Photochemistry of the Cloud Aqueous Phase: A Review
Abstract
1. Introduction
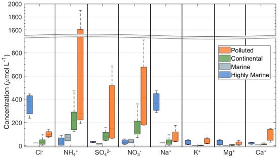
2. Cloud Water Composition
Physicochemical Parameters
3. Cloud Aqueous Phase Reactivity
- Implicit models, with simplified reactivity and empirical relationships, to give a quick and direct glance of dissolved organic matter or aerosol transformations;
- Explicit models, with a detailed description of the reactivity. These models are able to give precise degradation and formation pathways of organic compounds and radicals but they are only available for some compounds.
3.1. Reactivity in the Dark
| (R1) | Fe2+ + H2O2 Fe3+ + HO• + HO− |
3.2. Photochemical Reactivity
3.2.1. Photolysis
3.2.2. Photosensitized Reactions
3.3. Photochemistry in Cloud Water
3.4. Main Oxidants in Cloud Water
3.4.1. Hydrogen Peroxide
Sources
| (R2) | HO2• + HO2• H2O2 + O2 | k11 = 8.3 × 105 M−1s−1 * |
| (R3) | HO2• + H2O (HO2•−H2O) | k12 = 9.7 × 107 M−1s−1 * |
| (R4) | HO2• + (HO2•−H2O) H2O2 + O2 + H2O | k13 = 9.6 × 107 M−1s−1 * |
| (R5) | (HO2•−H2O) + (HO2•−H2O) H2O2 + O2 + 2H2O | k14 = 9.6 × 107 M−1s−1 * |
| (R6) | HO2• O2•− + H+ | pka = 4.88 |
| (R7) | Fe(II) + O2•− + 2H+ Fe(III) + H2O2 | k16 = 1.2 ÷ 2.1×106 M−1s−1 * |
| (R8) | Fe(II) + O2 Fe(III) + O2•− | pH dependent |
| (R9) | O2•− + HO2•+ H2O H2O2 + O2 + HO− | k18 = 9.7 × 107 M−1s−1 * |
| (R10) | CH3OOH + hν CH3O• + HO• | |
| (R11) | CH3O• + O2 H2CO + HO2• | |
| * Constants from the National Institute of Standard and Technology (NIST) Solution Kinetics Database. | ||
Steady State Concentration
Sinks in the Liquid Phase
| (R12) | H2O2 + hν 2HO• | |
| (R13) | H2O2 + HO• HO2• + H2O | k22 = 3.2 × 107 M−1s−1 * |
| * Constants from NIST (National Institute of Standard and Technology) Solution Kinetics Database. | ||
3.4.2. Nitrate Radical
Sources
| (R14) | NO3− + hν NO2• + O•− |
| (R15) | NO2− + hν NO• + O•− |
Steady State Concentration and Sinks
| (R16) | NO3• + hν < 635 nm NO2• + O(1D) | |
| (R17) | NO3• + hν < 586 nm NO• + O2 | |
| (R18) | NO3• + Cl− Cl• + NO3− | k30 = 1.0 ×107 ÷ 1.0×108 M−1s−1 * |
| (R19) | NO3• + HSO3− SO3•− + NO3− + H+ | k31 = 1.4 ÷ 2.0 × 109 M−1s−1 * |
| * Constants from the National Institute of Standard and Technology (NIST) Solution Kinetics Database. | ||
4. Hydroxyl Radical
4.1. Sources in the Aqueous Phase
4.1.1. Hydrogen Peroxide
4.1.2. Iron Photochemistry
| (R20) | Fe(III)(OH)2+ + hν Fe2+ + HO• |
| (R21) | Fe(II)(OH)+ + H2O2 Fe(OH)2+ + HO• + HO− |
| (R22) | Fe(II)(C2O4) + H2O2 Fe(C2O4)+ + HO• + HO− |
| (R23) | Cu+ + Fe3+ Cu2+ + Fe2+ | k = 1.3 × 107 M−1s−1 [121] |
4.1.3. Nitrate and Nitrite Photolysis
| (R24) | NO3− + hν NO2− + O(3P) | Φ(NO2−)305nm = 0.72 ÷ 1.22 × 10−3 [132] |
| Φ(NO2−)313nm = 1.1 ± 0.2 × 10−2 [133] | ||
| (R25) | O•− + H2O HO− + HO• | |
| (R26) | O(3P) + H2O 2HO• | |
| (R27) | NO2• + HO• HNO3 | |
| (R28) | HNO3 + hν NO3− + H+ | |
| (R29) | HNO3 + hν NO2• + HO• | |
| (R30) | NO2• + O2•− NO2− + O2 | |
| (R31) | 2NO2• N2O4 | |
| (R32) | 2NO2• + H2O NO2− + NO3− + 2H+ | |
| (R33) | N2O4 + H2O NO2− + NO3− + 2H+ | |
| (R34) | NO2− + HO• NO2• + HO− |
| (R35) | HNO2 + hν NO• + HO• |
| (R36) | HNO2 H+ + NO2− pka = 3.35 |
| (R37) | O•− + H2O HO− + HO• |
4.2. Reactivity
| (R38) | HO• + Fe2+ Fe3+ + HO− | |
| (R39) | HO• + Cl− HClO•− | |
| (R40) | HO• + Fe2+ Fe2+HO• Fe3+ + OH− |
4.3. Hydroxyl Radical Sinks
4.4. Steady State Concentration
5. Conclusions
Author Contributions
Funding
Acknowledgments
Conflicts of Interest
Abbreviations
| H2O2 | hydrogen peroxide |
| HNO2 | nitrous acid |
| HO• | hydroxyl radicals |
| HO2• | hydroperoxide radical |
| NO2• | nitrite radical |
| NO3• | nitrate radical |
| O2•− | superoxide radical anion |
| O3 | ozone |
| TMI | transition metals ions |
| VOC | volatile organic compounds |
| WSOC | water soluble organic carbon |
| [HO•]ss | HO• steady state concentration |
| CCN | cloud condensation nuclei |
| CDOM | chromophoric dissolved organic matter |
| DOC | dissolved organic carbon |
| HULIS | humic-like substances |
| IN | ice nuclei |
| LMC | large molecular compounds |
| LWC | liquid water content |
| RfHO• | HO• formation rate |
| SOA | secondary organic aerosols |
| TIC | total ionic current |
References
- Leriche, M.; Deguillaume, L.; Chaumerliac, N. Modeling study of strong acids formation and partitioning in a polluted cloud during wintertime. J. Geophys. Res.-Atmos. 2003, 108, 4433. [Google Scholar] [CrossRef]
- Ervens, B. Modeling the processing of aerosol and trace gases in clouds and fogs. Chem. Rev. 2015, 115, 4157–4198. [Google Scholar] [CrossRef] [PubMed]
- Goldstein, A.H.; Koven, C.D.; Heald, C.L.; Fung, I.Y. Biogenic carbon and anthropogenic pollutants combine to form a cooling haze over the southeastern United States. Proc. Natl. Acad. Sci. USA 2009, 106, 8835–8840. [Google Scholar] [CrossRef] [PubMed]
- Herrmann, H.; Schaefer, T.; Tilgner, A.; Styler, S.A.; Weller, C.; Teich, M.; Otto, T. Tropospheric aqueous-phase chemistry: Kinetics, mechanisms, and its coupling to a changing gas phase. Chem. Rev. 2015, 115, 4259–4334. [Google Scholar] [CrossRef] [PubMed]
- Baek, S.O.; Field, R.A.; Goldstone, M.E.; Kirk, P.W.; Lester, J.N.; Perry, R. A review of atmospheric polycyclic aromatic hydrocarbons: Sources, fate and behavior. Water Air Soil Pollut. 1991, 60, 279–300. [Google Scholar] [CrossRef]
- Romanazzi, V.; Casazza, M.; Malandrino, M.; Maurino, V.; Piano, A.; Schilirò, T.; Gilli, G. PM10 size distribution of metals and environmental-sanitary risk analysis in the city of Torino. Chemosphere 2014, 112, 210–216. [Google Scholar] [CrossRef]
- World Health Organization. How Air Pollution Is Destroying Our Health. 2019. Available online: https://www.who.int/airpollution/news-and-events/how-air-pollution-is-destroying-our-health (accessed on 16 January 2020).
