Constituents of Coreopsis lanceolata Flower and Their Dipeptidyl Peptidase IV Inhibitory Effects
Abstract
1. Introduction
2. Results and Discussion
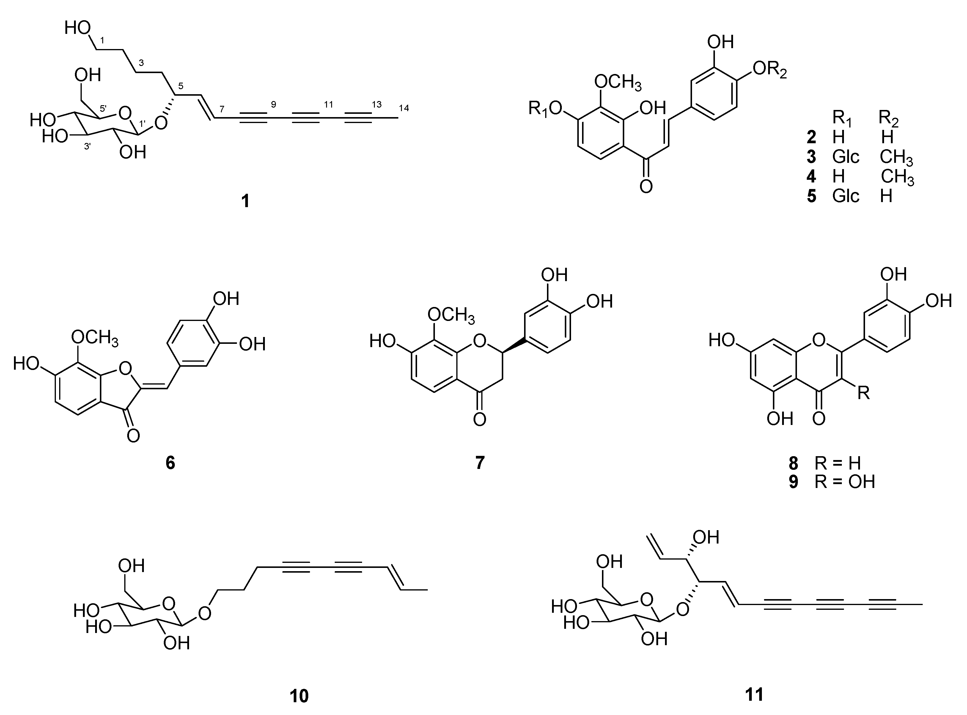
2.1. Structure Elucidation of Compound 1
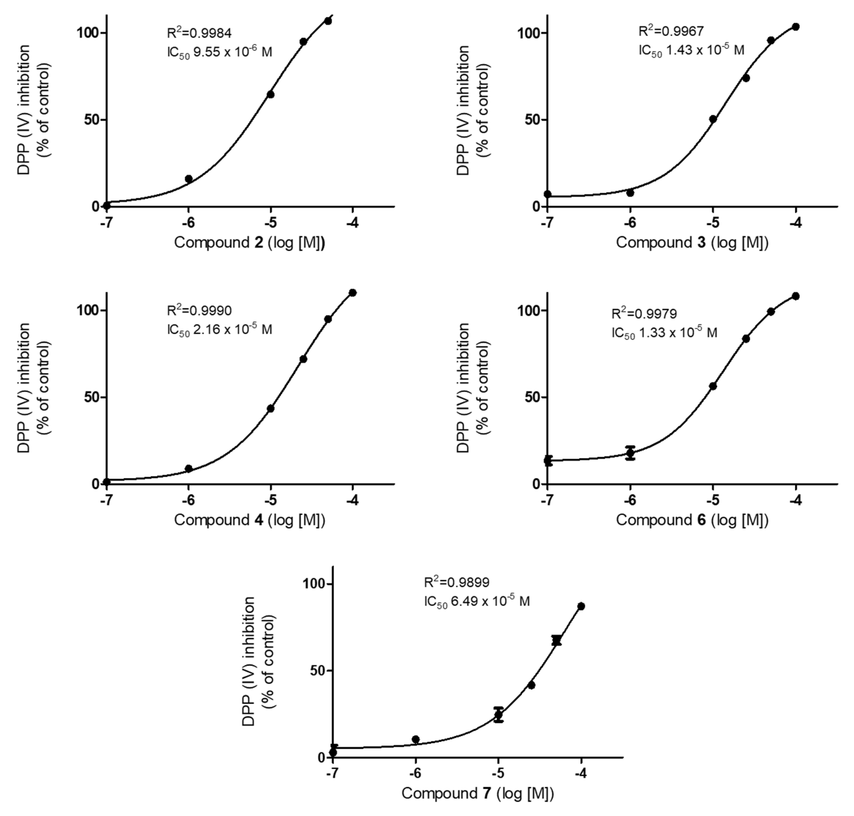
2.2. Biological Activity
3. Materials and Methods
3.1. General Procedures
3.2. Plant Material
3.3. Extraction and Isolation
3.4. DPP-IV Inhibitory Activity Assay
4. Conclusions
Supplementary Materials
Author Contributions
Funding
Acknowledgments
Conflicts of Interest
References
- Panero, J.L.; Funk, V.A. Towoard a phylogenetic subfamilial classification for the Compositae (Asteraceae). Proc. Biol. Soc. Wash 2002, 115, 760–773. [Google Scholar]
- Kim, S.-C.; Crawford, D.J.; Tadesse, M.; Berbee, M.; Ganders, F.R.; Pirseyedi, M.; Esselman, E.J. ITS sequences and phylogenetic relationships in Bidens and Coreopsis (Asteraceae). Syst. Bot. 1999, 24, 480–493. [Google Scholar] [CrossRef]
- Yang, Y.; Sun, X.; Liu, J.; Kang, L.; Chen, S.; Ma, B.; Guo, B. Quantitative and qualitative analysis of flavonoids and phenolic acids in snow chrysanthemum (Coreopsis tinctoria Nutt.) by HPLC-DAD and UPLC-ESI-QTOF-MS. Molecules 2016, 21, 1307. [Google Scholar] [CrossRef] [PubMed]
- Nakabo, D.; Okano, Y.; Kandori, N.; Satahira, T.; Kataoka, N.; Akamatsu, J.; Okada, Y. Convenient synthesis and physiological activities of flavonoids in Coreopsis lanceolata L. Petals and their related compounds. Molecules 2018, 23, 1671. [Google Scholar] [CrossRef] [PubMed]
- Kim, H.-G.; Oh, H.-J.; Ko, J.-H.; Song, H.S.; Lee, Y.-G.; Kang, S.C.; Lee, D.Y.; Baek, N.-I. Lanceolein A-G, hydroxychalcones, from the flowers of Coreopsis lanceolate and their chemopreventive effects against human colon cancer cells. Bioor. Chem. 2019, 85, 274–281. [Google Scholar] [CrossRef] [PubMed]
- Kim, H.-G.; Jung, Y.S.; Oh, S.M.; Oh, H.-J.; Ko, J.-H.; Kim, D.-O.; Kang, S.C.; Lee, Y.-G.; Baek, N.-I. Coreolanceolins A-E, new flavanones from the flowers of Coreopsis lanceolata, and their antioxidant and anti-inflammatory effects. Antioxidants 2020, 9, 539. [Google Scholar] [CrossRef] [PubMed]
