A Direct and an Efficient Regioselective Synthesis of 1,2-Benzothiazine 1,1-dioxides, β-Carbolinones, Indolo[2,3-c]pyran-1-ones, Indolo[3,2-c]pyran-1-ones, Thieno[2,3-c]pyran-7-ones and Pyrano[3’,4’:4,5]imidazo[1,2-a]pyridin-1-ones via Tandem Stille/Heterocyclization Reaction
Abstract
1. Introduction
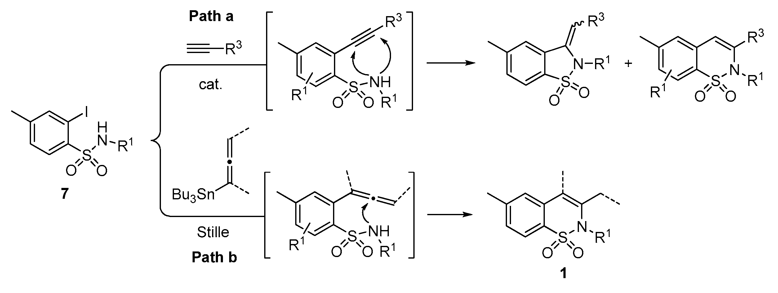
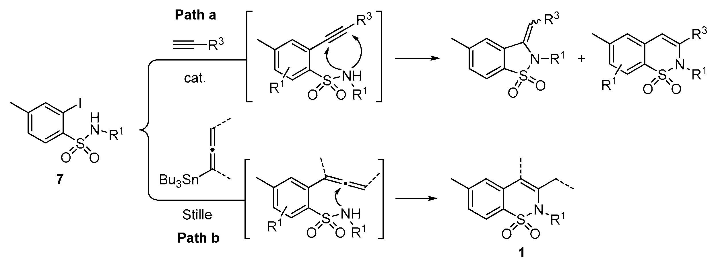
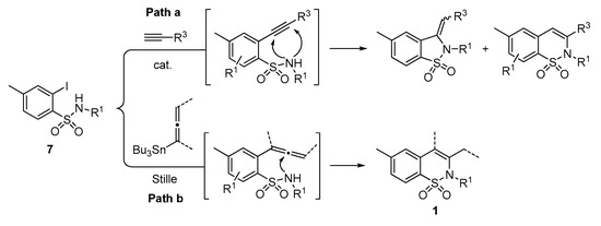
2. Results and Discussion
3. Materials and Methods
3.1. General Protocol for Synthesis of 1,2-Benzothiazine 1,1-dioxides 1
3.2. General Protocol for Synthesis of 2,9-Dihydro-1H-pyrido[3,4-b]indol-1-one Derivated 2–6
4. Conclusion
Supplementary Materials
Author Contributions
Funding
Acknowledgments
Conflicts of Interest
References
- Gopalsamy, A.; Lim, K.; Ciszewski, G.; Park, K.; Ellingboe, J.W.; Bloom, J.; Insaf, S.; Upeslacis, J.; Mansour, T.S.; Krishnamurthy, G.; et al. Discovery of Pyrano[3,4-b]indoles as Potent and Selective HCV NS5B Polymerase Inhibitors. J. Med. Chem. 2004, 47, 6603–6608. [Google Scholar] [CrossRef] [PubMed]
- LaPorte, M.G.; Draper, T.L.; Miller, L.E.; Blackledge, C.W.; Leister, L.K.; Amparo, E.; Hussey, A.R.; Young, D.C.; Chunduru, S.K.; Benetatos, C.A.; et al. The discovery and structure–activity relationships of pyrano[3, 4-b]indole based inhibitors of hepatitis C virus NS5B polymerase. Bioorg. Med. Chem. Lett. 2010, 20, 2968–2973. [Google Scholar] [CrossRef] [PubMed]
- Lombardino, J.G.; Wiseman, E.H.; Mclamore, W. Synthesis and antiinflammatory activity of some 3-carboxamides of 2-alkyl-4-hydroxy-2H-1, 2-benzothiazine 1, 1-dioxide. J. Med. Chem. 1971, 14, 1171–1175. [Google Scholar] [CrossRef] [PubMed]
- Lombardino, J.G.; Wiseman, E.H. Piroxicam and other anti-inflammatory oxicams. Med. Res. Rev. 1982, 2, 127–152. [Google Scholar] [CrossRef]
- Brzozowski, F.; Saczewski, F.; Neamati, N. Synthesis and anti-HIV-1 activity of a novel series of 1, 4, 2-benzodithiazine-dioxides. Bioorg. Med. Chem. Lett. 2006, 16, 5298. [Google Scholar] [CrossRef] [PubMed]
- Wells, G.J.; Tao, M.; Josef, K.A.; Bihovsky, R. 1, 2-benzothiazine 1, 1-dioxide P2− P3 peptide mimetic aldehyde calpain I inhibitors. J. Med. Chem. 2001, 44, 3488–3503. [Google Scholar] [CrossRef] [PubMed]
- Mali, R.S.; Manekar-Tilve, A. Useful Syntheses of Pyrano-and Pyridoindoles. Org. Prep. Proced. Int. 1994, 26, 573–577. [Google Scholar] [CrossRef]
- Shi, Z.; Cui, Y.; Jiao, N. Synthesis of β-and γ-Carbolinones via Pd-Catalyzed Direct Dehydrogenative Annulation (DDA) of Indole-carboxamides with Alkynes Using Air as the Oxidant. Org. Lett. 2010, 12, 2908–2911. [Google Scholar] [CrossRef]
