Abstract
Hf(OTf)4 was identified as a highly potent catalyst (0.1–0.5 mol%) for three-component Mannich reaction under solvent-free conditions. Hf(OTf)4-catalyzed Mannich reaction exhibited excellent regioselectivity and diastereoselectivity when alkyl ketones were employed as substrates. 1H NMR tracing of the H/D exchange reaction of ketones in MeOH-d4 indicated that Hf(OTf)4 could significantly promote the keto-enol tautomerization, thereby contributing to the acceleration of reaction rate.
1. Introduction
Mannich reaction has been recognized as one of the most classic multicomponent reactions (MCRs) and utilized for the synthesis of β-amino carbonyl compounds (Mannich bases) via one-pot condensation-addition of aldehyde, amine, and ketone since its discovery in 1917 [1]. Mannich bases are versatile synthetic intermediates [2,3,4,5] and widely applied in the synthesis of natural products [6] and pharmaceutical chemistry [7,8].
In past two decades, Brønsted acid-based catalysts, such as conc. HCl [9], camphor sulfonic acid [10], HClO4-SiO2 [11], polymer-supported sulfonic acid [12], H3PW12O40 [13], acidic surfactants [14], and acidic ionic liquids [15], have been extensively explored for Mannich reaction, which provides a reliable access to Mannich bases. However, these methods are typically limited by large catalyst loading, moderate yield and long reaction time. Meanwhile, various metal Lewis acids, such as Yb(OPf)3 [16], ZrOCl2·8H2O [17], Zn(OTf)2 [18], NbCl5 [19], SnCl2/SnCl4 [20,21], BiCl3 [22], CeCl3·7H2O/CAN [23,24], FeCp2PF6 [25], and Ga(OTf)3 [26] have been employed for the synthesis of Mannich bases under either solution-phase or solvent-free conditions. In addition, organometallic complexes of Ti(IV) [27], Bi(III) [28], Sb(III) [29], Zr(IV) [30,31], along with other Lewis acids, such as sulfonium [32]/iodonium salts [33] and SiCl4 [34], have also been proved as effective catalysts for this purpose. However, these methods typically require at least 5–10 mol% catalyst. Therefore, highly potent, low-cost, and non-toxic metal Lewis acid catalysts for Mannich reaction are still highly desired. Recently, novel heterogeneous catalysts such as nanoparticle-supported/encapsulated solid acids [35,36,37], mesoporous materials [38,39], metal nanoparticles [40], and metal-coordinated polymers [41,42] have provided improved catalyst recyclability. However, the preparation of these specific catalysts greatly limits their practical applications.
Previous research on Group IVB transition metal (Zr(IV) and Hf(IV)) catalysts revealed their superior activity on many carbonyl-transformation reactions [30,43]. Our ongoing research in this field showed that Hf(IV) salts are even more potent than Zr(IV) salts in many carbonyl-transformation reactions [44,45,46]. However, the catalytic effect of Hf(IV) salts on Mannich reaction has never been explored. We report herein the identification of Hf(OTf)4 as a highly potent catalyst for efficient synthesis of a diversity of β-amino carbonyl compounds under solvent-free conditions at room temperature. The alkyl ketone-based Mannich reaction catalyzed by Hf(OTf)4 exhibited excellent regioselectivity and diastereoselectivity. The H/D exchange experiments showed that Hf(OTf)4 catalyst could significantly promote the rate of keto-enol tautomerization.
2. Results and Discussion
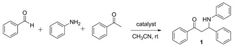
2.1. Aryl Ketone-Based Mannich Reaction Catalyzed by Hf(OTf)4
In the preliminary experiment, the catalytic activity of Zr(IV) and Hf(IV) salts at 5 mol% level was compared in a model reaction, which contained benzaldehyde, aniline, and acetophenone in a 1:1:2 molar ratio at room temperature. The results in Table 1 showed that the aryl ketone-based Mannich reaction could not proceed without catalyst. The catalytic activity of ZrCl4, ZrOCl2·8H2O, and ZrCp2Cl2 were close (~70% yield, 24 h). In contrast, HfCl4 (81%, 8 h) and Hf(OTf)4 (89%, 6 h) exhibited remarkably higher activity than Zr(IV) salts.
Table 1.
The catalytic effect of Group IVB transition metal Lewis acids on Mannich reaction a.
The solvent effect was investigated in the presence of 5 mol% Hf(OTf)4. As listed in Table 2 (entry 1–4), the reactions in THF, DME, benzene, and CH2Cl2 proceeded much slower with good to moderate yields. Compared to the reaction in acetonitrile, the one performed in EtOH resulted in shorter reaction time and higher yield (94% yield, 5 h). But when the reaction in EtOH was elevated to 80 °C, to our surprise, the reaction rate and yield of Hf(OTf)4-catalyzed Mannich reaction was not significantly affected like many other reactions [42,43,44].
Table 2.
Solvent effect on the Hf(OTf)4-catalyzed Mannich reaction a.
As expected, reducing the amount of Hf(OTf)4 catalyst to 2 mol% for the reaction in EtOH resulted in prolonged reaction time (12 h). In contrast, under solvent-free conditions, 2 mol% Hf(OTf)4 furnished efficient formation of 1 in only 2 h at room temperature. Further optimization determined that the amount of Hf(OTf)4 could be reduced to as low as 0.5 mol% for efficient production of 1 (93%, 4 h).
With the optimized conditions, 0.5 mol% Hf(OTf)4 was applied to the synthesis of a diversity of aryl ketone-derived β-amino carbonyl compounds (1–16). As shown in Scheme 1, the current method exhibits good generality to a variety of substrates, and the aryl ketone-derived Mannich bases were obtained in excellent yields (87–94%) within 4–7 h. Electron-donating and electron-withdrawing substituents at the ortho, meta, and para positions of the phenyl rings of ketone, aldehyde, and aniline are well tolerated by this method.