- Okada, Y.; Okita, M.; Murai, Y.; Okano, Y.; Nomura, M. Isolation and identification of flavonoids from Coreopsis lanceolate L. pentals. Nat. Prod. Res. 2014, 28, 201–204. [Google Scholar] [CrossRef]
- Shang, Y.F.; Oidovsambuu, S.; Jeon, J.-S.; Nho, C.W.; Um, B.-H. Chalcones from flowers of Coreopsis lanceolata and thier in vitro antioxidative activity. Planta Med. 2013, 79, 295–300. [Google Scholar]
- Shao, D.; Zheng, D.; Hu, T.; Chen, W.; Chen, D.; Zhuo, X. Chemical constituents from Coreopsis lanceolata. Zhongcaoyao 2013, 44, 1558–1561. [Google Scholar]
- Tanimoto, S.; Miyazawa, M.; Inoue, T.; Okada, Y.; Nomura, M. Chemical constituents of Coreopsis lanceolata L. and their physiological activities. J. Oleo Sci. 2009, 58, 141–146. [Google Scholar] [CrossRef]
- Pardede, A.; Mashita, K.; Ninomiya, M.; Tanaka, K.; Koketsu, M. Flavonoid profile and antilekemic activity of Coreopsis lanceolata flowers. Bioorg. Med. Chem. Lett. 2016, 26, 2784–2787. [Google Scholar] [CrossRef] [PubMed]
- Kimura, Y.; Hiraoka, K.; Kawano, T.; Fujioka, S.; Shimada, A. Nematicidal activities of acetylene compounds from Coreopsis lanceolata L. J. Biosci. 2008, 63, 843–847. [Google Scholar] [CrossRef] [PubMed]
- Nauck, M. Incretin therapies: Highlighting common features and differences in the modes of action of glucagon-like peptide-1 receptor agonists and dipeptidyl peptidase-4 inhibitors. Diabetes Obes. Metab. 2016, 18, 203–216. [Google Scholar] [CrossRef] [PubMed]
- Ma, Q.; Li, Y.; Wang, M.; Tang, Z.; Wang, T.; Liu, C.; Wang, C.; Zhao, B. Progress in metabolomics of type 2 diabetes mellitus. Molecules 2018, 23, 1834. [Google Scholar] [CrossRef]
- Mahapatra, D.K.; Asati, V.; Bharti, S.K. Chalcones and their therapeutic targets for the management of diabetes: Structural and pharmacological perspectives. Eur. J. Med. Chem. 2015, 92, 839–865. [Google Scholar] [CrossRef]
- Kim, B.-R.; Kim, H.Y.; Choi, I.H.; Kim, J.-B.; Jin, C.H.; Han, A.-R. DPP- IV inhibitory potentials of flavonol glycosides isolated from the seeds of Lens culinaris: In vitro and molecular docking analyses. Molecules 2018, 23, 1998. [Google Scholar] [CrossRef]
