Functionality of Cricket and Mealworm Hydrolysates Generated after Pretreatment of Meals with High Hydrostatic Pressures
Abstract
1. Introduction
2. Materials and Methods
2.1. Materials
2.1.1. Insects
2.1.2. Chemicals
2.2. Preparation of Insect Protein Hydrolysates
2.3. Proximate Composition of Protein Insect Ingredients
2.4. Degree of Hydrolysis
2.5. Measurement of Particle Size
2.6. Protein Solubility
2.7. Rheological Behavior
2.8. Gelation Properties
2.9. Foaming Properties
2.10. Water and Oil Binding Capacities
2.11. Emulsifying Properties
2.12. Statistical Analysis
3. Results and Discussion
3.1. Proximate Composition and Degree of Hydrolysis
3.2. Particle Size Distribution
3.3. Solubility of Insect Meals and Hydrolysates
3.4. Rheological Behavior
3.5. Gelation Properties
3.6. Foaming Properties
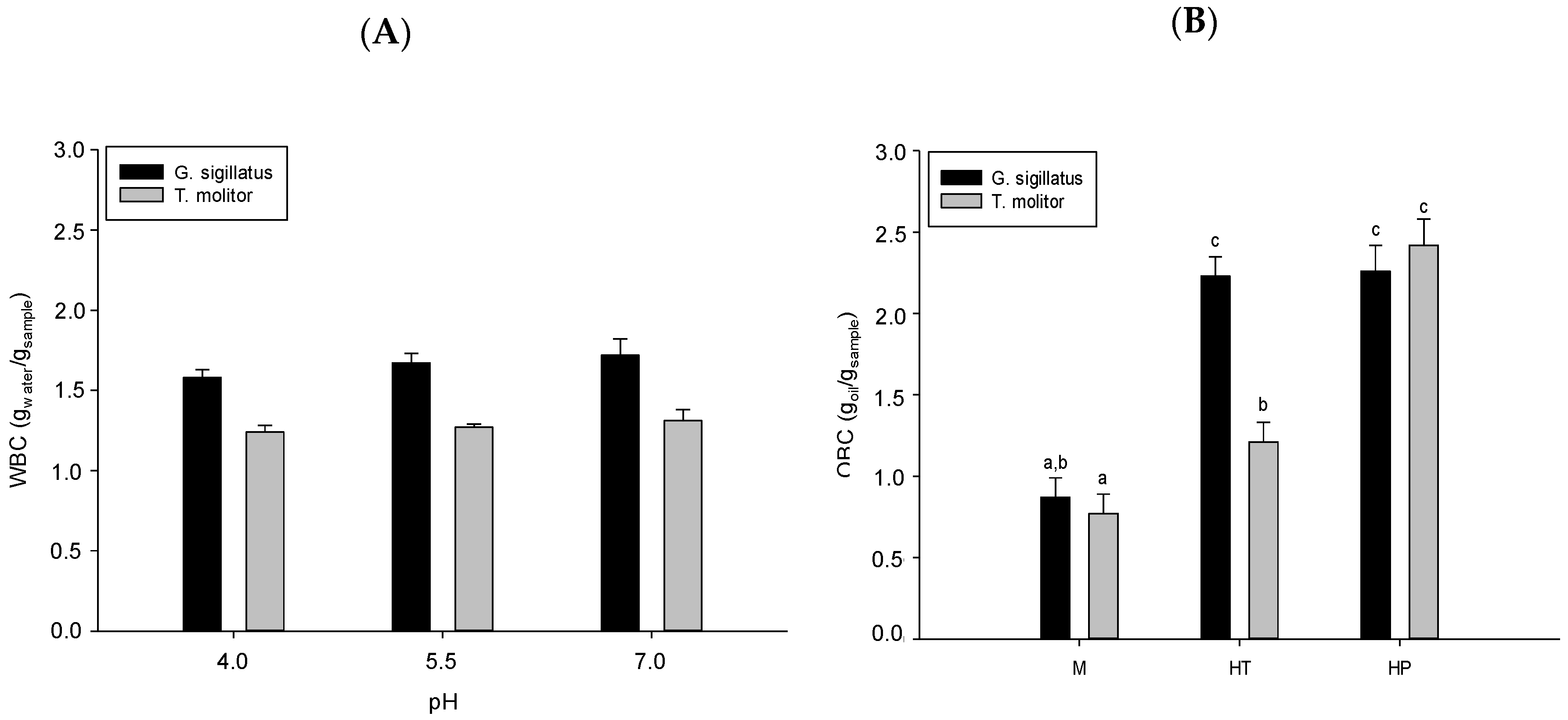
3.7. Water and Oil Binding Capacities
3.8. Emulsifying Properties
3.8.1. Emulsion Activity Index (EAI)
3.8.2. Emulsion Stability Index (ESI)
4. Conclusions
Author Contributions
Funding
Acknowledgments
Conflicts of Interest
Appendix A


| Probability Values | |
|---|---|
| Main effects | |
| Insects (I) | <0.0001 |
| Treatments (T) | <0.0001 |
| Concentration (C) | <0.0001 |
| pH | 0.0015 |
| Time | <0.0001 |
| Interactions | |
| I × T | <0.0001 |
| I × pH | 0.9160 |
| T × pH | 0.3082 |
| I × C | <0.0001 |
| T × C | <0.0001 |
| C × pH | 0.8537 |
| I × Time | 0.1246 |
| T × Time | <0.0001 |
| pH × Time | 0.7627 |
| C × Time | <0.0001 |
| I × T × pH | 0.7393 |
| I × T × C | 0.1191 |
| I × C × pH | 0.2663 |
| T × C × pH | 0.1481 |
| I × T × Time | <0.0001 |
| I × pH × Time | 0.1367 |
| I × C × Time | 0.4107 |
| T × pH × Time | 0.0971 |
| T × C × Time | 0.0129 |
| C × pH × Time | 0.8910 |
| I × T × C × pH | 0.6985 |
| I × T × pH × Time | 0.6341 |
| I × T × C × Time | 0.4343 |
| I × C × pH × Time | 0.8402 |
| T × C × pH × Time | 0.7098 |
| I × T × C × pH × Time | 0.9184 |
References
- Van Huis, A.; Van Itterbeeck, J.; Klunder, H.; Mertens, E.; Halloran, A.; Muir, G.; Vantomme, P. Edible Insects: Future Prospects for Food and Feed Security; FAO U.N.: Rome, Italy, 2013. [Google Scholar]
- Akhtar, Y.; Isman, M. Insects as an Alternative Protein Source. In Proteins in Food Processing; Elsevier BV: Amsterdam, The Netherlands, 2018; pp. 263–288. [Google Scholar]
- Hall, F.; Jones, O.G.; O’Haire, M.E.; Liceaga, A.M. Functional properties of tropical banded cricket (Gryllodes sigillatus) protein hydrolysates. Food Chem. 2017, 224, 414–422. [Google Scholar] [CrossRef]
- Rumpold, B.A.; Schlüter, O.K. Nutritional composition and safety aspects of edible insects. Mol. Nutr. Food Res. 2013, 57, 802–823. [Google Scholar] [CrossRef]
- Oonincx, D.G.A.B.; Van Itterbeeck, J.; Heetkamp, M.J.W.; Brand, H.V.D.; Van Loon, J.J.A.; Van Huis, A. An Exploration on Greenhouse Gas and Ammonia Production by Insect Species Suitable for Animal or Human Consumption. PLoS ONE 2010, 5, e14445. [Google Scholar] [CrossRef]
- Oonincx, D.G.A.B.; De Boer, I.J.M. Environmental Impact of the Production of Mealworms as a Protein Source for Humans—A Life Cycle Assessment. PLoS ONE 2012, 7, e51145. [Google Scholar] [CrossRef]
- Alexander, P.; Brown, C.; Arneth, A.; Dias, C.; Finnigan, J.; Moran, D.; Rounsevell, M.D. Could consumption of insects, cultured meat or imitation meat reduce global agricultural land use? Glob. Food Secur. 2017, 15, 22–32. [Google Scholar] [CrossRef]
- Premalatha, M.; Abbasi, T.; Abbasi, T.; Abbasi, S. Energy-efficient food production to reduce global warming and ecodegradation: The use of edible insects. Renew. Sustain. Energy Rev. 2011, 15, 4357–4360. [Google Scholar] [CrossRef]
- Ramos-Elorduy, J.; Moreno, J.M.P.; Prado, E.E.; Perez, M.A.; Otero, J.L.; De Guevara, O.L. Nutritional Value of Edible Insects from the State of Oaxaca, Mexico. J. Food Compos. Anal. 1997, 10, 142–157. [Google Scholar] [CrossRef]
- Bukkens, S.G. The nutritional value of edible insects. Ecol. Food Nutr. 1997, 36, 287–319. [Google Scholar] [CrossRef]
