Use of Sea Fennel as a Natural Ingredient of Edible Films for Extending the Shelf Life of Fresh Fish Burgers
Abstract
1. Introduction
2. Results and Discussion
2.1. Headspace Gas Analysis
2.2. pH
2.3. Water Activity (aw)
2.4. Moisture Content
2.5. Microbiological Analysis
2.6. Determination of Malondialdehyde (MDA)
2.7. Antioxidant Capacity
2.8. Color
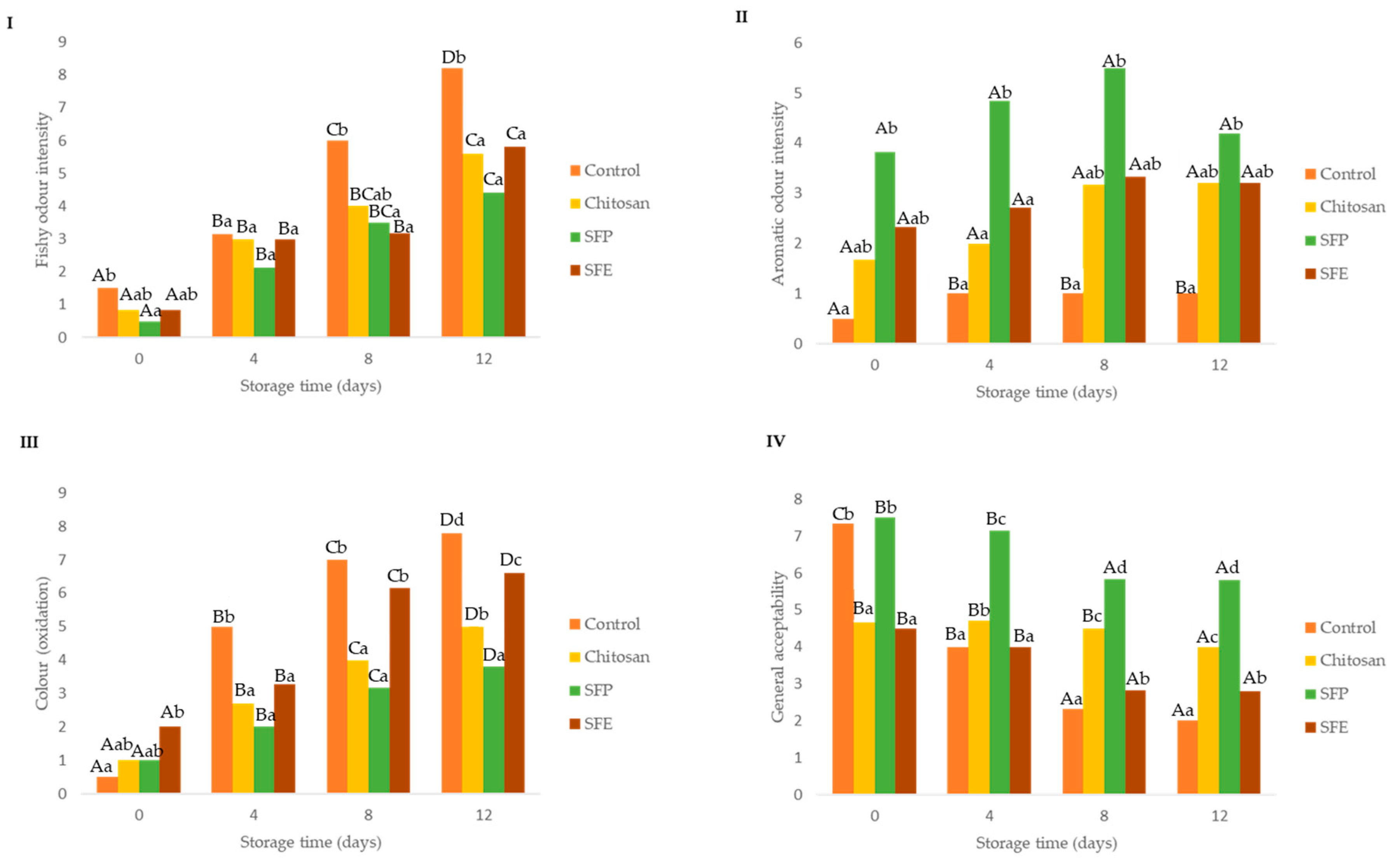
2.9. Sensorial Analysis
3. Materials and Methods
3.1. Raw Material
3.2. Edible Coating Formulations
3.3. Atlantic Horse Processing and Fish Burger Preparation
3.4. Coating Application and Experimental Setup
3.5. Quality Parameters
3.5.1. Headspace Gas Analysis
3.5.2. pH
3.5.3. Water Activity (aw)
3.5.4. Moisture
3.5.5. Microbiological Analysis
- (i)
- Total aerobic mesophilic count was determined using plate count agar (PCA) after incubation at 30 °C for 72 h.
