1 | −1 | 0 | 0 | 6.27 |
| 2 | 1 | −1 | 0 | 0 | 7.82 |
| 3 | −1 | 1 | 0 | 0 | 7.86 |
| 4 | 1 | 1 | 0 | 0 | 7.58 |
| 5 | 0 | 0 | −1 | −1 | 6.81 |
| 6 | 0 | 0 | 1 | −1 | 7.87 |
| 7 | 0 | 0 | −1 | 1 | 8.54 |
| 8 | 0 | 0 | 1 | 1 | 8.66 |
| 9 | −1 | 0 | 0 | −1 | 7.31 |
| 10 | 1 | 0 | 0 | −1 | 8.32 |
| 11 | −1 | 0 | 0 | 1 | 8.43 |
| 12 | 1 | 0 | 0 | 1 | 8.78 |
| 13 | 0 | −1 | −1 | 0 | 7.43 |
| 14 | 0 | 1 | −1 | 0 | 7.25 |
| 15 | 0 | −1 | 1 | 0 | 7.33 |
| 16 | 0 | 1 | 1 | 0 | 9.39 |
| 17 | −1 | 0 | −1 | 0 | 7.42 |
| 18 | 1 | 0 | −1 | 0 | 7.68 |
| 19 | −1 | 0 | 1 | 0 | 7.96 |
| 20 | 1 | 0 | 1 | 0 | 8.14 |
| 21 | 0 | −1 | 0 | −1 | 7.03 |
| 22 | 0 | 1 | 0 | −1 | 7.00 |
| 23 | 0 | −1 | 0 | 1 | 7.67 |
| 24 | 0 | 1 | 0 | 1 | 8.81 |
| 25 | 0 | 0 | 0 | 0 | 8.65 |
| 26 | 0 | 0 | 0 | 0 | 8.66 |
| 27 | 0 | 0 | 0 | 0 | 8.57 |
| 28 | 0 | 0 | 0 | 0 | 8.11 |
| 29 | 0 | 0 | 0 | 0 | 8.54 |
| Source of Variance | SQ | df | MS | F-Value | p-Value |
|---|---|---|---|---|---|
| Model | 13.21 | 14 | 0.94 | 10.10 | <0.0001 ** |
| X1 | 0.79 | 1 | 0.79 | 8.40 | 0.0117 * |
| X2 | 1.57 | 1 | 1.57 | 16.79 | 0.0011 ** |
| X3 | 1.48 | 1 | 1.48 | 15.88 | 0.0014 ** |
| X4 | 3.58 | 1 | 3.58 | 38.25 | <0.0001 ** |
| X12 | 0.86 | 1 | 0.86 | 9.17 | 0.0090 ** |
| X22 | 2.57 | 1 | 2.57 | 27.52 | 0.0001 ** |
| X32 | 0.40 | 1 | 0.40 | 4.33 | 0.0564 ns |
| X42 | 0.16 | 1 | 0.16 | 1.69 | 0.2150 ns |
| X1X2 | 0.84 | 1 | 0.84 | 8.96 | 0.0097 ** |
| X1X3 | 1.600 × 10−3 | 1 | 1.600 × 10−3 | 0.017 | 0.8978 ns |
| X1X4 | 0.11 | 1 | 0.11 | 1.17 | 0.2986 ns |
| X2X3 | 1.25 | 1 | 1.25 | 13.42 | 0.0026 ** |
| X2X4 | 0.34 | 1 | 0.34 | 3.66 | 0.0764 ns |
| X3X4 | 0.22 | 1 | 0.22 | 2.36 | 0.1465 ns |
| Residual | 1.31 | 14 | 0.093 | ||
| Lack of fit | 1.10 | 10 | 0.11 | 2.13 | 0.2420 ns |
| Pure error | 0.21 | 4 | 0.052 | ||
| Sum | 14.52 | 28 | |||
| R2 = 0.9099 | R2adj = 0.8198 | CV = 0.5407% |
| Peak | tR (min) | (M)+ (m/z) | MS2 (m/z) | Lost Fragments (m/z) | Identity |
|---|---|---|---|---|---|
| 1 | 12.60 | 465.1 | 303.1 | 162 | delphinidin-3-glucoside |
| 2 | 19.36 | 595.4 | 449.1, 287.1 | 146, 162 | cyanidin-3-rutinoside |
| 3 | 28.12 | 479.3 | 317.1 | 162 | petunidin-3-glucoside |
| 4 | 34.44 | 625.2 | 463.1, 301.3 | 162 | peonidin-3,5-dihexoside |
| 5 | 37.97 | 493.1 | 331.1 | 162 | malvidin-3-glucoside |
| NO. | HBA | HBD | Mole Ratio | DESs:Water (v/v) |
|---|---|---|---|---|
| DESs-1 | choline chloride | glycerol | 1:2 | 80:20 |
