Abstract
An efficient route to acylated acyclic nucleosides containing a branched hemiaminal ether moiety is reported via three-component alkylation of N-heterocycle (purine nucleobase) with acetal (cyclic or acyclic, variously branched) and anhydride (preferentially acetic anhydride). The procedure employs cheap and easily available acetals, acetic anhydride, and trimethylsilyl trifluoromethanesulfonate (TMSOTf). The multi-component reaction is carried out in acetonitrile at room temperature for 15 min and provides moderate to high yields (up to 88%) of diverse acyclonucleosides branched at the aliphatic side chain. The procedure exhibits a broad substrate scope of N-heterocycles and acetals, and, in the case of purine derivatives, also excellent regioselectivity, giving almost exclusively N-9 isomers.
1. Introduction
Structurally modified nucleosides and nucleotides belong to the most studied class of biologically active compounds, especially for their potential antiviral and anticancer properties [1,2,3,4]. Among them, so called acyclic nucleoside and nucleotide analogues have played an important role in the combat with various viral infections [3,5,6]. Acyclic nucleosides (acyclonucleosides), in general, are defined as heterocyclic compounds (usually nucleobase or modified nucleobase) containing one or more functional groups (usually hydroxyls) on the aliphatic side chain. The discovery of acyclovir (Zovirax) [7,8,9] and (S)-DHPA [10], the active ingredient of Duviragel (marketed in former Czechoslovakia), as anti-herpetic drugs (Figure 1), sparked the real interest in synthesis and biological evaluation of various types of acyclonucleosides.
Figure 1.
Examples of clinically used acyclic nucleosides and our target compounds.
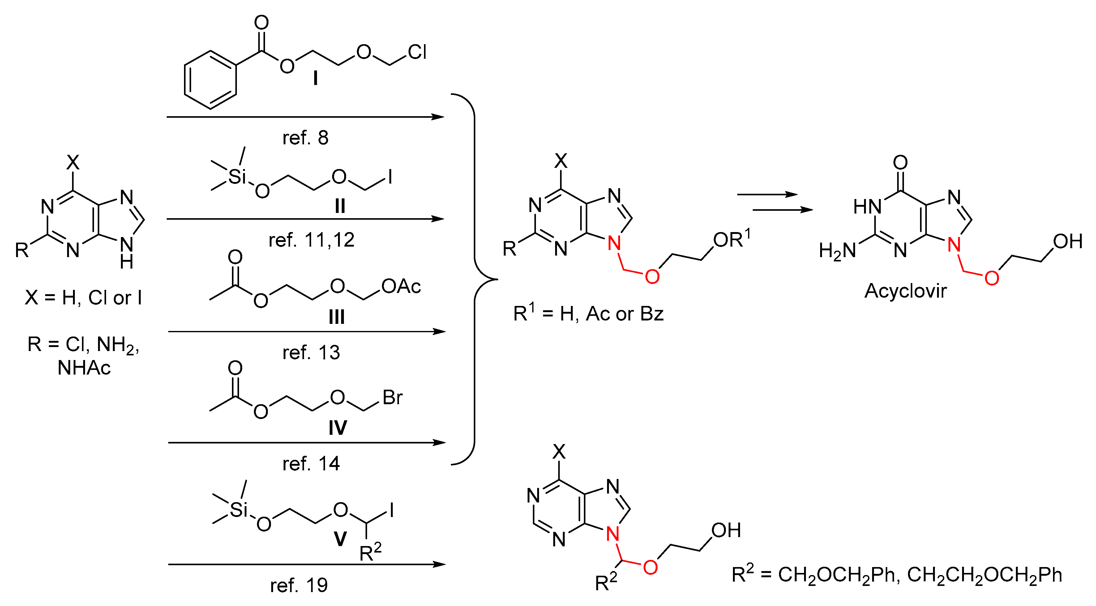
The key step of the synthesis of acyclovir and its analogues, as the most successful antivirals among acyclonucleosides, consisted of alkylation of properly substituted purine derivative with suitable alkylating agent. This methodology was quite well scrutinized as shown on the example of acyclovir syntheses (Scheme 1). The proper alkylating agents can be conveniently prepared by opening of 1,3-dioxolanes [5]. The original synthesis of acyclovir by Schaeffer et al. [8] started from 2,6-dichloropurine and (2-benzoyloxyethoxy)methyl chloride (I, Scheme 1) to give N-9 substituted product in a 41% yield.
Scheme 1.
Alkylation of purine nucleobases as the key step in the synthesis of acyclovir.
A more efficient method of acyclovir synthesis was reported by Barrio and coworkers [11,12], when (2-trimethylsilyloxyethoxy)methyl iodide (II, Scheme 1), prepared by treatment of 1,3-dioxolane with trimethylsilyl iodide at low temperature, was exploited for alkylation of 2-chloro-6-iodopurine to afford N-9 substituted product in a 75% yield. Matsumoto et al. [13] exploited a reaction of diacetylguanine and 2-oxa-1,4-butanediol diacetate (III, Scheme 1) in the presence of p-toluenesulfonic acid and obtained the N-9 substituted product in a 66% yield. The synthesis of purine acyclonucleosides was also studied by Robins and Hatfield [14], where treatment of silylated purines (2,6-dichloropurine and 2-amino-6-chloropurine) with (2-acetoxyethoxy)methyl bromide (IV, Scheme 1) in the presence of mercury(II) cyanide afforded desired N-9 substituted acyclonucleosides in 89% and 84% yields, respectively. This methodology effectively eliminated formation of N-7 isomers that are usually observed during alkylation of purine sodium salts [12].
Acyclovir (acycloguanosine), its derivatives (namely ganciclovir and penciclovir) and their prodrugs (valacyclovir, valganciclovir, and famciclovir, respectively) represent commercially successful anti-herpesvirus drugs [15,16,17,18]. Quite surprisingly, the research of α-branched acyclic nucleoside analogues (i.e., derivatives branched at hemiaminal ether carbon atom C-1′) derived from acyclovir has been somehow neglected and only scarce reports can be found in the literature. Bryant et al. [19] applied the above mentioned methodology [11,12], when treatment of 2-substituted 1,3-dioxolanes with trimethylsilyl iodide at −78 °C afforded the properly branched alkylating agents V (Scheme 1), which were further reacted with sodium salt of 6-chloropurine to afford N-9 alkylated acyclonucleosides in 50–70% yields.
Other synthetic approaches towards α-branched acyclonucleosides bearing purine nucleobases were based either on an oxidative cleavage of the cis vicinal diol group of ribosyl moiety with sodium periodate [20,21], or on a Michael-type addition reaction [22]. These methods, nevertheless, are not suitable for synthesis and biological evaluation of a larger set of acyclonucleosides of the acyclovir type.
Recently, some novel and more efficient synthetic approaches towards purine acyclonucleosides have been reported. N-Alkoxyalkylation of nucleobases with cyclic or aliphatic ethers was performed under the catalyzed (CuCl2 or n-Bu4NI) peroxide-promoted (t-BuOOH) coupling conditions giving preferentially N-9 alkylated purine derivatives in moderate to high yields [23,24]. Another efficient and highly selective method for the synthesis of N-9 alkylated purine nucleosides exploited a reaction between purines and alkyl ethers in the presence of (diacetoxyiodo)benzene and iodine [25]. Finally, asymmetric synthesis of purine acyclonucleosides containing a hemiaminal ester moiety was reported via a three-component reaction of purines, aldehydes, and acid anhydrides [26].
α-Branched acyclonucleosides bearing hemiaminal ether moiety represent a great mimic of natural nucleosides. Although quite an impressive progress in synthetic accessibility of such analogues has been done in recent years, a general, efficient, and cheap synthetic methodology towards such compounds is still highly desirable, in order to search for potent antiviral and/or anticancer agents. Herein, we report an attractive and simple multi-component reaction between modified purine (no need for its silylation), anhydride, and acetal in the presence of trimethylsilyl trifluoromethanesulfonate leading to variously branched acyclonucleosides analogues (Figure 1).