- Bußler, S.; Rumpold, B.A.; Jander, E.; Rawel, H.M.; Schlüter, O.K. Recovery and techno-functionality of flours and proteins from two edible insect species: Meal worm (Tenebrio molitor) and black soldier fly (Hermetia illucens) larvae. Heliyon 2016, 2, e00218. [Google Scholar] [CrossRef]
- Gmuer, A.; Guth, J.N.; Hartmann, C.; Siegrist, M. Effects of the degree of processing of insect ingredients in snacks on expected emotional experiences and willingness to eat. Food Qual. Prefer. 2016, 54, 117–127. [Google Scholar] [CrossRef]
- Hartmann, C.; Shi, J.; Giusto, A.; Siegrist, M. The psychology of eating insects: A cross-cultural comparison between Germany and China. Food Qual. Prefer. 2015, 44, 148–156. [Google Scholar] [CrossRef]
- Hartmann, C.; Siegrist, M. Becoming an insectivore: Results of an experiment. Food Qual. Prefer. 2016, 51, 118–122. [Google Scholar] [CrossRef]
- Schösler, H.; De Boer, J.; Boersema, J.J. Can we cut out the meat of the dish? Constructing consumer-oriented pathways towards meat substitution. Appetite 2012, 58, 39–47. [Google Scholar] [CrossRef] [PubMed]
- Tan, H.S.G.; Fischer, A.R.; Tinchan, P.; Stieger, M.; Steenbekkers, L.; Van Trijp, H. Insects as food: Exploring cultural exposure and individual experience as determinants of acceptance. Food Qual. Prefer. 2015, 42, 78–89. [Google Scholar] [CrossRef]
- Fombong, F.T.; Van Der Borght, M.; Broeck, J.V. Influence of Freeze-Drying and Oven-Drying Post Blanching on the Nutrient Composition of the Edible Insect Ruspolia differens. Insects 2017, 8, 102. [Google Scholar] [CrossRef]
- Melgar-Lalanne, G.; Hernández-Álvarez, A.; Salinas-Castro, A. Edible Insects Processing: Traditional and Innovative Technologies. Compr. Rev. Food Sci. Food Saf. 2019, 18, 1166–1191. [Google Scholar] [CrossRef]
- Kröncke, N.; Böschen, V.; Woyzichovski, J.; Demtröder, S.; Benning, R. Comparison of suitable drying processes for mealworms (Tenebrio molitor). Innov. Food Sci. Emerg. Technol. 2018, 50, 20–25. [Google Scholar] [CrossRef]
- Purschke, B.; Meinlschmidt, P.; Horn, C.; Rieder, O.; Jäger, H. Improvement of techno-functional properties of edible insect protein from migratory locust by enzymatic hydrolysis. Eur. Food Res. Technol. 2017, 244, 999–1013. [Google Scholar] [CrossRef]
- Azagoh, C.; Ducept, F.; Garcia, R.; Rakotozafy, L.; Cuvelier, M.-E.; Keller, S.; Lewandowski, R.; Samir, M. Extraction and physicochemical characterization of Tenebrio molitor proteins. Food Res. Int. 2016, 88, 24–31. [Google Scholar] [CrossRef]
- Chalamaiah, M.; Rao, G.N.; Rao, D.; Jyothirmayi, T. Protein hydrolysates from meriga (Cirrhinus mrigala) egg and evaluation of their functional properties. Food Chem. 2010, 120, 652–657. [Google Scholar] [CrossRef]
- Ghribi, A.M.; Gafsi, I.M.; Sila, A.; Blecker, C.; Danthine, S.; Attia, H.; Bougatef, A.; Besbes, S. Effects of enzymatic hydrolysis on conformational and functional properties of chickpea protein isolate. Food Chem. 2015, 187, 322–330. [Google Scholar] [CrossRef] [PubMed]
- Wang, J.; Zhang, J.; Li, L.; Wang, Y.; Wang, Q.; Zhai, Y.; You, H.; Hu, D. Association of rs12255372 in theTCF7L2 gene with type 2 diabetes mellitus: A meta-analysis. Braz. J. Med. Biol. Res. 2013, 46, 382–393. [Google Scholar] [CrossRef] [PubMed]
- Chen, Z.; Li, Y.; Lin, S.; Wei, M.; Du, F.; Ruan, G. Development of continuous microwave-assisted protein digestion with immobilized enzyme. Biochem. Biophys. Res. Commun. 2014, 445, 491–496. [Google Scholar] [CrossRef] [PubMed]
- Uluko, H.; Zhang, S.; Liu, L.; Tsakama, M.; Lu, J.; Lv, J. Effects of thermal, microwave, and ultrasound pretreatments on antioxidative capacity of enzymatic milk protein concentrate hydrolysates. J. Funct. Foods 2015, 18, 1138–1146. [Google Scholar] [CrossRef]
- Abadía-García, L.; Castaño-Tostado, E.; Ozimek, L.; Romero-Gómez, S.; Ozuna, C.; Amaya-Llano, S.L. Impact of ultrasound pretreatment on whey protein hydrolysis by vegetable proteases. Innov. Food Sci. Emerg. Technol. 2016, 37, 84–90. [Google Scholar] [CrossRef]