- Mentlein, R. Dipeptidyl-peptidase IV (CD-26) role in the inactivation of regulatory peptides. Regul. Pept. 1999, 85, 9–24. [Google Scholar] [CrossRef]
- Langley, A.K.; Suffoletta, T.J.; Jennings, H.R. Dipeptidyl-peptidase IV inhibitors and the incretin system in type 2 diabets mellitus. Pharmacotheraphy 2007, 27, 1163–1180. [Google Scholar] [CrossRef]
- Kerru, N.; Singh-Pillay, A.; Awolade, P.; Singh, P. Current anti-diabetic agents and their molecular targets: A review. Eur. J. Med. Chem. 2018, 152, 436–488. [Google Scholar] [CrossRef]
- Fan, J.F.; Johnson, M.H.; Lila, M.A.; Yousef, G.; de Mejia, E.G. Berry and citrus phenolic compounds inhibit dipeptidyl peptidase IV: Implications in diabetes management. Evid. Based Complement. Alterat. Med. 2013, 2013, 1–13. [Google Scholar] [CrossRef]
- Bower, A.M.; Real Hernandez, L.M.; Berhow, M.A.; de Mejia, E.G. Bioactive compounds from culinary herbs inhibit a molecular target for type-2 diabetes management, dipeptidyl peptidase-IV. J. Agric. Food Chem. 2014, 62, 6147–6158. [Google Scholar] [PubMed]
- Kim, B.-R.; Thapa, P.; Kim, H.M.; Jin, C.H.; Kim, S.H.; Kim, J.-B.; Choi, H.J.; Han, A.-R.; Nam, J.-W. Purification of phenylpropanoids from the scaly bulbs of lilium longiflorum by CPC and determination of their DPP- IV inhibitory potentials. ACS Omega 2020, 5, 4050–4057. [Google Scholar] [PubMed]
- Silva, D.B.; Rodrigues, E.D.; Silva, G.V.J.; Lopes, N.P.; Oliveira, D.C.R. Post-column sodiation to enhance the detection of polyacetylene glycosides in LC-DAD-MS analyses: An example from Bidens gardneri (Asteraceae). Talanta 2015, 135, 87–93. [Google Scholar] [PubMed]
- Guo, J.; Wang, A.; Yang, K.; Ding, H.; Hu, Y.; Yang, Y.; Huang, S.; Xu, J.; Liu, T.; Yang, H.; et al. Isolation, characterization and antimicrobial activities of polyacetylene glycosides from Coreopsis tinctoria Nutt. Phytochemistry 2017, 136, 1–5. [Google Scholar]
- Saito, Y.; Takiguchi, K.; Gong, X.; Kuroda, C.; Tori, M. Thiophene, furans and related aromatic compounds from Eupatorium heterophyllum. Nat. Prod. Commun. 2011, 6, 361–366. [Google Scholar] [PubMed]
