A Novel Chinese Honey from Amorpha fruticosa L.: Nutritional Composition and Antioxidant Capacity In Vitro
Abstract
1. Introduction
2. Results and Discussion
2.1. Pollen Analysis
2.2. Physicochemical Analysis
2.3. Mineral Elements
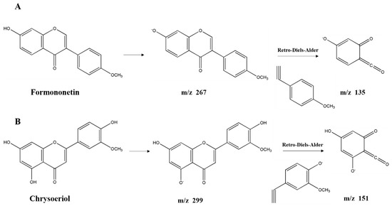
2.4. Characterization and Quantification of Phenolic Compounds in AFH
2.5. Antioxidant Analyses of AFH In Vitro
2.6. Assay for Effects of AFH on DNA Oxidative Damage
3. Materials and Methods
3.1. Honey Samples
3.2. Pollen Analysis
3.3. Physicochemical Analyses of AFH
3.4. Mineral Elements Analysis
3.5. Characterization and Quantification of Phenolic Compounds in AFH
3.6. Antioxidant Activity In Vitro
3.6.1. DPPH Radical Scavenging Activity
3.6.2. Ferric Reducing Antioxidant Power (FRAP)
3.6.3. Ferrous Ion-Chelating Activity
3.6.4. Assay for Effects of AFH on Hydroxyl Radical-Mediated DNA Strand Breaks
3.6.5. Single-Cell Gel Electrophoresis (SCGE) Assay (Comet Assay)
3.7. Statistical Analysis
4. Conclusions
Supplementary Materials
Author Contributions
Funding
Acknowledgments
Conflicts of Interest
References
- Da silva, P.M.; Gauche, C.; Gonzaga, L.V.; Costa, A.C.O.; Fett, R. Honey: Chemical composition, stability and authenticity. Food Chem. 2016, 196, 309–323. [Google Scholar] [CrossRef] [PubMed]
- Tanleque-Alberto, F.; Juan-Borras, M.; Escriche, I. Quality parameters, pollen and volatile profiles of honey from North and Central Mozambique. Food Chem. 2019, 277, 543–553. [Google Scholar] [CrossRef] [PubMed]
- EI-Haskoury, R.; Kriaa, W.; Lyoussi, B.; Makni, M. Ceratonia siliqua honeys from Moroccoo: Physicochemical properities, mineral contents, and antioxidant activities. J. Food Drug Anal. 2018, 26, 67–73. [Google Scholar] [CrossRef]
- Kumar, A.; Gill, J.P.S.; Bedi, J.S.; Manav, M.; Ansari, M.J.; Walia, G.S. Sensorial and physicochemical analysis of Indian honeys for assessment of quality and floral origins. Food Res. Int. 2018, 108, 571–583. [Google Scholar] [CrossRef] [PubMed]
- Kishore, R.K.; Halim, A.S.; Syazana, M.S.N.; Sirajudeen, K.N.S. Tualang honey has higher phenolic content and greater radical scavenging activity compared with other honey sources. Nutr. Res. 2011, 31, 322–325. [Google Scholar] [CrossRef]
- Bogdanov, S.; Jurendic, T.; Sieber, R.; Gallmann, P. Honey for nutrition and health: A review. J. Am. Coll. Nutr. 2008, 27, 677–689. [Google Scholar] [CrossRef]
- Shantal Rodríguez Flores, M.; Escuredo, O.; Carmen Seijo, M. Assessment of physicochemical and antioxidant characteristics of Quercus pyrenaica honeydew honeys. Food Chem. 2015, 166, 101–106. [Google Scholar] [CrossRef]
- Liu, J.-R.; Ye, Y.-L.; Lin, T.-Y.; Wang, Y.-W.; Peng, C.-C. Effect of floral sources on the antioxidant, antimicrobial, and anti-inflammatory activities of honeys in Taiwan. Food Chem. 2013, 139, 938–943. [Google Scholar] [CrossRef]