- (ii)
- Total psychrotrophic bacteria on PCA spread plates, incubated at 4 °C for 10 days.
- (iii)
- Lactic acid bacteria (LAB) on double-layer Man Rogosa Sharpe medium incubated at 30 °C for 72 h.
3.5.6. Determination of Malondialdehyde (MDA)
3.5.7. Total Phenols (TPs)
3.5.8. ORAC Assay
3.5.9. Color
3.5.10. Sensorial Analysis
3.5.11. Statistical Analysis
4. Conclusions
Supplementary Materials
Author Contributions
Funding
Conflicts of Interest
References
- Jallali, I.; Megdiche, W.; M’Hamdi, B.; Oueslati, S.; Smaoui, A.; Abdelly, C.; Ksouri, R. Changes in phenolic composition and antioxidant activities of the edible halophyte Crithmum maritimum L. with physiological stage and extraction method. Acta Physiol. Plant. 2012, 34, 1451–1459. [Google Scholar] [CrossRef]
- Renna, M.; Gonnella, M. The use of the sea fennel as a new spice-colorant in culinary preparations. Int. J. Gastron. Food Sci. 2012, 1, 111–115. [Google Scholar] [CrossRef]
- Petropoulos, S.A.; Karkanis, A.; Martins, N.; Ferreira, I.C.F.R. Edible halophytes of the Mediterranean basin: Potential candidates for novel food products. Trends Food Sci. Technol. 2018, 74, 69–84. [Google Scholar] [CrossRef]
- Romojaro, A.; Botella, M.Á.; Obón, C.; Pretel, M.T. Nutritional and antioxidant properties of wild edible plants and their use as potential ingredients in the modern diet. Int. J. Food Sci. Nutr. 2013, 64, 944–952. [Google Scholar] [CrossRef]
- Gloniak, P.; Loś, R.; Skalicka-Woźniak, K.; Widelski, J.; Burczyk, J.; Malm, A. Activity of Crithmum maritimun L. (Apiaceae) against Gram-Positive Bacteria; Annales Universitatis Mariae Curie-Sklodowska: Lublin, Polonia, 2006; pp. 123–127. [Google Scholar]
- Renna, M.; Gonnella, M.; Caretto, S.; Mita, G.; Serio, F. Sea fennel (Crithmum maritimum L.): From underutilized crop to new dried product for food use. Gen. Resour. Crop Evol. 2017, 64, 205–216. [Google Scholar] [CrossRef]
- Ben Amor, N.; Ben Hamed, K.; Debez, A.; Grignon, C.; Abdelly, C. Physiological and antioxidant responses of the perennial halophyte Crithmun maritimun to salinity. Plant Sci. 2005, 168, 889–899. [Google Scholar] [CrossRef]
- Siracusa, L.; Kulisic-Bilusic, T.; Politeo, O.; Krause, I.; Dejanovic, B.; Ruberto, G. Phenolic composition and antioxidant activity of aqueous infusions from Capparis spinosa L. and Crithmum maritimum L. before and after submission to a two-step in vitro digestion model. J. Agric. Food Chem. 2011, 59, 12453–12459. [Google Scholar]
- Sánchez-Faure, A.; Calvo, M.M.; Pérez-Jiménez, J.; Martín-Diana, A.B.; Rico, D.; Montero, M.P.; Gómez-Guillén, M.C.; López-Caballero, M.E.; Martínez-Alvarez, O. Exploring the potential of common iceplant, seaside arrowgrass and sea fennel as edible halophytic plants. Food Res. Int. 2020, 137, 109613. [Google Scholar] [CrossRef]
- Campos, C.A.; Gerschenson, L.N.; Flores, S.K. Development of edible films and coatings with antimicrobial activity. Food Bioproc. Technol. 2011, 4, 849–875. [Google Scholar] [CrossRef]
- Galus, S.; Arik Kibar, E.A.; Gniewosz, M.; Kraśniewska, K. Novel Materials in the Preparation of Edible Films and Coatings—A Review. Coatings 2020, 10, 674. [Google Scholar] [CrossRef]