Scheme 1.
Hf(OTf)4-catalyzed synthesis of aryl ketone-derived Mannich bases 1–16. Aldehyde/aniline/aryl ketone are in a 1:1:2 molar ratio.
2.2. Alkyl Ketone-Based Mannich Reaction Catalyzed by Hf(OTf)4: Regioselectivity and Diastereoselectivity
Since the reactivity of alkyl ketones are typically higher than that of aryl ketones, the reaction of benzaldehyde, aniline, and acetone (2:1:1 molar ratio) only took 10 min in the presence of 0.5 mol% Hf(OTf)4 under solvent-free conditions. Further optimization determined that only 0.1 mol% Hf(OTf)4 is sufficient to catalyze the high-yielding formation of the Mannich base 17 (94%, 30 min).
However, when more complicated alkyl ketones such as 2-pentanone and 1,1-dimethylacetone were used, the reaction rate was notably slower. It took 4–5 h to yield the corresponding Mannich bases 18 and 24 in good yields. More importantly, comparison with the reactions without catalyst indicated that the presence of Hf(OTf)4 not only promoted the reaction rate but also resulted in high regioselectivity. As shown in Table 3, in contrast to the uncatalyzed reactions, which yielded both isomers (a:b = ~1:0.5 molar ratio, determined by 1H NMR), only the less substituted, namely the methyl-derived, isomer (a) was obtained when Hf(OTf)4 was used. The application of the optimized conditions to linear alkyl ketone substrates afforded a diversity of Mannich bases 18–29 in excellent yields (82–91%) within 4–7 h (Scheme 2).
Table 3.
The regioselectivity of Hf(OTf)4-catalyzed synthesis of Mannich bases 18 and 24 a.
Scheme 2.
Hf(OTf)4-catalyzed synthesis of alkylketone-derived Mannich bases 17–29. Aldehyde/aniline/alkyl ketone are in a 1:1:2 molar ratio.
In the following research, we investigated the diastereoselectivity of Hf(OTf)4-catalyzed synthesis of cycloketone-derived Mannich bases 30–32 under solvent-free conditions. We noticed that even residual Hf(IV) cation in the used round-bottom flask may significantly affect the outcome of the anti/syn ratio. To avoid false results from the contamination of the trace amount of residual catalyst, the control reactions without catalyst were all performed in new reaction vessels with new stir bars. In addition, the ratio of anti/syn isomers was determined directly from 1H NMR of the crude product. The results listed in Table 4 showed that the Mannich reaction of cyclopentanone did not yield the desired product at all after 12 h without catalyst. For cyclohexanone and cycloheptanone, the corresponding reactions were sluggish and poor yielding. When 0.1 mol% Hf(OTf)4 was applied, both the reaction rates and yields of these reactions were notably improved. The presence of Hf(IV) cation dramatically increased the ratio of anti/syn isomers from 63:37 up to 96:4 when cyclohexanone was used. For cyclopentanone, Hf(IV) cation also favored the formation of anti isomer (anti/syn = 92:8). But increasing the amount of Hf(OTf)4 to 1 mol% did not further improve the ratio of anti/syn isomers. Interestingly, in the case of cycloheptanone, solvent-free conditions alone favored the formation of syn isomer, but addition of 0.1 mol% Hf(OTf)4 increased the ratio of anti/syn isomers from originally 20:80 to 59:41. It was observed that higher Hf(OTf)4 loading resulted in remarkable increase in both reaction rate and anti/syn ratio, which could reach up to anti/syn = 86:14 when 50 mol% Hf(OTf)4 was used.
Table 4.
The diastereoselectivity of Hf(OTf)4-catalyzed synthesis of cycloketone-derived Mannich bases 30–32 a.
2.3. The Catalytic Role of Hf(OTf)4 on Keto-Enol Tautomerization
In our previous research, we have revealed Hf(IV) cation’s strong capability on activating benzaldehyde for the fast formation of the imine intermediate [45]. Many previous reports had also proposed that the interactions of metal cations with ketone are also involved in the catalysis of Mannich reaction. However, not much evidence has been provided to support this point. In the current research, we utilized 1H NMR to examine the activation effects of Hf(IV) on both aryl ketone and alkyl ketone. Interestingly, when 5 mol% Hf(OTf)4 was added to acetophenone in MeOH-d4, a remarkable H/D exchange process was promoted. As shown in Figure 1A, 86.6% of the proton of the active methyl group was exchanged to deuterium over 36 h. For cyclopentanone, only 1 mol% Hf(OTf)4 was needed to result in a comparable H/D exchange process (87.5%, 36 h), which is in agreement with the result that less catalyst is required for alkyl ketone-based Mannich reaction. Similar to the promoted tautomerization of dimethylphosphite in Kabachnik reaction [45], the coordination of Hf(IV) dramatically accelerated the tautomerization between the ketone and enol forms of both aryl and alkyl ketone, thereby increasing the overall reaction rate.
Figure 1.
The H/D exchange reactions of acetophenone (A) and cyclopentanone (B) in MeOH-d4 in the absence or presence of Hf(OTf)4.
3. Materials and Methods
3.1. General Methods
General chemical reagents and solvents were obtained from commercial suppliers. All reactions were monitored by thin layer chromatography on plates coated with 0.25 mm silica gel 60 F254 (Qingdao Haiyang Chemicals, Qingdao, China). TLC plates were visualized by UV irradiation (254 nm, Shanghai Peiqing Sci & Tech, Shanghai, China). Flash column chromatography employed silica gel (particle size 32–63 μm, Qingdao Haiyang Chemicals, Qingdao, China). Melting points were determined with a Thomas-Hoover melting point apparatus (Thomas Scientific, Swedesboro, NJ, USA) and uncorrected. NMR spectra were obtained with a Bruker AV-400 instrument (Bruker BioSpin, Faellanden, Switzerland) with chemical shifts reported in parts per million (ppm, δ) and referenced to CDCl3 or DMSO-d6. The NMR spectra of compounds 11, 15, 16, 20–23, 25, and 27–29 were provided in Supplementary Materials (Figures S1–S22). IR spectra were recorded on a Bruker Vertex-70 spectrometer (Bruker Optics, Billerica, MA, USA). High-resolution mass spectra were reported as m/z and obtained with a Dalton micrOTOF-Q II spectrometer (Bruker Daltonics, Billerica, MA, USA).