- Gheldof, N.; Engeseth, N.J. Antioxidant capacity of honeys from various floral sources based on the determination of oxygen radical absorbance capacity and inhibition of in vitro lipoprotein oxidation in human serum samples. J. Agric. Food Chem. 2002, 50, 3050–3055. [Google Scholar] [CrossRef]
- Zhou, J.; Suo, Z.; Zhao, P.; Cheng, N.; Gao, H.; Zhao, J.; Cao, W. Jujube Honey from China: Physicochemical Characteristics and Mineral Contents. J. Food Sci. 2013, 78, C387–C394. [Google Scholar] [CrossRef]
- Zhang, Y.; Wang, Y.X.; Zhao, H.A.; Zhang, G.Y.; Peng, D.J.; Cao, W. Characterization of novel protein component as marker for floral origin of jujube (Ziziphus jujuba Mill.) honey. J. Agric. Food Chem. 2020. [Google Scholar] [CrossRef] [PubMed]
- Cheng, N.; Zhao, H.A.; Chen, S.N.; He, Q.; Cao, W. Jujube honey induces apoptosis in human hepatocellular carcinoma HepG2 cell via DNA damage, p53 expression, and caspase activation. J. Food Biochem. 2019. [Google Scholar] [CrossRef]
- Cheng, N.; Du, B.; Wang, Y.; Gao, H.; Cao, W.; Zheng, J.B.; Feng, F. Antioxidant properties of jujube honey and its protective effects against chronic alcohol-induced liver damage in mice. Food Funct. 2014, 5, 900–908. [Google Scholar] [CrossRef]
- Cheng, N.; Wu, L.M.; Zheng, J.B.; Cao, W. Buckwheat honey attenuates carbon tetrachloride-induced liver and DNA damage in mice. Evid. Based Complement. Altern. 2015, 2015, 987385. [Google Scholar] [CrossRef]
- Zhou, J.; Li, P.; Cheng, N.; Gao, H.; Wang, B.N.; Wei, Y.H.; Cao, W. Protective effects of buckwheat honey on DNA damage induced by hydroxyl radicals. Food Chem. Toxicol. 2012, 50, 2766–2773. [Google Scholar] [CrossRef]
- Wang, Y.; Li, D.; Cheng, N.; Gao, H.; Xue, X.F.; Cao, W.; Sun, L.P. Antioxidant and hepatoprotective activity of vitex honey against paracetamol induced liver damage in mice. Food Funct. 2015, 6, 2339–2349. [Google Scholar] [CrossRef]
- Zhao, L.L.; Liang, X.W.; Wu, L.M.; Zhang, Z.Y.; Cao, W.; Xue, X.F. Use of isoquinoline alkaloids as marders for identification of honey and pollen from macleaya cardata (Willd.) R. Br. J. Food Compos. Anal. 2018, 66, 237–243. [Google Scholar] [CrossRef]
- Wang, K.; Wan, Z.R.; Ou, A.Q.; Liang, X.W.; Guo, X.X.; Zhang, Z.Y.; Wu, L.M.; Xue, X.F. Monofloral honey from a medical plant, prunella vulgaris, protected against dextran sulfate sodium-induced ulcerative colitis via modulating gut microbial populations in rats. Food Funct. 2019, 10, 3828–3838. [Google Scholar] [CrossRef]
- Sun, Z.; Zhao, L.L.; Cheng, N.; Xun, X.F.; Wu, L.M.; Zheng, J.B.; Cao, W. Identification of botanical origin of Chinese unifloral honeys by free amino acid profiles and chemometric methods. J. Pharm. Anal. 2017, 7, 317–323. [Google Scholar] [CrossRef]
- Wang, J.M.; Xue, X.F.; Du, X.J.; Cheng, N.; Chen, L.Z.; Zhao, J.; Zheng, J.B.; Cao, W. Identification of acacia honey adulteration with rape honey using liquid chromatography-electrochemical detection and chemometrics. Food Anal. Methods 2014, 7, 2003–2012. [Google Scholar] [CrossRef]