- Kraśniewska, K.; Gniewosz, M.; Kosakowska, O.; Cis, A. Preservation of Brussels Sprouts by Pullulan Coating Containing Oregano Essential Oil. J. Food Protect. 2016, 79, 493–500. [Google Scholar] [CrossRef] [PubMed]
- Harris, P.; Tall, J. Rancidity in fish. In Rancidity in Foods; Allen, J., Hamilton, R., Eds.; Chapman and Hall: London, UK, 1994; pp. 256–272. [Google Scholar]
- Muzzarelli, R.; Baldassarre, V.; Conti, F.; Ferrara, P.; Biagini, G.; Gazzanelli, G.; Vasi, V. Biological activity of chitosan: Ultrastructural study Original Research Article. Biomaterials 1988, 9, 247–252. [Google Scholar] [CrossRef]
- Cagri, A.; Ustunol, Z.; Ryser, E.T. Antimicrobial edible films and coatings. J. Food Protect. 2004, 67, 833–848. [Google Scholar] [CrossRef] [PubMed]
- Han, J.H. Antimicrobial Food Packaging. Food Technol. 2000, 54, 56–65. [Google Scholar]
- Kim, J.; Marshall, M.R.; Wei, C. Antibacterial activity of some essential oils components against five foodborne pathogens. J. Agric. Food Chem. 1995, 43, 2839–2845. [Google Scholar] [CrossRef]
- Kalemba, D.; Kunicka, A. Antibacterial and antifungal properties of essential oils. Curr. Med. Chem. 2003, 10, 813–829. [Google Scholar] [CrossRef]
- Gontard, N.; Guilbert, S.; Cuq, J. Water and glycerol as plasticizers affect mechanical and water vapor barrier properties of an edible wheat gluten film. J. Food Sci. 1993, 58, 206–211. [Google Scholar] [CrossRef]
- Sohn, J.; Taki, Y.; Ushio, H.; Kohata, T.; Shioya, I.; Ohshima, T. Lipid oxidations in ordinary and dark muscles of fish: Influences on rancid off-odor development and color darkening of yellowtail flesh during ice storage. J. Food Sci. 2005, 70, 490–496. [Google Scholar] [CrossRef]
- Gram, L.; Huss, H.H. Microbiological spoilage of fish and fish products. Int. J. Food Microbiol. 1996, 33, 121–137. [Google Scholar] [CrossRef]
- Baldwin, E.A.; Nisperos, M.O.; Baker, R.A. Use of edible coating to preserve quality of lightly and slightly processed products. Crit. Rev. Food Sci. Nutr. 1995, 35, 509–524. [Google Scholar] [CrossRef]
- Sabeena Farvin, K.H.; Grejsen, H.D.; Jacobsen, C. Potato peel extract as a natural antioxidant in chilled storage of minced horse mackerel (Trachurus trachurus): Effect on lipid and protein oxidation. Food Chem. 2012, 131, 843–851. [Google Scholar] [CrossRef]
- Albertos, I.; Jaime, I.; María Diez, A.; González-Arnaiz, L.; Rico, D. Carob seed peel as natural antioxidant in minced and refrigerated (4 °C) atlantic horse mackerel (Trachurus trachurus). LWT-Food Sci. Technol. 2015, 64, 650–656. [Google Scholar] [CrossRef]
- Mexis, S.F.; Chouliara, E.; Kontominas, M.G. Combined effect of an oxygen absorber and oregano essential oil on shelf life extension of rainbow trout fillets stored at 4 °C. Food Microbiol. 2009, 26, 598–605. [Google Scholar] [CrossRef]
- Alfaro, B.; Hernandez, I. Evolution of the indigenous microbiota in modified atmosphere packaged Atlantic horse mackerel (Trachurus trachurus) identified by conventional and molecular methods. Int. J. Food Microbiol. 2013, 167, 117–123. [Google Scholar] [CrossRef] [PubMed]
- Commission Regulation (EC) No 2073/2005 of 15 November 2005 on Microbiological Criteria for Foodstuffs. Available online: https://eur-lex.europa.eu/legal-content/EN/ALL/?uri=CELEX%3A32005R2073 (accessed on 7 November 2020).