3.2. General Synthetic Procedure and Characterization of Mannich Bases
To a mixture of aldehyde (2.0 mmol), aniline (2.0 mmol), and ketone (4.0 mmol) was added Hf(OTf)4 (10 μmol for aryl ketones or 2 μmol for alkyl ketones). The reaction was stirred at room temperature (0.5–7 h) and monitored by TLC (Jone’s reagent as stain for Mannich base). Upon completion, CH2Cl2 (50 mL) was added to the reaction to dissolve the residue. The organic phase was washed with NaHCO3 solution (50 mL), dried over anhydrous Na2SO4, and concentrated in vacuo. Flash column chromatography (hexane/ethyl acetate 10:1) afforded the desired Mannich base in pure form. The characterization data of Mannich bases 1–10, 12–14, 17–19, 24, 26, and 30–32 were in good agreement with those reported in literatures [17,19,20,22,25,36,47,48,49,50].
3-(4-Chlorophenyl)-1-phenyl-3-(m-tolylamino)propan-1-one (11): a white solid; mp 109–110 °C. 1H NMR (400 MHz, CDCl3): δ 7.91 (d, J = 7.6 Hz, 2H), 7.58 (t, J = 7.4 Hz, 1H), 7.46 (dd, J1 = 8.1 Hz, J2 = 7.6 Hz, 2H), 7.39 (d, J = 8.3 Hz, 2H), 7.29 (d, J = 8.4 Hz, 2H), 7.00 (t, J = 7.8 Hz, 1H), 6.51 (d, J = 7.4 Hz, 1H), 6.40 (s, 1H), 6.33 (d, J = 8.0 Hz, 1H), 4.99 (dd, J1 = J2 = 6.2 Hz, 1H), 4.50 (br, 1H), 3.47 (dd, J1 = 5.4 Hz, J2 = 16.2 Hz, 1H), 3.41 (dd, J1 = 7.3 Hz, J2 = 16.3 Hz, 1H), 2.21 (s, 3H) ppm; 13C NMR (100 MHz, CDCl3): δ 198.1, 146.9, 141.8, 139.1, 136.9, 133.7, 133.1, 129.2, 129.1 (×2), 128.9 (×2), 128.4 (×2), 128.0 (×2), 119.2, 115.0, 111.0, 54.4, 46.3, 21.7 ppm; IR (KBr) νmax 3389, 3063, 2918, 1676, 1602, 1593, 1519, 1489, 1447, 1411, 1372, 1329, 1305, 1288, 1257, 1217, 1180, 1089, 1066, 1014, 1001, 990, 840, 826, 776, 756, 722 cm−1; HRMS (ESI+): m/z calcd for C22H22ClNO [M + H]+ 350.1306; found 350.1309.
1-(4-Chlorophenyl)-3-(phenylamino)-3-(p-tolyl)propan-1-one (15): a white solid; mp 121–122 °C. 1H NMR (400 MHz, CDCl3): δ 7.84 (d, J = 8.6 Hz, 2H), 7.41 (d, J = 8.6 Hz, 2H), 7.32 (d, J = 8.0 Hz, 2H), 7.11 (dd, J1 = J2 = 16.6 Hz, 1H), 6.68 (t, J = 7.3 Hz, 1H), 6.57 (d, J = 7.8 Hz, 2H), 4.98 (dd, J1 = J2 = 6.3 Hz, 1H), 4.48 (br, 1H), 3.46 (dd, J1 = 5.5 Hz, J2 = 16.2 Hz, 1H), 3.40 (dd, J1 = 7.3 Hz, J2 = 16.2 Hz, 1H), 2.32 (s, 3H) ppm; 13C NMR (100 MHz,CDCl3): δ 197.3, 147.1, 140.0, 139.9, 137.2, 135.2, 129.8 (×2), 129.7 (×2), 129.3 (×2), 129.1 (×2), 126.4 (×2), 118.0, 114.0 (×2), 54.6, 46.4, 21.2 ppm; IR (KBr) νmax 3383, 1672, 1604, 1587, 1511, 1438, 1400, 1370, 1315, 1288, 1219, 1180, 1097, 1070, 995, 846, 815, 746 cm−1; HRMS (ESI+): m/z calcd for C22H21ClNO [M + H]+ 350.1306; found 350.1310.
3-((4-Chlorophenyl)amino)-1,3-di-p-tolylpropan-1-one (16): a white solid; mp 157–158 °C. 1H NMR (400 MHz, CDCl3): δ 7.78 (d, J = 8.2 Hz, 2H), 7.27 (d, J = 8.0 Hz, 2H), 7.21 (d, J = 8.0 Hz, 2H), 7.11 (d, J = 7.9 Hz, 2H), 7.00 (d, J = 8.8 Hz, 2H), 6.44 (d, J = 8.8 Hz, 2H), 4.89 (dd, J1 = J2 = 7.7 Hz, 1H), 3.42 (dd, J1 = 4.9 Hz, J2 = 16.2 Hz, 1H), 3.32 (dd, J1 = 7.9 Hz, J2 = 16.2 Hz, 1H), 2.38 (s, 3H), 2.30 (s, 3H) ppm; 13C NMR (100 MHz, CDCl3): δ 198.0, 145.9, 144.5, 139.7, 137.2, 134.4, 129.7 (×2), 129.5 (×2), 129.0 (×2), 128.5 (×2), 126.3 (×2), 122.4, 115.1 (×2), 54.9, 46.3, 21.8, 21.2 ppm; IR (KBr) νmax 3396, 1666, 1605, 1511, 1490, 1404, 1367, 1317, 1292, 1178, 1109, 1087, 1002, 810, 730 cm−1; HRMS (ESI+): m/z calcd for C23H23ClNO [M + H]+ 364.8925; found 364.8927.
