Supercritical Extraction of Red Propolis: Operational Conditions and Chemical Characterization
Abstract
1. Introduction
2. Results and Discussion
2.1. Extraction Kinetic Curve and S/F
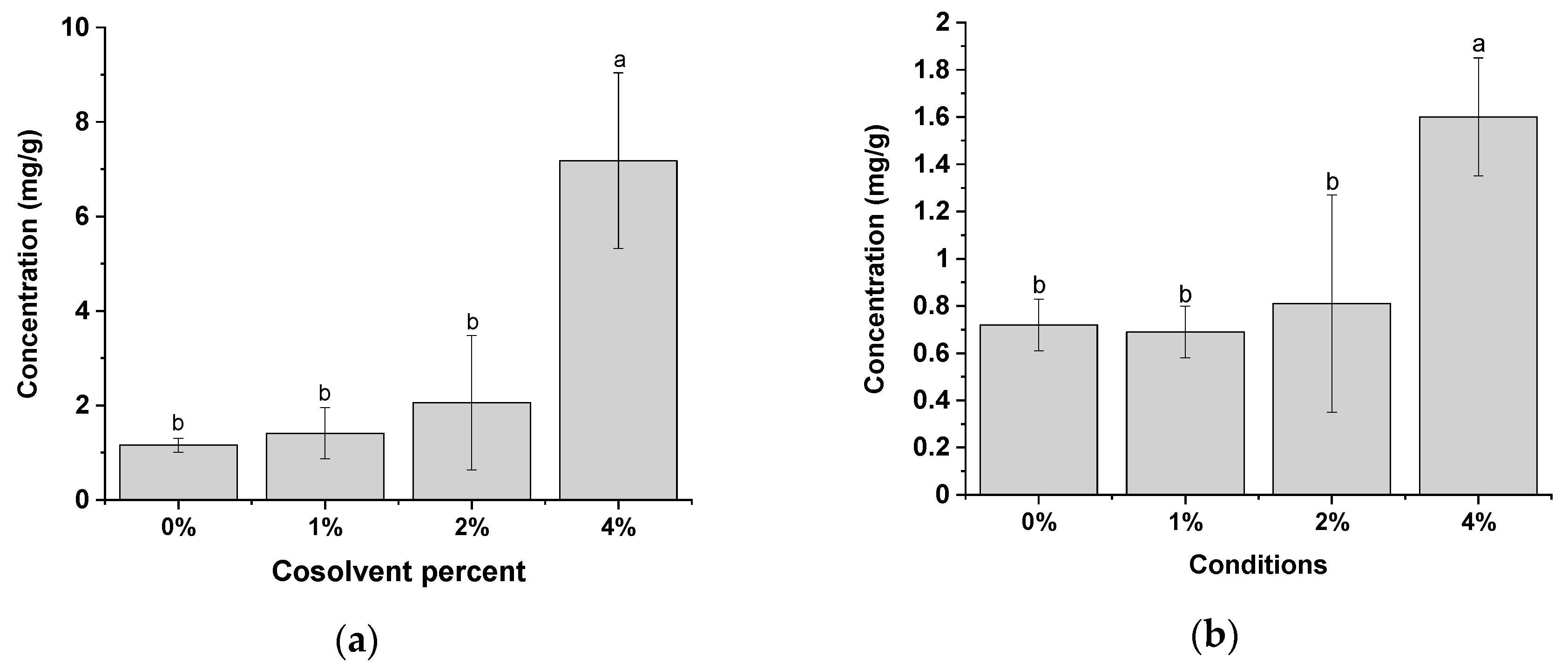
2.2. Determination of the Cosolvent Concentration
2.3. Global Yield Isotherms (GYI)
3. Materials and Methods
3.1. Materials and Reagents
3.2. Study Sample
3.3. Process Parameters for Red Propolis Extraction by SFE
3.3.1. First Step: Overall Extraction Curve and S/F (Mass of CO2/Mass of Sample)
3.3.2. Second Step: Influence of Cosolvent Percentage
3.3.3. Third Step: Global Yield Isotherms
3.4. Total Phenolic Compounds, Flavonoids Content and Antioxidant Activity by DPPH● (2,2-Diphenyl-1-picrylhydrazyl)
3.5. High-Performance Liquid Chromatography (HPLC): Identification and Quantification of Phenolic Compounds
3.6. Statistical Analysis
4. Conclusions
Author Contributions
Funding
Acknowledgments
Conflicts of Interest
References
- Marcucci, M.C.; Rodriguez, J.; Ferreres, F.; Bankova, V.; Groto, R.; Popov, S. Chemical Composition of Brazilian Propolis from Sao Paulo State. Zeitschrift für Naturforsch. C 1998, 53, 117–119. [Google Scholar] [CrossRef]
- Park, Y.K.; Alencar, S.M.; Aguiar, C.L. Botanical origin and chemical composition of Brazilian propolis. J. Agric. Food Chem. 2002. [Google Scholar] [CrossRef]
- Alencar, S.M.; Oldoni, T.L.C.; Castro, M.L.; Cabral, I.S.R.; Costa-Neto, C.M.; Cury, J.A.; Rosalen, P.L.; Ikegaki, M. Chemical composition and biological activity of a new type of Brazilian propolis: Red propolis. J. Ethnopharmacol. 2007, 113, 278–283. [Google Scholar] [CrossRef]
- Righi, A.A.; Alves, T.R.; Negri, G.; Marques, L.M.; Breyer, H.; Salatino, A. Brazilian red propolis: Unreported substances, antioxidant and antimicrobial activities. J. Sci. Food Agric. 2011, 91, 2363–2370. [Google Scholar] [CrossRef]
- Sotelo, J.R.; Sotelo, A.B.; Sotelo, F.J.B.; Doi, A.M.; Pinho, J.R.R.; Oliveira, R.D.C.; Bezerra, A.M.P.S.; Deutsch, A.D.; Villas-boas, L.S.; Felix, A.C.; et al. Persistence of Zika Virus in Breast Milk after Infection in Late Stage of Pregnancy. Emerg. Infect. Dis. 2017, 23, 854–856. [Google Scholar] [CrossRef]
- Regueira, M.S.; Tintino, S.R.; da Silva, A.R.P.; do Costa, M.S.; Boligon, A.A.; Matias, E.F.F.; de Queiroz Balbino, V.; Menezes, I.R.A.; Coutinho, H.D.M. Seasonal variation of Brazilian red propolis: Antibacterial activity, synergistic effect and phytochemical screening. Food Chem. Toxicol. 2017, 107, 572–580. [Google Scholar] [CrossRef]
- Bueno-Silva, B.; Alencar, S.M.; Koo, H.; Ikegaki, M.; Silva, G.V.J.; Napimoga, M.H.; Rosalen, P.L. Anti-Inflammatory and Antimicrobial Evaluation of Neovestitol and Vestitol Isolated from Brazilian Red Propolis. J. Agric. Food Chem. 2013, 61, 4546–4550. [Google Scholar] [CrossRef]
- Lima Cavendish, R.; de Souza Santos, J.; Belo Neto, R.; Oliveira Paixão, A.; Valéria Oliveira, J.; Divino de Araujo, E.; Berretta e Silva, A.A.; Maria Thomazzi, S.; Cordeiro Cardoso, J.; Zanardo Gomes, M. Antinociceptive and anti-inflammatory effects of Brazilian red propolis extract and formononetin in rodents. J. Ethnopharmacol. 2015, 173, 127–133. [Google Scholar] [CrossRef]
- Farida, S.; Sahlan, M.; Rohmatin, E.; Adawiyah, R. The beneficial effect of Indonesian propolis wax from Tetragonula sp. as a therapy in limited vaginal candidiasis patients. Saudi J. Biol. Sci. 2020, 27, 142–146. [Google Scholar] [CrossRef]
- Gargouri, W.; Osés, S.M.; Fernández-Muiño, M.A.; Sancho, M.T.; Kechaou, N. Evaluation of bioactive compounds and biological activities of Tunisian propolis. LWT 2019, 111, 328–336. [Google Scholar] [CrossRef]