- Kozuharova, E.; Matkowski, A.; Wozniak, D.; Simeonova, R.; Naychov, Z.; Malainer, C.; Mocan, A.; Nabavi, S.M.; Atanasov, A.G. Amorpha fruticose—A noxious invasive alien plant in Europe or a medicinal plant against metabolic disease? Front. Pharmacol. 2017, 8, 333–349. [Google Scholar] [CrossRef]
- Diao, Y.P.; Li, K.; Huang, S.S.; Liu, K.X.; Kang, T.G. A new compound from the fruit of Amorpha fruticosa and activity against acetaminophen-induced hepatotoxicity. Chin. Chem. Lett. 2009, 20, 942–944. [Google Scholar] [CrossRef]
- Cui, X.Q.; Guo, J.; Lai, C.-S.; Pan, M.-H.; Ma, Z.X.; Guo, S.; Liu, Q.C.; Zhang, L.; Ho, C.-T.; Bai, N.S. Analysis of bioactive constituents from the leaves of Amorpha fruticosa L. J. Food Drug Anal. 2017, 25, 992–999. [Google Scholar] [CrossRef]
- Wu, X.; Liao, H.B.; Li, G.Q.; Liu, Y.; Cui, L.; Wu, K.F.; Zhu, X.H.; Zeng, X.B. Cytotoxic rotenoid glycosides from the seeds of Amorpha fruticosa. Fitoterapia 2015, 100, 75–80. [Google Scholar] [CrossRef]
- FAO; WHO. Codex Alimentarius Commission Revised Codex Standard for Honey; Codex Standard 12-1981; FAO and WHO: Rome, Italy, 2001. [Google Scholar]
- The Council of the European Union. Council Directive of the European Union Council Directive 2001/110/EC of 20 December 2001 Relating to Honey; Official Journal of the European Communities-Legislation: Brussels, Belgium, 2002; pp. 47–52. [Google Scholar]
- González-Miret, M.L.; Terrab, A.; Hernanz, D.; Fernández-Recamales, M.Á.; Heredia, F.J. Multivariate Correlation between Color and Mineral Composition of Honeys and by Their Botanical Origin. J. Agric. Food Chem. 2005, 53, 2574–2580. [Google Scholar] [CrossRef]
- Saxena, S.; Gautam, S.; Sharma, A. Physical, biochemical and antioxidant properties of some Indian honeys. Food Chem. 2010, 118, 391–397. [Google Scholar] [CrossRef]
- Alvarez-Suarez, J.M.; Tulipani, S.; Díaz, D.; Estevez, Y.; Romandini, S.; Giampieri, F.; Damiani, E.; Astolfi, P.; Bompadre, S.; Battino, M. Antioxidant and antimicrobial capacity of several monofloral Cuban honeys and their correlation with color, polyphenol content and other chemical compounds. Food Chem. Toxicol. 2010, 48, 2490–2499. [Google Scholar] [CrossRef]
- Čanadanović-Brunet, J.; Ćetković, G.; Šaponjac, V.T.; Stajčić, S.; Vulić, J.; Djilas, S.; Štajner, D.; Popović, B. Evaluation of phenolic content, antioxidant activity and sensory characteristics of Serbian honey-based product. Ind. Crop. Prod. 2014, 62, 1–7. [Google Scholar] [CrossRef]
- Can, Z.; Yildiz, O.; Sahin, H.; Turumatay, E.A.; Silici, S.; Kolayli, S. An investigation of Turkish honeys: Their physico-chemical properties, antioxidant capacities and phenolic profiles. Food Chem. 2015, 180, 133–141. [Google Scholar] [CrossRef]