- Chang, D.Y.; Lelieveld, J.; Tost, H.; Steil, B.; Pozzer, A.; Yoon, J. Aerosol physicochemical effects on CCN activation simulated with the chemistry-climate model EMAC. Atmos. Environ. 2017, 162, 127–140. [Google Scholar] [CrossRef]
- Elm, J.; Passananti, M.; Kurtén, T.; Vehkamäki, H. Diamines can initiate new particle formation in the atmosphere. J. Phys. Chem. A 2017, 121, 6155–6164. [Google Scholar] [CrossRef]
- Lehtipalo, K.; Yan, C.; Dada, L.; Bianchi, F.; Xiao, M.; Wagner, R.; Stolzenburg, D.; Ahonen, L.R.; Amorim, A.; Baccarini, A.; et al. Multicomponent new particle formation from sulfuric acid, ammonia, and biogenic vapors. Science 2018, 4, eaau5363. [Google Scholar] [CrossRef]
- Stolzenburg, D.; Fischer, L.; Vogel, A.L.; Heinritzi, M.; Schervish, M.; Simon, M.; Wagner, A.C.; Dada, L.; Ahonen, L.R.; Amorim, A.; et al. Rapid growth of organic aerosol nanoparticles over a wide tropospheric temperature range. Proc. Natl. Acad. Sci. USA 2018, 115, 9122. [Google Scholar] [CrossRef]
- Surratt, J.D.; Gómez-González, Y.; Chan, A.W.H.; Vermeylen, R.; Shahgholi, M.; Kleindienst, T.E.; Edney, E.O.; Offenberg, J.H.; Lewandowski, M.; Jaoui, M.; et al. Organosulfate formation in biogenic secondary organic aerosol. J. Phys. Chem. A 2008, 112, 8345–8378. [Google Scholar] [CrossRef] [PubMed]
- Hodzic, A.; Kasibhatla, P.S.; Jo, D.S.; Cappa, C.D.; Jimenez, J.L.; Madronich, S.; Park, R.J. Rethinking the global secondary organic aerosol (SOA) budget: Stronger production, faster removal, shorter lifetime. Atmos. Chem. Phys. 2016, 16, 7917–7941. [Google Scholar] [CrossRef]
- Deguillaume, L.; Charbouillot, T.; Joly, M.; Vaïtilingom, M.; Parazols, M.; Marinoni, A.; Amato, P.; Delort, A.-M.; Vinatier, V.; Flossmann, A.; et al. Classification of clouds sampled at the puy de Dôme (France) based on 10 yr of monitoring of their physicochemical properties. Atmos. Chem. Phys. 2014, 14, 1485–1506. [Google Scholar] [CrossRef]
- Herckes, P.; Valsaraj, K.T.; Collett, J.L. A review of observations of organic matter in fogs and clouds: Origin, processing and fate. Atmos. Res. 2013, 132–133, 434–449. [Google Scholar] [CrossRef]
- van Pinxteren, D.; Plewka, A.; Hofmann, D.; Müller, K.; Kramberger, H.; Svrcina, B.; Bächmann, K.; Jaeschke, W.; Mertes, S.; Collett, J.L.; et al. Schmücke hill cap cloud and valley stations aerosol characterisation during FEBUKO (II): Organic compounds. Atmos. Environ. 2005, 39, 4305–4320. [Google Scholar] [CrossRef]
- Bianco, A.; Voyard, G.; Deguillaume, L.; Mailhot, G.; Brigante, M. Improving the characterization of dissolved organic carbon in cloud water: Amino acids and their impact on the oxidant capacity. Sci. Rep. 2016, 6, 37420. [Google Scholar] [CrossRef]
- Herrmann, H. Kinetics of aqueous phase reactions relevant for atmospheric chemistry. Chem. Rev. 2003, 103, 4691–4716. [Google Scholar] [CrossRef]
- Pöschl, U. Atmospheric aerosols: Composition, transformation, climate and health effects. Angew. Chem. Int. Ed. 2005, 44, 7520–7540. [Google Scholar] [CrossRef]
- Hegg, D.A.; Hobbs, P.V. Cloud water chemistry and the production of sulfates in clouds. Atmos. Environ. (1967) 1981, 15, 1597–1604. [Google Scholar] [CrossRef]
- Weathers, K.C.; Likens, G.E.; Bormann, F.H.; Bicknell, S.H.; Bormann, B.T.; Daube, B.C.; Eaton, J.S.; Galloway, J.N.; Keene, W.C. Cloudwater chemistry from ten sites in North America. Environ. Sci. Technol. 1988, 22, 1018–1026. [Google Scholar] [CrossRef]
- Collett, J.; Oberholzer, B.; Staehelin, J. Cloud chemistry at Mt Rigi, Switzerland: Dependence on drop size and relationship to precipitation chemistry. Atmos. Environ. 1993, 27, 33–42. [Google Scholar] [CrossRef]
- Marinoni, A.; Laj, P.; Sellegri, K.; Mailhot, G. Cloud chemistry at the Puy de Dôme: Variability and relationships with environmental factors. Atmos. Chem. Phys. 2004, 4, 715–728. [Google Scholar] [CrossRef]
- Aleksic, N.; Roy, K.; Sistla, G.; Dukett, J.; Houck, N.; Casson, P. Analysis of cloud and precipitation chemistry at Whiteface Mountain, NY. Atmos. Environ. 2009, 43, 2709–2716. [Google Scholar] [CrossRef]
- Chameides, W.L.; Davis, D.D. The free radical chemistry of cloud droplets and its impact upon the composition of rain. J. Geophys. Res.-Atmos. 1982, 87, 4863. [Google Scholar] [CrossRef]
- Ghauri, B.M.; Ishaq Mirza, M.; Richter, R.; Dutkiewicz, V.A.; Rusheed, A.; Khan, A.R.; Husain, L. Composition of aerosols and cloud water at a remote mountain site (2.8 kms) in Pakistan. Chemosphere 2001, 3, 51–63. [Google Scholar] [CrossRef]
- Lee, A.K.Y.; Hayden, K.L.; Herckes, P.; Leaitch, W.R.; Liggio, J.; Macdonald, A.M.; Abbatt, J.P.D. Characterization of aerosol and cloud water at a mountain site during WACS 2010: Secondary organic aerosol formation through oxidative cloud processing. Atmos. Chem. Phys. 2012, 12, 7103–7116. [Google Scholar] [CrossRef]
- Deguillaume, L.; Leriche, M.; Desboeufs, K.; Mailhot, G.; George, C.; Chaumerliac, N. Transition metals in atmospheric liquid phases: Sources, reactivity, and sensitive parameters. Chem. Rev. 2005, 105, 3388–3431. [Google Scholar] [CrossRef]
- Schneider, J.; Mertes, S.; van Pinxteren, D.; Herrmann, H.; Borrmann, S. Uptake of nitric acid, ammonia, and organics in orographic clouds: Mass spectrometric analyses of droplet residual and interstitial aerosol particles. Atmos. Chem. Phys. 2017, 17, 1571–1593. [Google Scholar] [CrossRef]