- da Silva, C.C.F.; Salatino, A.; da Motta, L.B.; Negri, G.; Salatino, M.L.F. Chemical characterization, antioxidant and anti-HIV activities of a Brazilian propolis from Ceará state. Braz. J. Pharmacogn. 2019, 29, 309–318. [Google Scholar] [CrossRef]
- Sinott, F.A.; Sena-Lopes, Â.; Leal, K.S.; Thais de Oliveira Silva, M.; Cardoso de Freitas, M.; Quintana de Moura, M.; Aires Berne, M.E.; Borsuk, S. Essential oil from Brazilian Red Propolis exhibits anthelmintic activity against larvae of Toxocara cati. Exp. Parasitol. 2019, 200, 37–41. [Google Scholar] [CrossRef]
- Andrade, J.K.S.; Denadai, M.; de Oliveira, C.S.; Nunes, M.L.; Narain, N. Evaluation of bioactive compounds potential and antioxidant activity of brown, green and red propolis from Brazilian northeast region. Food Res. Int. 2017, 101, 129–138. [Google Scholar] [CrossRef]
- Awale, S.; Li, F.; Onozuka, H.; Esumi, H.; Tezuka, Y.; Kadota, S. Constituents of Brazilian red propolis and their preferential cytotoxic activity against human pancreatic PANC-1 cancer cell line in nutrient-deprived condition. Bioorg. Med. Chem. 2008, 16, 181–189. [Google Scholar] [CrossRef]
- Sena-Lopes, Â.; Bezerra, F.S.B.; das Neves, R.N.; de Pinho, R.B.; de Silva, M.T.O.; Savegnago, L.; Collares, T.; Seixas, F.; Begnini, K.; Henriques, J.A.P.; et al. Chemical composition, immunostimulatory, cytotoxic and antiparasitic activities of the essential oil from Brazilian red propolis. PLoS ONE 2018, 13, e0191797. [Google Scholar] [CrossRef]
- Kaškonienė, V.; Adaškevičiūtė, V.; Kaškonas, P.; Mickienė, R.; Maruška, A. Antimicrobial and antioxidant activities of natural and fermented bee pollen. Food Biosci. 2020, 34, 100532. [Google Scholar] [CrossRef]
- Zeouk, I.; Ouedrhiri, W.; Jiménez, I.A.; Morales, J.L.; Bazzocchi, I.L.; Bekhti, K. Intra-combined antioxidant activity and chemical characterization of three fractions from Rhamnus alaternus extract: Mixture design. Ind. Crops Prod. 2020, 144, 112054. [Google Scholar] [CrossRef]
- Alzate-Arbeláez, A.F.; Dorta, E.; López-Alarcón, C.; Cortés, F.B.; Rojano, B.A. Immobilization of Andean berry (Vaccinium meridionale) polyphenols on nanocellulose isolated from banana residues: A natural food additive with antioxidant properties. Food Chem. 2019, 294, 503–517. [Google Scholar] [CrossRef]
- Domínguez, R.; Barba, F.J.; Gómez, B.; Putnik, P.; Bursać Kovačević, D.; Pateiro, M.; Santos, E.M.; Lorenzo, J.M. Active packaging films with natural antioxidants to be used in meat industry: A review. Food Res. Int. 2018, 113, 93–101. [Google Scholar] [CrossRef]
- Devequi-Nunes, D.; Machado, B.A.S.; De Abreu Barreto, G.; Silva, J.R.; Da Silva, D.F.; Da Rocha, J.L.C.; Brandão, H.N.; Borges, V.M.; Umsza-Guez, M.A. Chemical characterization and biological activity of six different extracts of propolis through conventional methods and supercritical extraction. PLoS ONE 2018, 13, e0207676. [Google Scholar] [CrossRef]
- Machado, B.A.S.; Silva, R.P.D.; Barreto, G.D.A.; Costa, S.S.; Da Silva, D.F.; Brandão, H.N.; Da Rocha, J.L.C.; Dellagostin, O.A.; Henriques, J.A.P.; Umsza-Guez, M.A.; et al. Chemical composition and biological activity of extracts obtained by supercritical extraction and ethanolic extraction of brown, green and red propolis derived from different geographic regions in Brazil. PLoS ONE 2016, 11, e0145954. [Google Scholar] [CrossRef]
- Rufatto, L.C.; Luchtenberg, P.; Garcia, C.; Thomassigny, C.; Bouttier, S.; Henriques, J.A.P.; Roesch-Ely, M.; Dumas, F.; Moura, S. Brazilian red propolis: Chemical composition and antibacterial activity determined using bioguided fractionation. Microbiol. Res. 2018, 214, 74–82. [Google Scholar] [CrossRef]
