Pimarane Diterpenoids from the Seeds of Caesalpinia minax as PTP1B Inhibitors and Insulin Sensitizers
Abstract
1. Introduction
2. Results and Discussions
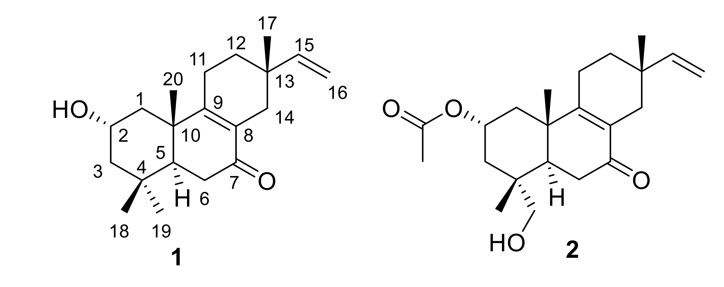
2.1. Structure Elucidation
2.2. PTP1B Inhibitory Activity
2.3. Glucose Uptake Stimulatory Property on C2C12 Myotubes
3. Materials and Methods
3.1. General Experimental Procedures
3.2. Plant Material
3.3. Extraction, Isolation and Characterization of Compounds
3.3.1. α-Hydroxy-7-oxo-pimara-8(9),15-diene (1)
3.3.2. 19-Hydroxy-2α-acetoxy-7-oxo-pimara-8(9),15-diene (2)
3.4. PTP1B Assay
3.5. Cell Culture
3.6. Cell Viability
3.7. Insulin Stimulated Glucose Uptake
3.8. Western Blot Analysis
3.9. Statistical Analysis
4. Conclusions
Supplementary Materials
Author Contributions
Funding
Conflicts of Interest
References
- Yu, Z.H.; Zhang, Z.Y. Regulatory mechanisms and novel therapeutic targeting strategies for protein tyrosine phosphatases. Chem. Rev. 2018, 118, 1069–1091. [Google Scholar] [CrossRef] [PubMed]
- Maheshwari, N.; Karthikeyan, C.; Trivedi, P.; Moorthy, N. Recent advances in protein tyrosine phosphatase 1B targeted drug discovery for type II diabetes and obesity. Curr. Drug Targets 2018, 19, 551–575. [Google Scholar] [CrossRef] [PubMed]
- Zhang, Z.Y.; Lee, S.Y. PTP1B inhibitors as potential therapeutics in the treatment of type 2 diabetes and obesity. Expert Opin. Investig. Drugs 2003, 12, 223–233. [Google Scholar] [CrossRef] [PubMed]
- Lantz, K.A.; Hart, S.G.; Planey, S.L.; Roitman, M.F.; Ruiz-White, I.A.; Wolfe, H.R.; McLane, M.P. Inhibition of PTP1B by trodusquemine (MSI-1436) causes fat-specific weight loss in diet-induced obese mice. Obesity 2010, 18, 1516–1523. [Google Scholar] [CrossRef] [PubMed]
- Jiang, C.S.; Liang, L.F.; Guo, Y.W. Natural products possessing protein tyrosine phosphatase 1B (PTP1B) inhibitory activity found in the last decades. Acta Pharmacol. Sin. 2012, 33, 1217–1245. [Google Scholar] [CrossRef]
- Zhao, B.T.; Nguyen, D.H.; Le, D.D.; Choi, J.S.; Min, B.S.; Woo, M.H. Protein tyrosine phosphatase 1B inhibitors from natural sources. Arch. Pharmacal Res. 2018, 41, 130–161. [Google Scholar] [CrossRef]
- Nanjing University of Traditional Chinese Medicine. Dictionary of Chinese Traditional Medicine; Shanghai People’s Publishing House: Shanghai, China, 2005; Volune 1, p. 3913. [Google Scholar]
- Bao, H.; Zhang, L.L.; Liu, Q.Y.; Feng, L.; Ye, Y.; Lu, J.J.; Lin, L.G. Cytotoxic and pro-apoptotic effects of cassane diterpenoids from the seeds of Caesalpina sappan in cancer cells. Molecules 2016, 21, 791. [Google Scholar] [CrossRef]
- Zanin, J.L.B.; De Carvalho, B.A.; Martineli, P.S.; Dos Santos, M.H.; Lago, J.H.G.; Sartorelli, P.; Viegas, C., Jr.; Soares, M.G. Of the genus Caesalpinia L. (Caesalpiniaceae): Phytochemical and pharmacological characteristics. Molecules 2012, 17, 7887–7902. [Google Scholar] [CrossRef]