- Kadam, S.U.; Tiwari, B.K.; Álvarez, C.; O’Donnell, C.P. Ultrasound applications for the extraction, identification and delivery of food proteins and bioactive peptides. Trends Food Sci. Technol. 2015, 46, 60–67. [Google Scholar] [CrossRef]
- Lin, S.; Guo, Y.; Liu, J.; You, Q.; Yin, Y.; Cheng, S. Optimized enzymatic hydrolysis and pulsed electric field treatment for production of antioxidant peptides from egg white protein. Afr. J. Biotech. 2011, 10, 11648. [Google Scholar]
- Lin, S.; Jin, Y.; Liu, M.; Yang, Y.; Zhang, M.; Guo, Y.; Jones, G.; Liu, J.; Yin, Y. Research on the preparation of antioxidant peptides derived from egg white with assisting of high-intensity pulsed electric field. Food Chem. 2013, 139, 300–306. [Google Scholar] [CrossRef]
- Mikhaylin, S.; Boussetta, N.; Vorobiev, E.; Bazinet, L. High Voltage Electrical Treatments to Improve the Protein Susceptibility to Enzymatic Hydrolysis. ACS Sustain. Chem. Eng. 2017, 5, 11706–11714. [Google Scholar] [CrossRef]
- Marciniak, A.; Suwal, S.; Naderi, N.; Pouliot, Y.; Doyen, A. Enhancing enzymatic hydrolysis of food proteins and production of bioactive peptides using high hydrostatic pressure technology. Trends Food Sci. Technol. 2018, 80, 187–198. [Google Scholar] [CrossRef]
- Peyrano, F.; Speroni, F.; Avanza, M. Physicochemical and functional properties of cowpea protein isolates treated with temperature or high hydrostatic pressure. Innov. Food Sci. Emerg. Technol. 2016, 33, 38–46. [Google Scholar] [CrossRef]
- Wang, X.-S.; Tang, C.-H.; Li, B.-S.; Yang, X.-Q.; Li, L.; Ma, C.-Y. Effects of high-pressure treatment on some physicochemical and functional properties of soy protein isolates. Food Hydrocoll. 2008, 22, 560–567. [Google Scholar] [CrossRef]
- Rivalain, N.; Roquain, J.; Demazeau, G. Development of high hydrostatic pressure in biosciences: Pressure effect on biological structures and potential applications in Biotechnologies. Biotechnol. Adv. 2010, 28, 659–672. [Google Scholar] [CrossRef] [PubMed]
- Knudsen, J.; Otte, J.; Olsen, K.; Skibsted, L.H. Effect of high hydrostatic pressure on the conformation of β-lactoglobulin A as assessed by proteolytic peptide profiling. Int. Dairy J. 2002, 12, 791–803. [Google Scholar] [CrossRef]
- Hemker, A.K.; Nguyen, L.T.; Karwe, M.; Salvi, D. Effects of pressure-assisted enzymatic hydrolysis on functional and bioactive properties of tilapia (Oreochromis niloticus) by-product protein hydrolysates. LWT 2020, 122, 109003. [Google Scholar] [CrossRef]
- Liceaga-Gesualdo, A.; Li-Chan, E. Functional Properties of Fish Protein Hydrolysate from Herring (Clupea harengus). J. Food Sci. 1999, 64, 1000–1004. [Google Scholar] [CrossRef]
- De Holanda, H.D.; Netto, F.M. Recovery of Components from Shrimp (Xiphopenaeus kroyeri) Processing Waste by Enzymatic Hydrolysis. J. Food Sci. 2006, 71, C298–C303. [Google Scholar] [CrossRef]
- Synowiecki, J.; Al-Khateeb, N.A. Production, Properties, and Some New Applications of Chitin and Its Derivatives. Crit. Rev. Food Sci. Nutr. 2003, 43, 145–171. [Google Scholar] [CrossRef]
- Yi, L.; Lakemond, C.; Sagis, L.M.C.; Eisner-Schadler, V.; Van Huis, A.; Van Boekel, M. Extraction and characterisation of protein fractions from five insect species. Food Chem. 2013, 141, 3341–3348. [Google Scholar] [CrossRef]
- Boukil, A.; Perreault, V.; Chamberland, J.; Samir, M.; Pouliot, Y.; Doyen, A. High Hydrostatic Pressure-Assisted Enzymatic Hydrolysis Affect Mealworm Allergenic Proteins. Molecules 2020, 25, 2685. [Google Scholar] [CrossRef]
- Latimer, G.W.; AOAC International. Official Methods of Analysis; AOAC International: Gaithersburg, MD, USA, 2012. [Google Scholar]
- Janssen, R.H.; Vincken, J.-P.; Broek, L.A.M.V.D.; Fogliano, V.; Lakemond, C.M.M. Nitrogen-to-Protein Conversion Factors for Three Edible Insects: Tenebrio molitor, Alphitobius diaperinus, and Hermetia illucens. J. Agric. Food Chem. 2017, 65, 2275–2278. [Google Scholar] [CrossRef] [PubMed]