| DESs-2 | choline chloride | glycerol | 1:3 | 80:20 |
| DESs-3 | choline chloride | 1,3-butanediol | 1:2 | 80:20 |
| DESs-4 | choline chloride | 1,3-butanediol | 1:3 | 80:20 |
| DESs-5 | choline chloride | 1,4-butanediol | 1:2 | 80:20 |
| DESs-6 | choline chloride | 1,4-butanediol | 1:3 | 80:20 |
| DESs-7 | choline chloride | glycol | 1:2 | 80:20 |
| DESs-8 | choline chloride | glycol | 1:3 | 80:20 |
| DESs-9 | choline chloride | glucose | 1:1 | 80:20 |
| DESs-10 | choline chloride | glucose | 1:2 | 80:20 |
| Levels | Independent Variables | |||
|---|---|---|---|---|
| Water Content (X1)/% | Ultrasonic Power (X2)/W | Extraction Temperature (X3)/°C | Extraction Time (X4)/min | |
| −1 | 20 | 200 | 45 | 20 |
| 0 | 30 | 300 | 50 | 30 |
| 1 | 40 | 400 | 55 | 40 |
Sample Availability: Samples of the compounds are available from the authors. | |
Publisher’s Note: MDPI stays neutral with regard to jurisdictional claims in published maps and institutional affiliations. |
© 2020 by the authors. Licensee MDPI, Basel, Switzerland. This article is an open access article distributed under the terms and conditions of the Creative Commons Attribution (CC BY) license (http://creativecommons.org/licenses/by/4.0/).
Share and Cite
Xue, H.; Tan, J.; Li, Q.; Tang, J.; Cai, X. Ultrasound-Assisted Deep Eutectic Solvent Extraction of Anthocyanins from Blueberry Wine Residues: Optimization, Identification, and HepG2 Antitumor Activity. Molecules 2020, 25, 5456. https://doi.org/10.3390/molecules25225456
Xue H, Tan J, Li Q, Tang J, Cai X. Ultrasound-Assisted Deep Eutectic Solvent Extraction of Anthocyanins from Blueberry Wine Residues: Optimization, Identification, and HepG2 Antitumor Activity. Molecules. 2020; 25(22):5456. https://doi.org/10.3390/molecules25225456
Chicago/Turabian StyleXue, Hongkun, Jiaqi Tan, Qian Li, Jintian Tang, and Xu Cai. 2020. "Ultrasound-Assisted Deep Eutectic Solvent Extraction of Anthocyanins from Blueberry Wine Residues: Optimization, Identification, and HepG2 Antitumor Activity" Molecules 25, no. 22: 5456. https://doi.org/10.3390/molecules25225456
APA StyleXue, H., Tan, J., Li, Q., Tang, J., & Cai, X. (2020). Ultrasound-Assisted Deep Eutectic Solvent Extraction of Anthocyanins from Blueberry Wine Residues: Optimization, Identification, and HepG2 Antitumor Activity. Molecules, 25(22), 5456. https://doi.org/10.3390/molecules25225456