1-(Phenylamino)-1-(o-tolyl)hexan-3-one (20): colorless oil. 1H NMR (400 MHz, CDCl3): δ 7.40 ((t, J = 4.4 Hz, 1H), 7.20–7.17 (m, 3H), 7.13 (dd, J1 = J2 = 7.8 Hz, 2H), 6.70 (t, J = 7.3 Hz, 1H), 6.53 (d, J = 8.0 Hz, 2H), 5.08 (dd, J1 = 5.6 Hz, J2 = 7.4 Hz, 1H), 4.44 (br, 1H), 2.89 (dd, J1 = 5.3 Hz, J2 = 15.6 Hz, 1H), 2.83 (dd, J1 = 9.1 Hz, J2 = 17.0 Hz, 1H), 2.51 (s, 3H), 2.45–2.30 (m, 2H), 1.63–1.54 (m, 2H), 0.89 (t, J = 7.4 Hz, 3H) ppm; 13C NMR (100 MHz, CDCl3): δ 209.6, 147.0, 140.4, 134.9, 130.9, 129.3 (×2), 127.3, 126.7, 125.4, 117.8, 113.6 (×2), 51.0, 48.6, 45.5, 19.2, 17.0, 13.7 ppm; IR (KBr) νmax 3402, 1671, 1602, 1519, 1448, 1434, 1406, 1363, 1344, 1318, 1287, 1258, 1220, 1201, 1182, 1099, 1016, 984, 853, 747 cm−1; HRMS (ESI+): m/z calcd for C19H26NO [M + H]+ 282.1852; found 282.1857.
1-(2-Methoxyphenyl)-1-(phenylamino)hexan-3-one (21): colorless oil. 1H NMR (400 MHz, CDCl3): δ 7.31 (d, J = 7.4 Hz, 2H), 7.24 (t, J = 7.8 Hz, 1H), 7.10(dd, J1 = J2 = 7.6 Hz, 2H), 6.92–6.86 (m, 2H), 6.65 (t, J = 7.3 Hz, 1H), 6.56 (d, J = 8.0 Hz, 2H), 5.15 (dd, J1 = J2 = 6.1 Hz, 1H), 4.73 (br, 1H), 3.93 (s, 3H), 2.97 (dd, J1 = 4.8 Hz, J2 = 15.2 Hz, 1H), 2.85(dd, J1 = 7.8 Hz, J2 = 15.2Hz, 1H), 2.42–2.32 (m, 2H), 1.59–1.50 (m, 2H), 0.85 (t, J = 7.4 Hz, 3H); 13C NMR (100 MHz, CDCl3): δ 210.4, 156.8, 147.2, 129.9, 129.2 (×2), 128.4, 127.8, 121.0, 117.7, 113.8 (×2), 110.7, 55.5, 50.3, 48.2, 45.3, 17.0, 13.8. ppm; IR (KBr) νmax 3404, 3051, 1673, 1661, 1601, 1579, 1515, 1447, 1408, 1366, 1290, 1262, 1220, 1184, 1159, 1106, 1016, 984, 967, 917, 854, 789, 769, 747 cm−1; HRMS (ESI+): m/z calcd for C19H25NO2 [M + H]+ 298.1802; found 298.1803.
1-((4-Chlorophenyl)amino)-1-(p-tolyl)hexan-3-one (22): a white solid; mp 75–76 °C. 1H NMR (400 MHz, CDCl3) δ 7.21 (d, J = 8.0 Hz, 2H), 7.12 (d, J = 7.9 Hz, 2H), 7.02 (d, J = 8.8 Hz, 2H), 6.46 (d, J = 8.8 Hz, 2H), 4.75 (dd, J1 = J2 = 6.3 Hz, 1H), 4.59 (br, 1H), 2.87 (d, J = 6.4 Hz, 2H), 2.33–2.28 (m, 5H), 1.58–1.48 (m, 2H), 0.84 (t, J = 7.4 Hz, 3H) ppm; 13C NMR (100 MHz, CDCl3): δ 209.6, 145.7, 139.3, 137.3, 129.7 (×2), 129.1 (×2), 126.3 (×2), 122.5, 115.1 (×2), 54.6, 50.3, 45.8, 21.2, 17.0, 13.7 ppm; IR (KBr) νmax 3383, 3029, 2965, 2930, 2876, 1711, 1602, 1510, 1487, 1453, 1407, 1376, 1354, 1318, 1286, 1247, 1177, 1020, 1084, 1051, 1019, 936, 814, 802, 775, 725 cm−1; HRMS (ESI+): m/z calcd for C19H23ClNO [M + H]+ 316.1463; found 316.1464.
1-Phenyl-1-(m-tolylamino)hexan-3-one (23): a white solid; mp 84–85 °C. 1H NMR (400 MHz, CDCl3): δ 7.37 (d, J = 7.2 Hz, 2H), 7.32 (dd, J1 = J2 = 7.4 Hz, 2H), 7.25 (d, J = 8.6 Hz, 1H), 6.99 (t, J = 7.8 Hz, 1H), 6.50 (d, J = 7.4 Hz, 1H), 6.42 (s, 1H), 6.35 (d, J = 8.0 Hz, 1H), 4.85 (dd, J1 = J2 = 6.4 Hz, 1H), 4.47 (br, 1H), 2.89 (d, J = 6.4 Hz, 2H), 2.34–2.29 (m, 2H), 2.22 (s, 3H), 1.58–1.49 (m, 2H), 0.84 (t, J = 7.4 Hz, 3H) ppm; 13C NMR (100 MHz, CDCl3): δ 209.6, 147.1, 142.9, 139.0, 129.2, 128.9 (×2), 127.4, 126.5 (×2), 118.9, 114.8, 110.9, 54.7, 50.4, 45.8, 21.7, 17.1, 13.7 ppm; IR (KBr) νmax 3377, 3027, 2960, 2932, 2876, 1709, 1606, 1594, 1525, 1492, 1483, 1454, 1408, 1333, 1307, 1287, 1253, 1182, 1165,1119, 1091, 1055, 861, 848, 778 cm−1; HRMS (ESI+): m/z calcd for C19H25NO [M + H]+ 282.1852; found 282.1853.