- Veale, C.A.; Damewood, J.R.; Steelman, G.B.; Bryant, C.; Gomes, B.; Williams, J. Non-peptidic inhibitors of human leukocyte elastase. 4. design, synthesis, and in vitro and in vivo activity of a series of. beta.-carbolinone-containing trifluoromethyl ketones. J. Med. Chem. 1995, 38, 86–97. [Google Scholar] [CrossRef]
- Bracher, F.; Hildebrand, D. 1,9-Dimetalated ß-carbolines. Versatile building blocks for the total synthesis of Alkaloids. Tetrahedron 1994, 50, 12329–12336. [Google Scholar] [CrossRef]
- Nicolaou, K.C.; Kiappes, J.L.; Tian, W.; Gondi, V.B.; Becker, J. Synthesis of the carboline disaccharide domain of shishijimicin A. Org. Lett. 2011, 13, 3924–3927. [Google Scholar] [CrossRef]
- Larsen, L.K.; Moore, R.E.; Patterson, G.M.L. β-Carbolines from the Blue-green Alga Dichothrix Baueriana. J. Nat. Prod. 1994, 57, 419–421. [Google Scholar] [CrossRef] [PubMed]
- Jiménez, C.; Quiñoa, E.; Adamczeski, M.; Hunter, L.M.; Crews, P. Novel Sponge-Derived Amino Acids. 12. Tryptophan-Derived Pigments and Accompanying Sesterterpenes from Fascaplysinopis Reticulata. J. Org. Chem. 1991, 56, 3403–3410. [Google Scholar] [CrossRef]
- Morris, L.C.; Nance, K.D.; Gentry, P.R.; Days, E.L.; Weaver, C.D.; Niswender, C.M.; Thompson, A.D.; Jones, C.K.; Locuson, C.W.; Morrison, R.D.; et al. Discovery of (S)-2-Cyclopentyl-N-((1-isopropylpyrrolidin2-yl)-9-methyl-1-oxo-2,9-dihydro-1H-pyrrido[3,4-b]indole -4-carboxamide (VU0453379): A Novel, CNS Penetrant Glucagon-Like Peptide 1 Receptor (GLP-1R) Positive Allosteric Modulator (PAM). J. Med. Chem. 2014, 57, 10192–10197. [Google Scholar] [CrossRef]
- Fillery, S.M.; Gregson, C.L.; Guérot, C.M. Expeditious Access to Functionalized Tricyclic Pyrrolo-Pyridones via Tandem or Sequential C−N/C−C Bond Formations. Org. Lett. 2019, 21, 9128–9132. [Google Scholar] [CrossRef] [PubMed]
- Cao, R.; Peng, W.; Wang, Z.; XU, A. β-Carboline alkaloids: Biochemical and pharmacological functions. Curr. Med. Chem. 2007, 14, 479. [Google Scholar] [CrossRef]
- Barrange, D.K.; Batchu, V.R.; Gorja, D.; Pattabiraman, V.R.; Tatini, L.K.; Babu, J.M.; Pal, M. Regioselective construction of six-membered fused heterocyclic rings via Pd/C-mediated C–C coupling followed by iodocyclization strategy: A new entry to 2H-1, 2-benzothiazine-1, 1-dioxides. Tetrahedron 2007, 63, 1775–1789. [Google Scholar] [CrossRef]
- Debnath, S.; Mondal, S. One-Pot Sonogashira Coupling-Cyclization toward regioselective Synthesis of Benzosultams. J. Org. Chem. 2015, 80, 3940–3948. [Google Scholar] [CrossRef] [PubMed]
- Rambabu, D.; Murthy, P.V.N.S.; Prasad, K.R.S.; Kandale, A.; Deora, G.S.; Rao, M.V.B.; Pal, M. AgNO3 mediated C–N bond forming reaction: Synthesis of 3-substituted benzothiazines as potential COX inhibitors. Tetrahedron Lett. 2012, 53, 6577–6583. [Google Scholar] [CrossRef]