- Tzompa-Sosa, D.A.; Yi, L.; Van Valenberg, H.J.; Van Boekel, M.A.; Lakemond, C.M. Insect lipid profile: Aqueous versus organic solvent-based extraction methods. Food Res. Int. 2014, 62, 1087–1094. [Google Scholar] [CrossRef]
- Spinelli, J.; Lehman, L.; Wieg, D. Composition, Processing, and Utilization of Red Crab (Pleuroncodes planipes) as an Aquacultural Feed Ingredient. J. Fish. Res. Board Can. 1974, 31, 1025–1029. [Google Scholar] [CrossRef]
- Church, F.C.; Swaisgood, H.E.; Porter, D.H.; Catignani, G.L. Spectrophotometric Assay Using o-Phthaldialdehyde for Determination of Proteolysis in Milk and Isolated Milk Proteins. J. Dairy Sci. 1983, 66, 1219–1227. [Google Scholar] [CrossRef]
- Turgeon, S.; Bard, C.; Gauthier, S. Comparaison de trois méthodes pour la mesure du degré d’hydrolyse de protéines laitières modifiées enzymatiquement. Can. Inst. Food Sci. Technol. J. 1991, 24, 14–18. [Google Scholar] [CrossRef]
- Morr, C.; German, B.; Kinsella, J.; Regenstein, J.; Van Buren, J.; Kilara, A.; Lewis, B.; Mangino, M. A Collaborative Study to Develop a Standardized Food Protein Solubility Procedure. J. Food Sci. 1985, 50, 1715–1718. [Google Scholar] [CrossRef]
- Mezger, T.G. The Rheology Handbook: For Users of Rotational and Oscillatory Rheometers; Vincentz Network GmbH & Co KG.: Hannover, Germany, 2006. [Google Scholar]
- Guo, F.; Xiong, Y.L.; Qin, F.; Jian, H.; Huang, X.; Chen, J. Surface Properties of Heat-Induced Soluble Soy Protein Aggregates of Different Molecular Masses. J. Food Sci. 2015, 80, C279–C287. [Google Scholar] [CrossRef]
- Quinn, J.R.; Paton, D. A pratical measurement of water hydratation capacity of protein materials. Cereal Chem. 1979, 56, 38–40. [Google Scholar]
- Haque, Z.U.; Mozaffar, Z. Casein hydrolysate. II. Functional properties of peptides. Food Hydrocoll. 1992, 5, 559–571. [Google Scholar] [CrossRef]
- Pearce, K.N.; Kinsella, J.E. Emulsifying properties of proteins: Evaluation of a turbidimetric technique. J. Agric. Food Chem. 1978, 26, 716–723. [Google Scholar] [CrossRef]
- Zielińska, E.; Baraniak, B.; Karaś, M.; Rybczyńska, K.; Jakubczyk, A. Selected species of edible insects as a source of nutrient composition. Food Res. Int. 2015, 77, 460–466. [Google Scholar] [CrossRef]
- Zielińska, E.; Karaś, M.; Jakubczyk, A. Antioxidant activity of predigested protein obtained from a range of farmed edible insects. Int. J. Food Sci. Technol. 2016, 52, 306–312. [Google Scholar] [CrossRef]
- Gbogouri, G.; Linder, M.; Fanni, J.; Parmentier, M. Influence of Hydrolysis Degree on the Functional Properties of Salmon Byproducts Hydrolysates. J. Food Sci. 2004, 69, 615–622. [Google Scholar] [CrossRef]
- Panyam, D.; Kilara, A. Enhancing the functionality of food proteins by enzymatic modification. Trends Food Sci. Technol. 1996, 7, 120–125. [Google Scholar] [CrossRef]
- Guan, H.; Diao, X.; Jiang, F.; Han, J.; Kong, B. The enzymatic hydrolysis of soy protein isolate by Corolase PP under high hydrostatic pressure and its effect on bioactivity and characteristics of hydrolysates. Food Chem. 2018, 245, 89–96. [Google Scholar] [CrossRef]
- Stone, A.K.; Tanaka, T.; Nickerson, M.T. Protein quality and physicochemical properties of commercial cricket and mealworm powders. J. Food Sci. Technol. 2019, 56, 3355–3363. [Google Scholar] [CrossRef]
- Zhao, X.; Vázquez-Gutiérrez, J.L.; Johansson, D.P.; Landberg, R.; Langton, M. Yellow Mealworm Protein for Food Purposes-Extraction and Functional Properties. PLoS ONE 2016, 11, e147791. [Google Scholar] [CrossRef]
- Wessels, M.; Azzollini, D.; Fogliano, V. Frozen storage of lesser mealworm larvae (Alphitobius diaperinus) changes chemical properties and functionalities of the derived ingredients. Food Chem. 2020, 320. [Google Scholar] [CrossRef]