- Yodsaoue, O.; Karalai, C.; Ponglimanont, C.; Tewtrakul, S.; Chantrapromma, S. Pulcherrins D-R, potential anti-inflammatory diterpenoids from the roots of Caesalpinia pulcherrima. Tetrahedron 2011, 67, 6838–6846. [Google Scholar] [CrossRef]
- Xiao, F.; Tang, C.P.; Ke, C.Q.; Yao, S.; Ye, Y. Rearranged diterpenoids from the seeds of Caesalpinia sappan. Chin. Chem. Lett. 2016, 27, 1751–1754. [Google Scholar] [CrossRef]
- Pinto, A.C.; Silva, A.J.R.; Mayer, L.M.U.; Braz, R.F. Compactone, a new diterpenoid from Vellozia compacta. Phytochem. Lett. 1979, 18, 2036–2037. [Google Scholar] [CrossRef]
- Touche, E.M.G.; Lopez, E.G.; Reyes, A.; Sanchez, H.; Honecker, F.; Achenbach, H. Parryin, a diterpene with a tricyclic 6-7-5-ring system from Salvia parryi. Phytochemistry 1997, 45, 387–390. [Google Scholar] [CrossRef]
- Nogueira, M.S.; Da Costa, F.B.; Brun, R.; Kaiser, M.; Schmidt, T.J. Ent-Pimarane and ent-kaurane diterpenes from Aldama discolor (Asteraceae) and their antiprotozoal activity. Molecules 2016, 21, 1237. [Google Scholar] [CrossRef] [PubMed]
- Zhou, J.; Zuo, Z.; Liu, J.; Zhang, H.; Zheng, G.; Yao, G. Discovery of highly functionalized 5,6-seco-grayanane diterpenoids as potent competitive PTP1B inhibitors. Org. Chem. Front. 2020, 7, 820–828. [Google Scholar] [CrossRef]
- Cornish-Bowden, A.; Eisenthal, R. Statistical considerations in the estimation of enzyme kinetic parameters by the direct linear plot andother methods. Biochem. J. 1974, 139, 721–730. [Google Scholar] [CrossRef]
- Dixon, M. The determination of enzyme inhibitor constants. Biochem. J. 1953, 55, 170–171. [Google Scholar] [CrossRef]
- Shen, S.; Liao, Q.; Zhang, T.; Pan, R.; Lin, L. Myricanol modulates skeletal muscle-adipose tissue crosstalk to alleviate high-fat diet-induced obesity and insulin resistance. Br. J. Pharmacol. 2019, 176, 3983–4001. [Google Scholar] [CrossRef]
- Shen, S.; Liao, Q.; Liu, J.; Pan, R.; Lee, S.M.; Lin, L. Myricanol rescues dexamethasone-induced muscle dysfunction via a sirtuin 1-dependent mechanism. J. Cachexia Sarcopenia Muscle 2019, 10, 429–444. [Google Scholar] [CrossRef]
- Taniguchi, C.M.; Emanuelli, B.; Kahn, C.R. Critical nodes in signalling pathways: Insights into insulin action. Nat. Rev. Mol. Cell. Biol. 2006, 7, 85–96. [Google Scholar] [CrossRef]
- Nguyen, P.H.; Tuan, H.N.; Hoang, D.T.; Vu, Q.T.; Pham, M.Q.; Tran, M.H.; To, D.C. Glucose uptake stimulatory and PTP1B inhibitory activities of pimarane diterpenes from Orthosiphon stamineus Benth. Biomolecules 2019, 9, 859. [Google Scholar] [CrossRef]
- Fang, Z.; Shen, S.; Wang, J.; Wu, Y.; Zhou, C.; Mo, J.; Lin, L.; Gan, L. Triterpenoids from Cyclocarya paliurus that enhance glucose uptake in 3T3-L1 adipocyts. Molecules 2019, 24, 187. [Google Scholar] [CrossRef] [PubMed]
- Li, D.; Liu, Q.; Sun, W.; Chen, X.; Wang, Y.; Sun, Y.; Lin, L. 1,3,6,7-Tetrahydroxy-8-prenylxanthone ameliorates inflammatory responses resulting from the paracrine interaction of adipocytes and macrophages. Br. J. Pharmacol. 2018, 175, 1590–1606. [Google Scholar] [CrossRef] [PubMed]