- Siva Reddy, A.; Siva Kumari, A.L.; Saha, S.; Kumara Swamy, K.C. Palladium-Catalyzed Tandem-Cyclization of Functionalized Ynamides: An Approach to Benzosultams. Adv. Synth. Cat. 2016, 358, 1625–1638. [Google Scholar] [CrossRef]
- Hou, H.; Zhao, Y.; Pu, S.; Chen, J. Rhodium-catalyzed direct C–H bond alkynylation of aryl sulfonamides with bromoalkynes. Org. Biomol. Chem. 2019, 17, 2948–2953. [Google Scholar] [CrossRef]
- Zhou, K.; Xia, H.; Wu, J. Generation of benzosultams via a radical process with the insertion of sulfur dioxide. Org. Chem. Front. 2017, 4, 1121–1124. [Google Scholar] [CrossRef]
- Barange, D.K.; Nishad, T.C.; Swamy, N.K.; Bandameedi, V.; Kumar, D.; Sreekanth, B.R.; Vyas, S.K.; Pal, M. A remarkable accelerating effect of Ag-salt on intramolecular cyclization of o-(1-alkynyl) benzenesulfonamides. J. Org. Chem. 2007, 72, 8547–8550. [Google Scholar] [CrossRef]
- Harris, J.M.; Padwa, A. A New α-Carbolinone Synthesis Using a Rh(II)-Promoted [3+2]-Cycloaddition and Pd(0) Cross-Coupling/Heck Cyclization Chemistry. Org. Lett. 2003, 5, 4195–4197. [Google Scholar] [CrossRef]
- England, D.B.; Padwa, A. Gold-catalyzed cycloisomerization of N-propargylindole-2-carboxamides: Application toward the synthesis of lavendamycin analogues. Org. Lett. 2008, 10, 3631–3634. [Google Scholar] [CrossRef]
- Worayuthakarn, R.; Nealmongkol, P.; Ruchirawat, S.; Thasana, N. Synthesis of benzoindoloquinolizines via a Cu (I)-mediated C–N bond formation. Tetrahedron 2012, 68, 2864–2875. [Google Scholar] [CrossRef]
- Tulichala, R.N.P.; Swamy, K.C.K. Reactivity of Alkynylindole-2-carboxamides in [Pd]-Catalysed C-H Activation and Phase Transfer Catalysis: Formation of Pyrrolo-diindolones vs. β-Carbolinones. Org. Biomol. Chem. 2016, 14, 4519–4533. [Google Scholar] [CrossRef]
- Tahri, A.; Buysens, K.J.; Eycken, E.V.V.; Vandenberghe, D.M.; Hoornaert, G.J. Synthesis of α-carbolines and β-carbolinones via intramolecular Diels-Alder reactions of 2 (1H)-pyrazinones. Tetrahedron 1998, 54, 13211–13226. [Google Scholar] [CrossRef]
- Beccalli, E.M.; Broggini, G.; Marchesini, A.; Rossi, E. Intramolecular Heck Reaction of 2- And 3-Iodoindole Derivatives for the Synthesis of β- and γ-Carbolinones. Tetrahedron 2002, 58, 6673–6678. [Google Scholar] [CrossRef]
- Han, H.; Yang, S.; Xia, J. Pd/Cu Cocatalyzed Oxidative Tandem C−H Aminocarbonylation and Dehydrogenation of Tryptamines: Synthesis of Carbolinones. J. Org. Chem. 2019, 84, 3357–3369. [Google Scholar] [CrossRef]
- Rayabarapu, D.K.; Zhou, A.; Jeon, K.O.; Samarakoon, T.; Rolfe, A.; Siddiqui, H.; Hanson, P.R. α-Haloarylsulfonamides: Multiple cyclization pathways to skeletally diverse benzofused sultams. Tetrahedron 2009, 65, 3180–3188. [Google Scholar] [CrossRef] [PubMed]