2. Results and Discussion
Treatment of 6-chloropurine (1a) with 2-bromomethyl-1,3-dioxolane (2a) and acetic anhydride (3a) in a presence of Lewis acid was chosen as a model reaction (Table 1). Since we observed formation of alkylated products for the first time in acetonitrile (MeCN), it was used as a suitable solvent for initial optimization of the reaction conditions. At first, the influence of various Lewis acids and of temperature on the reaction course was studied. Thus, an equimolar mixture of starting compounds 1a, 2a, and 3a with corresponding Lewis acid was stirred in MeCN for 15 min either at room temperature or at 70 °C (analogous treatment at 0 °C gave generally much lower yields, data not shown). The results are summarized in Table 1. The best conversion and regioselectivity (only N-9 isomer 4 formed, no N-7 isomer 5 observed) was achieved with the use of SnCl4 and trimethylsilyl trifluoromethanesulfonate (TMSOTf), up to 83% isolated yields, both at room temperature and at 70 °C. With other Lewis acids used, the conversion was much lower (below 40%) and/or regioselectivity was worse, although N-9 isomer 4 always remained the major product. Increased temperature led to significantly increased yields of 4, compared to room temperature, when FeCl3, AlCl3, or TiCl4 were employed as Lewis acids, but the yields were still lower compared to those with SnCl4 or TMSOTf. Furthermore, prolongation of the reaction time had no positive effect on the conversion (data not shown).
Table 1.
Preparation of acyclonucleoside 4 by multi-component reaction—Lewis acid optimization a.
Based on the above results (Table 1), the following reaction procedure (general procedure A) was selected for further optimization studies: equimolar (2.0 mmol) mixture of 6-chloropurine (1a), 2-bromomethyl-1,3-dioxolane (2a), acetic anhydride (3a) and TMSOTf in 10 mL of solvent at room temperature for 15 min.
Next, the influence of the solvent was carefully evaluated. The above standard reaction procedure (general procedure A) was carried out in a wide range of solvents (Table 2). In some solvents (DMSO, DMF, NMP, THF, cyclohexane, methanol, pyridine), no reaction was observed, while in other solvents only traces of product (toluene, acetic acid) or low yields of desired product (acetone, DCM) were obtained. High conversion (between 67% and 54%) was observed in nitromethane, EtOAc, and dioxane, but regioselectivity was generally worse and small amounts of undesired N-7 isomer 5 (4–6%) were observed or isolated. The best solvent for the glycosylation proved to be originally used MeCN with an 83% yield of compound 4 (Table 1 and Table 2).
Table 2.
Preparation of acyclonucleoside 4 by multi-component reaction—solvent optimization a.
The above reaction conditions (general procedure A) developed for the model reaction (Table 1 and Table 2) were slightly optimized into general method B (Scheme 2), where 1.5 equivalent of TMSOTf (instead of 1.0 equivalent) was used, giving comparable or slightly better yield of 4 (85% vs. 83%). It should be noted, that further increase of amount of TMSOTf during the reaction course did not lead to further improvements. With this methodology (general procedure B) in hands, we decided to explore the substrate scope and limitations of this alkylation procedure with regard to N-heterocycles, acetals, as well as acid anhydrides and acyl chlorides.
Scheme 2.
Preparation of acyclonucleosides by multi-component reaction—the scope of purines and cyclic acetals a,b. a General procedure B. b Isolated yields. c nr—no reaction. d 2.0 equivalent of acetic anhydride used. e traces—detected by UPLC-MS, not isolated.
First, we carried out the reaction with variously substituted purines (including aza/deazapurines, where purine numbering system was used) and with a wide range of cyclic acetals (Scheme 2). Most starting materials were commercially available, some acetals, however, had to be prepared (see the experimental section). It was found, that most of the modified purines were good substrates and afforded the expected products in good to moderate yields, especially with certain type of acetals. For example, when 2-bromomethyl-1,3-dioxolane (2a) was used as the reaction partner, all purine analogues used gave the corresponding products in 54–85% yields, with the exception of unprotected guanine (1h) when only undesired N-7 isomer 23 was obtained in a 15% yield. Moreover, a variety of cyclic acetals, both 5-membered 1,3-dioxolanes (2a, 2b, 2g, 2k, and 2m) and 6-membered 1,3-dioxanes (2c and 2i), afforded the desired products (yields in the range of 11–85%). Nevertheless, when the acetal used contained an aldehyde group (2f), a free hydroxyl (2j) or an azido group (2n), no reaction was observed. Furthermore, the reaction did not take place when 1,3-dioxolanes disubstituted at the acetal carbon atom (compounds 2h and 2l) were used as the reaction partners.
In general, desired regioselectivity of the synthetic procedure was great, affording almost exclusively N-9 isomers, with two exceptions: treatment of 2-amino-6-chloro-7-deaza-8-azapurine (1g) with 2-bromomethyl-1,3-dioxolane (2a) gave N-8 isomer 22 (78%) and already mentioned reaction of guanine (1h) with 2a afforded N-7 isomer 23 (15%). It should be also noted, that isolation of adenine derivative 24 had to be modified since the extraction into chloroform did not work in this case (see the experimental part).
The studied three-component reaction leading to acetylated acyclonucleosides (Scheme 2) proceeded usually with good to high yields and both with five- and six-membered, variously substituted acetals. In several cases, the reaction did not proceed at all or with lower yields. Treatment of 6-chloropurine (1a) with 1,3-oxathiolane (2d) afforded both N-9 isomer 8 (15%) and N-7 isomer 9 (10%) in low yields. The alkylation did not proceed with aromatic 1,3-dioxolane 2e nor with 2,2-disubstituted 1,3-dioxolane 2l (a compound with disubstituted acetal carbon).
When 2-amino-6-chloropurine (1d) was treated with equimolar amount of acetic anhydride (general procedure B), desired product 18 was observed in traces only (UPLC-MS Acquity Waters, USA, H-Class Core System) and the bis-acetylated product 17 was isolated as the major product (49% yield). Interestingly, this was the only case when the exocyclic amino group underwent acetylation during the reaction and up to now, we have no good explanation for this observation. In order to increase the yield, 2 equivalents of acetic anhydride were used next (under otherwise identical conditions), and compound 17 was obtained in a 59% yield. On the other hand, compound 17 was prepared in a 72% yield, when the reaction started directly from N-2 acetylated 2-amino-6-chloropurine 1e instead of 1d.
Quite a surprise for us was the reaction with carbamate 2k. Carbamates are, in general, relatively unstable under acidic conditions. However, treatment of carbamate 2k with N-2 acetylated 2-amino-6-chloropurine 1e gave desired product 20 in a 64% yield.
Next, the developed alkoxyalkylation methodology (general procedure B) was carried out with selected purines and with various acyclic acetals (Scheme 3). Depending on the starting materials, the reactions afforded products in low to high yields (23–82%), with the exception of acetals containing either unprotected amino (compound 2p) or hydroxyl (compound 2q) group, where no reaction was observed.
Scheme 3.
Preparation of acyclonucleosides by multi-component reaction—the scope of purines and acyclic acetals a,b. a General procedure B. b Isolated yields. c nr—no reaction.
As shown before, the presence of double bond in acetal 2m (Scheme 2) was tolerated under the reaction conditions. We were subsequently interested in using acetal with a triple bond. Thus, treatment of purines 1b and 1l (Scheme 3) with 3,3-diethoxy-1-propyne (2r), diethyl acetal of propynal, afforded desired products 34 (36%) and 36 (31%), respectively, in acceptable yields. Furthermore, ketone containing acetal 2s was tolerated as well, and product 35 was obtained in a 23% yield.
In order to extend the substrate scope of the studied synthetic procedure, reactions of various N-heterocycles with selected cyclic and acyclic acetals were carried out next (Scheme 4). The reactions afforded acceptable to high yields (21–88%) of target compounds, no reaction was observed only in the case when 1H-indole (1s) and acetal 2o were used as reaction partners. However, when the hydroxyl group of acetal 2q (Scheme 3) was acetylated, as in acetal 2t (Scheme 4), desired alkylated product 37 was isolated in a 68% yield. The best yield (88% of 38 as inseparable mixture of diastereoisomers) was obtained during the reaction of 3-deazapurine derivative 1n with racemic acetal 2u, which contains both nitrile and ester groups, demonstrating that these functional groups were well-tolerated.