- Moniruzzaman, M.; Sulaiman, S.; Khalil, M.; Gan, S. Evaluation of physicochemical and antioxidant properties of sourwood and other Malaysian honeys: A comparison with manuka honey. Chem. Cent. J. 2013, 7, 138. [Google Scholar] [CrossRef]
- Afroz, R.; Tanviir, E.M.; Paul, S.; Bhoumik, N.C.; Gan, S.H.; Khalil, M.I. DNA Damage Inhibition Properties of Sundarban Honey and its Phenolic Composition. J. Food Biochem. 2015, 40, 436–445. [Google Scholar] [CrossRef]
- Khalil, M.I.; Moniruzzaman, M.; Boukraâ, L.; Benhanifia, M.; IsIam, M.A.; IsIam, M.N.; Sulaiman, S.A.; Gan, S.G. Physicochemical and Antioxidant Properties of Algerian Honey. Molecules 2012, 17, 11199–11215. [Google Scholar] [CrossRef]
- Guo, P.L.; Deng, Q.X.; Lu, Q. Anti-alcoholic effects of honeys from different floral origins and their correlation with honey chemical compositions. Food Chem. 2019, 286, 608–615. [Google Scholar] [CrossRef] [PubMed]
- Escuredo, O.; Míguez, M.; Fernández-González, M.; Seijo, M.C. Nutritional value and antioxidant activity of honeys produced in a European Atlantic area. Food Chem. 2013, 138, 851–856. [Google Scholar] [CrossRef]
- Karabagias, I.K.; Badeka, A.; Kontakos, S.; Karabournioti, S.; Kontominas, M.G. Characterisation and classification of Greek pine honeys according to their geographical origin based on volatiles, physicochemical parameters and chemometrics. Food Chem. 2014, 146, 548–557. [Google Scholar] [CrossRef]
- Hong, I.P.; Woo, S.O.; Han, S.M.; Kin, S.G.; Jang, H.R.; Lee, M.Y.; Choi, Y.S.; Kim, H.K.; Lee, M.L. Evaluation of nutritional potential of Amorpha fruticose pollen collected by honey bees. J. Apic. 2016, 31, 73–77. [Google Scholar] [CrossRef]
- Sakač, M.B.; Jovanov, P.T.; Marić, A.Z.; Pezo, L.L.; Kevrešan, Ž.S.; Novaković, A.R.; Nedeljković, N.M. Physicochemical properties and mineral content of honey samples from Vojvodina (Republic of Serbia). Food Chem. 2019, 276, 15–21. [Google Scholar] [CrossRef]
- Gupta, U.G.; Gupta, S.C. Sources and deficiency diseases of mineral nutrients in human health and nutrition: A review. Pedosphere 2014, 24, 13–38. [Google Scholar] [CrossRef]
- Zhao, H.A.; Cheng, N.; Zhou, W.Q.; Chen, S.N.; Wang, Q.; Gao, H.; Xue, X.F.; Wu, L.M.; Cao, W. Honey polyphenols ameliorate DSS-induced ulcerative colitis via modulating gut microbiota in rats. Mol. Nutr. Food Res. 2019, 63, 1900638. [Google Scholar] [CrossRef] [PubMed]
- Zhao, H.A.; Zhu, M.; Wang, K.R.; Yang, E.L.; Su, J.L.; Wang, Q.; Cheng, N.; Xue, X.F.; Wu, L.M.; Cao, W. Identification and quantitation of bioactive components from honeycomb (Nidus Vespae). Food Chem. 2020, 314, 126052. [Google Scholar] [CrossRef] [PubMed]
- Combarros-Fuertes, P.; Estevinho, L.M.; Dias, L.G.; Castro, J.M.; Tomas-Barberan, F.A.; Tornadijo, M.E.; Fresno-Baro, J.M. Bioactive components, antioxidant and antibacterial activities of different varieties of honey: A screening prior to clinical application. J. Agric. Food Chem. 2019, 67, 688–698. [Google Scholar] [CrossRef]