- Liu, X.Y.; Li, C.H.; Che, C.M. Phosphine gold (I)-catalyzed hydroamination of alkenes under thermal and microwave-assisted conditions. Org. Lett. 2006, 8, 2707–2710. [Google Scholar] [CrossRef]
- Pertschi, R.; Weibel, J.M.; Pale, P.; Blanc, A. Benzosultam synthesis by gold (I)-catalyzed ammonium formation/nucleophilic substitution. Org. Lett. 2019, 21, 5616–5620. [Google Scholar] [CrossRef]
- Pham, M.V.; Ye, B.; Cramer, N. Access to Sultams by Rhodium (III)-Catalyzed Directed C-H Activation. Angew. Chem. Int. Ed. 2012, 51, 10610–10614. [Google Scholar] [CrossRef]
- Reddy, A.S.; Kumari, A.L.S.; Saha, S.; Swamy, K.C.K. Palladium-Catalyzed Tandem-Cyclization of FunctionalizedYnamides:AnApproach to Benzosultams. Adv. Synth. Catal. 2016, 358, 1625–2638. [Google Scholar] [CrossRef]
- Thrimurtulu, N.; Nallagonda, R.; Volla, C.M.R. Cobalt-catalyzed aryl C–H activation and highly regioselective intermolecular annulation of sulfonamides with allenes. Chem. Commun. 2017, 53, 1872–1875. [Google Scholar] [CrossRef]
- Stille, J.K. The palladium-catalyzed cross-coupling reactions of organotin reagents with organic electrophiles [new synthetic methods (58)]. Angew. Chem. Int. Ed. Engl. 1986, 25, 508–524. [Google Scholar] [CrossRef]
- Lane, C.; Snieckus, V. Combined Directed ortho Metalation-Grubbs Metathesis Tactics. Synthesis of Benzazepine, Benzazocine, and Benzannulated 7-, 8-, 9-, and 15-Membered Ring Sulfonamide Heterocycles. Synlett 2000, 9, 1294–1296. [Google Scholar] [CrossRef]
- MacNeil, S.; Familoni, O.B.; Sniekus, V. Selective ortho and benzylic functionalization of secondary and tertiary p-tolylsulfonamides. Ipso-bromo desilylation and Suzuki cross-coupling reactions. J. Org. Chem. 2001, 66, 3662–3670. [Google Scholar] [CrossRef]
- Harmata, M.; Rayanil, K.O.; Gomes, M.G.; Zheng, P.; Calkins, N.L.; Kim, S.-Y.; Fan, Y.; Bumbu, V.; Lee, D.R.; Wacharasindhu, S.; et al. New synthesis of benzothiazines and benzoisothiazoles containing a sulfoximine functional group. Org. Lett. 2005, 7, 143–145. [Google Scholar] [CrossRef]
- Xiao, Q.; Sheng, J.; Chen, Z.; Wu, J. Generation of 4-((trifluoromethyl) thio)-2 H-benzo[e][1,2]thiazine 1,1-dioxides via a reaction of trifluoromethanesulfanylamide with 2-(2-alkynyl) benzenesulfonamide. Chem. Commun. 2013, 49, 8647–8649. [Google Scholar] [CrossRef]
- Inack Ngi, S.; Guilloteau, V.; Abarbri, M.; Thibonnet, J. Regioselective Copper-Mediated Synthesis of Thieno[2,3-c]pyran-7-one, Indolo[2,3-c]pyran-1-one, and Indolo[3,2-c]pyran-1-one. J. Org. Chem. 2011, 76, 8347–8354. [Google Scholar] [CrossRef]