Scheme 4.
Preparation of acyclonucleosides by multi-component reaction—the scope of nitrogen heterocycles (other than purines) and cyclic/acyclic acetals a,b,c. a General procedure B. b Isolated yields. c nr—no reaction.
The regioselectivity was usually great, as demonstrated by formation of products 39 (1,2,4-triazole derivative), 41 (pyrazole derivative) and 45 (benzotriazole derivative). The only exception was the reaction of tetrazole 1r with acetal 2m, where regioisomers 42 (26%) and 43 (21%) were isolated in almost equimolar ratio.
Furthermore, the reaction of compound 1q demonstrated that nitro group and even unprotected carboxylic acid are tolerated during the procedure and product 41 was isolated in a 40% yield. In case of thiazolium trifluoromethanesulfonate 40, which is highly soluble in water, the extraction had to be replaced by the purification on C18-silica gel column. Nevertheless, it can be concluded that described procedure can be applied to a large variety of N-heterocyclic compounds.
The last goal of the study was to test whether different anhydrides of carboxylic acids or even acyl chlorides could be exploited for such methodology (Scheme 5). For this purpose, our model reaction of 6-chloropurine (1a) with 2-bromomethyl-1,3-dioxolane (2a) under standard reaction conditions (general procedure B) was chosen, where acetic hydride (3a) was replaced by other anhydrides or acyl chlorides.
Scheme 5.
Preparation of acyclonucleosides by multi-component reaction—the scope of carboxyl acid anhydrides and acyl chlorides a,b. a General procedure B. b Isolated yields. c nr—no reaction. d traces—detected by UPLC-MS, not isolated.
When pivalic anhydride (3b) or benzoic anhydride (3c) were used, the corresponding acylated acyclonucleosides 46 (51%) and 47 (39%), respectively, were obtained in satisfactory yields. The yields were, however, lower compared to the reaction with acetic anhydride (85% of 4). This methodology could be exploited in the synthesis where pivaloyl (Piv) or benzoyl (Bz) protected hydroxyl intermediate would be beneficial for subsequent reaction steps. Moreover, these protecting groups could be easily removed in situ. The reaction, though, did not proceed with p-toluenesulfonic anhydride (3d, no product observed; the expected product 48 would be probably too reactive/unstable), nor with stearic anhydride (3f, traces of product 50 observed in UPLC-MS, impossible to isolate due to its high lipophilicity).
Interestingly, when (S,S)-2-(6-methoxynaphthalene-2-yl)propionic anhydride (3e, Naproxen anhydride) [27], a chiral derivatizing reagent applicable in enantioresolution of certain pharmaceuticals, was treated with 1a and 2a (general procedure B), the desired product 49 was obtained in a 20% yield as a mixture of two inseparable diastereomers in 1:1 ratio. No enantioselective reaction was observed in this case.
When anhydrides were replaced with the corresponding acyl chlorides, the glycosylation did not proceed well. The reaction of 1a and 2a with acetyl chloride (3g) or benzoyl chloride (3i) did not afford any isolable product (only traces of 4 and 47 were detected by UPLC-MS), while analogous procedure with anhydrides afforded target compounds 4 and 47 in 85% and 39% yields (Scheme 5). On the other hand, when decanoyl chloride (3h) was employed, the reaction afforded the expected acylated product 51 in a 35% yield. In certain cases it may be desirable to prepare lipophilic compounds (e.g., in order to be cell penetrable) and also their isolation can be conveniently done with simple extraction into an organic solvent.
In order to reveal the plausible reaction mechanism, the reaction (general procedure B with 1a, 2a, and 3a) was run in deuterated MeCN directly in the NMR tube. Intermediate 52 (Scheme 6) was observed immediately after the reaction set up, together with a small amount of ethylene glycol diacetate (53) formed as a by-product (its structure was compared with commercially available sample). In order to confirm the structure of compound 52, it was prepared independently in a 91% yield by treatment of 2-bromomethyl-1,3-dioxolane (2a) and acetic anhydride (3a) in the presence of sulfuric acid (a modified procedure of Rosowsky et al. [28] for the preparation of 2-acetoxyethyl acetoxymethyl ether). Compound 52 was fully characterized and its NMR spectra were identical with those of the intermediate observed during the NMR experiment. Thus, the first reaction step of the synthesis of acyclic nucleosides is acetolysis of the corresponding acetal, in this case of compound 2a. We also performed reaction of compound 52 with 6-chloropurine (1a) and TMSOTf (1.5 equivalent) in MeCN (analogy to general procedure B) and product 4 (Scheme 6) was isolated in a 30% yield. Thus, the multi-component one-pot approach affords much better yields of the target compound 4 (85% versus 30%) and eliminates the reaction step needed for preparation of the alkylating agent (e.g., compound 52).
Scheme 6.
Study of the reaction course and synthesis of intermediate 52.
3. Materials and Methods
General Methods. Unless otherwise stated, solvents were evaporated at 40 °C/2 kPa and prepared compounds were dried at 30 °C at 2 kPa. Reaction flasks were heated in aluminum heating blocks. Tetrahydrofuran, dioxane, and acetonitrile were dried by activated neutral alumina (Drysphere). Dimethylformamide was dried by activated molecular sieves (3 Å). Other dry solvents were purchased from commercial suppliers. Analytical TLC was performed on silica gel pre-coated aluminum plates with the fluorescent indicator Merck 60 F254 (Sigma-Aldrich, Prague, Czech Republic). Flash column chromatography was carried out by Teledyne ISCO CombiFlash Rf200 with a dual absorbance detector (Teledyne ISCO, Lincoln, NE, USA). HRMS spectra (ESI+ or EI+) were recorded on LTQ Orbitrap XL spectrometer (Thermo Fisher Scientific, Waltham, MA, USA) with the ESI or EI ionization method. NMR spectra were recorded on Bruker (Rheinstetten, Germany) Avance III (400 MHz or 500 MHz) spectrometers and referenced to the residual solvent signal or a specified additive (see Supplementary Materials). The structure determination for all compounds and the assignment of NMR signals was done with the help of a combination of 1D proton and carbon experiments with 2D H,H-COSY, H,C-HSQC, and H,C-HMBC experiments. Standard experiments from the Bruker pulse-sequence library were used. Purity of compounds was measured on Waters UPLC-MS system (Santa Clara, CA, USA) that consisted of Waters UPLC H-Class Core System (column Waters ACQUITY UPLC BEH C18 1.7 mm, 2.1 × 100 mm), Waters ACQUITY UPLC PDA detector and Mass spectrometer Waters SQD2. The universal LC method was used (eluent H2O/MeCN, gradient 0–100%, run length 7 min) and MS method (ESI+ and/or ESI−, cone voltage = 30 V, mass detector range 100–1000 Da). Purity of the final compounds was >95%, unless otherwise stated.
Preparation of starting material. Starting compounds and reagents were purchased from commercial suppliers (Sigma-Aldrich, Prague, Czech Republic; Fluorochem, Hadfield, UK; Fisher Scientific, Pittsburgh, PA, USA; Carbosynth, Compton, UK; TCI Europe, Zwijndrecht, Belgium) and used without further purification. In several cases, we had to prepare the starting material that was not commercially available. Compounds 2d [29], 2i [30], and 2m [31] were prepared according to the published procedures.