- Hossain, M.B.; Rai, D.K.; Brunton, N.P.; Martin-Diana, A.B.; Barry-Ryan, C. Characterization of phenolic composition in Lamiaceae spices by LC-ESI-MS/MS. J. Agric. Food Chem. 2010, 58, 10576–10581. [Google Scholar] [CrossRef]
- Fabre, N.; Rustan, I.; Hoffmann, E.; Quetin-Leclercq, J. Determination of flavone, flavonol, and flavanone aglycones by negative ion liquid chromatography electrospray ion trap mass spectrometry. J. Am. Soc. Mass Spectrom. 2001, 12, 707–715. [Google Scholar] [CrossRef]
- Yang, W.Z.; Ye, M.; Qiao, X.; Wang, Q.; Bo, T.; Guo, D.A. Collision-induced dissociation of 40 flavonoid aglycones and differentiation of the common flavonoid subtypes using electrospray ionization ion-trap tandem mass spectrometry and quadrupole time-of-flight mass spectrometry. Eur. J. Mass Spectrom. 2012, 18, 493–503. [Google Scholar] [CrossRef]
- Vasić, V.; Gašić, U.; Stanković, D.; Lušić, D.; Vukić-Lušić, D.; Milojković-Opsenica, D.; Tešić, Ž.; Trifković, J. Towards better quality criteria of European honeydew honey: Phenolic profile and antioxidant capacity. Food Chem. 2019, 274, 629–641. [Google Scholar] [CrossRef] [PubMed]
- Tay, K.C.; Tan, L.T.H.; Chan, C.K.; Hong, S.L.; Chan, K.G.; Yap, W.H.; Pusparajah, P.; Lee, L.H.; Goh, B.H. Formononetin: A review of its anticancer potentials and mechanisms. Front. Pharmacol. 2019, 10. [Google Scholar] [CrossRef]
- Das Neves, M.V.; Da Silva, T.M.S.; Lima, E.D.O.; Da Cunha, E.V.L.; Oliveira, E.D.J. Isoflavone formononetin from red propolis acts as a fungicide against Candida sp. Braz. J. Microbiol. 2016, 47, 159–166. [Google Scholar] [CrossRef]
- Mishra, B.; Priyadarsini, K.I.; Kumar, M.S.; Unnikrishnan, M.K.; Mohan, H. Effect of o-glycosilation on the antioxidant activity and free radical reactions of a plant flavonoid, chrysoeriol. Bioorg. Med. Chem. 2003, 11, 2677–2685. [Google Scholar] [CrossRef]
- Ramirez, G.; Zamilpa, A.; Zavala, M.; Perez, J.; Morales, D.; Tortoriello, J. Chrysoeriol and other polyphenols from Tecoma stans with lipase inhibitory activity. J. Ethnopharmacol. 2016, 185, 1–8. [Google Scholar] [CrossRef]
- Fu, L.; Xu, B.T.; Xu, X.R.; Gan, R.Y.; Zhang, Y.; Xia, E.Q.; Li, H.B. Antioxidant capacities and total phenolic contents of 62 fruits. Food Chem. 2011, 129, 345–350. [Google Scholar] [CrossRef] [PubMed]
- Sytarová, I.; Orsavová, J.; Snopek, L.; Mlček, J.; Byczyński, L.; Mišurcová, L. Impact of phenolic compounds and vitamins C and E on antioxidant activity of sea buckthorn (Hippophaë rhamnoides L.) berries and leaves of diverse ripening times. Food Chem. 2020, 310, 125784. [Google Scholar] [CrossRef]
- Šarić, G.; Vahčić, N.; Kovačević, D.B.; Putnik, P. The changes of flavonoids in honey during storage. Processes 2020, 8, 943. [Google Scholar] [CrossRef]