- Gram, L.; Dalgaard, P. Fish spoilage bacteria—Problems and solutions. Curr. Opin. Biotechnol. 2002, 13, 262–266. [Google Scholar] [CrossRef]
- Coma, V.; Martial-Gros, A.; Garreau, S.; Copinet, A.; Salin, F.; Deschamps, A. Edible antimicrobial films based on chitosan matrix. J. Food Sci. 2002, 67, 1162–1169. [Google Scholar] [CrossRef]
- Albertos, I.; Rico, D.; Diez, A.M.; González-Arnáiz, L.; García-Casas, M.J.; Jaime, I. Effect of edible chitosan/clove oil films and high-pressure processing on the microbiological shelf life of trout fillets. J. Sci. Food Agric. 2015, 95, 2858–2865. [Google Scholar] [CrossRef]
- Jallali, I.; Zaouali, Y.; Missaoui, I.; Smeoui, A.; Abdelly, C.; Ksouri, R. Variability of antioxidant and antibacterial effects of essential oils and acetonic extracts of two edible halophytes: Crithmum maritimum L. and Inula crithmoïdes L. Food Chem. 2014, 145, 1031–1038. [Google Scholar] [CrossRef]
- Al-Saif, S.S.A.L.; Abdel-Raouf, N.; El-Wazanani, H.A.; Aref, I.A. Antibacterial substances from marine algae isolated from jeddah coast of red sea, Saudi Arabia. Saudi J. Biol. Sci. 2014, 21, 57–64. [Google Scholar] [CrossRef]
- Richards, M.P.; Hultin, H.O. Effect of pH on lipid oxidation using trout hemolysate as a catalyst: A possible role for deoxyhemoglobin. J. Agric. Food Chem. 2000, 48, 3141–3147. [Google Scholar] [CrossRef]
- Joaquin, H.J.F.; Tolasa, S.; Oliveira, A.C.M.; Lee, C.M.; Lee, K.H. Effect of milk protein concentrate on lipid oxidation and formation of fishy volatiles in herring mince (Clupea harengus) during frozen storage. J. Agric. Food Chem. 2008, 56, 166–172. [Google Scholar] [CrossRef] [PubMed]
- Souza, B.W.; Cerqueira, M.A.; Ruiz, H.A.; Martins, J.T.; Casariego, A.; Teixeira, J.A.; Vicente, A.A. Effect of chitosan-based coatings on the shelf life of salmon (Salmo salar). J. Agric. Food Chem. 2010, 58, 11456–11462. [Google Scholar] [CrossRef] [PubMed]
- Jeon, Y.-J.; Kamil, J.Y.V.A.; Shahidi, F. Chitosan as an edible invisible film for quality preservation of herring and Atlantic cod. J. Agric. Food Chem. 2020, 50, 5167–5178. [Google Scholar] [CrossRef]
- Albertos, I.; Martín-Diana, A.B.; Burón, M.; Rico, D. Development of functional bio-based seaweed (Himanthalia elongata and Palmaria palmata) edible films for extending shelf life of fresh burgers. Food Packag. Shelf Life 2019, 22, 100382. [Google Scholar] [CrossRef]
- Meot-Duros, L.; Magné, C. Antioxidant activity and phenol content of Crithmum maritimum L. leaves. Plant Physiol. Biochem. 2009, 47, 37–41. [Google Scholar] [CrossRef]
- Medina, I.; Gallardo, J.M.; González, M.J.; Lois, S.; Hedges, N. Effect of molecular structure of phenolic families as hydroxycinnamic acids and catechins on their antioxidant effectiveness in minced fish muscle. J. Agric. Food Chem. 2007, 55, 3889–3895. [Google Scholar] [CrossRef] [PubMed]
- Robb, D.H.F.; Kestin, S.C.; Warriss, P.D. Muscle activity at slaughter: I. changes in flesh colour and gaping in rainbow trout. Aquaculture 2000, 182, 261–269. [Google Scholar] [CrossRef]