2-(1,2-Dihydroxyethyl)-1,3-dioxolane-1,3-diacetate (2b). First, 2-vinyl-1,3-dioxolane was prepared using modified procedure reported by Coates et al. [32]: a mixture of acrolein (126 g, 147 mL, 2.2 mol), ethane-1,2-diol (126 g, 113 mL, 2.0 mol) and pyridinium p-toluenesulfonate (1.51 g, 6.0 mmol) in pentane (300 mL) and diethyl ether (100 mL) was refluxed (45 °C) for 1 week using azeotropic apparatus. Acrolein and solvents were distilled off in vacuo. Distillation of the crude reaction mixture (120 °C, ambient pressure) afforded 2-vinyl-1,3-dioxolane (55.5 g, 24%) as bright colorless liquid. 1H- and 13C-NMR spectra were in accordance with the literature [32]. Secondly, 1-(1,3-dioxolan-2-yl)ethane-1,2-diol was prepared: 4% aq. solution of OsO4 (5 mL) was added to a stirred solution of 2-vinyl-1,3-dioxolane (20 g, 0.20 mol) in a mixture of acetone/water (5:1, 100 mL) and the resulting mixture was stirred at rt for 10 min. N-Methylmorpholine N-oxide (25.8 g, 0.22 mol) was added and the mixture was stirred at rt overnight. A 50% aq. solution of sodium thiosulfate (5 mL) was added and the mixture stirred for additional 30 min. Solvents were removed in vacuo and resulting slurry was dissolved in a mixture of chloroform/methanol (5:1, 150 mL) and filtered through a 5 cm silica gel column. Solvents were removed in vacuo to give 1-(1,3-dioxolan-2-yl)ethane-1,2-diol (21.7 g, 81%) as yellow viscous oil. 1H-NMR (400 MHz, CDCl3): δ = 4.89–4.83 (m, 1H, O-CH-O), 4.06–3.82 (m, 4H, O-CH2-CH2-O), 3.76–3.63 (m, 3H, H-1, H-2 and H-3), 3.29 (bs, 2H, OH). 13C-NMR (100 MHz, CDCl3): δ = 103.7 (C-1), 72.1 (C-2), 65.4 (O-CH2-CH2-O), 65.2 (O-CH2-CH2-O), 62.8 (C-3). HRMS (EI+) m/z: [M + H]+ calcd for C5H11O4, 135.0657; found, 135.0654. Finally, acetic anhydride (10 mL) was added to a solution of 1-(1,3-dioxolan-2-yl)ethane-1,2-diol (5.0 g, 37.3 mmol) in dry pyridine (50 mL) and the resulting mixture was stirred at room temperature overnight. Volatiles were removed in vacuo and the residue was suspended in water (50 mL). The suspension was extracted chloroform (3 × 50 mL). The combined organic fractions were washed with brine (50 mL), dried over MgSO4, and evaporated to give 2b (4.32 g, 53%) as yellowish viscous oil. 1H-NMR (400 MHz, CDCl3): δ = 5.03 (ddd, J(2,3b) = 6.8 Hz, J(2,1) = 4.5 Hz, J(2,3a) = 3.1 Hz, 1H, H-2), 4.97 (d, J(1,2) = 4.5 Hz, 1H, H-1), 4.31 (dd, J(gem) = 12.1 Hz, J(3a,2) = 3.1 Hz, 1H, H-3a), 4.09 (dd, J(gem) = 12.1 Hz, J(3b,2) = 6.8 Hz, 1H, H-3b), 3.91 (m, 2H, O-CH2-CH2-O), 3.83 (m, 2H, O-CH2-CH2-O), 2.03 (s, 3H, 2-O-COCH3), 1.79 (s, 3H, 3-O-COCH3). 13C-NMR (100 MHz, CDCl3): δ = 170.6 (3-O-CO), 170.0 (2-O-CO), 101.3 (C1), 71.1 (C2), 65.5 (O-CH2-CH2-O), 65.1 (O-CH2-CH2-O), 62.0 (C-3), 20.8 (2-O-COCH3), 20.7 (3-O-COCH3). HRMS (ESI+) m/z: [M + Na]+ calcd for C9H14O6Na, 241.0688; found, 241.0683.
1,3-Dioxan-5-yl 4-methylbenzenesulfonate (2i) [30]. p-Toluenesulfonyl chloride (38.1 g, 0.20 mol) was added to a solution of glycerol formal (20.8 g, 0.20 mol, a mixture of 67% of 1,3-dioxan-5-ol and 33% of (1,3-dioxolan-4-yl)methanol) in dry pyridine (200 mL) cooled to 0 °C. The mixture was stirred at 0 °C for 30 min and then at room temperature for 24 h. Aq. 6N HCl (0.5 L) was added and the mixture was extracted EtOAc (4 × 200 mL). Combined organic layers were washed with 1N HCl (2 × 200 mL), brine (200 mL), dried over MgSO4, and evaporated. The crude product was dissolved in diethyl ether (500 mL) from which pure product crystallized to give 2i (17.0 g, 33%) as white crystals. Analytical data were in accordance with the literature [30]. The evaporated filtrate afforded (1,3-dioxolan-4-yl)methyl 4-methylbenzenesulfonate (6.3 g, 12%) as a whitish solid, which was used further in the synthesis of compound 2n.
Benzyl (3aR, 6aS)-tetrahydro-5H-[1,3]dioxolo[4,5-c]pyrrole-5-carboxylate (2k). First, a treatment of benzyl 3-pyrroline-1-carboxylate (1.5 g, 7.38 mmol), N-methylmorpholine N-oxide (1.3 g, 11.0 mmol) and 4% aq. OsO4 solution (0.5 mL) in a THF/water mixture (5:1, 30 mL) afforded benzyl (3S,4R)-3,4-dihydroxypyrrolidine-1-carboxylate (1.5 g, 86%) as light brown viscous oil, which was used directly in the next step. Benzyl (3S,4R)-3,4-dihydroxypyrrolidine-1-carboxylate (1.27 g, 5.35 mmol) and dimethoxymethane (0.26 mL, 5.35 mmol) were dissolved in dry DCM (30 mL). BF3·Et2O (0.68 mL, 5.35 mmol) was added in one portion and the reaction mixture was stirred at room temperature for 15 min. Another portion of dimethoxymethane (0.26 mL, 5.35 mmol) was added and the mixture was stirred at rt for additional 15 min. Water (20 mL) was added, the mixture was extracted with DCM (3 × 20 mL) and combined organic layers washed with brine, dried over MgSO4 and evaporated to give the crude product. Column chromatography on silica gel (3% methanol in chloroform) gave 2k (750 mg, 56%) as light brown viscous oil. 1H-NMR (400 MHz, CDCl3): δ = 7.35 (m, 5H, H-o-Bn, H-m-Bn, H-p-Bn ), 5.13 (s, 2H, Bn-CH2), 5.08 (s, 1H, O-CH2a-O), 4.89 (s, 1H, O-CH2b-O), 4.67 (dt, J(vic) = 3.7 Hz, J(2-3b) = 1.0 Hz, 2H, CH-O), 3.82 (bs, 2H, N-CH2a), 3.44 (m, 2H, N-CH2b). 13C-NMR (100 MHz, CDCl3): δ = 154.1 (C=O), 136.7 (C-i-Bn), 128.6 (C-o-Bn), 128.2 (C-p-Bn), 128.1 (C-m-Bn), 96.0 (O-CH2-O), 79.5 (CH-O ), 78.6 (CH-O ), 67.2 (1′-CH2), 51.3 (N-CH2). HRMS (ESI+) m/z: [M]+ calcd for C13H15NO4, 249.1001; found, 249.1003.
4-(Azidomethyl)-1,3-dioxolane (2n). A mixture of (1,3-dioxolan-4-yl)methyl 4-methylbenzenesulfonate (5.0 g, 19.4 mmol) and sodium azide (2 g, 30.8 mmol) in dry DMSO (30 mL) was stirred at 90 °C for 6 h. The mixture was then poured into water (50 mL) and extracted with diethyl ether (3 × 50 mL). Combined organic layers were washed with brine (50 mL), dried over MgSO4, and evaporated. The crude mixture was purified by flash chromatography (silica gel, cHex to 30% EtOAc linear gradient) to obtain 2n (1.25 g, 50%) as colorless liquid. 1H-NMR (400 MHz, CDCl3): δ = 5.05 (s, 1H, O-CH2a-O), 4.86 (s, 1H, O-CH2b-O), 4.20 (ddt, J(CH,CH2a) = 6.8 Hz, J(CH,CH2b) = 5.6 Hz, J(CH,CH2N3) = 4.5 Hz, 1H, CH), 3.94 (dd, J(gem) = 8.5 Hz, J(CH,CH2a) = 6.8 Hz, 1H, O-CH2a), 3.70 (dd, J(gem) = 8.5 Hz, J(CH,CH2b) = 5.6 Hz, 1H, O-CH2a), 3.44–3.25 (m, 2H, CH2-N3). 13C-NMR (100 MHz, CDCl3): δ = 95.5 (O-CH2-O), 74.3 (CH), 67.3 (O-CH2), 52.5 (CH2-N3). HRMS (EI+) m/z: no peak observed.