- Omotoso, O.T. Nutritional quality, functional properties and anti-nutrient compositions of the larva of Cirina forda (Westwood) (Lepidoptera: Saturniidae). J. Zhejiang Univ. Sci. B 2006, 7, 51–55. [Google Scholar] [CrossRef]
- Womeni, H.M.; Tiencheu, B.; Linder, M.; Nabayo, C.; Martial, E.; Tenyang, N.; Tchouanguep Mbiapo, F.; Villeneuve, P.; Fanni, J.; Parmentier, M. Nutritional value and effect of cooking, drying and storage process on some functional properties of Rhynchophorus phoenicis. J. Life Sci. Pharma Res. 2012, 2, 203–217. [Google Scholar]
- Adler-Nissen, J. Enzymic Hydrolysis of Food Proteins; Elsevier: New York, NY, USA, 1986. [Google Scholar]
- Sathe, S.K.; Zaffran, V.D.; Gupta, S.; Li, T. Protein Solubilization. J. Am. Oil Chem. Soc. 2018, 95, 883–901. [Google Scholar] [CrossRef]
- Bao, Z.-J.; Zhao, Y.; Wang, X.-Y.; Chi, Y. Effects of degree of hydrolysis (DH) on the functional properties of egg yolk hydrolysate with alcalase. J. Food Sci. Technol. 2017, 54, 669–678. [Google Scholar] [CrossRef] [PubMed]
- Mora, P.G.; Peñas, E.; Frías, J.; Gomez, R.; Martinez-Villaluenga, C. High-pressure improves enzymatic proteolysis and the release of peptides with angiotensin I converting enzyme inhibitory and antioxidant activities from lentil proteins. Food Chem. 2015, 171, 224–232. [Google Scholar] [CrossRef] [PubMed]
- Qin, Z.; Guo, X.; Lin, Y.; Chen, J.; Liao, X.; Hu, X.; Wu, J. Effects of high hydrostatic pressure on physicochemical and functional properties of walnut (Juglans regia L.) protein isolate. J. Sci. Food Agric. 2012, 93, 1105–1111. [Google Scholar] [CrossRef]
- Bamdad, F.; Bark, S.; Kwon, C.H.; Suh, J.-W.; Sunwoo, H. Anti-Inflammatory and Antioxidant Properties of Peptides Released from β-Lactoglobulin by High Hydrostatic Pressure-Assisted Enzymatic Hydrolysis. Molecules 2017, 22, 949. [Google Scholar] [CrossRef]
- Boukil, A.; Suwal, S.; Chamberland, J.; Pouliot, Y.; Doyen, A. Ultrafiltration performance and recovery of bioactive peptides after fractionation of tryptic hydrolysate generated from pressure-treated β-lactoglobulin. J. Membr. Sci. 2018, 556, 42–53. [Google Scholar] [CrossRef]
- In, M.-J.; Kim, N.C.; Chae, H.J.; Oh, N.-S. Effects of degree of hydrolysis and pH on the solubility of heme-iron enriched peptide in hemoglobin hydrolysate. Biosci. Biotechnol. Biochem. 2003, 67, 365–367. [Google Scholar] [CrossRef]
- Jung, S.; Murphy, P.A.; Johnson, L.A. Physicochemical and Functional Properties of Soy Protein Substrates Modified by Low Levels of Protease Hydrolysis. J. Food Sci. 2005, 70, 180–187. [Google Scholar] [CrossRef]
- Lamsal, B.; Jung, S.; Johnson, L. Rheological properties of soy protein hydrolysates obtained from limited enzymatic hydrolysis. LWT 2007, 40, 1215–1223. [Google Scholar] [CrossRef]
- Tsumura, K.; Saito, T.; Tsuge, K.; Ashida, H.; Kugimiya, W.; Inouye, K. Functional properties of soy protein hydrolysates obtained by selective proteolysis. LWT 2005, 38, 255–261. [Google Scholar] [CrossRef]
- Hines, M.E.; Foegeding, E.A. Interactions of .alpha.-lactalbumin and bovine serum albumin with .beta.-lactoglobulin in thermally induced gelation. J. Agric. Food Chem. 1993, 41, 341–346. [Google Scholar] [CrossRef]
- Le, X.T.; Rioux, L.-E.; Turgeon, S.L. Formation and functional properties of protein–polysaccharide electrostatic hydrogels in comparison to protein or polysaccharide hydrogels. Adv. Colloid Interface Sci. 2017, 239, 127–135. [Google Scholar] [CrossRef] [PubMed]
- Turgeon, S.L.; Beaulieu, M. Improvement and modification of whey protein gel texture using polysaccharides. Food Hydrocoll. 2001, 15, 583–591. [Google Scholar] [CrossRef]
- Pomeranz, Y. Functional Properties of Food Components; Elsevier BV: Amsterdam, The Netherlands, 1985. [Google Scholar]
- Totosaus, A.; Montejano, J.G.; Salazar, J.A.; Guerrero, I. A review of physical and chemical protein-gel induction. Int. J. Food Sci. Technol. 2002, 37, 589–601. [Google Scholar] [CrossRef]
- Zhang, T.; Jiang, B.; Wang, Z. Gelation properties of chickpea protein isolates. Food Hydrocoll. 2007, 21, 280–286. [Google Scholar] [CrossRef]