- Massini, L.; Martin-Diana, A.B.; Barry-Ryan, C. Extraction of antioxidant-rich food ingredients from fruit waste. UK Patent GB 2506667A, 4 September 2014. [Google Scholar]
- AOAC Internatioanal. Official Methods of Analysis of AOAC International; The Association of Analytical Communities: Arlington, VA, USA, 1995. [Google Scholar]
- Vyncke, W. Evaluation of the direct thiobarbituric acid extraction method for determining oxidative rancidity in mackerel (Scomber scombrus L.). Fette Seifen Anstrichm. 1975, 77, 239–240. [Google Scholar] [CrossRef]
- Slinkard, K.; Singleton, V.L. Total phenol analyses: Automation and comparison with manual methods. Am. J. Enol. Vitic. 1977, 28, 49–55. [Google Scholar]
- Martin-Diana, A.B.; Izquierdo, N.; Albertos, I.; Sanchez, M.S.; Herrero, A.; Sanz, M.A.; Rico, D. Valorization of Carob’s Germ and Seed Peel as Natural Antioxidant Ingredients in Gluten-Free Crackers. J. Food Process. Preserv. 2017, 41, 12770. [Google Scholar] [CrossRef]
- Ou, B.; Hampsch-Woodill, M.; Prior, R.L. Development and Validation of an improved oxygen radical absorbance capacity assay using fluorescein as the fluorescent probe. J. Agric. Food Chem. 2001, 49, 4619–4626. [Google Scholar] [CrossRef] [PubMed]
- Carabante, K.M.; Prinyawiwatkul, W. Data analyses of a multiple-samples sensory ranking test and its duplicated test: A review. J. Sens. Stud. 2018, 33, 12435. [Google Scholar] [CrossRef]
Sample Availability: Samples of the compounds are not available from the authors. |







| Storage (Days) | ||||
|---|---|---|---|---|
| Edible Coating | 0 | 4 | 8 | 12 |
| Control | A 6.82 ± 0.09 b | B 7.16 ± 0.01 d | C 7.27 ± 0.01 b | C 7.34 ± 0.00 c |
| Chitosan | A 6.47 ± 0.01 a | C 6.98 ± 0.06 c | B 6.77 ± 0.02 a | C 6.95 ± 0.03 ab |
| SFP | A 6.44 ± 0.01 a | A 6.63 ± 0.00 a | A 6.87 ± 0.31 ab | A 7.05 ± 0.00 b |
| SFE | A 6.76 ± 0.04 b | A 6.80 ± 0.05 b | A 6.89 ± 0.00 ab | B 6.89 ± 0.02 a |
| Storage (Days) | ||||
|---|---|---|---|---|
| Edible Coating | 0 | 4 | 8 | 12 |
| Control | A 0.9928 ± 0.0002 c | A 0.9916 ± 0.0009 b | A 0.9928 ± 0.0028 c | A 0.9855 ± 0.0037 a |
| Chitosan | A 0.9907 ± 0.0003 b | A 0.9835 ± 0.0017 a | A 0.9888 ± 0.0001 ab | A 0.9875 ± 0.0048 a |
| SFP | A 0.9901 ± 0.0007 b | A 0.9901 ± 0.0003 b | A 0.9894 ± 0.0015 b | A 0.9905 ± 0.0016 a |
| SFE | A 0.9869 ± 0.0011 a | A 0.9814 ± 0.0031 a | A 0.9859 ± 0.0000 a | A 0.9875 ± 0.0033 a |
| Storage (Days) | ||||
|---|---|---|---|---|
| Edible Coating | 0 | 4 | 8 | 12 |
| Control | A 77.27 ± 2.08 b | A 74.56 ± 0.75 b | A 74.69 ± 0.35 b | A 73.69 ± 2.04 a |
| Chitosan | B 74.16 ± 0.47 ab | A 72.67 ± 0.54 a | B 74.13 ± 0.25 b | AB 73.70 ± 0.37 a |
| SFP | A 71.90 ± 0.21 a | A 71.72 ± 0.46 a | B 72.86 ± 0.08 a | C 73.73 ± 0.00 a |
| SFE | A 72.61 ± 0.74 a | A 72.67 ± 0.45 a | A 72.93 ± 0.21 a | A 73.29 ± 0.40 a |
| L* | ||||
| Treatment/Storage | 0 | 4 | 8 | 12 |
| Control | A 45.35 ± 3.72 c | AB 48.43 ± 4.28 c | A 45.44 ± 4.44 c | B 49.53 ± 2.27 d |
| Chitosan | A 44.50 ± 2.48 c | AB 45.88 ± 2.74 c | AB 46.29 ± 2.55 c | B 46.99 ± 1.82 c |
| SFP | A 31.52 ± 5.28 a | A 32.60 ± 4.32 a | A 33.40 ± 2.80 a | A 31.83 ± 1.83 a |