4-Methyl-1-(phenylamino)-1-(p-tolyl)pentan-3-one (25): a white solid; mp 77–78 °C. 1H NMR (400 MHz, CDCl3): δ 7.39 (d, J = 7.8 Hz, 2H), 7.26–7.21 (m, 4H), 6.79 (t, J = 7.3 Hz, 1H), 6.69 (d, J = 8.1 Hz, 2H), 4.95 (dd, J1 = J2 = 6.2 Hz, 1H), 4.71 (br, 1H), 3.07 (d, J = 6.3 Hz, 2H), 2.66–2.56 (m, 1H), 2.44 (s, 3H), 1.13 (t, J = 6.2 Hz, 6H) ppm; 13C NMR (100 MHz, CDCl3): δ 213.2, 147.2, 139.9, 137.0, 129.6 (×2), 129.2 (×2), 126.4 (×2), 117.8, 113.9 (×2), 54.4, 48.1, 41.7, 21.2, 17.9, 17.8 ppm; IR (KBr) νmax 3376, 3051, 3025, 2969, 2931, 1705, 1604, 1514, 1496, 1464, 1439, 1419, 1381, 1364, 1317, 1284, 1180, 1104, 1076, 1021, 867, 817, 749, 731 cm−1; HRMS (ESI+): m/z calcd for C19H24NO [M + H]+ 282.1852; found 282.1855.
1-((4-Chlorophenyl)amino)-4-methyl-1-(o-tolyl)pentan-3-one (27): a white solid; mp 77–78 °C. 1H NMR (400 MHz, CDCl3): δ 7.32 (t, J = 4.8 Hz, 1H), 7.19–7.13 (m, 3H), 7.02 (d, J = 8.7 Hz, 2H), 6.39 (d, J = 8.7 Hz, 2H), 4.97 (dd, J1 = J2 = 6.7 Hz, 1H), 4.61 (br, 1H), 2.91(dd, J1 = 5.0 Hz, J2 = 16.1 Hz, 1H), 2.85 (dd, J1 = 7.8 Hz, J2 = 16.4 Hz,, 2.53–2.46 (m, 1H), 2.45 (s, 3H), 1.02 (dd, J1 = 3.8Hz, J2 = 6.8 Hz, 6H) ppm; 13C NMR (100 MHz, CDCl3): δ 213.2, 145.7, 140.2, 134.9, 131.1, 129.1 (×2), 127.5, 126.8, 125.4, 122.5, 114.8 (×2), 51.2, 46.0, 41.7, 19.3, 17.9 ppm. IR (KBr) νmax 3393, 3055, 3031, 1669, 1604, 1578, 1511, 1489, 1448, 1437, 1402, 1370, 1317, 1287, 1218, 1183, 1094, 1070, 1015, 1002, 991 cm−1; HRMS (ESI+): m/z calcd for C19H24ClNO [M + H]+ 316.1463; found 316.1464.
1-(2-Methoxyphenyl)-4-methyl-1-(m-tolylamino)pentan-3-one (28): a white solid; mp 169–170 °C. 1H NMR (400 MHz, CDCl3): δ 7.32 (d, J = 7.4 Hz, 1H), 7.22 (t, J = 7.2 Hz, 1H), 6.99 (t, J = 7.8 Hz, 1H), 6.91–6.86 (m, 2H), 6.49 (d, J = 7.4 Hz, 1H), 6.44 (s, 1H), 6.36 (d, J = 7.9 Hz, 1H), 5.14 (dd, J1 = J2 = 6.1 Hz, 1H), 4.79 (br, 1H), 3.94 (s, 3H), 3.05 (dd, J1 =5.0 Hz, J2 = 15.5 Hz, 1H), 2.90 (dd, J1 = 7,5 Hz, J2 = 15.5 Hz, 1H), 2.59–2.48 (m, 1H), 2.23 (s, 3H), 1.02 (dd, J1 = 3.0 Hz, J2 = 7.0 Hz, 6H) ppm; 13C NMR (100 MHz, CDCl3): δ 213.8, 156.8, 147.2, 138.8, 130.2, 129.1, 128.2, 127.9, 121.0, 118.6, 114.8, 110.8, 110.6, 55.4, 50.5, 45.7, 41.3, 21.7, 17.9, 17.7 ppm. IR (KBr) νmax 3379, 3063, 3024, 1672, 1604, 1587, 1567, 1509, 1492, 1454, 1437, 1401, 1371, 1352, 1289, 1218, 1181, 1098, 1080, 996, 848, 821, 793, 759, 746 cm−1; HRMS (ESI+): m/z calcd for C20H28NO2 [M + H]+ 312.1958; found 312.1960.