- De Oliveira Reis, J.H.; De Abreu Barreto, G.; Cerqueira, J.C.; Dos Anjos, J.P.; Andrade, L.N.; Padilha, F.F.; Druzian, J.I.; MacHado, B.A.S. Evaluation of the antioxidant profile and cytotoxic activity of red propolis extracts from different regions of northeastern Brazil obtained by conventional and ultrasoundassisted extraction. PLoS ONE 2019, 14, e0219063. [Google Scholar] [CrossRef]
- Sforcin, J.M. Biological Properties and Therapeutic Applications of Propolis. Phyther. Res. 2016, 30, 894–905. [Google Scholar] [CrossRef]
- Trusheva, B.; Trunkova, D.; Bankova, V. Different extraction methods of biologically active components from propolis; a preliminary study. Chem. Cent. J. 2007, 1. [Google Scholar] [CrossRef] [PubMed]
- Walczak-skierska, J. The Influence of Plant Material Enzymatic Hydrolysis and Extraction Conditions on the Polyphenolic Profiles and Antioxidant Activity of Extracts: A Green and E ffi cient Approach. Molecules 2020, 25, 2074. [Google Scholar]
- Manjare, S.D.; Dhingra, K. Supercritical fluids in separation and purification: A review. Mater. Sci. Energy Technol. 2019, 2, 463–484. [Google Scholar] [CrossRef]
- Palsikowski, P.A.; Besen, L.M.; Santos, K.A.; da Silva, C.; da Silva, E.A. Supercritical CO2 oil extraction from Bauhinia forficata link subsp. pruinosa leaves: Composition, antioxidant activity and mathematical modeling. J. Supercrit. Fluids 2019, 153. [Google Scholar] [CrossRef]
- Essien, S.O.; Young, B.; Baroutian, S. Recent advances in subcritical water and supercritical carbon dioxide extraction of bioactive compounds from plant materials. Trends Food Sci. Technol. 2020, 97, 156–169. [Google Scholar] [CrossRef]
- Yousefi, M.; Rahimi-Nasrabadi, M.; Pourmortazavi, S.M.; Wysokowski, M.; Jesionowski, T.; Ehrlich, H.; Mirsadeghi, S. Supercritical fluid extraction of essential oils. TrAC Trends Anal. Chem. 2019, 118, 182–193. [Google Scholar] [CrossRef]
- Arias, J.; Mejía, J.; Córdoba, Y.; Martínez, J.R.; Stashenko, E.; del Valle, J.M. Optimization of flavonoids extraction from Lippia graveolens and Lippia origanoides chemotypes with ethanol-modified supercritical CO2 after steam distillation. Ind. Crops Prod. 2020, 146, 112170. [Google Scholar] [CrossRef]
- Devani, B.M.; Jani, B.L.; Balani, P.C.; Akbari, S.H. Optimization of supercritical CO2 extraction process for oleoresin from rotten onion waste. Food Bioprod. Process. 2020, 119, 287–295. [Google Scholar] [CrossRef]
- Machado, B.A.S.; De Abreu Barreto, G.; Costa, A.S.; Costa, S.S.; Silva, R.P.D.; Da Silva, D.F.; Brandao, H.N.; Da Rocha, J.L.C.; Nunes, S.B.; Umsza-Guez, M.A.; et al. Determination of parameters for the supercritical extraction of antioxidant compounds from green propolis using carbon dioxide and ethanol as co-solvent. PLoS ONE 2015, 10, e0134489. [Google Scholar] [CrossRef]
- Fachri, B.A.; Sari, P.; Yuwanti, S.; Subroto, E. Experimental study and modeling on supercritical CO2 extraction of Indonesian raw propolis using response surface method: Influence of pressure, temperature and CO2 mass flowrate on extraction yield. Chem. Eng. Res. Des. 2020, 153, 452–462. [Google Scholar] [CrossRef]
- Biscaia, D.; Ferreira, S.R.S. Propolis extracts obtained by low pressure methods and supercritical fluid extraction. J. Supercrit. Fluids 2009, 51, 17–23. [Google Scholar] [CrossRef]
- Monroy, Y.M.; Rodrigues, R.A.F.; Rodrigues, M.V.N.; Sant, A.S.; Silva, B.S.; Cabral, F.A. Brazilian green propolis extracts obtained by conventional processes and by processes at high pressure with supercritical carbon dioxide, ethanol and water. J. Supercrit. Fluids 2017, 130, 189–197. [Google Scholar] [CrossRef]