- Acker, K.; Möller, D.; Wieprecht, W.; Kalaß, D.; Auel, R. Investigations of ground-based clouds at the Mt. Brocken. Fresenius J. Anal. Chem. 1998, 361, 59–64. [Google Scholar] [CrossRef]
- Herckes, P.; Mirabel, P.; Wortham, H. Cloud water deposition at a high-elevation site in the Vosges Mountains (France). Sci. Total Environ. 2002, 296, 59–75. [Google Scholar] [CrossRef]
- Löflund, M.; Kasper-Giebl, A.; Schuster, B.; Giebl, H.; Hitzenberger, R.; Puxbaum, H. Formic, acetic, oxalic, malonic and succinic acid concentrations and their contribution to organic carbon in cloud water. Atmos. Environ. 2002, 36, 1553–1558. [Google Scholar] [CrossRef]
- Sellegri, K.; Laj, P.; Marinoni, A.; Dupuy, R.; Legrand, M.; Preunkert, S. Contribution of gaseous and particulate species to droplet solute composition at the Puy de Dôme, France. Atmos. Chem. Phys. 2003, 3, 1509–1522. [Google Scholar] [CrossRef]
- Reyes-Rodríguez, G.J.; Gioda, A.; Mayol-Bracero, O.L.; Collett, J. Organic carbon, total nitrogen, and water-soluble ions in clouds from a tropical montane cloud forest in Puerto Rico. Atmos. Environ. 2009, 43, 4171–4177. [Google Scholar] [CrossRef]
- Gioda, A.; Mayol-Bracero, O.L.; Morales-García, F.; Collett, J.; Decesari, S.; Emblico, L.; Facchini, M.C.; Morales-De Jesús, R.J.; Mertes, S.; Borrmann, S.; et al. Chemical composition of cloud water in the puerto rican tropical trade wind cumuli. Water Air Soil Pollut. 2009, 200, 3–14. [Google Scholar] [CrossRef][Green Version]
- Guo, J.; Wang, Y.; Shen, X.; Wang, Z.; Lee, T.; Wang, X.; Li, P.; Sun, M.; Collett, J.L.; Wang, W.; et al. Characterization of cloud water chemistry at Mount Tai, China: Seasonal variation, anthropogenic impact, and cloud processing. Atmos. Environ. 2012, 60, 467–476. [Google Scholar] [CrossRef]
- van Pinxteren, D.; Fomba, K.W.; Mertes, S.; Müller, K.; Spindler, G.; Schneider, J.; Lee, T.; Collett, J.L.; Herrmann, H. Cloud water composition during HCCT-2010: Scavenging efficiencies, solute concentrations, and droplet size dependence of inorganic ions and dissolved organic carbon. Atmos. Chem. Phys. 2016, 16, 3185–3205. [Google Scholar] [CrossRef]
- Li, J.; Wang, X.; Chen, J.; Zhu, C.; Li, W.; Li, C.; Liu, L.; Xu, C.; Wen, L.; Xue, L.; et al. Chemical composition and droplet size distribution of cloud at the summit of Mount Tai, China. Atmos. Chem. Phys. 2017, 17, 9885–9896. [Google Scholar] [CrossRef]
- Cini, R.; Prodi, F.; Santachiara, G.; Porcù, F.; Bellandi, S.; Stortini, A.M.; Oppo, C.; Udisti, R.; Pantani, F. Chemical characterization of cloud episodes at a ridge site in Tuscan Appennines, Italy. Atmos. Res. 2002, 61, 311–334. [Google Scholar] [CrossRef]
- Fomba, K.W.; van Pinxteren, D.; Müller, K.; Iinuma, Y.; Lee, T.; Collett, J.L.; Herrmann, H. Trace metal characterization of aerosol particles and cloud water during HCCT 2010. Atmos. Chem. Phys. 2015, 15, 8751–8765. [Google Scholar] [CrossRef]
- Plessow, K.; Acker, K.; Heinrichs, H.; Möller, D. Time study of trace elements and major ions during two cloud events at the Mt. Brocken. Atmos. Environ. 2001, 35, 367–378. [Google Scholar] [CrossRef]
- Liu, X.; Wai, K.-M.; Wang, Y.; Zhou, J.; Li, P.; Guo, J.; Xu, P.; Wang, W. Evaluation of trace elements contamination in cloud/fog water at an elevated mountain site in Northern China. Chemosphere 2012, 88, 531–541. [Google Scholar] [CrossRef] [PubMed]
- Bianco, A.; Vaïtilingom, M.; Bridoux, M.; Chaumerliac, N.; Pichon, J.-M.; Piro, J.-L.; Deguillaume, L. Trace metals in cloud water sampled at the puy de Dôme station. Atmosphere 2017, 8, 225. [Google Scholar] [CrossRef]
- Winiwarter, W.; Fierlinger, H.; Puxbaum, H.; Facchini, M.C.; Arends, B.G.; Fuzzi, S.; Schell, D.; Kaminski, U.; Pahl, S.; Schneider, T.; et al. Henry’s law and the behavior of weak acids and bases in fog and cloud. J. Atmos. Chem. 1994, 19, 173–188. [Google Scholar] [CrossRef]
- Keene, W.C.; Mosher, B.W.; Jacob, D.J.; Munger, J.W.; Talbot, R.W.; Artz, R.S.; Maben, J.R.; Daube, B.C.; Galloway, J.N. Carboxylic acids in clouds at a high-elevation forested site in central Virginia. J. Geophys. Res.-Atmos. 1995, 100, 9345. [Google Scholar] [CrossRef]
- Laj, P.; Fuzzi, S.; Facchini, M.C.; Lind, J.A.; Orsi, G.; Preiss, M.; Maser, R.; Jaeschke, W.; Seyffer, E.; Helas, G.; et al. Cloud processing of soluble gases. Atmos. Environ. 1997, 31, 2589–2598. [Google Scholar] [CrossRef]
- Bianco, A.; Passananti, M.; Deguillaume, L.; Mailhot, G.; Brigante, M. Tryptophan and tryptophan-like substances in cloud water: Occurrence and photochemical fate. Atmos. Environ. 2016, 137, 53–61. [Google Scholar] [CrossRef]
- Acker, K.; Muller, D.; Wieprecht, W.; Naumann, St. Mt. Brocken, a site for a cloud chemistry measurement programme in Central Europe. Water Air Soil Pollut. 1995, 85, 1979–1984. [Google Scholar] [CrossRef]
- Poulain, L.; Katrib, Y.; Isikli, E.; Liu, Y.; Wortham, H.; Mirabel, P.; Calvé, S.L.; Monod, A. In-cloud multiphase behaviour of acetone in the troposphere: Gas uptake, Henry’s law equilibrium and aqueous phase photooxidation. Chemosphere 2010, 81, 312–320. [Google Scholar] [CrossRef]
- Lehtipalo, K.; Rondo, L.; Kontkanen, J.; Schobesberger, S.; Jokinen, T.; Sarnela, N.; Kürten, A.; Ehrhart, S.; Franchin, A.; Nieminen, T.; et al. The effect of acid–base clustering and ions on the growth of atmospheric nano-particles. Nat. Commun. 2016, 7, 11594. [Google Scholar] [CrossRef]