- Akpossan, R.; Digbeu, Y.; Koffi, M.; Kouadio, J.; Dué, E.; Kouame, P. Protein Fractions and Functional Properties of Dried Imbrasia oyemensis Larvae Full-Fat and Defatted Flours. Int. J. Biochem. Res. Rev. 2015, 5, 116–126. [Google Scholar] [CrossRef]
- Valle, F.R.; Mena, M.H.; Bourges, H. An investigation into insect protein. J. Food Process. Preserv. 1982, 6, 99–110. [Google Scholar] [CrossRef]
- Lomakina, K.; Míková, K. A study of the factors affecting the foaming properties of egg white—A review. Czech. J. Food Sci. 2011, 24, 110–118. [Google Scholar] [CrossRef]
- Zielińska, E.; Karaś, M.; Baraniak, B. Comparison of functional properties of edible insects and protein preparations thereof. LWT 2018, 91, 168–174. [Google Scholar] [CrossRef]
- Damodaran, S.; Paraf, A. Food Proteins and Their Applications; Informa UK Limited: London, UK, 2017. [Google Scholar]
- Deng, Q.; Wang, L.; Wei, F.; Xie, B.J.; Huang, F.-H.; Huang, W.; Shi, J.; Huang, Q.; Tian, B.; Xue, S. Functional properties of protein isolates, globulin and albumin extracted from Ginkgo biloba seeds. Food Chem. 2011, 124, 1458–1465. [Google Scholar] [CrossRef]
- Pacheco-Aguilar, R.; Mazorra-Manzano, M.A.; Ramírez-Suárez, J.C. Functional properties of fish protein hydrolysates from Pacific whiting (Merluccius productus) muscle produced by a commercial protease. Food Chem. 2008, 109, 782–789. [Google Scholar] [CrossRef] [PubMed]
- Wu, W.U.; Hettiarachchy, N.S.; Qi, M. Hydrophobicity, solubility, and emulsifying properties of soy protein peptides prepared by papain modification and ultrafiltration. J. Am. Oil Chem. Soc. 1998, 75, 845–850. [Google Scholar] [CrossRef]
- Chatsuwan, N.; Nalinanon, S.; Puechkamut, Y.; Lamsal, B.P.; Pinsirodom, P. Characteristics, Functional Properties, and Antioxidant Activities of Water-Soluble Proteins Extracted from Grasshoppers, Patanga succincta and Chondracris roseapbrunner. J. Chem. 2018, 2018, 6528312. [Google Scholar] [CrossRef]
- Linder, M.; Fanni, J.; Parmentier, M. Functional Properties of Veal Bone Hydrolysates. J. Food Sci. 1996, 61, 712–716. [Google Scholar] [CrossRef]
- Meinlschmidt, P.; Schweiggert-Weisz, U.; Brode, V.; Eisner, P. Enzyme assisted degradation of potential soy protein allergens with special emphasis on the technofunctionality and the avoidance of a bitter taste formation. LWT 2016, 68, 707–716. [Google Scholar] [CrossRef]
- Zhai, J.; Day, L.; Aguilar, M.-I.; Wooster, T.J. Protein folding at emulsion oil/water interfaces. Curr. Opin. Colloid Interface Sci. 2013, 18, 257–271. [Google Scholar] [CrossRef]
- Chobert, J.M.; Bertrand-Harb, C.; Nicolas, M.G. Solubility and emulsifying properties of caseins and whey proteins modified enzymically by trypsin. J. Agric. Food Chem. 1988, 36, 883–892. [Google Scholar] [CrossRef]
- Lam, R.S.; Nickerson, M.T. The effect of pH and temperature pre-treatments on the physicochemical and emulsifying properties of whey protein isolate. LWT 2015, 60, 427–434. [Google Scholar] [CrossRef]
- Zhang, T.; Jiang, B.; Mu, W.; Wang, Z. Emulsifying properties of chickpea protein isolates: Influence of pH and NaCl. Food Hydrocoll. 2009, 23, 146–152. [Google Scholar] [CrossRef]
Sample Availability: Samples of the compounds are not available from the authors. |


| Insects | Treatments 1 | Crude Protein | Lipid | Chitin 2 | Dry Matter 2 | Ash | Degree of Hydrolysis |
|---|---|---|---|---|---|---|---|
| % w/w (dry basis) | |||||||
| G. sigillatus | M | 55.5 ± 0.3 b | 16.7 ± 0.1 c | 4.8 ± 0.2 A | 98.0 ± 0.1 a, A | 4.8 ± 0.1 d | 0 |
| HT | 70.0 ± 0.4 a | 7.5 ± 0.1 d | 0.03 ± 0.01 B | 96.5 ± 0.4 a, B | 13.4 ± 0.1 a | 28.1 ± 4.2 a, b | |
| HP | 68.2 ± 1.1 a, b | 8.3 ± 0.6 d | 0.02 ± 0.02 B | 97.5 ± 0.2 a, C | 13.1 ± 0.1 a | 29.6 ± 1.3 a, b | |
| T. molitor | M | 39.6 ± 4.4 c | 36.8 ± 0.3 a | 4.1 ± 0.6 A | 98.6 ± 0.1 b, A | 3.3 ± 0.0 e | 0 |
| HT | 59.6 ± 4.3 a, b | 23.3 ± 0.2 b | 0.06 ± 0.02 B | 97.0 ± 0.1 b, B | 9.3 ± 0.1 c | 33.8 ± 1.5 a | |