- Catchpole, O.J.; Grey, J.B.; Mitchell, K.A.; Lan, J.S. Supercritical antisolvent fractionation of propolis tincture. J. Supercrit. Fluids 2004, 29, 97–106. [Google Scholar] [CrossRef]
- Machado, B.A.S.; de Oliveira Reis, J.H.; de Souza, A.L.B.; Druzian, J.I.; Pessoa, F.L.P. Extraction of Propolis Using Supercritical Carbon Dioxide; Elsevier Inc.: Amsterdam, The Netherlands, 2020; ISBN 9780128173886. [Google Scholar]
- Machado, B.A.S.; Nunes, S.B.; Padilha, F.F.; de Guedes, C.M.C.; Costa, A.S.; Umsza-Guez, M.A.; Silva, R.P.D.; Dantas, R.P. Processo para obtenção de ácido 3,5-diprenyl-4-hidroxicinâmico (artepelin C) em extrato de própolis verde utilizando dióxido de carbono supercrítico e co-solvente. BR Patent BR1020140320121, 19 December 2014. [Google Scholar]
- Wu, J.; Luyu, Q. Supercritical Multiple Extraction of Bee Glue. CN Patent CN1258511, 5 July 2000. [Google Scholar]
- Teixeira, É.W.; Negri, G.; Meira, R.M.S.A.; Message, D.; Salatino, A. Plant origin of green propolis: Bee behavior, plant anatomy and chemistry. Evid. Based Complement. Altern. Med. 2005, 2, 85–92. [Google Scholar] [CrossRef]
- da Silva, R.P.F.F.; Rocha-Santos, T.A.P.; Duarte, A.C. Supercritical fluid extraction of bioactive compounds. TrAC Trends Anal. Chem. 2016, 76, 40–51. [Google Scholar] [CrossRef]
- Albuquerque, C.L.C.; Meireles, M.A.A. Defatting of annatto seeds using supercritical carbon dioxide as a pretreatment for the production of bixin: Experimental, modeling and economic evaluation of the process. J. Supercrit. Fluids 2012, 66, 86–95. [Google Scholar] [CrossRef]
- Mazzutti, S.; Riehl, C.A.S.; Ibañez, E.; Ferreira, S.R.S. Green-based methods to obtain bioactive extracts from Plantago major and Plantago lanceolata. J. Supercrit. Fluids 2017, 119, 211–220. [Google Scholar] [CrossRef]
- Pourmortazavi, S.M.; Hajimirsadeghi, S.S. Supercritical fluid extraction in plant essential and volatile oil analysis. J. Chromatogr. A 2007, 1163, 2–24. [Google Scholar] [CrossRef] [PubMed]
- Teixeira, G.L.; Maciel, L.G.; Mazzutti, S.; Gonçalves, C.B.; Ferreira, S.R.S.; Block, J.M. Composition, thermal behavior and antioxidant activity of pracaxi (Pentaclethra macroloba) seed oil obtained by supercritical CO2. Biocatal. Agric. Biotechnol. 2020, 24, 101521. [Google Scholar] [CrossRef]
- Hall, R.M.; Mayer, D.A.; Mazzutti, S.; Ferreira, S.R.S. Simulating large scale SFE applied to recover bioactive compounds from papaya seeds. J. Supercrit. Fluids 2018, 140, 302–309. [Google Scholar] [CrossRef]
- Salinas, F.; Vardanega, R.; Espinosa-Álvarez, C.; Jimenéz, D.; Muñoz, W.B.; Ruiz-Domínguez, M.C.; Meireles, M.A.A.; Cerezal-Mezquita, P. Supercritical fluid extraction of chañar (Geoffroea decorticans) almond oil: Global yield, kinetics and oil characterization. J. Supercrit. Fluids 2020, 161. [Google Scholar] [CrossRef]
- Ferreira, S.R.S.; Meireles, M.A.A. Modeling the supercritical fluid extraction of black pepper (Piper nigrum L.) essential oil. J. Food Eng. 2002, 54, 263–269. [Google Scholar] [CrossRef]
- De Melo, M.M.R.; Silvestre, A.J.D.; Silva, C.M. Supercritical fluid extraction of vegetable matrices: Applications, trends and future perspectives of a convincing green technology. J. Supercrit. Fluids 2014, 92, 115–176. [Google Scholar] [CrossRef]
- De Zordi, N.; Cortesi, A.; Kikic, I.; Moneghini, M.; Solinas, D.; Innocenti, G.; Portolan, A.; Baratto, G.; Dall’Acqua, S. The supercritical carbon dioxide extraction of polyphenols from Propolis: A central composite design approach. J. Supercrit. Fluids 2014, 95, 491–498. [Google Scholar] [CrossRef]