| SFE | A 35.18 ± 2.86 b | AB 36.88 ± 2.83 b | BC 38.91 ± 2.93 b | C 39.77 ± 2.44 b |
| a* | ||||
| Treatment/Storage | 0 | 4 | 8 | 12 |
| Control | D 0.80 ± 0.04 b | A −0.32 ± 0.01 a | C 0.00 ± 0.00 b | B −0.17 ± 0.00 a |
| Chitosan | B 0.38 ± 0.06 a | A −0.69 ± 0.31 a | A −0.63 ± 0.44 a | A −0.38 ± 0.29 a |
| SFP | B 0.99 ± 0.14 b | A 0.64 ± 0.11 b | AB 0.84 ± 0.11 c | C 1.32 ± 0.04 b |
| SFE | A 2.63 ± 0.70 c | A 1.68 ± 0.66 c | A 2.54 ± 0.67 d | A 2.70 ± 0.50 c |
| b* | ||||
| Treatment/Storage | 0 | 4 | 8 | 12 |
| Control | A 7.68 ± 0.50 a | A 8.25 ± 0.62 a | A 7.14 ± 0.48 a | A 8.39 ± 0.54 a |
| Chitosan | A 8.42 ± 0.60 a | A 8.90 ± 0.70 a | B 10.44 ± 0.60 c | B 10.89 ± 0.54 b |
| SFP | B 10.95 ± 0.12 b | AB 9.57 ± 0.11 a | B 8.86 ± 0.10 b | B 8.86 ± 0.10 a |
| SFE | A 13.02 ± 0.16 c | A 13.71 ± 0.14 b | A 14.95 ± 0.14 d | A 14.06 ± 0.90 c |
| Hue | ||||
| Treatment/Storage | 0 | 4 | 8 | 12 |
| Control | D 1.45 ± 0.09 b | A −1.49 ± 0.02 a | C 0.02 ± 0.00 a | B −0.92 ± 0.04 a |
| Chitosan | C 1.51 ± 0.04 b | A −1.49 ± 0.05 a | A −1.50 ± 0.02 a | B −0.90 ± 0.01 a |
| SFP | A 1.23 ± 0.04 a | B 1.50 ± 0.03 b | B 1.47 ± 0.04 b | B 1.42 ± 0.02 b |
| SFE | A 1.36 ± 0.05 b | A 1.44 ± 0.05 b | A 1.40 ± 0.03 b | A 1.38 ± 0.01 a |
| Chroma | ||||
| Treatment/Storage | 0 | 4 | 8 | 12 |
| Control | A 7.80 ± 1.04 a | A 8.27 ± 0.30 a | A 7.15 ± 0.36 a | A 8.42 ± 0.76 a |
| Chitosan | A 8.29 ± 0.46 a | A 8.92 ± 0.62 a | B 10.46 ± 0.26 b | B 10.90 ± 0.48 b |
| SFP | B 11.00 ± 0.47 b | A 9.60 ± 0.48 a | B 8.90 ± 0.62 a | B 8.97 ± 0.11 a |
| SFE | A 13.29 ± 2.55 b | A 13.83 ± 0.13 b | A 15.17 ± 0.59 c | B 14.32 ± 0.08 c |
Publisher’s Note: MDPI stays neutral with regard to jurisdictional claims in published maps and institutional affiliations. |
© 2020 by the authors. Licensee MDPI, Basel, Switzerland. This article is an open access article distributed under the terms and conditions of the Creative Commons Attribution (CC BY) license (http://creativecommons.org/licenses/by/4.0/).
Share and Cite
Rico, D.; Albertos, I.; Martinez-Alvarez, O.; Lopez-Caballero, M.E.; Martin-Diana, A.B. Use of Sea Fennel as a Natural Ingredient of Edible Films for Extending the Shelf Life of Fresh Fish Burgers. Molecules 2020, 25, 5260. https://doi.org/10.3390/molecules25225260
Rico D, Albertos I, Martinez-Alvarez O, Lopez-Caballero ME, Martin-Diana AB. Use of Sea Fennel as a Natural Ingredient of Edible Films for Extending the Shelf Life of Fresh Fish Burgers. Molecules. 2020; 25(22):5260. https://doi.org/10.3390/molecules25225260
Chicago/Turabian StyleRico, Daniel, Irene Albertos, Oscar Martinez-Alvarez, M. Elvira Lopez-Caballero, and Ana Belen Martin-Diana. 2020. "Use of Sea Fennel as a Natural Ingredient of Edible Films for Extending the Shelf Life of Fresh Fish Burgers" Molecules 25, no. 22: 5260. https://doi.org/10.3390/molecules25225260
APA StyleRico, D., Albertos, I., Martinez-Alvarez, O., Lopez-Caballero, M. E., & Martin-Diana, A. B. (2020). Use of Sea Fennel as a Natural Ingredient of Edible Films for Extending the Shelf Life of Fresh Fish Burgers. Molecules, 25(22), 5260. https://doi.org/10.3390/molecules25225260