| HP | 67.5 ± 5.1 a, b | 20.6 ± 2.1 b, c | 0.07 ± 0.07 B | 97.7 ± 0.2 b, C | 9.8 ± 0.1 b | 25.5 ± 2.8 b | |
| Insects | Treatments | pH | D(3,2) 1,2 μm |
|---|---|---|---|
| G. sigillatus | M | 4.0 | 52.7 ± 15.1 a, A |
| 5.5 | 47.0 ± 1.6 a, A, B | ||
| 7.0 | 37.3 ± 3.3 a, B | ||
| HT | 4.0 | 7.6 ± 5.3 b, A | |
| 5.5 | 0.21 ± 0.03 b, A, B | ||
| 7.0 | 0.09 ± 0.00 b, B | ||
| HP | 4.0 | 6.4 ± 7.5 b, A | |
| 5.5 | 0.69 ± 0.72 b, A, B | ||
| 7.0 | 0.11 ± 0.01 b, B | ||
| T. molitor | M | 4.0 | 17.0 ± 3.1 a, A |
| 5.5 | 37.3 ± 8.8 a, A, B | ||
| 7.0 | 41.2 ± 17.6 a, B | ||
| HT | 4.0 | 5.8 ± 1.9 b, A | |
| 5.5 | 4.9 ± 0.3 b, A, B | ||
| 7.0 | 6.2 ± 1.1 b, B | ||
| HP | 4.0 | 5.0 ± 1.7 b, A | |
| 5.5 | 5.5 ± 0.8 b, A, B | ||
| 7.0 | 6.4 ± 1.4 b, B |
| Insects | Treatment | Concentration (% w/v) | pH | Solubility (%) |
|---|---|---|---|---|
| G. sigillatus | M | 0.5 | 4.0 | 17.9 ± 0.6 a |
| 5.5 | 18.5 ± 0.6 a | |||
| 7.0 | 18.7 ± 0.6 a | |||
| 1.0 | 4.0 | 17.1 ± 0.6 a | ||
| 5.5 | 18.7 ± 0.6 a | |||
| 7.0 | 18.6 ± 0.6 a | |||
| 3.0 | 4.0 | 17.1 ± 0.6 a | ||
| 5.5 | 18.5 ± 0.6 a | |||
| 7.0 | 17.9 ± 0.6 a | |||
| HT | 0.5 | 4.0 | 98.1 ± 0.9 a, b, c | |
| 5.5 | 96.7 ± 0.9 a, b, c | |||
| 7.0 | 98.7 ± 0.9 a, b | |||
| 1.0 | 4.0 | 100.2 ± 0.1 a | ||
| 5.5 | 94.4 ± 0.9 c, d | |||
| 7.0 | 92.5 ± 0.9 d | |||
| 3.0 | 4.0 | 95.8 ± 0.9 b, c, d | ||
| 5.5 | 95.5 ± 0.9 b, c, d | |||
| 7.0 | 95.6 ± 0.9 b, c, d | |||
| HP | 0.5 | 4.0 | 92.9 ± 0.9 a | |
| 5.5 | 92.4 ± 0.9 a | |||
| 7.0 | 90.9 ± 0.9 a | |||
| 1.0 | 4.0 | 94.7 ± 0.9 a | ||
| 5.5 | 91.4 ± 0.9 a | |||
| 7.0 | 92.9 ± 0.9 a | |||
| 3.0 | 4.0 | 92.5 ± 0.9 a | ||
| 5.5 | 92.1 ± 0.9 a | |||
| 7.0 | 92.1 ± 0.9 a | |||
| T. molitor | M | 0.5 | 4.0 | 16.2 ± 1.0 b |
| 5.5 | 17.2 ± 1.0 a, b | |||
| 7.0 | 17.1 ± 1.0 a, b | |||
| 1.0 | 4.0 | 15.8 ± 1.0 b | ||
| 5.5 | 17.5 ± 1.0 a, b | |||
| 7.0 | 18.1 ± 1.0 a, b | |||
| 3.0 | 4.0 | 16.8 ± 1.0 a, b | ||
| 5.5 | 16.1 ± 1.0 b | |||
| 7.0 | 20.2 ± 1.0 a | |||
| HT | 0.5 | 4.0 | 75.7 ± 1.9 a | |
| 5.5 | 73.1 ± 1.9 a | |||
| 7.0 | 72.9 ± 1.9 a | |||
| 1.0 | 4.0 | 77.0 ± 1.9 a | ||
| 5.5 | 79.0 ± 1.9 a | |||
| 7.0 | 74.8 ± 1.9 a | |||
| 3.0 | 4.0 | 73.4 ± 1.9 a | ||
| 5.5 | 73.4 ± 1.9 a | |||
| 7.0 | 76.7 ± 1.9 a | |||
| HP | 0.5 | 4.0 | 108.7 ± 1.5 a | |
| 5.5 | 88.6 ± 1.5 b, c | |||
| 7.0 | 87.9 ± 1.5 b, c | |||
| 1.0 | 4.0 | 89.3 ± 1.5 b, c | ||
| 5.5 | 94.2 ± 1.5 a, b | |||
| 7.0 | 88.9 ± 1.5 b, c | |||
| 3.0 | 4.0 | 88.2 ± 1.5 b, c | ||
| 5.5 | 89.1 ± 1.5 b, c | |||
| 7.0 | 86.7 ± 1.5 c |
| Insects | Treatments | pH | Viscosity | Flow Behavior Rate |
|---|---|---|---|---|
| mPa∙s | ||||
| G. sigillatus | M | 4.0 | 0.52 ± 0.53 a | 1.26 ± 0.23 a |
| 5.5 | 0.84 ± 0.50 a | 1.13 ± 0.15 a | ||
| 7.0 | 0.90 ± 0.83 a | 0.83 ± 0.58 a | ||
| HT | 4.0 | 1.14 ± 0.18 b | 1.07 ± 0.04 a | |
| 5.5 | 1.23 ± 0.04 b | 1.08 ± 0.03 a | ||
| 7.0 | 1.33 ± 0.10 b | 1.05 ± 0.04 a | ||
| HP | 4.0 | 1.08 ± 0.21 b | 1.06 ± 0.03 a | |
| 5.5 | 1.04 ± 0.16 b | 1.05 ± 0.01 a | ||
| 7.0 | 1.29 ± 0.22 b | 1.05 ± 0.02 a | ||
| T. molitor | M | 4.0 | 0.66 ± 0.55 a | 1.31 ± 0.44 a |
| 5.5 | 0.68 ± 0.53 a | 1.23 ± 0.28 a | ||
| 7.0 | 0.43 ± 0.66 a | 1.44 ± 0.36 a | ||
| HT | 4.0 | 1.20 ± 0.05 b | 1.04 ± 0.02 a | |
| 5.5 | 1.10 ± 0.14 b | 1.07 ± 0.04 a | ||
| 7.0 | 1.22 ± 0.00 b | 1.03 ± 0.01 a | ||
| HP | 4.0 | 1.21 ± 0.09 b | 1.04 ± 0.01 a | |
| 5.5 | 1.11 ± 0.22 b | 1.07 ± 0.03 a | ||
| 7.0 | 1.40 ± 0.03 b | 1.04 ± 0.00 a |
| Insects | Treatments | Concentration (% w/v) | pH | ESI (%) | ||
|---|---|---|---|---|---|---|
| 30 min | 60 min | 90 min | ||||
| G. sigillatus | M | 0.5 | 4.0 | 34.5 ± 1.6 | 33.1 ± 1.7 | 31.6 ± 1.4 |
| 5.5 | 35.0 ± 3.6 | 32.2 ± 2.3 | 31.4 ± 3.3 | |||
| 7.0 | 33.7 ± 1.8 | 32.0 ± 2.1 | 30.4 ± 1.8 | |||
| 1.0 | 4.0 | 35.4 ± 4.4 | 33.7 ± 3.2 | 30.1 ± 2.4 | ||
| 5.5 | 28.8 ± 7.3 | 26.4 ± 6.6 | 24.6 ± 6.7 | |||
| 7.0 | 36.6 ± 3.6 | 33.2 ± 2.9 | 31.4 ± 3.2 | |||
| 3.0 | 4.0 | 51.5 ± 2.6 | 43.7 ± 3.5 | 42.2 ± 1.7 | ||