- Alvarez-Suarez, J.M.; Giampieri, F.; González-Paramás, A.M.; Damiani, E.; Astolfi, P.; Martinez-Sanchez, G.; Bompadre, S.; Quiles, J.L.; Santos-Buelga, C.; Battino, M. Phenolics from monofloral honeys protect human erythrocyte membranes against oxidative damage. Food Chem. Toxicol. 2012, 50, 1508–1516. [Google Scholar] [CrossRef]
- Cheng, N.; Wang, Y.; Gao, H.; Yuan, J.L.; Feng, F.; Cao, W.; Zheng, J.B. Protective effect of extract of Crataegus pinnatifida pollen on DNA damage response to oxidative stress. Food Chem. Toxicol. 2013, 59, 709–714. [Google Scholar] [CrossRef]
- Sun, S.F.; Chen, W.J.; Cao, W.; Zhang, F.Y.; Song, J.R.; Tian, C.R. Research on the chelation between quercetin and Cr(Ⅲ) ion by Density Functional Theory (DFT) method. J. Mol. Struct. 2008, 860, 40–44. [Google Scholar] [CrossRef]
- Kaškonienė, V.; Venskutonis, P.R. Floral Markers in Honey of Various Botanical and Geographic Origins: A Review. Compr. Rev. Food Sci. Food Saf. 2010, 9, 620–634. [Google Scholar] [CrossRef]
- Gajski, G.; Žegura, B.; Ladeira, C.; Novak, M.; Sramkova, M.; Pourrut, B.; Bo, C.D.; Milić, M.; Gutzkow, K.B.; Costa, S.; et al. The comet assay in animal models: From bugs to whales—(Part 2 Vertebrates). Mutat. Res. Rev. Mutat. 2019, 781, 130–164. [Google Scholar] [CrossRef]
- Lutier, P.M.; Vaissière, B.E. An improved method for pollen analysis of honey. Rev. Palaeobot. Palynol. 1993, 78, 129–144. [Google Scholar] [CrossRef]
- AOAC, Association of Official Analytical Chemists. Official Methods of Analysis, 15th ed.; Helrich, K., Ed.; AOAC: Arlington, VA, USA, 1990. [Google Scholar]
- Chinese National Food Safety Standard. Determination of Multiple Elements in Food; GB 5009. 268-2016; Chinese National Food Safety Standard: Beijing, China, 2016. [Google Scholar]






| Types of Honey | Characteristics of Honey |
|---|---|
| Jujube (Ziziphus jujuba Mill.) Honey | Neutral pH (mean value of 6.71) [10], Z. jujuba-derived protein [11], Effect of induing apoptosis [12], Protective effects against chronic alcohol-induced liver damage [13]. |
| Buckwheat (Fagopyrum esculentum Moench) Honey | High antioxidant capacity, Hepatoprotective effect [14], Protective effect of DNA [15]. |
| Vitex (Vitex negundo Linna. Var. heterophylla Rehd) Honey | High caffeic acid content, Strong antioxidant activity, Hepatoprotection effect [16]. |
| Macleaya cordata (Willd.) R. Br. Honey | Characteristic compositions of alkaloids [17]. |
| Prunella Vulgaris Honey | The high content of rosmarinic acid, protective effects against colitis, modulative effect on gut microbial populations [18]. |
| Other types (acacia; rape; chaste; etc.) | Amino acid could be an index to discriminate the botanical origin of jujube, rape, chaste acacia, and lungan honey [19], Chlorogenic acid and ellagic acid could be the major phenolic acid to identify the acacia honey adulterated with rape honey [20]. |