- Dunne, E.M.; Gordon, H.; Kürten, A.; Almeida, J.; Duplissy, J.; Williamson, C.; Ortega, I.K.; Pringle, K.J.; Adamov, A.; Baltensperger, U.; et al. Global atmospheric particle formation from CERN CLOUD measurements. Science 2016, 354, 1119. [Google Scholar] [CrossRef]
- Charbouillot, T.; Gorini, S.; Voyard, G.; Parazols, M.; Brigante, M.; Deguillaume, L.; Delort, A.-M.; Mailhot, G. Mechanism of carboxylic acid photooxidation in atmospheric aqueous phase: Formation, fate and reactivity. Atmos. Environ. 2012, 56, 1–8. [Google Scholar] [CrossRef]
- Monod, A.; Chevallier, E.; Jolibois, R.D.; Doussin, J.; Picquet-Varrault, B.; Carlier, P. Photooxidation of methylhydroperoxide and ethylhydroperoxide in the aqueous phase under simulated cloud droplet conditions. Atmos. Environ. 2007, 41, 2412–2426. [Google Scholar] [CrossRef]
- Möller, D.; Acker, K.; Wieprecht, W. A relationship between liquid water content and chemical composition in clouds. Atmos. Res. 1996, 41, 321–335. [Google Scholar] [CrossRef]
- Aleksic, N.; Dukett, J.E. Probabilistic relationship between liquid water content and ion concentrations in cloud water. Atmos. Res. 2010, 98, 400–405. [Google Scholar] [CrossRef]
- Kawamura, K.; Steinberg, S.; Ng, L.; Kaplan, I.R. Wet deposition of low molecular weight mono- and di-carboxylic acids, aldehydes and inorganic species in Los Angeles. Atmos. Environ. 2001, 35, 3917–3926. [Google Scholar] [CrossRef]
- Wang, S.-H.; Lin, N.-H.; OuYang, C.-F.; Wang, J.-L.; Campbell, J.R.; Peng, C.-M.; Lee, C.-T.; Sheu, G.-R.; Tsay, S.-C. Impact of Asian dust and continental pollutants on cloud chemistry observed in northern Taiwan during the experimental period of ABC/EAREX 2005. J. Geophys. Res.-Atmos. 2010, 115, D00K24. [Google Scholar] [CrossRef]
- Collett, J.L.; Bator, A.; Sherman, D.E.; Moore, K.F.; Hoag, K.J.; Demoz, B.B.; Rao, X.; Reilly, J.E. The chemical composition of fogs and intercepted clouds in the United States. Atmos. Res. 2002, 64, 29–40. [Google Scholar] [CrossRef]
- Watanabe, K.; Takebe, Y.; Sode, N.; Igarashi, Y.; Takahashi, H.; Dokiya, Y. Fog and rain water chemistry at Mt. Fuji: A case study during the September 2002 campaign. Atmos. Res. 2006, 82, 652–662. [Google Scholar] [CrossRef]
- Schwab, J.J.; Casson, P.; Brandt, R.; Husain, L.; Dutkewicz, V.; Wolfe, D.; Demerjian, K.L.; Civerolo, K.L.; Rattigan, O.V.; Felton, H.D.; et al. Atmospheric chemistry measurements at Whiteface Mountain, NY: Cloud water chemistry, precipitation chemistry, and particulate matter. Aerosol Air Qual. Res. 2016, 16, 841–854. [Google Scholar] [CrossRef]
- Budhavant, K.B.; Rao, P.S.P.; Safai, P.D.; Granat, L.; Rodhe, H. Chemical composition of the inorganic fraction of cloud-water at a high altitude station in West India. Atmos. Environ. 2014, 88, 59–65. [Google Scholar] [CrossRef]
- Walling, C. Intermediates in the reactions of Fenton type reagents. Accounts Chem. Res. 1998, 31, 155–157. [Google Scholar] [CrossRef]
- Enami, S.; Sakamoto, Y.; Colussi, A.J. Fenton chemistry at aqueous interfaces. Proc. Natl. Acad. Sci. USA 2014, 111, 623–628. [Google Scholar] [CrossRef] [PubMed]
- Perraudin, E.; Budzinski, H.; Villenave, E. Kinetic study of the reactions of ozone with polycyclic aromatic hydrocarbons adsorbed on atmospheric model particles. J. Atmos. Chem. 2006, 56, 57–82. [Google Scholar] [CrossRef]
- Miet, K.; Le Menach, K.; Flaud, P.M.; Budzinski, H.; Villenave, E. Heterogeneous reactions of ozone with pyrene, 1-hydroxypyrene and 1-nitropyrene adsorbed on particles. Atmos. Environ. 2009, 43, 3699–3707. [Google Scholar] [CrossRef]
- Monod, A.; Carlier, P. Impact of clouds on the tropospheric ozone budget: Direct effect of multiphase photochemistry of soluble organic compounds. Atmos. Environ. 1999, 33, 4431–4446. [Google Scholar] [CrossRef]
- Ivanov, A.V.; Trakhtenberg, S.; Bertram, A.K.; Gershenzon, Y.M.; Molina, M.J. OH, HO2, and ozone gaseous diffusion coefficients. J. Phys. Chem. A 2007, 111, 1632–1637. [Google Scholar] [CrossRef]
- Anglada, J.M.; Martins-Costa, M.; Ruiz-Lopez, M.F.; Francisco, J.S. Spectroscopic signatures of ozone at the air-water interface and photochemistry implications. Proc. Natl. Acad. Sci. USA 2014, 111, 11618–11623. [Google Scholar] [CrossRef]
- Finlayson-Pitts, B.J. Chemistry of the Upper and Lower Atmosphere; Elsevier: Amsterdam, The Netherlands, 2000; ISBN 978-0-12-257060-5. [Google Scholar]
- Reed Harris, A.E.; Ervens, B.; Shoemaker, R.K.; Kroll, J.A.; Rapf, R.J.; Griffith, E.C.; Monod, A.; Vaida, V. Photochemical kinetics of pyruvic acid in aqueous solution. J. Phys. Chem. A 2014, 118, 8505–8516. [Google Scholar] [CrossRef]
- Kaur, R.; Anastasio, C. First measurements of organic triplet excited states in atmospheric waters. Environ. Sci. Technol. 2018, 52, 5218–5226. [Google Scholar] [CrossRef]
- Faust, B.C. Photochemistry of clouds, fogs, and aerosols. Environ. Sci. Tech. 1994, 28, 216A–222A. [Google Scholar] [CrossRef]
- Herrmann, H.; Tilgner, A.; Barzaghi, P.; Majdik, Z.; Gligorovski, S.; Poulain, L.; Monod, A. Towards a more detailed description of tropospheric aqueous phase organic chemistry: CAPRAM 3.0. Atmos. Environ. 2005, 39, 4351–4363. [Google Scholar] [CrossRef]