- Oroian, M.; Ursachi, F.; Dranca, F. Influence of ultrasonic amplitude, temperature, time and solvent concentration on bioactive compounds extraction from propolis. Ultrason. Sonochem. 2020, 64, 105021. [Google Scholar] [CrossRef]
- Paviani, L.C.; Saito, E.; Dariva, C.; Marcucci, M.C.; Sánchez-Camargo, A.P.; Cabral, F.A. Supercritical CO2 extraction of raw propolis and its dry ethanolic extract. Braz. J. Chem. Eng. 2012, 29, 243–251. [Google Scholar] [CrossRef]
- Salazar, M.A.R.; Costa, J.V.; Urbina, G.R.O.; Cunha, V.M.B.; Silva, M.P.; Bezerra, P.d.N.; Pinheiro, W.B.S.; Gomes-Leal, W.; Lopes, A.S.; Junior, R.N.C. Chemical composition, antioxidant activity, neuroprotective and anti-inflammatory effects of cipó-pucá (Cissus sicyoides L.) extracts obtained from supercritical extraction. J. Supercrit. Fluids 2018. [Google Scholar] [CrossRef]
- Temelli, F. Solubility behavior of ternary systems of lipids, cosolvents and supercritical carbon dioxide and processing aspects. J. Supercrit. Fluids 2005, 36, 1–15. [Google Scholar] [CrossRef]
- Zabaiou, N.; Fouache, A.; Trousson, A.; Baron, S.; Zellagui, A.; Lahouel, M.; Lobaccaro, J.M.A. Biological properties of propolis extracts: Something new from an ancient product. Chem. Phys. Lipids 2017, 207, 214–222. [Google Scholar] [CrossRef]
- Taddeo, V.A.; Epifano, F.; Fiorito, S.; Genovese, S. Comparison of different extraction methods and HPLC quantification of prenylated and unprenylated phenylpropanoids in raw Italian propolis. J. Pharm. Biomed. Anal. 2016, 129, 219–223. [Google Scholar] [CrossRef] [PubMed]
- da Silva Frozza, C.O.; Garcia, C.S.C.; Gambato, G.; de Souza, M.D.O.; Salvador, M.; Moura, S.; Padilha, F.F.; Seixas, F.K.; Collares, T.; Borsuk, S.; et al. Chemical characterization, antioxidant and cytotoxic activities of Brazilian red propolis. Food Chem. Toxicol. 2013, 52, 137–142. [Google Scholar] [CrossRef] [PubMed]
- de Souza, A.R.C.; Guedes, A.R.; Folador Rodriguez, J.M.; Bombardelli, M.C.M.; Corazza, M.L. Extraction of Arctium Lappa leaves using supercritical CO2 + ethanol: Kinetics, chemical composition, and bioactivity assessments. J. Supercrit. Fluids 2018, 140, 137–146. [Google Scholar] [CrossRef]
- Guedes, A.R.; de Souza, A.R.C.; Turola Barbi, R.C.; Nottar Escobar, E.L.; Zanoello, É.F.; Corazza, M.L. Extraction of Synadenium grantii Hook f. using conventional solvents and supercritical CO2 + ethanol. J. Supercrit. Fluids 2020, 160, 8–10. [Google Scholar] [CrossRef]
- Saito, É.; Sacoda, P.; Paviani, L.C.; Paula, J.T.; Cabral, F.A. Conventional and supercritical extraction of phenolic compounds from Brazilian red and green propolis. Sep. Sci. Technol. 2020, 1–8. [Google Scholar] [CrossRef]
- Sodeifian, G.; Sajadian, S.A.; Saadati Ardestani, N. Optimization of essential oil extraction from Launaea acanthodes Boiss: Utilization of supercritical carbon dioxide and cosolvent. J. Supercrit. Fluids 2016, 116, 46–56. [Google Scholar] [CrossRef]
- Cruz, P.N.; Fetzer, D.L.; do Amaral, W.; de Andrade, E.F.; Corazza, M.L.; Masson, M.L. Antioxidant activity and fatty acid profile of yacon leaves extracts obtained by supercritical CO2 + ethanol solvent. J. Supercrit. Fluids 2019, 146, 55–64. [Google Scholar] [CrossRef]
- López, B.G.C.; Schmidt, E.M.; Eberlin, M.N.; Sawaya, A.C.H.F. Phytochemical markers of different types of red propolis. Food Chem. 2014, 146, 174–180. [Google Scholar] [CrossRef]