1-((4-Chlorophenyl)amino)-4-methyl-1-(p-tolyl)pentan-3-one (29): a white solid; mp 91–92 °C. 1H NMR (400 MHz, CDCl3): δ 7.22 (d, J = 7.7 Hz, 2H), 7.12 (d, J = 7.6 Hz, 2H), 7.03 (d, J = 8.2 Hz, 2H), 6.47 (d, J = 8.3 Hz, 2H), 4.76 (m, 1H), 4.69 (s, 1H), 2.93 (d, J = 6.0 Hz, 2H), 2.51–2.44 (m, 1H), 2.32 (s, 3H), 1.00 (d, J = 6.9 Hz, 6H) ppm; 13C NMR (100 MHz, CDCl3): δ 213.2, 145.8, 139.4, 137.2, 129.6 (×2), 129.1 (×2), 126.3 (×2), 122.4, 115.0 (×2), 54.6, 47.9, 41.8, 21.2, 17.8 (×2) ppm; IR (KBr) νmax 3369, 3028, 2965, 2933, 2870, 1703, 1605, 1508, 1489, 1464, 1423, 1380, 1361, 1314, 1281, 1246, 1177, 1110, 1089, 1070, 1022, 819, 808, 731 cm−1; HRMS (ESI+): m/z calcd for C19H23ClNO [M + H]+ 316.1463; found 316.1461.
4. Conclusions
In summary, Hf(OTf)4 was identified as a highly efficient catalyst for Mannich reaction. Under solvent-free conditions, as low as 0.1–0.5 mol% Hf(OTf)4 could catalyze high-yielding formation of a diversity of aryl and alkyl ketone-based Mannich bases. The presence of Hf(OTf)4 resulted in excellent region- and diastereoselectivity in the synthesis of alkyl ketone-based Mannich bases. 1H NMR tracing of the H/D exchange reactions of acetophenone and cyclopentanone in MeOH-d4 illustrated that the coordination of Hf(OTf)4 with ketone could enable its fast keto-enol tautomerization, thereby contributing to the overall promotion of Mannich reaction.
Supplementary Materials
The following are available online, Figure S1–S22: The NMR spectra of new compounds 11, 15, 16, 20–23, 25, and 27–29.
Author Contributions
S.-S.G., and Q.S. conceived and designed the experiments; S.-B.H., J.-Y.W., X.-C.P., and R.L. performed the experiments and analyzed the data; S.-B.H., S.-S.G. and Q.S. wrote the paper. All authors have read and agreed to the published version of the manuscript.
Funding
This research was funded by National Natural Science Foundation of China (21961013) and Innovation Foundation of JXSTNU (YC2018-X45 for S.-B.H.).
Conflicts of Interest
The authors declare no conflicts of interest.
References
- Mannich, C. Eine synthese von β-ketonbasen. Arch. Pharm. 1917, 255, 261–276. [Google Scholar] [CrossRef]
- Arend, M.; Westermann, B.; Risch, N. Modern variants of the Mannich reaction. Angew. Chem. Int. Ed. 1998, 37, 1044–1070. [Google Scholar] [CrossRef]
- Kobayash, S.; Ishitani, H. Catalytic enantioselective addition to imines. Chem. Rev. 1999, 99, 1069–1094. [Google Scholar] [CrossRef] [PubMed]
- Allochio Filho, J.F.; Lemos, B.C.; De Souza, A.S.; Pinheiro, S.; Greco, S.J. Multicomponent Mannich reactions: General aspects, methodologies and applications. Tetrahedron 2017, 73, 6977–7004. [Google Scholar] [CrossRef]
- Paul, J.; Presset, M.; Le Gall, E. Multicomponent Mannich-like reactions of organometallic species. Eur. J. Org. Chem. 2017, 2386–2406. [Google Scholar] [CrossRef]
- Toure, B.B.; Hall, D.G. Natural product synthesis using multicomponent reaction strategies. Chem. Rev. 2009, 109, 4439–4486. [Google Scholar] [CrossRef]
- Roman, G. Mannich bases in medicinal chemistry and drug design. Eur. J. Med. Chem. 2015, 89, 743–816. [Google Scholar] [CrossRef]
- Subramaniapillai, S.G. Mannich reaction: A versatile and convenient approach to bioactive skeletons. J. Chem. Sci. 2013, 125, 467–482. [Google Scholar] [CrossRef]
- Yi, L.; Lei, H.S.; Zou, J.H.; Xu, X.J. The Mannich reaction between aromatic ketones, aromatic aldehydes and aromatic amines. Synthesis 1991, 717–718. [Google Scholar] [CrossRef]
- Wu, Y.S.; Cai, J.W.; Hu, Z.Y.; Lin, G.X. A new class of metal-free catalysts for direct diastereo- and regioselective Mannich reactions in aqueous media. Tetrahedron Lett. 2004, 45, 8949–8952. [Google Scholar] [CrossRef]
- Bigdeli, M.A.; Nemati, F.; Mahdavinia, G.H. HClO4–SiO2 catalyzed stereoselective synthesis of β-amino ketones via a direct Mannich-type reaction. Tetrahedron Lett. 2007, 48, 6801–6804. [Google Scholar] [CrossRef]
- Iimura, S.; Nobuton, D.; Manabe, K.; Kobayashi, S. Mannich-type reactions in water using a hydrophobic polymer-supported sulfonic acid catalyst. Chem. Commun. 2003, 14, 1644–1645. [Google Scholar] [CrossRef]
- Azizi, B.; Torkiyan, L.; Saidi, M.R. Highly efficient one-pot three-component Mannich reaction in water catalyzed by heteropoly acids. Org. Lett. 2006, 8, 2079–2082. [Google Scholar] [CrossRef] [PubMed]
- Manabe, K.; Kobayashi, S. Mannich-type reactions of aldehydes, amines, and ketones in a colloidal dispersion system created by a Brønsted acid-surfactant-combined catalyst in water. Org. Lett. 1999, 1, 1965–1967. [Google Scholar] [CrossRef]