- Herrmann, H.; Jacobi, H.-W.; Raabe, G.; Reese, A.; Zellner, R. Laser-spectroscopic laboratory studies of atmospheric aqueous phase free radical chemistry. Fresenius J. Anal. Chem. 1996, 355, 343–344. [Google Scholar] [CrossRef] [PubMed][Green Version]
- Huie, R.E.; Clifton, C.L.; Neta, P. Electron transfer reaction rates and equilibria of the carbonate and sulfate radical anions. Radiat. Phys. Chem. 1991, 38, 477–481. [Google Scholar] [CrossRef]
- Kwong, K.C.; Chim, M.M.; Davies, J.F.; Wilson, K.R.; Chan, M.N. Importance of sulfate radical anion formation and chemistry in heterogeneous OH oxidation of sodium methyl sulfate, the smallest organosulfate. Atmos. Chem. Phys. 2018, 18, 2809–2820. [Google Scholar] [CrossRef]
- Wang, X.; Jacob, D.J.; Eastham, S.D.; Sulprizio, M.P.; Zhu, L.; Chen, Q.; Alexander, B.; Sherwen, T.; Evans, M.J.; Lee, B.H.; et al. The role of chlorine in global tropospheric chemistry. Atmos. Chem. Phys. 2019, 19, 3981–4003. [Google Scholar] [CrossRef]
- Hung, H.-M.; Hoffmann, M.R. Oxidation of gas-phase SO2 on the surfaces of acidic microdroplets: Implications for sulfate and sulfate radical anion formation in the atmospheric liquid phase. Environ. Sci. Tech. 2015, 49, 13768–13776. [Google Scholar] [CrossRef]
- Herrmann, H.; Hoffmann, D.; Schaefer, T.; Bräuer, P.; Tilgner, A. Tropospheric aqueous-phase free-radical chemistry: Radical sources, spectra, reaction kinetics and prediction tools. ChemPhysChem 2010, 11, 3796–3822. [Google Scholar] [CrossRef]
- Anastasio, C.; Faust, B.C.; Allen, J.M. Aqueous phase photochemical formation of hydrogen peroxide in authentic cloud waters. J. Geophys. Res.-Atmos. 1994, 99, 8231–8248. [Google Scholar] [CrossRef]
- Mouchel-Vallon, C.; Deguillaume, L.; Monod, A.; Perroux, H.; Rose, C.; Ghigo, G.; Long, Y.; Leriche, M.; Aumont, B.; Patryl, L.; et al. CLEPS 1.0: A new protocol for cloud aqueous phase oxidation of VOC mechanisms. Geosci. Model. Dev. 2017, 10, 1339–1362. [Google Scholar] [CrossRef]
- Leriche, M.; Pinty, J.-P.; Mari, C.; Gazen, D. A cloud chemistry module for the 3-D cloud-resolving mesoscale model Meso-NH with application to idealized cases. Geosci. Model Dev. 2013, 6, 1275–1298. [Google Scholar] [CrossRef]
- Zuo, Y.; Hoigne, J. Formation of hydrogen peroxide and depletion of oxalic acid in atmospheric water by photolysis of iron(III)-oxalato complexes. Environ. Sci. Technol. 1992, 26, 1014–1022. [Google Scholar] [CrossRef]
- Arakaki, T.; Faust, B.C. Sources, sinks, and mechanisms of hydroxyl radical (•OH) photoproduction and consumption in authentic acidic continental cloud waters from Whiteface Mountain, New York: The role of the Fe(r)(r= II, III) photochemical cycle. J. Geophys. Res.-Atmos. 1998, 103, 3487–3504. [Google Scholar] [CrossRef]
- Arakaki, T.; Anastasio, C.; Shu, P.G.; Faust, B.C. Aqueous-phase photoproduction of hydrogen peroxide in authentic cloud waters: Wavelength dependence, and the effects of filtration and freeze-thaw cycles. Atmos. Environ. 1995, 29, 1697–1703. [Google Scholar] [CrossRef]
- Faust, B.C.; Powell, K.; Rao, C.J.; Anastasio, C. Aqueous-phase photolysis of biacetyl (an α-dicarbonyl compound): A sink for biacetyl, and a source of acetic acid, peroxyacetic acid, hydrogen peroxide, and the highly oxidizing acetylperoxyl radical in aqueous aerosols, fogs, and clouds. Atmos. Environ. 1997, 31, 497–510. [Google Scholar] [CrossRef]
- Zuo, Y.; Deng, Y. Evidence for the production of hydrogen peroxide in rainwater by lightning during thunderstorms. Geochim. Cosmochim. Acta 1999, 63, 3451–3455. [Google Scholar] [CrossRef]
- Hua, W.; Chen, Z.M.; Jie, C.Y.; Kondo, Y.; Hofzumahaus, A.; Takegawa, N.; Chang, C.C.; Lu, K.D.; Miyazaki, Y.; Kita, K.; et al. Atmospheric hydrogen peroxide and organic hydroperoxides during PRIDE-PRD’06, China: Their concentration, formation mechanism and contribution to secondary aerosols. Atmos. Chem. Phys. 2008, 8, 6755–6773. [Google Scholar] [CrossRef]
- Lee, M.; Heikes, B.G.; O’Sullivan, D.W. Hydrogen peroxide and organic hydroperoxide in the troposphere: A review. Atmos. Environ. 2000, 34, 3475–3494. [Google Scholar] [CrossRef]
- Möller, D. Atmospheric hydrogen peroxide: Evidence for aqueous-phase formation from a historic perspective and a one-year measurement campaign. Atmos. Environ. 2009, 43, 5923–5936. [Google Scholar] [CrossRef]
- Marinoni, A.; Parazols, M.; Brigante, M.; Deguillaume, L.; Amato, P.; Delort, A.-M.; Laj, P.; Mailhot, G. Hydrogen peroxide in natural cloud water: Sources and photoreactivity. Atmos. Res. 2011, 101, 256–263. [Google Scholar] [CrossRef]
- Richards, L.W.; Anderson, J.A.; Blumenthal, D.L.; McDonald, J.A.; Kok, G.L.; Lazrus, A.L. Hydrogen peroxide and sulfur (IV) in Los Angeles cloud water. Atmos. Environ. 1983, 17, 911–914. [Google Scholar] [CrossRef]
- Bianco, A.; Passananti, M.; Perroux, H.; Voyard, G.; Mouchel-Vallon, C.; Chaumerliac, N.; Mailhot, G.; Deguillaume, L.; Brigante, M. A better understanding of hydroxyl radical photochemical sources in cloud waters collected at the puy de Dôme station—Experimental versus modelled formation rates. Atmos. Chem. Phys. 2015, 15, 9191–9202. [Google Scholar] [CrossRef]
- Vaghjiani, G.L.; Turnipseed, A.A.; Warren, R.F.; Ravishankara, A. Photodissociation of H2O2 at 193 and 222 nm: Products and quantum yields. J. Chem. Phys. 1992, 96, 5878–5886. [Google Scholar] [CrossRef]