- Hanski, L.; Genina, N.; Uvell, H.; Malinovskaja, K.; Gylfe, Å.; Laaksonen, T.; Kolakovic, R.; Mäkilä, E.; Salonen, J.; Hirvonen, J.; et al. Inhibitory activity of the isoflavone biochanin a on intracellular bacteria of genus Chlamydia and initial development of a buccal formulation. PLoS ONE 2014, 9, e115115. [Google Scholar] [CrossRef]
- Li, Z.; Dong, X.; Zhang, J.; Zeng, G.; Zhao, H.; Liu, Y.; Qiu, R.; Mo, L.; Ye, Y. Formononetin protects TBI rats against neurological lesions and the underlying mechanism. J. Neurol. Sci. 2014, 338, 112–117. [Google Scholar] [CrossRef]
- Batista, C.M.; Alves, A.V.F.; Queiroz, L.A.; Lima, B.S.; Filho, R.N.P.; Araújo, A.A.S.; de Albuquerque Júnior, R.L.C.; Cardoso, J.C. The photoprotective and anti-inflammatory activity of red propolis extract in rats. J. Photochem. Photobiol. B Biol. 2018, 180, 198–207. [Google Scholar] [CrossRef]
- Freires, I.A.; De Alencar, S.M.; Rosalen, P.L. A pharmacological perspective on the use of Brazilian Red Propolis and its isolated compounds against human diseases. Eur. J. Med. Chem. 2016, 110, 267–279. [Google Scholar] [CrossRef]
- Bueno-Silva, B.; Marsola, A.; Ikegaki, M.; Alencar, S.M.; Rosalen, P.L. The effect of seasons on Brazilian red propolis and its botanical source: Chemical composition and antibacterial activity. Nat. Prod. Res. 2017, 31, 1318–1324. [Google Scholar] [CrossRef]
- Arena, R.; Manuguerra, S.; Collins, E.; Mahdhi, A.; Renda, G.; Messina, C.M.; Santulli, A. Antioxidant properties of a supercritical fluid extract of the halophyte Mesembryanthemum nodiflorum L. from sicilian coasts: Nutraceutical and cosmeceutical applications. Appl. Sci. 2020, 10, 2374. [Google Scholar] [CrossRef]
- Silva, C.F.; Moura, F.C.; Mendes, M.F.; Pessoa, F.L.P. Extraction of citronella (Cymbopogon nardus) essential oil using supercritical CO2: Experimental data and mathematical modeling. Braz. J. Chem. Eng. 2011, 28, 343–350. [Google Scholar] [CrossRef]
- Rai, A.; Mohanty, B.; Bhargava, R. Fitting of broken and intact cell model to supercritical fluid extraction (SFE) of sunflower oil. Innov. Food Sci. Emerg. Technol. 2016, 38, 32–40. [Google Scholar] [CrossRef]
- de Siqueira Pereira, C.S.; Pelegrini Pessoa, F.L.; Mendonça, S.; de Aquino Ribeiro, J.A.; Mendes, M.F. Technical and Economic Evaluation of Phorbol Esters Extraction from Jatropha Curcas Seed Cake using Supercritical Carbon Dioxide. Am. J. Biomass Bioenergy 2016. [Google Scholar] [CrossRef]
- Sato, T.; Fukuda, F.; Nihei, K.I.; Itoh, N. Effect of temperature and pressure on the extraction of strawberry receptacles with a mixture of supercritical carbon dioxide and entrainers. J. Supercrit. Fluids 2017, 130, 23–29. [Google Scholar] [CrossRef]
- Ahmed, Z.; Abdeslam-Hassan, M.; Ouassila, L.; Danielle, B. Extraction and modeling of Algerian Rosemary essential oil using supercritical CO2: Effect of pressure and temperature. Energy Procedia 2012, 18, 1038–1046. [Google Scholar] [CrossRef]
- Barroso, P.T.W.; de Carvalho, P.P.; Rocha, T.B.; Pessoa, F.L.P.; Azevedo, D.A.; Mendes, M.F. Evaluation of the composition of Carica papaya L. seed oil extracted with supercritical CO2. Biotechnol. Rep. 2016, 11, 110–116. [Google Scholar] [CrossRef]
- Fujii, T.; Kawasaki, S.I. Effects of process parameters on vanillin partition coefficient in water-supercritical CO2 extraction. Fluid Phase Equilib. 2019, 485, 153–157. [Google Scholar] [CrossRef]
- Humayun, R.; Tomasko, D.L. High-resolution adsorption isotherms of supercritical carbon dioxide on activated carbon. AIChE J. 2000, 46, 2065–2075. [Google Scholar] [CrossRef]
- Natolino, A.; Da Porto, C. Supercritical carbon dioxide extraction of pomegranate (Punica granatum L.) seed oil: Kinetic modelling and solubility evaluation. J. Supercrit. Fluids 2019, 151, 30–39. [Google Scholar] [CrossRef]