- Alvim, H.G.O.; Bataglion, G.A.; Ramos, L.M.; De Oliveira, A.L.; De Oliveira, H.C.B.; Eberlin, M.N.; De Macedo, J.L.; Da Silva, W.A. Task-specific ionic liquid incorporating anionic heteropolyacid-catalyzed Hantzsch and Mannich multicomponent reactions. Ionic liquid effect probed by ESI-MS(/MS). Tetrahedron 2014, 70, 3306–3313. [Google Scholar] [CrossRef]
- Yi, W.B.; Cai, C. Mannich-type reactions of aromatic aldehydes, anilines, and methyl ketones in fluorous biphase systems created by rare earth (III) perfluorooctane sulfonates catalysts in fluorous media. J. Fluor. Chem. 2006, 127, 1515–1521. [Google Scholar] [CrossRef]
- Eftekhari-Sis, B.; Abdollahifar, A.; Hashemi, M.M.; Zirak, M. Stereoselective synthesis of β-amino ketones via direct Mannich-type reactions, catalyzed with ZrOCl2·8H2O under solvent-free conditions. Eur. J. Org. Chem. 2006, 5152–5157. [Google Scholar] [CrossRef]
- Yang, Y.Y.; Shou, W.G.; Wang, Y.G. Synthesis of β-amino carbonyl compounds via a Zn(OTf)2-catalyzed cascade reaction of anilines with aromatic aldehydes and carbonyl compounds. Tetrahedron 2006, 62, 10079–10086. [Google Scholar] [CrossRef]
- Yang, R.W.; Li, B.G.; Huang, T.K.; Shi, L.; Lu, X.X. NbCl5-Catalyzed one-pot Mannich-type reaction: Three component synthesis of β-amino carbonyl compounds. Tetrahedron Lett. 2007, 48, 2071–2073. [Google Scholar]
- Wang, M.; Song, Z.G.; Wan, X.; Zhao, S. SnCl2-catalyzed three-component one-pot Mannich-type reaction: Efficient synthesis of β-aminocarbonyl compounds. Monatsh. Chem. 2009, 140, 1205–1208. [Google Scholar] [CrossRef]
- Wang, M.; Song, Z.G.; Liang, Y. SnCl4 5H2O-Catalyzed synthesis of β-amino carbonyl compounds via a direct Mannich-type reaction. Prep. Biochem. Biotechnol. 2011, 41, 1–6. [Google Scholar] [CrossRef]
- Li, H.; Zeng, H.Y.; Shao, H.W. Bismuth(III) chloride-catalyzed one-pot Mannich reaction: Three-component synthesis of β-amino carbonyl compounds. Tetrahedron Lett. 2009, 50, 6858–6860. [Google Scholar] [CrossRef]
- Dai, Y.; Li, B.D.; Quan, H.D.; Lu, C.X. CeCl3 7H2O as an efficient catalyst for one-pot synthesis of β-amino ketones by three-component Mannich reaction. Chin. Chem. Lett. 2010, 21, 31–34. [Google Scholar] [CrossRef]
- Kidwai, M.; Bhatnagar, D.; Kumar Mishra, N.; Bansal, V. CAN catalyzed synthesis of β-amino carbonyl compounds via Mannich reaction in PEG. Catal. Commun. 2008, 9, 2547–2549. [Google Scholar] [CrossRef]
- Kureshy, R.I.; Agrawal, S.; Saravanan, S.; Khan, N.H.; Shah, A.K.; Abdi, S.H.R.; Bajaj, H.C.; Suresh, E. Direct Mannich reaction mediated by Fe(Cp)2PF6 under solvent-free conditions. Tetrahedron Lett. 2010, 51, 489–494. [Google Scholar] [CrossRef]
- Zhang, G.L.; Huang, Z.H.; Zou, J.P. Ga(OTf)3-catalyzed Three-component Mannich reaction in water promoted by ultrasound irradiation. Chin. J. Chem. 2009, 27, 1967–1974. [Google Scholar] [CrossRef]
- Wu, Y.; Wang, X.; Luo, Y.L.; Wang, J.; Jian, Y.J.; Sun, H.M.; Zhang, G.F.; Zhang, W.Q.; Gao, Z.W. Solvent strategy for unleashing Lewis acidity of titanocene dichloride for rapid Mannich reactions. RSC Adv. 2016, 6, 15298–15303. [Google Scholar] [CrossRef]
- Zhang, X.W.; Yin, S.F.; Qiu, R.H.; Xia, J.; Dai, W.L.; Yu, Z.Y.; Au, C.T.; Wong, W.F. Synthesis and structure of an air-stable hypervalent organobismuth (III) perfluorooctanesulfonate and its use as high-efficiency catalyst for Mannich-type reactions in water. J. Organomet. Chem. 2009, 694, 3559–3564. [Google Scholar] [CrossRef]
- Xia, J.; Qiu, R.H.; Yin, S.F.; Zhang, X.W.; Luo, S.L.; Au, C.T.; Xia, K.; Wong, W.Y. Synthesis and structure of an air-stable organoantimony complex and its use as a catalyst for direct diastereoselective Mannich reactions in water. J. Organomet. Chem. 2010, 695, 1487–1492. [Google Scholar] [CrossRef]
- Qiu, R.H.; Xu, X.H.; Peng, L.F.; Zhao, Y.L.; Li, N.B.; Yin, S.F. Strong Lewis acids of air-stable metallocene bis(perfluorooctanesulfonate)s as high-efficiency catalysts for carbonyl group transformation reactions. Chem. Eur. J. 2012, 18, 6172–6182. [Google Scholar] [CrossRef]
- Zhang, X.H.; Xu, X.H.; Li, N.B.; Liang, Z.W.; Tang, Z.L. Air-stable μ2-hydroxyl bridged cationic binuclear complexes of zirconocene perfluorooctanesulfonates: Their structures, characterization and application. Tetrahedron 2018, 74, 1926–1932. [Google Scholar] [CrossRef]
- Khan, A.T.; Parvin, T.; Choudhury, L.H. Bromodimethylsulfonium bromide catalyzed three-component Mannich-type reactions. Eur. J. Org. Chem. 2008, 5, 834–839. [Google Scholar] [CrossRef]