2,2-Diethoxyethan-1-ol (2q). 2-Hydroxyacetaldehyde (50 g, 0.28 mol) was added in one portion to 1M solution of NaOH in ethanol (285 mL) and the mixture was stirred at room temperature for 15 min. Then volatiles were removed in vacuo and the residue dissolved in water (50 mL). The solution was extracted with chloroform (3 × 150 mL) and combined organic layers were washed with brine (150 mL), dried over MgSO4, and chloroform was carefully evaporated in vacuo. The residue was distillated (30 °C, 5.85 torr) to give 2q (34.6 g, 91%) as colorless liquid. 1H-NMR (400 MHz, DMSO-d6): δ = 4.63 (t, J(CH2-OH) = 6.1 Hz, 1H, OH), 4.40 (t, J(CH-CH2) = 5.4 Hz, 1H, CH), 3.41–3.64 (m, 4H, CH2-CH3), 3.36–3.29 (m, 2H, CH2-OH), 1.11 (t, J(CH2-CH3) = 7.0 Hz,). 13C-NMR (100 MHz, DMSO-d6): δ = 102.5 (CH), 62.0 (CH2-OH), 61.4 (CH2-CH3), 15.3 (CH3). HRMS (EI+) m/z: [M + Na]+ calcd for C6H14O3Na, 157.0841; found, 157.0839.
2,2-Diethoxyethyl acetate (2t). A mixture of bromoacetaldehyde diethyl acetal (53 g, 0.27 mol), potassium acetate (26 g, 0.27 mol), and tetrabutylammonium bromide (43 g, 0.13 mol) in dry acetonitrile (400 mL) was heated at 130 °C overnight. The mixture was cooled to room temperature, water (100 mL) was added and the mixture was extracted diethyl ether (3 × 30 mL). Combined organic layers were washed with brine, dried over MgSO4 and evaporated. The crude product vas distilled (28 °C, 7.10-2 mbar) to give 2t (38 g, 80%) as colorless liquid. 1H-NMR (400 MHz, CDCl3): δ = 6.53 (t, J (CH2,CH) = 5.3 Hz, 1H, H-2), 5.94 (d, J (CH2,CH) = 5.3 Hz, 2H, H-1), 5.57 (m, 2H, O-CH2-CH3), 5.43 (m, 2H, O-CH2-CH3), 3.94 (s, 3H, OAc-CH3), 3.08 (t, J(CH3,CH2) = 7.1 Hz, 6H, CH3). 13C-NMR (100 MHz, CDCl3): δ = (101 MHz, CDCl3) δ 170.6 (C=O), 99.5 (C-2), 63.9 (C-1), 62.3 (O-CH2-CH3), 20.8 (OAcCH3), 15.2 (O-CH2-CH3). HRMS (EI+) m/z: [M + Na]+ calcd for C8H16O4Na, 199.0946; found, 199.0939.
Tetrahydrofuro[3,4-d][1,3]dioxole (2v) [33]. First, a treatment of 2,5-dihydrofuran (2.0 g, 28.5 mmol), N-methylmorpholine N-oxide (5.0 g, 42.8 mmol), and 4% aq. OsO4 solution (0.7 mL) in an acetone/water mixture (5:1, 30 mL) afforded (3R,4S)-tetrahydrofuran-3,4-diol (2.5 g, 83%) as viscous colorless oil. (3R,4S)-tetrahydrofuran-3,4-diol (2.1 g, 20 mmol) and dimethoxymethane (2.1 g, 2.3 mL, 26.2 mmol) were dissolved in dry DCM (20 mL). BF3·Et2O (2.9 g, 2.6 mL, 20.0 mmol) was added in one portion to the solution and the mixture was stirred at room temperature for 2 h. Water (50 mL) was added and the mixture was extracted with DCM (3 × 50 mL). Combined organic layers were washed with brine, dried over MgSO4, and carefully evaporated to give the crude product, which was redistilled to afford 2v (2.0 g, 85%) as light brown liquid. Product was stored under molecular sieves in order to remove any traces of water. 1H-NMR (400 MHz, CDCl3): δ = 5.05 (s, 1H, O-CHa-O), 4.89 (s, 1H, O-CHb-O), 4.67 (m, 2H, CH), 4.08 (m, 2H, CH2a), 3.47 (m, 2H, CH2b). 13C-NMR (100 MHz, CDCl3): δ = 96.5 (O-CH-O), 80.3 (CH), 73.8 (CH2). HRMS (EI+) m/z: [M]+ calcd for C5H8O3, 116.0473; found, 116.0475.
(S,S)-2-(6-Methoxynaphthalene-2-yl)propionic anhydride (3e) [34]. N,N′-Dicyclohexylcarbodiimide (1.1 g, 5.33 mmol) was added to a solution of (S)-2-(6-methoxy-2-naphthyl)propionic acid (2.91 g, 2.6 mL, 20 mmol) and DMAP (80 mg, 0.71 mmol) in dry DCM (100 mL). The mixture was stirred at room temperature for 2 h. Resulting slurry was then filtered and the filtrate evaporated to give 3e (1.0 g, 52%) as white amorphous solid. 1H-NMR (500 MHz, CDCl3): δ = 7.50 (d, J(4,3) = 8.5 Hz, 2H, H-4), 7.49 (d, J(8,7) = 8.9 Hz, 2H, H-8), 7.40 (d, J(1,3) = 2.0 Hz, 2H, H-1), 7.13 (dd, J(3,4) = 8.5 Hz, J(3,1) = 2.0 Hz, 2H, H-3), 7.10 (dd, J(7,8) = 8.9 Hz, J(7,5) = 2.6 Hz, 2H, H-7), 7.03 (d, J(5,7) = 2.6 Hz, 2H, H-5), 3.93 (s, 6H, CH3O), 3.80 (q, J(CH,CH3) = 7.1 Hz, 2H, CH3-CH), 1.49 (d, J(CH3,CH) = 7.1 Hz, 6H, CH3). 13C-NMR (125 MHz, CDCl3) δ = 170.0 (COO), 157.7 (C-6), 133.7 (C-4a), 133.6 (C-2), 129.2 (C-8), 128.8 (C-8a), 127.3 (C-4), 126.3 (C1), 125.8 (C3), 119.0 (C-7), 105.5 (C-5), 55.3 (CH3O), 46.3 (CH3-CH), 17.8 (CH3-CH). HRMS (ESI+) m/z: [M + Na]+ calcd for C28H26O5Na, 465.1672; found, 465.1668.
Preparation of acyclic nucleoside analogues. General procedure A. The 6-Chloropurine (1a, 310 mg, 2.0 mmol), 2-bromomethyl-1,3-dioxolane (2a, 334 mg, 0.21 mL, 2.0 mmol) and acetic anhydride (3a, 204 mg, 0.2 mL, 2.0 mmol) were dissolved in dry acetonitrile (10 mL, or other solvent). Corresponding Lewis acid (2.0 mmol), e.g., trimethylsilyl trifluoromethanesulfonate (TMSOTf, 445 mg, 0.36 mL, 2.0 mmol), was added in one portion (either at room temperature or at 70 °C) and the reaction mixture was stirred for 15 min at the same temperature. The mixture was then poured into water (50 mL) and stirred for additional 2 min at room temperature. The slurry was washed with chloroform (3 × 50 mL) and combined organic layers were washed with brine, dried over MgSO4 and evaporated. The crude product was purified with flash chromatography on silica gel using gradient CHCl3 to 10% MeOH to obtain the pure product.