- Bandeira, Á.; De Azevedo, A.; Kieckbusch, T.G.; Tashima, A.K.; Sadeg, R.; Mazzafera, P.; Alexandre, S.; Vieira, B. Supercritical CO2 recovery of caffeine from green coffee oil: New experimental solubility data and modeling. Quim. Nova 2008, 31, 1319–1323. [Google Scholar] [CrossRef][Green Version]
- Rodrigues, M.F.F.; Sousa, I.M.O.; Vardanega, R.; Nogueira, G.C.; Meireles, M.A.A.; Foglio, M.A.; Marchese, J.A. Techno-economic evaluation of artemisinin extraction from Artemisia annua L. using supercritical carbon dioxide. Ind. Crops Prod. 2019, 132, 336–343. [Google Scholar] [CrossRef]
- Cadena-Carrera, S.; Tramontin, D.P.; Bella Cruz, A.; Bella Cruz, R.C.; Müller, J.M.; Hense, H. Biological activity of extracts from guayusa leaves (Ilex guayusa Loes.) obtained by supercritical CO2 and ethanol as cosolvent. J. Supercrit. Fluids 2019, 152. [Google Scholar] [CrossRef]
- Cossey, H.L.; Guigard, S.E.; Underwood, E.; Stiver, W.H.; McMillan, J.; Bhattacharya, S. Supercritical fluid extraction of bitumen using chemically modified carbon dioxide. J. Supercrit. Fluids 2019, 154, 104599. [Google Scholar] [CrossRef]
- Chien, J.T.; Hsieh, H.C.; Kao, T.H.; Chen, B.H. Kinetic model for studying the conversion and degradation of isoflavones during heating. Food Chem. 2005, 91, 425–434. [Google Scholar] [CrossRef]
- Dong, C.; Li, Z.; Liu, F.; Wei, W.; Wang, X.; Liu, Z. Effects of supercritical fluid parameters and emulsion formulation on the production of quercetin nanocapsules by supercritical fluid extraction of emulsion. Chem. Eng. Sci. 2019, 205, 190–200. [Google Scholar] [CrossRef]
- Macías-Sánchez, M.D.; Mantell, C.; Rodríguez, M.; Martínez De La Ossa, E.; Lubián, L.M.; Montero, O. Supercritical fluid extraction of carotenoids and chlorophyll a from Nannochloropsis gaditana. J. Food Eng. 2005, 66, 245–251. [Google Scholar] [CrossRef]
- Majdoub, S.; El, R.; Aslan, A.; Piras, A. Effect of pressure variation on the efficiency of supercritical fluid extraction of wild carrot (Daucus carota subsp. maritimus) extracts. J. Chromatogr. B 2019, 1125, 121713. [Google Scholar] [CrossRef]
- Giesbrecht, H.O.; de Minas, R.B.A. Indicações geográficas brasileiras: Mel e própolis.Brazilian geographical indications: Honey and propolis. Indicaciones geográficas brasileñas: Miel y propóleo. Sebrae INPI 2016, 1–47. [Google Scholar]
- Singleton, V.L.; Rossi, J.A. Colorimetry of Total Phenolics with Phosphomolybdic-Phosphotungstic Acid Reagents. Am. J. Enol. Vitic. 1965, 16, 144–158. [Google Scholar]
- Tesh, R.B.; Watts, D.M.; Russell, K.L.; Damodaran, C.; Calampa, C.; Cabezas, C.; Ramirez, G.; Vasquez, B.; Hayes, C.G.; Rossi, C.A.; et al. Mayaro Virus Disease: An Emerging Mosquito-Borne Zoonosis in Tropical South America. Clin. Infect. Dis. 1999, 28, 67–73. [Google Scholar] [CrossRef]
- Meda, A.; Lamien, C.E.; Romito, M.; Millogo, J.; Nacoulma, O.G. Determination of the total phenolic, flavonoid and proline contents in Burkina Fasan honey, as well as their radical scavenging activity. Food Chem. 2005, 91, 571–577. [Google Scholar] [CrossRef]
- Molyneux, P. The use of the stable free radical diphenylpicryl-hydrazyl (DPPH) for estimating anti-oxidant activity. Songklanakarin J. Sci. Technol. 2004, 26, 211–219. [Google Scholar]
- Brand-Williams, W.; Cuvelier, M.E.; Berset, C. Use of a free radical method to evaluate antioxidant activity. LWT Food Sci. Technol. 1995, 28, 25–30. [Google Scholar] [CrossRef]
- Salgueiro, F.B.; Castro, R.N. Comparação entre a composição química e capacidade antioxidante de diferentes extratos de própolis verde. Quim. Nova 2016, 39, 1192–1199. [Google Scholar] [CrossRef]