- Hough, A.M. Development of a two-dimensional global tropospheric model: Model chemistry. J. Geophys. Res.-Atmos. 1991, 96, 7325–7362. [Google Scholar] [CrossRef]
- Kunen, S.; Lazrus, A.; Kok, G.; Heikes, B. Aqueous oxidation of SO2 by hydrogen peroxide. J. Geophys. Res.-Oceans 1983, 88, 3671–3674. [Google Scholar] [CrossRef]
- Penkett, S.; Jones, B.; Brich, K.; Eggleton, A.E. The importance of atmospheric ozone and hydrogen peroxide in oxidising sulphur dioxide in cloud and rainwater. Atmos. Environ. 1979, 13, 123–137. [Google Scholar] [CrossRef]
- Martin, L.R.; Damschen, D.E. Aqueous oxidation of sulfur dioxide by hydrogen peroxide at low pH. Atmos. Environ. 1981, 15, 1615–1621. [Google Scholar] [CrossRef]
- Mack, J.; Bolton, J.R. Photochemistry of nitrite and nitrate in aqueous solution: A review. J. Photochem. Photobiol. A 1999, 128, 1–13. [Google Scholar] [CrossRef]
- Mark, G.; Korth, H.-G.; Schuchmann, H.-P.; von Sonntag, C. The photochemistry of aqueous nitrate ion revisited. J. Photochem. Photobiol. A 1996, 101, 89–103. [Google Scholar] [CrossRef]
- Ng, N.L.; Brown, S.S.; Archibald, A.T.; Atlas, E.; Cohen, R.C.; Crowley, J.N.; Day, D.A.; Donahue, N.M.; Fry, J.L.; Fuchs, H.; et al. Nitrate radicals and biogenic volatile organic compounds: Oxidation, mechanisms, and organic aerosol. Atmos. Chem. Phys. 2017, 17, 2103–2162. [Google Scholar] [CrossRef]
- Wayne, R.P.; Barnes, I.; Biggs, P.; Burrows, J.; Canosa-Mas, C.; Hjorth, J.; Le Bras, G.; Moortgat, G.; Perner, D.; Poulet, G. The nitrate radical: Physics, chemistry, and the atmosphere. Atmos. Environ. 1991, 25, 1–203. [Google Scholar] [CrossRef]
- Thomas, K.; Volz-Thomas, A.; Mihelcic, D.; Smit, H.G.; Kley, D. On the exchange of NO 3 radicals with aqueous solutions: Solubility and sticking coefficient. J. Atmos. Chem. 1998, 29, 17–43. [Google Scholar] [CrossRef]
- Sander, R. Compilation of Henry’s law constants (version 4.0) for water as solvent. Atmos. Chem. Phys. 2015, 15, 4399–4981. [Google Scholar] [CrossRef]
- Kanakidou, M.; Seinfeld, J.H.; Pandis, S.N.; Barnes, I.; Dentener, F.J.; Facchini, M.C.; Van Dingenen, R.; Ervens, B.; Nenes, A.; Nielsen, C.J.; et al. Organic aerosol and global climate modelling: A review. Atmos. Chem. Phys. 2005, 5, 1053–1123. [Google Scholar] [CrossRef]
- Ervens, B.; Turpin, B.J.; Weber, R.J. Secondary organic aerosol formation in cloud droplets and aqueous particles (aqSOA): A review of laboratory, field and model studies. Atmos. Chem. Phys. 2011, 11, 11069–11102. [Google Scholar] [CrossRef]
- Jacob, D. Heterogeneous chemistry and tropospheric ozone. Atmos. Environ. 2000, 34, 2131–2159. [Google Scholar] [CrossRef]
- Barth, M.C. Summary of the cloud chemistry modeling intercomparison: Photochemical box model simulation. J. Geophys. Res.-Atmos. 2003, 108, 4214. [Google Scholar] [CrossRef]
- Williams, J.A.; Cooper, W.J.; Mezyk, S.P.; Bartels, D.M. Absolute rate constants for the reaction of the hydrated electron, hydroxyl radical and hydrogen atom with chloroacetones in water. Radiat. Phys. Chem. 2002, 65, 327–334. [Google Scholar] [CrossRef]
- Hanson, D.R.; Burkholder, J.B.; Howard, C.J.; Ravishankara, A.R. Measurement of hydroxyl and hydroperoxy radical uptake coefficients on water and sulfuric acid surfaces. J. Phys. Chem. 1992, 96, 4979–4985. [Google Scholar] [CrossRef]
- Faust, B.C.; Anastasio, C.; Allen, J.M.; Arakaki, T. Aqueous-phase photochemical formation of peroxides in authentic cloud and fog waters. Science 1993, 260, 73–75. [Google Scholar] [CrossRef]
- McGregor, K.G.; Anastasio, C. Chemistry of fog waters in California’s Central Valley: 2. Photochemical transformations of amino acids and alkyl amines. Atmos. Environ. 2001, 35, 1091–1104. [Google Scholar] [CrossRef]
- Kaur, R.; Anastasio, C. Light absorption and the photoformation of hydroxyl radical and singlet oxygen in fog waters. Atmos. Environ. 2017, 164, 387–397. [Google Scholar] [CrossRef]
- Sun, L.; Bolton, J.R. Determination of the quantum yield for the photochemical generation of hydroxyl radicals in TiO2 suspensions. J. Phys. Chem. 1996, 100, 4127–4134. [Google Scholar] [CrossRef]
- Yu, X.-Y.; Barker, J.R. hydrogen peroxide photolysis in acidic aqueous solutions containing chloride ions. I. Chemical mechanism. J. Phys. Chem. A 2003, 107, 1313–1324. [Google Scholar] [CrossRef]
- Chu, L.; Anastasio, C. Formation of hydroxyl radical from the photolysis of frozen hydrogen peroxide. J. Phys. Chem. A 2005, 109, 6264–6271. [Google Scholar] [CrossRef] [PubMed]
- Nie, Y.; Hu, C.; Qu, J.; Hu, X. Efficient photodegradation of Acid Red B by immobilized ferrocene in the presence of UVA and H2O2. J. Hazard. Mat. 2008, 154, 146–152. [Google Scholar] [CrossRef] [PubMed]
- Graedel, T.E.; Mandich, M.L.; Weschler, C.J. Kinetic model studies of atmospheric droplet chemistry: 2. Homogeneous transition metal chemistry in raindrops. J. Geophys. Res.-Atmos. 1986, 91, 5205. [Google Scholar] [CrossRef]
- Li, W.; Wang, Y.; Collett, J.L.; Chen, J.; Zhang, X.; Wang, Z.; Wang, W. Microscopic evaluation of trace metals in cloud droplets in an acid precipitation region. Environ. Sci. Technol. 2013, 47, 4172–4180. [Google Scholar] [CrossRef]