- Snatos, S.C.; Carvalho, A.G.; Fortes, G.A.C.; Ferri, P.H.; de Oliveira, A.E. Variable-temperature NMR and conformational analysis of oenothein B. J. Braz. Chem. Soc. 2014, 25, 282–289. [Google Scholar]
- Xu, K.; Yang, P.-F.; Yang, Y.-N.; Feng, Z.-M.; Jiang, J.-S.; Zhang, P.-C. Direct assignment of the threo and erythro configurations in polyacetylene glycosides by 1H NMR spectroscopy. Org. Lett. 2017, 19, 686–689. [Google Scholar]
- Lavault, M.; Richomme, P. Constituents of Helichrysum stoechas variety olonnes. Chem. Nat. Compd. 2004, 10, 118–121. [Google Scholar]
- Kyriakou, E.; Primikyri, A.; Charisiadis, P.; Katsoura, M.; Gerothanassis, I.P.; Stamatis, H.; Txakos, A.G. Unexpected enzyme-catalyzed regioselective acylation of flavonoid aglycones and rapid product screening. Org. Biomol. Chem. 2012, 10, 1739–1742. [Google Scholar]
- He, J.; Shen, Y.; Jiang, J.-S.; Yang, Y.-N.; Feng, Z.-M.; Zhang, P.-C.; Yuan, S.-P.; Hou, Q. New polyacetylene glucosides from the florets of Carthamus tinctorius and their weak anti-inflammatory activities. Carbohydr. Res. 2011, 345, 1903–1908. [Google Scholar]
- Xi, F.-M.; Li, C.-T.; Han, J.; Yu, S.-S.; Wu, Z.-J.; Chen, W.-S. Thiophenes, polyacetylenes and terpenes from the aerial parts of Eclipata prostrata. Bioorg. Med. Chem. 2014, 22, 6515–6522. [Google Scholar] [CrossRef] [PubMed]
- Slade, D.; Ferreira, D.; Marais, J.P.J. Circular dichroism, a powerful tool for the assessment of absolute configuration of flavonoids. Phytochemistry 2005, 66, 2177–2215. [Google Scholar] [CrossRef] [PubMed]
- Singh, P.; Anand, A.; Kumar, V. Recent developments in biological activities of chalcones: A mini review. Eur. J. Med. Chem. 2014, 85, 758–777. [Google Scholar] [CrossRef] [PubMed]
- Soares, J.M.D.; Pereira Leal, A.E.B.; Silva, J.C.; Almeida, J.R.G.S.; de Oliveira, H.P. Influence of flavonoids on mechanism of modulation of insulin secretion. Pharmacogn. Mag. 2017, 13, 639–646. [Google Scholar] [PubMed]
- Bak, E.J.; Park, H.G.; Lee, C.H.; Lee, T.-I.; Woo, G.-H.; Na, Y.H.; Yoo, Y.-J.; Cha, J.-H. Effect of novel chalcone derivative α-glucosidase, dipeptidyl peptidase-4, and adipocyte differentiation in vitro. BMB Rep. 2011, 44, 410–414.