- Cabral, I.S.R.; Oldoni, T.L.C.; Prado, A.; Bezerra, R.M.N.; De Alencar, S.M.; Ikegaki, M.; Rosalen, P.L. Composição fenólica, atividade antibacteriana e antioxidante da própolis vermelha brasileira. Quim. Nova 2009, 32, 1523–1527. [Google Scholar] [CrossRef]
Sample Availability: Not available. |









| Experiment Number | S/F | Mass Yield of Extract (g) | Accumulated Yield (%) and Extract Mass (g) | Phenolic Compounds (mg GAE/g) | Antioxidant Activity (%) |
|---|---|---|---|---|---|
| 1 | 7.28 | 0.04 ± 0.01 | 1 (0.04 ± 0.01) | 170 ± 20 | 20 ± 4 |
| 2 | 14.56 | 0.04 ± 0.01 | 1 (0.09 ± 0.01) | 200 ± 10 | 30 ± 2 |
| 3 | 21.84 | 0.04 ± 0.01 | 2 (0.1 ± 0.01) | 210 ± 4 | 20 ± 1 |
| 4 | 29.13 | 0.03 ± 0.01 | 2 (0.2 ± 0.01) | 200 ± 20 | 20 ± 1 |
| 5 | 43.69 | 0.03 ± 0.01 | 3 (0.2 ± 0.01) | 200 ± 10 | 30 ± 1 |
| 6 | 58.25 | 0.04 ± 0.01 | 3 (0.2 ± 0.01) | 200 ± 20 | 30 ± 4 |
| 7 | 72.82 | 0.04 ± 0.01 | 4 (0.3 ± 0.01) | 180 ± 20 | 30 ± 0.2 |
| 8 | 87.38 | 0.04 ± 0.01 | 4 (0.3 ± 0.01) | 220 ± 10 | 30 ± 2 |
| 9 | 109.22 | 0.03 ± 0.01 | 4 (0.3 ± 0.01) | 220 ± 5 | 30 ± 2 |
| 10 | 131.07 | 0.03 ± 0.01 | 5 (0.4 ± 0.01) | 230 ± 21 | 30 ± 1 |
| 11 | 152.91 | 0.03 ± 0.01 | 5 (0.4 ± 0.01) | 190 ± 20 | 20 ± 1 |
| 12 | 174.76 | 0.02 ± 0.01 | 6 (0.4 ± 0.01) | 160 ± 1 | 20 ± 4 |
| 13 | 196.60 | 0.02 ± 0.01 | 6 (0.4 ± 0.01) | 210 ± 30 | 20 ± 2 |
| Analyses | |||||
|---|---|---|---|---|---|
| Cosolvent Parameters (% w/w) | Total Phenolic Compounds (mgGAE/g) | Flavonoids (mgQE/g) | IC50 (DPPH●) (µg/g) | Formononetin (mg/g) | Kaempferol (mg/g) |
| 0 | 440 ± 40 a | 1 ± 0.03 c | 200 ± 2 b | 1 ± 0.2 b | 1 ± 0.1 b |
| 1 | 460 ± 70 a | 6 ± 0.20 b | 140 ± 2 a | 2 ± 1 b | 1 ± 1 b |
| 2 | 510 ± 80 a | 9 ± 0.1 a | 190 ± 12 b | 1 ± 1 b | 1 ± 0.1 b |
| 4 | 690 ± 200 a | 6 ± 2 b | 140 ± 14 a | 7 ± 2 a | 2 ± 0.3 a |
Publisher’s Note: MDPI stays neutral with regard to jurisdictional claims in published maps and institutional affiliations. |
© 2020 by the authors. Licensee MDPI, Basel, Switzerland. This article is an open access article distributed under the terms and conditions of the Creative Commons Attribution (CC BY) license (http://creativecommons.org/licenses/by/4.0/).
Share and Cite
Reis, J.H.d.O.; Machado, B.A.S.; Barreto, G.d.A.; Anjos, J.P.d.; Fonseca, L.M.d.S.; Santos, A.A.B.; Pessoa, F.L.P.; Druzian, J.I. Supercritical Extraction of Red Propolis: Operational Conditions and Chemical Characterization. Molecules 2020, 25, 4816. https://doi.org/10.3390/molecules25204816
Reis JHdO, Machado BAS, Barreto GdA, Anjos JPd, Fonseca LMdS, Santos AAB, Pessoa FLP, Druzian JI. Supercritical Extraction of Red Propolis: Operational Conditions and Chemical Characterization. Molecules. 2020; 25(20):4816. https://doi.org/10.3390/molecules25204816
Chicago/Turabian StyleReis, João Henrique de Oliveira, Bruna Aparecida Souza Machado, Gabriele de Abreu Barreto, Jeancarlo Pereira dos Anjos, Larissa Moraes dos Santos Fonseca, Alex Alisson Bandeira Santos, Fernando Luiz Pellegrini Pessoa, and Janice Izabel Druzian. 2020. "Supercritical Extraction of Red Propolis: Operational Conditions and Chemical Characterization" Molecules 25, no. 20: 4816. https://doi.org/10.3390/molecules25204816
APA StyleReis, J. H. d. O., Machado, B. A. S., Barreto, G. d. A., Anjos, J. P. d., Fonseca, L. M. d. S., Santos, A. A. B., Pessoa, F. L. P., & Druzian, J. I. (2020). Supercritical Extraction of Red Propolis: Operational Conditions and Chemical Characterization. Molecules, 25(20), 4816. https://doi.org/10.3390/molecules25204816