- Zhang, Y.X.; Han, J.W.; Liu, Z.J. Diaryliodonium salts as efficient Lewis acid catalysts for direct three component Mannich reactions. RSC Adv. 2015, 32, 25485–25488. [Google Scholar] [CrossRef]
- Azizi, N.; Baghi, R.; Batebi, E.; Bolourtchian, S.M. Catalytic stereoselective Mannich reaction under solvent-free conditions. C. R. Chim. 2012, 15, 278–282. [Google Scholar] [CrossRef]
- Sawant, D.P.; Justus, J.; Balasubramanian, V.V.; Ariga, K.; Srinivasu, P.; Velmathi, S.; Halligudi, S.B.; Vinu, A. Heteropoly acid encapsulated SBA-15/TiO2 nanocomposites and their unusual performance in acid-catalyzed organic transformations. Chem. Eur. J. 2008, 14, 3200–3212. [Google Scholar] [CrossRef]
- Wang, H.B.; Yao, N.; Wang, L.; Hu, Y.L. Brønsted–Lewis dual acidic ionic liquid immobilized on mesoporous silica materials as an efficient cooperative catalyst for Mannich reactions. New J. Chem. 2017, 41, 10528–10531. [Google Scholar] [CrossRef]
- Esfahani, F.K.; Zareyee, D.; Rad, A.S.; Taher-Bahrami, S. Sulfonic acid supported on magnetic nanoparticle as an eco-friendly, durable and robust catalyst for the synthesis of β-amino carbonyl compounds through solvent free Mannich reaction. Appl. Organometal. Chem. 2017, 31, E3865. [Google Scholar] [CrossRef]
- Nasresfahani, Z.; Kassaee, M.Z.; Nejati-Shendi, M.; Eidi, E.; Taheri, Q. Mesoporous silica nanoparticles (MSNs) as an efficient and reusable nanocatalyst for synthesis of β-amino ketones through one-pot three-component Mannich reactions. RSC Adv. 2016, 6, 32183–32188. [Google Scholar] [CrossRef]
- Pachamuthu, M.P.; Shanthi, K.; Luque, R.; Ramanathan, A. SnTUD-1: A solid acid catalyst for three component coupling reactions at room temperature. Green Chem. 2013, 15, 2158–2166. [Google Scholar] [CrossRef]
- Wang, Y.F.; Biradar, A.V.; Wang, G.; Sharma, K.K.; Duncan, C.T.; Rangan, S.; Asefa, T. Controlled synthesis of water-dispersible faceted crystalline copper nanoparticles and their catalytic properties. Chem. Eur. J. 2010, 16, 10735–10743. [Google Scholar] [CrossRef]
- Sharma, R.K.; Rawat, D.; Gaba, G. Inorganic–organic hybrid silica based tin(II) catalyst: Synthesis, characterization and application in one-pot three-component Mannich reaction. Catal. Commun. 2012, 19, 31–36. [Google Scholar] [CrossRef]
- Rajesh Krishnan, G.; Sreeraj, M.K.; Sreekumar, K. Modification of poly(vinyl chloride) with pendant metal complex for catalytic applications. C. R. Chim. 2013, 16, 736–741. [Google Scholar] [CrossRef]
- Ishihara, K.; Ohara, S.; Yamamoto, H. Direct condensation of carboxylic acids with alcohols catalyzed by hafnium(IV) salts. Science 2000, 290, 1140–1142. [Google Scholar] [CrossRef] [PubMed]
- Li, X.-C.; Gong, S.-S.; Zeng, D.-Y.; You, Y.-H.; Sun, Q. Highly efficient synthesis of α-aminophosphonates catalyzed by hafnium(IV) chloride. Tetrahedron Lett. 2016, 57, 1782–1785. [Google Scholar] [CrossRef]
- Wang, R.; Chen, J.-Z.; Zheng, X.-A.; Kong, R.; Gong, S.-S.; Sun, Q. Hafnium(IV) triflate as a potent catalyst for selective 1-O-deacetylation of peracetylated saccharides. Carbohyd. Res. 2018, 455, 114–118. [Google Scholar] [CrossRef]
- Kong, R.; Han, S.-B.; Wei, J.-Y.; Peng, X.-C.; Xie, Z.-B.; Gong, S.-S.; Sun, Q. Highly efficient synthesis of substituted 3,4-Dihydropyrimidin-2-(1H)-ones (DHPMs) catalyzed by Hf(OTf)4: Mechanistic insights into reaction pathways under metal Lewis acid catalysis and solvent-free conditions. Molecules 2019, 24, 364. [Google Scholar] [CrossRef]
- Barbero, M.; Cadamuro, S.; Dughera, S. Brønsted acid catalyzed enantio- and diastereoselective one-pot three component Mannich reaction. Tetrahedron Asymmetry 2015, 26, 1180–1188. [Google Scholar] [CrossRef]
- Wu, Y.; Chen, Y.; Jia, G.; Zhu, X.-Y.; Sun, H.-M.; Zhang, G.-F.; Zhang, W.-Q.; Gao, Z.-W. Salicylato titanocene complexes as cooperative organometallic Lewis acid and Brønsted acid catalysts for three-component Mannich reactions. Chem. Eur. J. 2014, 20, 8530–8535. [Google Scholar] [CrossRef]
- Rueping, M.; Sugiono, E.; Schoepke, F.R. Development of the first Brønsted acid assisted enantioselective Brønsted acid catalyzed direct Mannich reaction. Synlett 2007, 9, 1441–1445. [Google Scholar] [CrossRef]
- Zhou, J.-H. The Mannich reaction of dialkyl ketones, aromatic aldehydes and aromatic amines. Org. Prep. Proced. Int. 1996, 28, 618–622. [Google Scholar] [CrossRef]
Sample Availability: Samples of the compounds 1–32 are available from the authors. |
© 2020 by the authors. Licensee MDPI, Basel, Switzerland. This article is an open access article distributed under the terms and conditions of the Creative Commons Attribution (CC BY) license (http://creativecommons.org/licenses/by/4.0/).