- Rama Suresh, R.; Kumara Swamy, K.C. Palladium-Catalyzed Annulation of Allenes with Indole-2-carboxylic Acid Derivatives: Synthesis of Indolo[2,3-c]pyrane-1-ones via Ar–I Reactivity or C–H Functionalization. J. Org. Chem. 2012, 77, 6959–6969. [Google Scholar] [CrossRef]
- Freter, K. Synthesis and reactions of 3-indolyl. beta. ketones. J. Org. Chem. 1972, 37, 2010–2015. [Google Scholar] [CrossRef]
- Mashelkar, U.C.; Usgaonkar, R.N. Synthesis of 2-alkyl-, 2-allyl-, 2-phenyl- and 2-pyridyl-3-methyl-β-carbolinones. Indian J. Chem. Sect. B 1979, 17B, 407. [Google Scholar]
- Kita, Y.; Mohri, S.; Tsugoshi, T.; Maeda, H.; Tamura, Y. Reaction of heteroaromatic analogs of homophthalic anhydride: Synthesis of hetero analogs of peri-hydroxy polycyclic aromatic compounds, isocoumarins, isoquinolinones, and related compounds. Chem. Pharm. Bull. 1985, 33, 4723–4731. [Google Scholar] [CrossRef][Green Version]
- Yao, T.; Larock, R.C. Synthesis of isocoumarins and α-pyrones via electrophilic cyclization. J. Org. Chem. 2003, 68, 5936–5942. [Google Scholar] [CrossRef]
- Hellal, M.; Bourguignon, J.-J.; Bihel, F.J.J. 6-endo-dig Cyclization of heteroarylesters to alkynes promoted by Lewis acid catalyst in the presence of Brønsted acid. Tetrahedron Lett. 2008, 49, 62–65. [Google Scholar] [CrossRef]
- Zhang, H.; Larock, R.C. Synthesis of annulated γ-carbolines and heteropolycycles by the palladium-catalyzed intramolecular annulation of alkynes. J. Org. Chem. 2003, 68, 5132–5138. [Google Scholar] [CrossRef]
- Shimizu, M.; Hirano, K.; Satoh, T.; Miura, M. Waste-free synthesis of condensed heterocyclic compounds by rhodium-catalyzed oxidative coupling of substituted arene or heteroarene carboxylic acids with alkynes. J. Org. Chem. 2009, 74, 3478–3483. [Google Scholar] [CrossRef] [PubMed]
- Zhang, X.; Xintong, W.Y.; Cong, X.; Zhen, Q.; Li, D.; Zhang-Negrerie, Y.; Du, K.; Zhao, K. Lactonization of 2-Alkynylbenzoates for the Assembly ofIsochromenones Mediated by BF3·Et2O. J. Org. Chem. 2019, 84, 10402–10411. [Google Scholar] [CrossRef] [PubMed]
- Dong, G.; Li, C.; Liu, H. Rh (III)-Catalyzed Annulation of Boc-Protected Benzamides with Diazo Compounds: Approach to Isocoumarins. Molecules 2019, 24, 937. [Google Scholar] [CrossRef]
- Bahlaouan, Z.; Abarbri, M.; Duchene, A.; Thibonnet, J.; Henry, N.; Enguehard-Gueiffier, C.; Gueiffier, A. Copper(I)-mediated preparation of new pyrano[3’,4’:4,5]imidazo[1,2-a]pyridine-1-one compounds under mild palladium-free conditions. Org. Biomol. Chem. 2011, 9, 1212–1218. [Google Scholar] [CrossRef]







| Entry | R1 | Z | Allenylstannane | Product | N° | Yield (%) a |
|---|---|---|---|---|---|---|
| 1 | Bn | ![]() | ![]() | 1a | 71 | |