- Long, Y.; Charbouillot, T.; Brigante, M.; Mailhot, G.; Delort, A.-M.; Chaumerliac, N.; Deguillaume, L. Evaluation of modeled cloud chemistry mechanism against laboratory irradiation experiments: The HxOy/iron/carboxylic acid chemical system. Atmos. Environ. 2013, 77, 686–695. [Google Scholar] [CrossRef]
- Bjergbakke, E.; Sehested, K.; Rasmussen, O.L. The reaction mechanism and rate constants in the radiolysis of Fe2+ -Cu2+ solutions. Radiat. Res. 1976, 66, 433. [Google Scholar] [CrossRef]
- Tilgner, A.; Bräuer, P.; Wolke, R.; Herrmann, H. Modelling multiphase chemistry in deliquescent aerosols and clouds using CAPRAM3.0i. J. Atmos. Chem. 2013, 70, 221–256. [Google Scholar] [CrossRef]
- Hirose, K. Metal–organic matter interaction: Ecological roles of ligands in oceanic DOM. Appl. Geochem. 2007, 22, 1636–1645. [Google Scholar] [CrossRef]
- Pehkonen, S.O.; Siefert, R.; Erel, Y.; Webb, S.; Hoffmann, M.R. Photoreduction of iron oxyhydroxides in the presence of important atmospheric organic compounds. Environ. Sci. Technol. 1993, 27, 2056–2062. [Google Scholar] [CrossRef]
- Weller, C.; Tilgner, A.; Bräuer, P.; Herrmann, H. Modeling the impact of iron–carboxylate photochemistry on radical budget and carboxylate degradation in cloud droplets and particles. Environ. Sci. Technol. 2014, 48, 5652–5659. [Google Scholar] [CrossRef] [PubMed]
- Sillen, L.G.; Martell, A.E.; Bjerrum, J. Stability Constants of Metal-Ion Complexes; Chemical Society: London, UK, 1964; p. 754. [Google Scholar]
- Hider, R.C.; Kong, X. Chemistry and biology of siderophores. Nat. Prod. Rep. 2010, 27, 637–657. [Google Scholar] [CrossRef] [PubMed]
- Vinatier, V.; Wirgot, N.; Joly, M.; Sancelme, M.; Abrantes, M.; Deguillaume, L.; Delort, A.-M. Siderophores in cloud waters and potential impact on atmospheric chemistry: Production by microorganisms isolated at the puy de Dôme station. Environ. Sci. Technol. 2016, 50, 9315–9323. [Google Scholar] [CrossRef]
- Cheize, M.; Sarthou, G.; Croot, P.L.; Bucciarelli, E.; Baudoux, A.-C.; Baker, A.R. Iron organic speciation determination in rainwater using cathodic stripping voltammetry. Anal. Chim. Acta 2012, 736, 45–54. [Google Scholar] [CrossRef]
- Passananti, M.; Vinatier, V.; Delort, A.-M.; Mailhot, G.; Brigante, M. Siderophores in cloud waters and potential impact on atmospheric chemistry: Photoreactivity of iron complexes under sun-simulated conditions. Environ. Sci. Technol. 2016, 50, 9324–9332. [Google Scholar] [CrossRef]
- Zafiriou, O.C.; True, M.B. Nitrate photolysis in seawater by sunlight. Mar. Chem. 1979, 8, 33–42. [Google Scholar] [CrossRef]
- Warneck, P.; Wurzinger, C. Product quantum yields for the 305-nm photodecomposition of nitrate in aqueous solution. J. Phys. Chem. 1988, 92, 6278–6283. [Google Scholar] [CrossRef]
- Benedict, K.B.; McFall, A.S.; Anastasio, C. Quantum yield of nitrite from the photolysis of aqueous nitrate above 300 nm. Environ. Sci. Technol. 2017, 51, 4387–4395. [Google Scholar] [CrossRef]
- Tinel, L.; Rossignol, S.; Bianco, A.; Passananti, M.; Perrier, S.; Wang, X.; Brigante, M.; Donaldson, D.J.; George, C. Mechanistic insights on the photosensitized chemistry of a fatty acid at the air/water interface. Environ. Sci. Technol. 2016, 50, 11041–11048. [Google Scholar] [CrossRef] [PubMed]
- Monod, A.; Chebbi, A.; Durand-Jolibois, R.; Carlier, P. Oxidation of methanol by hydroxyl radicals in aqueous solution under simulated cloud droplet conditions. Atmos. Environ. 2000, 34, 5283–5294. [Google Scholar] [CrossRef]
- Bothe, E.; Schuchmann, M.N.; Schulte-Frohlinde, D.; Sonntag, C. von HO2 elimination from α-hydroxyalkylperoxyl radicals in aqueous solution. J. Photochem. Photobiol. 1978, 28, 639–643. [Google Scholar] [CrossRef]
- von Sonntag, C.; Dowideit, P.; Fang, X.; Mertens, R.; Pan, X.; Schuchmann, M.N.; Schuchmann, H.-P. The fate of peroxyl radicals in aqueous solution. Water Sci. Technol. 1997, 35, 9–15. [Google Scholar] [CrossRef]
- Schuchmann, M.N.; Zegota, H.; von Sonntag, C. Acetate Peroxyl Radicals,· O2CH2 CO2-: A study on the γ-radiolysis and pulse radiolysis of acetate in oxygenated aqueous solutions. Z. Naturforsch. Pt. B 1985, 40, 215–221. [Google Scholar] [CrossRef]
- Stemmler, K.; von Gunten, U. OH radical-initiated oxidation of organic compounds in atmospheric water phases: Part 1. Reactions of peroxyl radicals derived from 2-butoxyethanol in water. Atmos. Environ. 2000, 34, 4241–4252. [Google Scholar] [CrossRef]
- DeCosta, D.P.; Pincock, J.A. Control of product distribution by Marcus type electron-transfer rates for the radical pair generated in benzylic ester photochemistry. J. Am. Chem. Soc. 1989, 111, 8948–8950. [Google Scholar] [CrossRef]
- Hilborn, J.W.; Pincock, J.A. Rates of decarboxylation of acyloxy radicals formed in the photocleavage of substituted 1-naphthylmethyl alkanoates. J. Am. Chem. Soc. 1991, 113, 2683–2686. [Google Scholar] [CrossRef]
- Carlton, A.G.; Turpin, B.J.; Altieri, K.E.; Seitzinger, S.; Reff, A.; Lim, H.-J.; Ervens, B. Atmospheric oxalic acid and SOA production from glyoxal: Results of aqueous photooxidation experiments. Atmos. Environ. 2007, 41, 7588–7602. [Google Scholar] [CrossRef]
- Lim, Y.; Tan, Y.; Turpin, B. Chemical insights, explicit chemistry, and yields of secondary organic aerosol from OH radical oxidation of methylglyoxal and glyoxal in the aqueous phase. Atmos. Chem. Phys. 2013, 13, 8651–8667. [Google Scholar] [CrossRef]