| Samples | Botanical Source | Predominant Pollen (%) | Type of Honey | Production Year |
|---|---|---|---|---|
| 1 | Amorpha fruticosa L. | 67 ± 5 | Monofloral | 2018 |
| 2 | Amorpha fruticosa L. | 58 ± 2 | Monofloral | 2018 |
| 3 | Amorpha fruticosa L. | 71 ± 4 | Monofloral | 2018 |
| 4 | Amorpha fruticosa L. | 59 ± 2 | Monofloral | 2018 |
| 5 | Amorpha fruticosa L. | 69 ± 9 | Monofloral | 2018 |
| 6 | Amorpha fruticosa L. | 64 ± 6 | Monofloral | 2018 |
| 7 | Amorpha fruticosa L. | 70 ± 5 | Monofloral | 2018 |
| 8 | Amorpha fruticosa L. | 65 ± 6 | Monofloral | 2018 |
| 9 | Amorpha fruticosa L. | 68 ± 4 | Monofloral | 2018 |
| 10 | Amorpha fruticosa L. | 62 ± 7 | Monofloral | 2018 |
| 11 | Amorpha fruticosa L. | 73 ± 4 | Monofloral | 2018 |
| 12 | Amorpha fruticosa L. | 69 ± 5 | Monofloral | 2018 |
| Parameters | Values |
|---|---|
| Nutritional Composition | |
| Moisture (%) | 18.71 ± 0.95 |
| Fructose (%) | 45.13 ± 3.13 |
| Glucose (%) | 29.88 ± 2.22 |
| Sucrose (%) | 2.32 ± 1.50 |
| Total sugar (above three, %) | 77.33 ± 4.66 |
| Protein content (mg/kg) | 758.14 ± 80.69 |
| Ascorbic acid contents (mg/kg) | 213.69 ± 27.87 |
| Proline content (mg/kg) | 318.17 ± 43.03 |
| Total phenolic content (mg GA/kg) | 270.07 ± 27.15 |
| Diastase activity (°Gothe) | 57.14 ± 7.80 |
| Other Physiochemical Properties | |
| pH | 3.96 ± 0.10 |
| Electrical conductivity (mS/cm) | 0.20 ± 0.00 |
| L* | 29.67 ± 2.92 |
| a* | 109.03 ± 11.26 |
| b* | 4.37 ± 2.18 |
| Free acidity (meq/kg) | 14.50 ± 0.61 |
| Lactonic acidity (meq/kg) | 3.57 ± 0.34 |
| Total acidity (meq/kg) | 18.07 ± 0.78 |
| HMF (mg/kg) | 0.32 ± 0.05 |
| Antioxidant in vitro | |
| DPPH (IC50 mg/mL) | 100.41 ± 15.35 |
| FRAP (µmol FeSO4·7H2O/g) | 2.04 ± 0.29 |
| Chelating activity (mg Na2EDTA/kg) | 82.56 ± 16.01 |
| Content | |
|---|---|
| K | 250.024 ± 18.407 |
| Ca | 25.300 ± 4.360 |
| Na | 20.837 ± 2.043 |
| Mg | 11.886 ± 0.550 |
| Zn | 0.683 ± 0.518 |
| Fe | 0.840 ± 0.248 |
| Mn | 0.110 ± 0.021 |
| Cu | 0.076 ± 0.041 |
| Ni | 0.035 ± 0.003 |
| Cr | 0.018 ± 0.008 |
| Co | 0.003 ± 0.000 |
| Mo | 0.009 ± 0.001 |
| Al | N.D. |
| Pb | N.D. |
| Sb | N.D. |
| Peak No. | Tentative Assignment | Tr (min) | [M − H]− (m/z) | Molecular Formula | Calc (m/z) | Error (ppm) | Fragment Ions (m/z) |
|---|---|---|---|---|---|---|---|
| 1 | Gallic acid * | 2.34 | 169.0149 | C7H6O5 | 169.0142 | 4.24 | 169(100);125(75) |
| 2 | 4-Hydroxybenzoic acid | 5.48 | 137.0245 | C7H6O3 | 137.0244 | 0.45 | 119 (25); 93 (25) |
| 3 | 2,4-Dihydroxybenzoic acid | 7.89 | 153.0196 | C7H6O4 | 153.0193 | 1.96 | 153(100);109(20) |
| 4 | Caffeic acid * | 8.76 | 179.0355 | C9H8O4 | 179.0350 | 2.70 | 161(10); 135(50) |
| 5 | Syringic acid * | 9.53 | 197.0457 | C9H10O5 | 197.0455 | 0.99 | 179(40); 153(35) |
| 6 | Cinnamic acid | 11.62 | 147.0451 | C9H8O2 | 147.0452 | −0.65 | 129(10);103(15) |