General synthetic procedure B. The 6-Chloropurine (1a, 310 mg, 2.0 mmol), 2-bromomethyl-1,3-dioxolane (2a, 334 mg, 0.21 mL, 2.0 mmol) and corresponding acid anhydride or acyl chloride, e.g., acetic anhydride (3a, 204 mg, 0.2 mL, 2.0 mmol), were dissolved in dry acetonitrile (10 mL). Corresponding Lewis acid (3.0 mmol), e.g., TMSOTf (667 mg, 0.54 mL, 3.0 mmol), was added in one portion at room temperature and the reaction mixture was stirred for 15 min at room temperature. Reaction work up as in General procedure A.
2-(2-Bromo-1-(6-chloro-9H-purin-7-yl)ethoxy)ethyl acetate (4) and 2-(2-bromo-1-(6-chloro-7H-purin-7-yl)ethoxy)ethyl acetate (5).Method A: treatment of 6-chloropurine (1a, 310 mg, 2.0 mmol) and 2-bromomethyl-1,3-dioxolane (2a, 334 mg, 0.21 mL, 2.0 mmol) in MeCN by synthetic procedure A afforded 4 (508 mg, 83%) as yellowish viscous oil. Method B: treatment of 6-chloropurine (1a, 310 mg, 2.0 mmol) and 2-bromomethyl-1,3-dioxolane (2a, 334 mg, 0.21 mL, 2.0 mmol) by synthetic procedure B afforded 4 (520 mg, 85%) as yellowish viscous oil. Method C: treatment of 6-chloropurine (1a, 310 mg, 2.0 mmol) and 2-bromomethyl-1,3-dioxolane (2a, 334 mg, 0.21 mL, 2.0 mmol) in nitromethane by synthetic procedure A afforded 4 (380 mg, 62%) and 5 (31 mg, 5%) as yellowish viscous oils. Compound 4: 1H-NMR (500 MHz, DMSO-d6): δ = 8.95 (s, 1H, H-8), 8.85 (s, 1H, H-2), 6.14 (dd, J(1′,2′b) = 7.1 Hz, J(1′,2′a) = 5.8 Hz, 1H, H-1′), 4.23 (dd, J(gem) = 10.8 Hz, J(2′b,1′) = 7.1 Hz, 1H, H-2′b), 4.15 (dd, J(gem) = 10.8 Hz, J(2′a,1′) = 5.8 Hz, 1H, H-2′a), 4.09 (ddd, J(gem) = 12.4 Hz, J(CH2b,CH2a) = 6.6 Hz, J(CH2b,CH2b) = 2.8 Hz, 1H, COO-CH2b-CH2-O), 4.01 (ddd, J(gem) = 12.4 Hz, J(CH2a,CH2b) = 6.0 Hz, J(CH2a,CH2a) = 2.8 Hz, 1H, COO-CH2a-CH2-O), 3.86 (ddd, J(gem) = 11.7 Hz, J(CH2b,CH2a) = 6.0 Hz, J(CH2b,CH2b) = 2.8 Hz, 1H, COO-CH2-CH2b-O), 3.62 (ddd, J(gem) = 11.7 Hz, J(CH2a,CH2b) = 6.7 Hz, J(CH2a,CH2a) = 2.8 Hz, 1H, COO-CH2-CH2a-O), 1.88 (s, 3H, CH3COO); 13C-NMR (125 MHz, DMSO-d6): δ = 170.3 (COO), 152.3 (C-2), 152.1 (C-4), 149.6 (C-6), 145.8 (C-8), 131.3 (C-5), 84.2 (C-1′), 68.8 (COO-CH2-CH2-O), 62.8 (COO-CH2-CH2-O), 31.8 (C-2′), 20.7 (CH3-COO); HRMS (ESI+) m/z: [M + Na]+ calcd. for C11H12O3N4BrClNa, 384.9674; found, 384.9675. Compound 5: 1H NMR (400 MHz, DMSO-d6): δ = 9.07 (s, 1H, H-8), 8.88 (s, 1H, H-2), 6.41 (t, J(1′-2′) = 6.0 Hz, 1H, H-1′), 4.11 (m, 4H, H-2′, CH2-OAc), 3.93 (ddd, J(gem) = 11.7 Hz, J(CH2-CH2) = 5.7 Hz, J(CH2-CH2) = 2.9 Hz, 1H, 1’-O-CH2b), 3.75 (ddd, J(gem) = 11.6 Hz, J(CH2-CH2) = 6.5 Hz, J(CH2-CH2) = 2.9 Hz, 1H, 1′-O-CH2a), 1.91 (s, 3H, CH3); 13C-NMR (101 MHz, DMSO-d6) δ = 170.1 (COO), 161.8 (C-4), 151.9 (C-2), 148.8 (C-8), 142.2 (C-6), 122.0 (C-5), 85.7 (C-1′), 67.6 (1′-O-CH2), 62.6 (CH2-OAc), 33.4 (C-2′), 20.5 (CH3); HRMS (ESI+): m/z: [M + Na]+ calcd. for C11H12O3N4BrClNa, 384.9674, found, 384.9679.
3-(2-Acetoxyethoxy)-3-(6-chloro-9H-purin-9-yl)propane-1,2-diyl diacetate (6). Treatment of 6-chloropurine (1a, 310 mg, 2.0 mmol) and 2-(1,2-dihydroxyethyl)-1,3-dioxolane-1,3-diacetate (2b, 439 mg, 2.0 mmol) by synthetic procedure B afforded 6 (413 mg, 72%) as a white amorphous solid. 1H-NMR (500 MHz, DMSO-d6): δ = 8.83–8.89 (m, 2H, H-2 and H-8), 6.19–6.10 (m, 1H, H-1′), 5.75–5.65 (m, 1H, H-2′), 4.41–4.25 (m, 2H, H-3′), 3.99–4.14 (m, 2H, 1′-O-CH2-CH2), 3.60–3.69 and 3.76–3.83 (m, 2H, 1′-O-CH2), 2.05, 2.00, 1.94, 1.93, 1.90 and 1.76 (6×s, 9H, CH3). 13C-NMR (125 MHz, DMSO-d6): δ = 169.1–170.3 (m, COO), 152.3 and 151.8 (C-4), 152.24 and 152.21 (C-2), 149.5 (C-6), 146.3 and 145.7 (C-8), 131.4 and 131.2 (C-5), 83.5 and 82.9 (C-1′), 70.4 and 70.3 (C-2′), 68.0 and 67.7 (1′-O-CH2), 62.8 and 62.5 (1′-O-CH2-CH2), 61.9 and 61.4 (C-3′), 20.3–20.6 (m, CH3). HRMS (ESI+) m/z: [M + Na]+ calcd. for C16H19O7N4ClNa, 437.0835; found, 437.0835.
3-((6-Chloro-9H-purin-9-yl)methoxy)propyl acetate (7). Treatment of 6-chloropurine (1a, 310 mg, 2.0 mmol) and 1,3-dioxane (2c, 283 mg, 0.28 mL, 2.0 mmol) by synthetic procedure B afforded 7 (720 mg, 78%) as a white amorphous solid. 1H-NMR (500 MHz, DMSO-d6): δ = 8.85 (s, 1H, H-8), 8.82 (s, 1H, H-2), 5.69 (s, 2H, H-1′), 3.92 (t, J(4′,3′) = 6.4 Hz, 2H, H-4′), 3.57 (t, J(2′,3′) = 6.2 Hz, 2H, H-2′), 1.88 (s, 3H, CH3), 1.75 (p, J(3′,2′) = 6.4 Hz, J(3′,4′) = 6.4 Hz, 2H, H-3′). 13C-NMR (125 MHz, DMSO-d6): δ = 170.4 (COO), 152.3 (C-4), 152.2 (C-2), 149.4 (C-6), 147.9 (C-8), 131.0 (C-5), 73.1 (C-1′), 65.7 (C-2′), 60.8 (C-4′), 28.2 (C-3′), 20.7 (CH3). HRMS (ESI+) m/z: [M + H]+ calcd for C11H14O3N4Cl, 285.0749; found, 285.0748.