Sample Availability: Samples of the compounds in these studies are available from the authors. |



| Position | 1 | ||
|---|---|---|---|
| δH | δC | HMBC (carbon no.) | |
| 1 | 3.33 (2H, dd, J = 12.3, 6.3) | 61.1 | 3 |
| 2 | 1.35 (2H, dd, J = 14.0, 6.3) | 32.8 | 4 |
| 3 | 1.28 (2H, dd, J = 14.0, 6.8) | 21.7 | 5 |
| 4 | 1.45 (2H, dd, J = 13.0, 6.8) | 35.1 | 6 |
| 5 | 4.26 (1H, ddd, J = 13.0, 6.0, 1.5) | 76.5 | 1′, 7 |
| 6 | 6.39 (1H, J = dd, J = 16.0, 6.0) | 151.4 | 8 |
| 7 | 6.06 (1H, dd, J = 16.0, 1.5) | 108.6 | 9, 10 |
| 8 | 75.5 | ||
| 9 | 74.0 | ||
| 10 | 59.0 | ||
| 11 | 67.4 | ||
| 12 | 64.6 | ||
| 13 | 81.3 | ||
| 14 | 2.02 (3H, s) | 4.6 | 10, 11, 12 |
| 1′ | 4.00 (1H, d, J = 8.0) | 101.3 | 5, 6 |
| 2′ | 2.92 (1H, dd, J = 8.0, 4.5) | 74.0 | |
| 3′ | 3.07 (1H, dd, J = 8.7, 4.5) | 77.3 | |
| 4′ | 2.99 (1H, m) | 70.6 | |
| 5′ | 2.99 (1H, m) | 77.4 | |
| 6′ | 3.38 (1H, m) 3.61 (1H, dd, J = 11.4, 6.0 Hz) | 61.7 | |
© 2020 by the authors. Licensee MDPI, Basel, Switzerland. This article is an open access article distributed under the terms and conditions of the Creative Commons Attribution (CC BY) license (http://creativecommons.org/licenses/by/4.0/).
Share and Cite
Kim, B.-R.; Paudel, S.B.; Nam, J.-W.; Jin, C.H.; Lee, I.-S.; Han, A.-R. Constituents of Coreopsis lanceolata Flower and Their Dipeptidyl Peptidase IV Inhibitory Effects. Molecules 2020, 25, 4370. https://doi.org/10.3390/molecules25194370
Kim B-R, Paudel SB, Nam J-W, Jin CH, Lee I-S, Han A-R. Constituents of Coreopsis lanceolata Flower and Their Dipeptidyl Peptidase IV Inhibitory Effects. Molecules. 2020; 25(19):4370. https://doi.org/10.3390/molecules25194370
Chicago/Turabian StyleKim, Bo-Ram, Sunil Babu Paudel, Joo-Won Nam, Chang Hyun Jin, Ik-Soo Lee, and Ah-Reum Han. 2020. "Constituents of Coreopsis lanceolata Flower and Their Dipeptidyl Peptidase IV Inhibitory Effects" Molecules 25, no. 19: 4370. https://doi.org/10.3390/molecules25194370
APA StyleKim, B.-R., Paudel, S. B., Nam, J.-W., Jin, C. H., Lee, I.-S., & Han, A.-R. (2020). Constituents of Coreopsis lanceolata Flower and Their Dipeptidyl Peptidase IV Inhibitory Effects. Molecules, 25(19), 4370. https://doi.org/10.3390/molecules25194370