- Li, D.; Liu, Q.; Lu, X.; Li, Z.; Wang, C.; Leung, C.; Wang, Y.; Peng, C.; Lin, L. α-Mangostin remodels visceral adipose tissue inflammation to ameliorate age-related metabolic disorders in mice. Aging 2019, 11, 11084–11110. [Google Scholar] [CrossRef] [PubMed]
Sample Availability: Samples of the compounds are available from the authors. |



| Position | 1 | 2 | ||
|---|---|---|---|---|
| δH (J in Hz) a | δCb | δH (J in Hz) | δC | |
| 1 | α 2.21, m | 45.0 | α 2.21, m | 40.8 |
| β 1.21, m | β 1.32, t (11.7) | |||
| 2 | 3.99, tt (11.5, 4.1) | 65.1 | 5.16, tt (11.7, 4.3) | 68.4 |
| 3 | α 1.85, ddd (12.5, 4.1, 2.2) | 50.5 | α 1.69, m | 40.0 |
| β 1.20, m | β 1.63, m | |||
| 4 | ‒ | 34.8 | ‒ | 39.0 |
| 5 | 1.71, m | 49.4 | 2.13, m | 42.3 |
| 6 | α 2.53, m | 35.3 | α 2.45, dd (17.6, 4.0) | 34.9 |
| β 2.36, m | β 2.35, m | |||
| 7 | ‒ | 199.7 | ‒ | 199.1 |
| 8 | ‒ | 129.1 | ‒ | 129.3 |
| 9 | ‒ | 164.6 | ‒ | 164.3 |
| 10 | ‒ | 41.2 | ‒ | 40.8 |
| 11 | α 2.31, m | 22.9 | α 2.25, m | 22.9 |
| β 2.25, m | β 2.21, m | |||
| 12 | 1.44‒1.52, m (2H) | 33.1 | 1.45‒1.49, m (2H) | 33.5 |
| 13 | ‒ | 33.6 | ‒ | 34.3 |
| 14 | α 2.34, m | 33.6 | α 2.32, m | 33.0 |
| β 1.99, m | β 1.97, m | |||
| 15 | 5.74, dd (17.4, 10.8) | 147.2 | 5.73, dd (17.4, 10.8) | 147.1 |
| 16 | 4.90, m (2H) | 111.0 | 4.90, m (2H) | 111.0 |
| 17 | 0.95, s | 24.9 | 0.95, s | 24.9 |
| 18 | 0.96, s | 32.6 | 3.43, 3.15, d (10.9) | 70.1 |
| 19 | 0.97, s | 22.4 | 0.94, s | 18.2 |
| 20 | 1.10, s | 19.5 | 1.18, s | 19.8 |
| 2-OCOCH3 | ‒ | ‒ | ‒ | 170.7 |
| 2-OCOCH3 | ‒ | ‒ | 2.05, s | 21.6 |
© 2020 by the authors. Licensee MDPI, Basel, Switzerland. This article is an open access article distributed under the terms and conditions of the Creative Commons Attribution (CC BY) license (http://creativecommons.org/licenses/by/4.0/).
Share and Cite
Xu, Y.; Feng, Z.; Zhang, T.; Lv, P.; Cao, J.; Li, D.; Peng, C.; Lin, L. Pimarane Diterpenoids from the Seeds of Caesalpinia minax as PTP1B Inhibitors and Insulin Sensitizers. Molecules 2020, 25, 4674. https://doi.org/10.3390/molecules25204674
Xu Y, Feng Z, Zhang T, Lv P, Cao J, Li D, Peng C, Lin L. Pimarane Diterpenoids from the Seeds of Caesalpinia minax as PTP1B Inhibitors and Insulin Sensitizers. Molecules. 2020; 25(20):4674. https://doi.org/10.3390/molecules25204674
Chicago/Turabian StyleXu, Yunshao, Zheling Feng, Tian Zhang, Peng Lv, Jun Cao, Dan Li, Cheng Peng, and Ligen Lin. 2020. "Pimarane Diterpenoids from the Seeds of Caesalpinia minax as PTP1B Inhibitors and Insulin Sensitizers" Molecules 25, no. 20: 4674. https://doi.org/10.3390/molecules25204674
APA StyleXu, Y., Feng, Z., Zhang, T., Lv, P., Cao, J., Li, D., Peng, C., & Lin, L. (2020). Pimarane Diterpenoids from the Seeds of Caesalpinia minax as PTP1B Inhibitors and Insulin Sensitizers. Molecules, 25(20), 4674. https://doi.org/10.3390/molecules25204674