| 5.5 | 50.1 ± 4.0 | 43.8 ± 1.5 | 40.7 ± 3.1 | |||
| 7.0 | 51.4 ± 0.8 | 44.7 ± 3.1 | 41.1 ± 1.1 | |||
| HT | 0.5 | 4.0 | 49.6 ± 3.4 | 47.3 ± 2.3 | 45.3 ± 0.8 | |
| 5.5 | 46.6 ± 2.8 | 45.1 ± 1.3 | 43.3 ± 1.6 | |||
| 7.0 | 48.8 ± 2.2 | 47.0 ± 1.8 | 45.0 ± 1.1 | |||
| 1.0 | 4.0 | 59.1 ± 0.6 | 54.7 ± 3.1 | 52.8 ± 1.7 | ||
| 5.5 | 57.4 ± 2.3 | 52.5 ± 2.0 | 49.9 ± 1.1 | |||
| 7.0 | 56.2 ± 2.8 | 53.8 ± 1.9 | 51.6 ± 3.3 | |||
| 3.0 | 4.0 | 74.8 ± 2.1 | 71.8 ± 2.7 | 68.0 ± 3.0 | ||
| 5.5 | 75.1 ± 0.9 | 69.1 ± 2.8 | 65.7 ± 2.8 | |||
| 7.0 | 67.3 ± 1.7 | 63.8 ± 4.0 | 61.0 ± 2.1 | |||
| HP | 0.5 | 4.0 | 42.1 ± 4.5 | 39.4 ± 5.9 | 38.0 ± 6.9 | |
| 5.5 | 39.5 ± 5.8 | 36.3 ± 6.6 | 35.6 ± 7.3 | |||
| 7.0 | 40.3 ± 6.4 | 37.1 ± 7.3 | 36.0 ± 7.9 | |||
| 1.0 | 4.0 | 60.5 ± 2.0 | 55.9 ± 2.2 | 49.9 ± 1.2 | ||
| 5.5 | 59.0 ± 7.9 | 54.1 ± 4.2 | 49.3 ± 2.0 | |||
| 7.0 | 50.9 ± 2.2 | 47.5 ± 1.7 | 45.1 ± 2.9 | |||
| 3.0 | 4.0 | 76.6 ± 1.2 | 70.4 ± 4.9 | 67.8 ± 5.3 | ||
| 5.5 | 74.6 ± 1.5 | 69.1 ± 2.2 | 65.5 ± 2.7 | |||
| 7.0 | 72.1 ± 1.7 | 64.3 ± 2.5 | 64.0 ± 1.2 | |||
| T. molitor | M | 0.5 | 4.0 | 53.1 ± 2.4 | 50.9 ± 3.2 | 50.0 ± 3.2 |
| 5.5 | 7.0 ± 3.8 | 43.8 ± 3.2 | 41.3 ± 3.3 | |||
| 7.0 | 46.01 ± 1.0 | 41.9 ± 0.9 | 39.7 ± 0.5 | |||
| 1.0 | 4.0 | 46.8 ± 10.9 | 44.0 ± 9.3 | 41.7 ± 9.5 | ||
| 5.5 | 44.2 ± 5.7 | 40.4 ± 4.1 | 36.0 ± 4.3 | |||
| 7.0 | 48.1 ± 1.5 | 42.8 ± 1.4 | 38.5 ± 2.0 | |||
| 3.0 | 4.0 | 54.6 ± 6.4 | 48.8 ± 6.5 | 45.4 ± 6.1 | ||
| 5.5 | 55.9 ± 2.1 | 49.2 ± 4.0 | 43.7 ± 4.5 | |||
| 7.0 | 59.5 ± 3.7 | 51.2 ± 3.1 | 46.2 ± 4.3 | |||
| HT | 0.5 | 4.0 | 48.9 ± 0.3 | 47.3 ± 1.0 | 46.7 ± 0.9 | |
| 5.5 | 40.5 ± 4.7 | 38.5 ± 6.7 | 38.2 ± 6.7 | |||
| 7.0 | 39.1 ± 5.4 | 38.6 ± 5.4 | 37.5 ± 5.6 | |||
| 1.0 | 4.0 | 44.9 ± 8.7 | 42.7 ± 10.0 | 42.9 ± 8.8 | ||
| 5.5 | 46.9 ± 4.8 | 44.9 ± 5.4 | 44.0 ± 5.3 | |||
| 7.0 | 47.9 ± 1.6 | 45.1 ± 2.5 | 44.3 ± 2.8 | |||
| 3.0 | 4.0 | 58.9 ± 6.4 | 53.1 ± 5.7 | 51.1 ± 6.6 | ||
| 5.5 | 51.2 ± 4.5 | 48.3 ± 5.9 | 46.9 ± 4.89 | |||
| 7.0 | 53.0 ± 6.9 | 49.4 ± 7.4 | 46.6 ± 6.3 | |||
| HP | 0.5 | 4.0 | 39.1 ± 4.8 | 38.5 ± 5.1 | 37.3 ± 4.7 | |
| 5.5 | 41.1 ± 0.9 | 39.8 ± 1.6 | 38.8 ± 0.8 | |||
| 7.0 | 40.5 ± 0.7 | 39.2 ± 1.2 | 37.8 ± 0.8 | |||
| 1.0 | 4.0 | 46.5 ± 1.4 | 42.4 ± 2.7 | 40.6 ± 3.4 | ||
| 5.5 | 46.4 ± 5.4 | 43.2 ± 6.6 | 41.9 ± 7.4 | |||
| 7.0 | 43.5 ± 8.6 | 41.1 ± 7.9 | 38.9 ± 7.6 | |||
| 3.0 | 4.0 | 58.8 ± 2.7 | 54.4 ± 2.1 | 52.0 ± 3.8 | ||
| 5.5 | 56.2 ± 3.4 | 50.4 ± 3.0 | 47.6 ± 3.9 | |||
| 7.0 | 55.4 ± 4.8 | 47.5 ± 5.7 | 47.4 ± 4.3 | |||
Publisher’s Note: MDPI stays neutral with regard to jurisdictional claims in published maps and institutional affiliations. |
© 2020 by the authors. Licensee MDPI, Basel, Switzerland. This article is an open access article distributed under the terms and conditions of the Creative Commons Attribution (CC BY) license (http://creativecommons.org/licenses/by/4.0/).
Share and Cite
Dion-Poulin, A.; Laroche, M.; Doyen, A.; Turgeon, S.L. Functionality of Cricket and Mealworm Hydrolysates Generated after Pretreatment of Meals with High Hydrostatic Pressures. Molecules 2020, 25, 5366. https://doi.org/10.3390/molecules25225366
Dion-Poulin A, Laroche M, Doyen A, Turgeon SL. Functionality of Cricket and Mealworm Hydrolysates Generated after Pretreatment of Meals with High Hydrostatic Pressures. Molecules. 2020; 25(22):5366. https://doi.org/10.3390/molecules25225366
Chicago/Turabian StyleDion-Poulin, Alexandra, Myriam Laroche, Alain Doyen, and Sylvie L. Turgeon. 2020. "Functionality of Cricket and Mealworm Hydrolysates Generated after Pretreatment of Meals with High Hydrostatic Pressures" Molecules 25, no. 22: 5366. https://doi.org/10.3390/molecules25225366
APA StyleDion-Poulin, A., Laroche, M., Doyen, A., & Turgeon, S. L. (2020). Functionality of Cricket and Mealworm Hydrolysates Generated after Pretreatment of Meals with High Hydrostatic Pressures. Molecules, 25(22), 5366. https://doi.org/10.3390/molecules25225366