| 2 | Bn | ![]() | ![]() | 1b | 80 | |
| 3 | Bn | ![]() | ![]() | 1c | 77 | |
| 4 | CH(CH3)Ph | ![]() | ![]() | 1d | 76 | |
| 5 | Allyl | ![]() | ![]() | 1e | 73 | |
| 6 | N-Bn | ![]() | ![]() | 2 | 73 | |
| 7 | O | ![]() | ![]() | 3a | 56 | |
| 8 | O | ![]() | ![]() | 3b | 62 | |
| 9 | O | ![]() | ![]() | 3c | 76 | |
| 10 | O | ![]() | ![]() | 4a | 57 | |
| 11 | O | ![]() | ![]() | 4b | 60 | |
| 12 | O | ![]() | ![]() | 5 | 72 | |
| 13 | O | ![]() | ![]() | 6 | 68 |
Sample Availability: Samples of the compounds are not available from the authors. |
Publisher’s Note: MDPI stays neutral with regard to jurisdictional claims in published maps and institutional affiliations. |
© 2020 by the authors. Licensee MDPI, Basel, Switzerland. This article is an open access article distributed under the terms and conditions of the Creative Commons Attribution (CC BY) license (http://creativecommons.org/licenses/by/4.0/).
Share and Cite
Jismy, B.; Cherry, K.; Maaliki, C.; Inack Ngi, S.; Abarbri, M. A Direct and an Efficient Regioselective Synthesis of 1,2-Benzothiazine 1,1-dioxides, β-Carbolinones, Indolo[2,3-c]pyran-1-ones, Indolo[3,2-c]pyran-1-ones, Thieno[2,3-c]pyran-7-ones and Pyrano[3’,4’:4,5]imidazo[1,2-a]pyridin-1-ones via Tandem Stille/Heterocyclization Reaction. Molecules 2020, 25, 5137. https://doi.org/10.3390/molecules25215137
Jismy B, Cherry K, Maaliki C, Inack Ngi S, Abarbri M. A Direct and an Efficient Regioselective Synthesis of 1,2-Benzothiazine 1,1-dioxides, β-Carbolinones, Indolo[2,3-c]pyran-1-ones, Indolo[3,2-c]pyran-1-ones, Thieno[2,3-c]pyran-7-ones and Pyrano[3’,4’:4,5]imidazo[1,2-a]pyridin-1-ones via Tandem Stille/Heterocyclization Reaction. Molecules. 2020; 25(21):5137. https://doi.org/10.3390/molecules25215137
Chicago/Turabian StyleJismy, Badr, Khalil Cherry, Carine Maaliki, Samuel Inack Ngi, and Mohamed Abarbri. 2020. "A Direct and an Efficient Regioselective Synthesis of 1,2-Benzothiazine 1,1-dioxides, β-Carbolinones, Indolo[2,3-c]pyran-1-ones, Indolo[3,2-c]pyran-1-ones, Thieno[2,3-c]pyran-7-ones and Pyrano[3’,4’:4,5]imidazo[1,2-a]pyridin-1-ones via Tandem Stille/Heterocyclization Reaction" Molecules 25, no. 21: 5137. https://doi.org/10.3390/molecules25215137
APA StyleJismy, B., Cherry, K., Maaliki, C., Inack Ngi, S., & Abarbri, M. (2020). A Direct and an Efficient Regioselective Synthesis of 1,2-Benzothiazine 1,1-dioxides, β-Carbolinones, Indolo[2,3-c]pyran-1-ones, Indolo[3,2-c]pyran-1-ones, Thieno[2,3-c]pyran-7-ones and Pyrano[3’,4’:4,5]imidazo[1,2-a]pyridin-1-ones via Tandem Stille/Heterocyclization Reaction. Molecules, 25(21), 5137. https://doi.org/10.3390/molecules25215137



