S-(2-((6-Chloro-9H-purin-9-yl)methoxy)ethyl) ethanethioate (8) and S-(2-((6-chloro-7H-purin-7-yl)methoxy)ethyl) ethanethioate (9). Treatment of 6-chloropurine (1a, 310 mg, 2.0 mmol) and 1,3-oxathiolane (2d, 180 mg, 2.0 mmol) by synthetic procedure B afforded 8 (86 mg, 15%) and 9 (57 mg, 10%) as brownish oils that solidified upon standing. Compound 8: 1H-NMR (500 MHz, DMSO-d6): δ = 8.84 (s, 1H, H-8), 8.83 (s, 1H, H-2), 5.70 (s, 2H, N-CH2-O), 3.65 (t, J(CH2,CH2) = 6.2 Hz, 2H, CH2-CH2-S), 2.97 (t, J(CH2,CH2) = 6.2 Hz, 2H, CH2-S), 2.25 (s, 3H, CH3); 13C-NMR (125 MHz, DMSO-d6) δ = 195.0 (C=O), 152.3 (C-4), 152.3 (C-2), 149.5 (C-6), 147.9 (C-8), 131.1 (C-5), 72.9 (N-CH2-O), 67.9 (CH2-CH2-S), 30.6 (CH3), 28.3 (CH2-S); HRMS (EI+) m/z: [M]+ calcd. for C10H11ClN4O2S, 286.0291; found, 286.0287. Compound 9: 1H-NMR (500 MHz, DMSO-d6): δ = 8.98 (s, 1H, H-8), 8.86 (s, 1H, H-2), 5.82 (s, 2H, N-CH2-O), 3.59 (t, J(CH2,CH2) = 6.2 Hz, 2H, CH2-CH2-S), 2.97 (t, J(CH2,CH2) = 6.2 Hz, 2H, CH2-S), 2.21 (s, 3H, CH3); 13C-NMR (125 MHz, DMSO-d6): δ = 195.0 (C=O), 162.3 (C-4), 152.4 (C-2), 151.4 (C-8), 143.1 (C-6), 122.1 (C-5), 75.4 (N-CH2-O), 66.8 (CH2-CH2-S), 30.5 (CH3), 28.3 (CH2-S); HRMS (EI+) m/z: [M]+ calcd. for C10H11ClN4O2S, 286.0291; found, 286.0292.
2-(2-Bromo-1-(6-chloro-2-fluoro-9H-purin-9-yl)ethoxy)ethyl acetate (12). Treatment of 6-chloro-2-fluoropurine (1b, 345 mg, 2.0 mmol) and 2-bromomethyl-1,3-dioxolane (2a, 334 mg, 0.21 mL, 2.0 mmol) by synthetic procedure B afforded 12 (427 mg, 56%) as a yellow oil. 1H-NMR (500 MHz, DMSO-d6): δ = 8.94 (s, 1H, H-8), 6.06 (dd, J(1′,2′b) = 6.9 Hz, J(1′,2′a) = 5.9 Hz, 1H, H-1′), 4.14 (dd, J(gem) = 10.9 Hz, J(2′b,1′) = 6.9 Hz, 1H, H-2′b), 4.11 (ddd, J(gem) = 12.4 Hz, J(CH2b,CH2a) = 6.5 Hz, J(CH2b,CH2b) = 2.9 Hz, 1H, COO-CH2b-CH2-O), 4.10 (dd, J(gem) = 10.9 Hz, J(2′a,1′) = 5.9 Hz, 1H, H-2′a), 4.03 (ddd, J(gem) = 12.4 Hz, J(CH2a,CH2b) = 6.1 Hz, J(CH2a,CH2a) = 2.9 Hz, 1H, COO-CH2a-CH2-O), 3.86 (ddd, J(gem) = 11.6 Hz, J(CH2b,CH2a) = 6.1 Hz, J(CH2b,CH2b) = 2.9 Hz, 1H, COO-CH2-CH2b-O), 3.65 (ddd, J(gem) = 11.6 Hz, J(CH2a,CH2b) = 6.5 Hz, J(CH2a,CH2a) = 2.9 Hz, 1H, COO-CH2-CH2a-O), 1.93 (s, 3H, CH3COO). 13C-NMR (125 MHz, DMSO-d6): δ = 170.4 (COO), 156.5 (d, J(2,F) = 214.6 Hz, C-2), 154.0 (d, J(4,F) = 17.5 Hz, C-4), 151.0 (d, J(6,F) = 18.2 Hz, C-6), 146.5 (d, J(8,F) = 2.9 Hz, C-8), 130.4 (d, J(5,F) = 4.9 Hz, C-5), 84.3 (C-1′), 67.8 (1′-CH2-CH2-O), 62.8 (1′-CH2-CH2-O), 31.7 (C-2′), 20.7 (CH3COO). HRMS (ESI+) m/z: [M + Na]+ calcd. for C11H11O3N4BrClFNa, 402.9579; found, 402.9572.
2-(2-Bromo-1-(2,6-dichloro-9H-purin-9-yl)ethoxy)ethyl acetate (13). Treatment of 2,6-dichloropurine (1c, 378 mg, 2.0 mmol) and 2-bromomethyl-1,3-dioxolane (2a, 334 mg, 0.21 mL, 2.0 mmol) by synthetic procedure B afforded 13 (421 mg, 54%) as a viscous yellow oil. 1H-NMR (400 MHz, DMSO-d6) δ = 8.95 (s, 1H, H-8), 6.10 (bt, J(CH-CH2) = 6.3 Hz, H-1’), 4.14 (dd, J(gem) = 10.9 Hz, J(CH2-CH) = 6.7 Hz, 1H, H-2’b), 4.11 (m, 1H, 1’-O-CH2-CH2b), 4.10 (dd, J(gem) = 10.9 Hz, J(CH2-CH) = 6.0 Hz, 1H, H-2’a), 4.04 (ddd, J(gem) = 12.4 Hz, J(CH2-CH2) = 6.1 Hz, J(CH2-CH2) = 2.9 Hz, 1H, 1’-O-CH2-CH2a), 3.86 (ddd, J(gem) = 11.7 Hz, J(CH2-CH2) = 6.1 Hz, J(CH2-CH2) = 2.9 Hz, 1H, 1’-O-CH2b-CH2), 3.66 (ddd, J(gem) = 11.7 Hz, J(CH2-CH2) = 6.5 Hz, J(CH2-CH2) = 2.9 Hz, 1H, 1’-O-CH2a-CH2), 1.93 (s, 3H, CH3OAc). 13C-NMR (100 MHz, DMSO-d6): δ = 170.70 (COO), 153.5 (C-4), 151.6 (C-2 or C-6), 150.2 (C-2 or C-6), 146.5 (C-8), 130.93 (C-5), 84.3 (C-1’), 67.8 (1’-O-CH2-CH2), 62.7 (1’-O-CH2-CH2 ), 31.8 (C-2), 20.7 (CH3OAc). HRMS (ESI+) m/z: [M + Na]+ calcd. for C11H11O3N4BrCl2Na, 418.9283; found, 418.9281.
2-((2,6-Dichloro-9H-purin-9-yl)methoxy)ethyl acetate (14) [14]. Treatment of 2,6-dichloropurine (1c, 378 mg, 2.0 mmol) and 1,3-dioxolane (2g, 148 mg, 0.14 mL, 2.0 mmol) by synthetic procedure B afforded 14 (65 mg, 11%) as a yellowish oil. Analytical data were in accordance with the literature [14]. HRMS (ESI+) m/z: [M + Na]+ calcd. for C10H10O3N4Cl2Na, 327.0022; found, 327.0021.