- Liu, Y.; Haddad, I.E.; Scarfogliero, M.; Nieto-Gligorovski, L.; Temime-Roussel, B.; Quivet, E.; Marchand, N.; Picquet-Varrault, B.; Monod, A. In-cloud processes of methacrolein under simulated conditions–Part 1: Aqueous phase photooxidation. Atmos. Chem. Phys. 2009, 9, 5093–5105. [Google Scholar] [CrossRef]
- Schöne, L.; Schindelka, J.; Szeremeta, E.; Schaefer, T.; Hoffmann, D.; Rudzinski, K.J.; Szmigielski, R.; Herrmann, H. Atmospheric aqueous phase radical chemistry of the isoprene oxidation products methacrolein, methyl vinyl ketone, methacrylic acid and acrylic acid–kinetics and product studies. Phys. Chem. Chem. Phys. 2014, 16, 6257–6272. [Google Scholar] [CrossRef]
- Marion, A.; Brigante, M.; Mailhot, G. A new source of ammonia and carboxylic acids in cloud water: The first evidence of photochemical process involving an iron-amino acid complex. Atmos. Environ. 2018, 195, 179–186. [Google Scholar] [CrossRef]
- Vione, D.; Maurino, V.; Minero, C.; Duncianu, M.; Olariu, R.-I.; Arsene, C.; Sarakha, M.; Mailhot, G. Assessing the transformation kinetics of 2- and 4-nitrophenol in the atmospheric aqueous phase. Implications for the distribution of both nitroisomers in the atmosphere. Atmos. Environ. 2009, 43, 2321–2327. [Google Scholar] [CrossRef]
- Lee, A.K.Y.; Herckes, P.; Leaitch, W.R.; Macdonald, A.M.; Abbatt, J.P.D. Aqueous OH oxidation of ambient organic aerosol and cloud water organics: Formation of highly oxidized products. J. Geophys. Res. Let. 2011, 38, L11805. [Google Scholar] [CrossRef]
- Zhao, R.; Lee, A.K.Y.; Huang, L.; Li, X.; Yang, F.; Abbatt, J.P.D. Photochemical processing of aqueous atmospheric brown carbon. Atmos. Chem. Phys. 2015, 15, 6087–6100. [Google Scholar] [CrossRef]
- Lüttke, J.; Scheer, V.; Levsen, K.; Wünsch, G.; Neil Cape, J.; Hargreaves, K.J.; Storeton-West, R.L.; Acker, K.; Wieprecht, W.; Jones, B. Occurrence and formation of nitrated phenols in and out of cloud. Atmos. Environ. 1997, 31, 2637–2648. [Google Scholar] [CrossRef]
- Arakaki, T.; Anastasio, C.; Kuroki, Y.; Nakajima, H.; Okada, K.; Kotani, Y.; Handa, D.; Azechi, S.; Kimura, T.; Tsuhako, A.; et al. A general scavenging rate constant for reaction of hydroxyl radical with organic carbon in atmospheric waters. Environ. Sci. Technol. 2013, 47, 8196–8203. [Google Scholar] [CrossRef]
- Ervens, B.; Sorooshian, A.; Lim, Y.B.; Turpin, B.J. Key parameters controlling OH-initiated formation of secondary organic aerosol in the aqueous phase (aqSOA). J. Geophys. Res.-Atmos. 2014, 119, 3997–4016. [Google Scholar] [CrossRef]
- Tilgner, A.; Herrmann, H. Radical-driven carbonyl-to-acid conversion and acid degradation in tropospheric aqueous systems studied by CAPRAM. Atmos. Environ. 2010, 44, 5415–5422. [Google Scholar] [CrossRef]
- Lallement, A.; Vinatier, V.; Brigante, M.; Deguillaume, L.; Delort, A.M.; Mailhot, G. First evaluation of the effect of microorganisms on steady state hydroxyl radical concentrations in atmospheric waters. Chemosphere 2018, 212, 715–722. [Google Scholar] [CrossRef]




| H2O2 Average Concentration (μM) | ||||||
|---|---|---|---|---|---|---|
| Location | Altitude (m) | AMO | Min | Moy | Max | Reference |
| Puy de Dôme, France | 1465 | P | 1.9 | 4.9 | 7.3 | [14] |
| Puy de Dôme, France | 1465 | C | 1 | 9.9 | 57.7 | [14] |
| Puy de Dôme, France | 1465 | M | 0.1 | 6.2 | 20.8 | [14] |
| Puy de Dôme, France | 1465 | HM | 0.8 | 11.2 | 19 | [14] |
| Mont Smücke, Germany | 937 | C | 0.4 | 5.6 | 17 | [37] |
| Puy de Dôme, France | 1465 | M | 2.1 | 12.1 | 52.3 | [93] |
| Mont Tai, China | 1534 | P | 0 | 23.5 | 97.1 | [38] |
| λ (nm) | Φ(HO•) | Reference |
|---|---|---|
| 300 | 0.96 ± 0.09 | [114] |
| 308 | 0.98 ± 0.03 | [79] |
| 308 | 0.8 ± 0.2 | [115] |
| 313 | 0.98 ± 0.07 | [116] |
| 313 | 0.59 ± 0.01 | [76] |
| 334 | 0.98 ± 0.008 | [116] |
| 351 | 0.96 ± 0.04 | [79] |
| 360 | 0.017 | [117] |
| 365 | 0.96 ± 0.09 | [114] |
| 365 | 0.009 ± 0.001 | [76] |
| 400 | 0.96 ± 0.09 | [114] |
| Polluted Origin Cloud Water [HO•] (M) | Remote Origin Cloud Water [HO•] (M) | Marine Origin Cloud Water [HO•] (M) | ||||||
|---|---|---|---|---|---|---|---|---|
| Mean | Max | Min | Mean | Max | Min | Mean | Max | Min |
| 3.5 × 10−15 | 1.6 × 10−14 | 2.9 × 10−16 | 2.2 × 10−14 | 6.9 × 10−14 | 4.8 × 10−15 | 2.0 × 10−12 | 5.3 × 10−12 | 3.8 × 10−14 |
© 2020 by the authors. Licensee MDPI, Basel, Switzerland. This article is an open access article distributed under the terms and conditions of the Creative Commons Attribution (CC BY) license (http://creativecommons.org/licenses/by/4.0/).
Share and Cite
Bianco, A.; Passananti, M.; Brigante, M.; Mailhot, G. Photochemistry of the Cloud Aqueous Phase: A Review. Molecules 2020, 25, 423. https://doi.org/10.3390/molecules25020423
Bianco A, Passananti M, Brigante M, Mailhot G. Photochemistry of the Cloud Aqueous Phase: A Review. Molecules. 2020; 25(2):423. https://doi.org/10.3390/molecules25020423
Chicago/Turabian StyleBianco, Angelica, Monica Passananti, Marcello Brigante, and Gilles Mailhot. 2020. "Photochemistry of the Cloud Aqueous Phase: A Review" Molecules 25, no. 2: 423. https://doi.org/10.3390/molecules25020423
APA StyleBianco, A., Passananti, M., Brigante, M., & Mailhot, G. (2020). Photochemistry of the Cloud Aqueous Phase: A Review. Molecules, 25(2), 423. https://doi.org/10.3390/molecules25020423