| 7 | p-Coumaric acid * | 12.16 | 163.0404 | C9H8O3 | 163.0401 | 2.26 | 119(30) |
| 8 | Quercetin 3-O-glucosyl-rutinoside | 13.75 | 771.2022 | C33H40O21 | 771.1989 | 4.28 | 609(15);301(5) |
| 9 | Sinapic acid | 14.22 | 223.0621 | C9H10O4 | 223.0612 | 4.13 | 208(10);179(10) |
| 10 | Ferulic acid * | 14.28 | 193.0513 | C10H10O4 | 193.0501 | 3.44 | 178(5);149(5) |
| 11 | Rutin * | 15.74 | 609.1456 | C27H30O16 | 609.1464 | −0.82 | 301(12) |
| 12 | Quercetin * | 18.31 | 301.0368 | C15H10O7 | 301.0354 | 4.81 | 301(100);283(10); 273(10);151(5) |
| 13 | Naringenin * | 18.52 | 271.0620 | C15H12O5 | 271.0612 | 2.96 | 271(100);253(10); 243(30);227(10); 151(5); 119(5) |
| 14 | Apigenin 4′-O-glucoside | 19.24 | 431.1010 | C21H20O10 | 431.0984 | 3.49 | 431(100);268(10) |
| 15 | Isorhamnetin | 19.65 | 315.0519 | C16H12O7 | 315.0510 | 2.70 | 315(100);300(5); 297(10);271(10) 151(5) |
| 16 | Luteolin * | 19.79 | 285.0409 | C15H10O6 | 285.0405 | 1.71 | 267(15);241(10) 151(5) |
| 17 | Diosmetin | 20.42 | 299.0562 | C16H12O6 | 299.0556 | 0.22 | 281(15);271(10) 255(10);151(5) |
| 18 | Formononetin ** | 20.69 | 267.0666 | C16H12O4 | 267.0658 | 1.33 | 252(5);223(5) 135(10);132(5) |
| 19 | 3,3′,4′,5,5′,7-hexahydroxyflavanone | 21.31 | 319.0464 | C15H12O8 | 319.0454 | 1.36 | 319(100);301(5); 167(10); 151(10) |
| 20 | Pinocembrin * | 21.47 | 255.0665 | C15H12O4 | 255.0663 | 0.73 | 255(100);237(20) 227(20);221(20);151(5) |
| 21 | Chrysoeriol ** | 21.63 | 299.0558 | C16H12O6 | 299.0561 | −1.05 | 284(5);281(12) 271(12);151(5) 147(5) |
Publisher’s Note: MDPI stays neutral with regard to jurisdictional claims in published maps and institutional affiliations. |
© 2020 by the authors. Licensee MDPI, Basel, Switzerland. This article is an open access article distributed under the terms and conditions of the Creative Commons Attribution (CC BY) license (http://creativecommons.org/licenses/by/4.0/).
Share and Cite
Zhu, M.; Zhao, H.; Wang, Q.; Wu, F.; Cao, W. A Novel Chinese Honey from Amorpha fruticosa L.: Nutritional Composition and Antioxidant Capacity In Vitro. Molecules 2020, 25, 5211. https://doi.org/10.3390/molecules25215211
Zhu M, Zhao H, Wang Q, Wu F, Cao W. A Novel Chinese Honey from Amorpha fruticosa L.: Nutritional Composition and Antioxidant Capacity In Vitro. Molecules. 2020; 25(21):5211. https://doi.org/10.3390/molecules25215211
Chicago/Turabian StyleZhu, Min, Haoan Zhao, Qian Wang, Fanhua Wu, and Wei Cao. 2020. "A Novel Chinese Honey from Amorpha fruticosa L.: Nutritional Composition and Antioxidant Capacity In Vitro" Molecules 25, no. 21: 5211. https://doi.org/10.3390/molecules25215211
APA StyleZhu, M., Zhao, H., Wang, Q., Wu, F., & Cao, W. (2020). A Novel Chinese Honey from Amorpha fruticosa L.: Nutritional Composition and Antioxidant Capacity In Vitro. Molecules, 25(21), 5211. https://doi.org/10.3390/molecules25215211