2-((2-Amino-6-chloro-9H-purin-9-yl)methoxy)ethyl acetate (16) [14]. Treatment of 2-amino-6-chloropurine (1d, 340 mg, 2.0 mmol) and 1,3-dioxolane (2g, 148 mg, 0.14 mL, 2.0 mmol) by synthetic procedure B afforded 16 (370 mg, 65%) as a viscous yellowish oil. Analytical data were in accordance with the literature [14]. HRMS (ESI+) m/z: [M + Na]+ calcd. for C10H12O3N5ClNa, 308.0521; found, 308.0523.
3-((2-Acetamido-6-chloro-9H-purin-9-yl)methoxy)-2-(tosyloxy)propyl acetate (17). Method A: treatment of 2-amino-6-chloropurine (1d, 340 mg, 2.0 mmol), 1,3-dioxan-5-yl 4-methylbenzenesulfonate (2i, 510 mg, 2.0 mmol) and acetic anhydride (3a, 204 mg, 0.2 mL, 2.0 mmol)by synthetic procedure B afforded 17 (502 mg, 49%) as a white amorphous solid. Method B: 2-Amino-6-chloropurine (1d, 340 mg, 2.0 mmol), 1,3-dioxan-5-yl 4-methylbenzenesulfonate (2i, 510 mg, 2.0 mmol) and acetic anhydride (3a, 408 mg, 0.4 mL, 4.0 mmol) were dissolved in dry acetonitrile (10 mL). TMSOTf (667 mg, 0.54 mL, 3.0 mmol), was added in one portion at room temperature and the reaction mixture was stirred for 15 min at room temperature. Reaction work up as in method A afforded 17 (605 mg, 59%) as a white amorphous solid. Method C: treatment of N-(6-chloro-7(9)H-purin-2-yl)acetamide (1e, 423 mg, 2.0 mmol) and 1,3-dioxan-5-yl 4-methylbenzenesulfonate (2i, 510 mg, 2.0 mmol) by synthetic procedure B afforded 17 (738 mg, 72%) as a white amorphous solid. 1H-NMR (500 MHz, DMSO-d6): δ = 10.88 (bs, 1H, NH), 8.57 (s, 1H, H-8), 7.69 (m, 2H, H-2″), 7.37 (m, 2H, H-3″), 5.52 (s, 2H, H-1′), 4.74 (m, 1H, H-3′), 4.02–4.10 (m, 2H, H-4′), 3.78 (dd, J(gem) = 11.5 Hz, J(2′a,3′) = 5.3 Hz, 1H, H-2′a), 3.73 (dd, J(gem) = 11.4 Hz, J(2′b,3′) = 3.8 Hz, 1H, H-2′b), 2.38 (s, 3H, 4″-CH3), 2.20 (s, 3H, CH3-CON), 1.81 (s, 3H, CH3-COO). 13C-NMR (125 MHz, DMSO-d6): δ = 170.0 (COO), 169.0 (CON), 153.2 (C-4), 152.6 (C-2), 149.4 (C-6), 146.5 (C-8), 145.1 (C-4″), 133.2 (C-1″), 130.1 (C-3″), 127.7 (C-2″), 127.3 (C-5), 78.4 (C-3′), 72.9 (C-1′), 67.9 (C-2′), 62.2 (C-4′), 24.8 (CH3-CON), 21.3 (4″-CH3), 20.4 (CH3-COO). HRMS (ESI+) m/z: [M + H]+ calcd. for C20H23O7N5ClS, 512.1001; found, 512.1002.
Benzyl 3-((2-acetamido-6-chloro-9H-purin-9-yl)methoxy)-4-acetoxypyrrolidine-1-carboxylate (20). Treatment of N-(6-chloro-7(9)H-purin-2-yl)-acetamide (1e, 423 mg, 2.0 mmol) and benzyl tetrahydro-5H-[1,3]dioxolo[4,5-c]pyrrole-5-carboxylate (2k, 500 mg, 2.0 mmol) by synthetic procedure B afforded 20 (640 mg, 64%) as a yellowish viscous oil. 1H-NMR (500 MHz, DMSO-d6): δ = 10.91 and 10.92 (bs, 1H, NH), 8.62 and 8.62 (s, 1H, H-8), 7.28–7.37 (m, 5H, H-2″ and H3″ and H-4″), 5.60–5.68 (m, 2H, N-CH2-O), 5.20–5.24 (m, 1H, H-4′), 5.00–5.07 (m, 2H, 1″-CH3), 4.60–4.64 (m, 1H, H-3′), 3.55–3.67 (m, 2H, H-2′a and H-5′a), 3.17–3.37 (m, 2H, H-2′b and H-5′b), 2.17 and 2.17 (s, 3H, CH3-CON), 1.90 and 1.91 (s, 3H, CH3). 13C-NMR (125 MHz, DMSO-d6): δ = 169.83 and 169.80 (CH3-COO), 168.90 and 168.88 (CH3-CON), 154.0 and 154.1 (N-COO), 153.3 and 153.3 (C-4), 152.5 (C-2 or C-6), 149.4 (C-2 or C-6), 146.6 (C-8), 137.01 and 136.98 (C-1″), 128.6 (C-3″), 128.07 and 128.05 (C-4″), 127.77 and 127.75 (C-2″), 127.4 (C-5), 75.6 and 76.1 (C-3′), 72.14 and 72.08 (N-CH2-O), 71.2 and 70.5 (C-4′), 66.28 and 66.26 (1″-CH2), 48.8 and 49.1 (C-5′), 47.9 and 48.2 (C-2′), 24.7 (CH3-CON), 20.70 and 20.68 (CH3-COO). HRMS (ESI+) m/z: [M + H]+ calcd. for C22H24O6N6Cl, 503.1440; found, 503.1444.
2-(1-(6-Amino-4-chloro-2H-pyrazolo[3,4-d]pyrimidin-2-yl)-2-bromoethoxy)ethyl acetate (22). Treatment of 4-chloro-1H-pyrazolo[3,4-d]pyrimidine-6-amine 1g (340 mg, 2.0 mmol) and 2-bromomethyl-1,3-dioxolane (2a, 334 mg, 0.21 mL, 2.0 mmol) by synthetic procedure B afforded 22 (720 mg, 78%) as a white amorphous solid. 1H-NMR (500 MHz, DMSO-d6): δ = 8.86 (s, 1H, H-7), 8.37 (bs, 2H, NH2), 5.83 (t, J(1′,2′) = 2.9 Hz, 1H, H-1′), 4.13 (ddd, J(gem) = 12.3 Hz, J(CH2,CH2) = 6.5 Hz, J(CH2,CH2) = 2.9 Hz, 1H, CH2b-OAc), 4.03 (ddd, J(gem) = 12.3 Hz, J(CH2,CH2) = 6.2 Hz, J(CH2,CH2) = 3.0 Hz, 1H, CH2a-OAc), 3.93 (d, J(2′,1′) = 6.2 Hz, 2H, H-2′), 3.79 (ddd, J(gem) = 11.6 Hz, J(CH2,CH2) = 6.2 Hz, (CH2,CH2) = 2.9 Hz, 1H, 1′-O-CH2b), 3.55 (ddd, J(gem) = 11.6 Hz, J(CH2,CH2) = 6.5 Hz, (CH2,CH2) = 2.9 Hz, 1H, 1′-O-CH2a), 1.98 (s, 3H, CH3). 13C-NMR (125 MHz, DMSO-d6): δ = 170.5 (COO), 156.6 (C-2), 153.2 (C-6), 150.1 (C-4), 131.8 (C-7), 102.0 (C-5), 89.7 (C-1′), 67.4 (1′-O-CH2), 62.7 (CH2-OAc), 31.8 (C-2′), 20.9 (CH3). HRMS (ESI+) m/z: [M + H]+ calcd. for C11H14O3N5BrCl, 377.9963; found, 377.9965.
2-(1-(Guanine-7-yl)-2-bromoethoxy)ethyl acetate (23). Treatment of guanine (1h, 300 mg, 2.0 mmol) and 2-bromomethyl-1,3-dioxolane (2a, 334 mg, 0.21 mL, 2.0 mmol) by synthetic procedure B afforded 23 (86 mg, 15%) as a white amorphous solid. 1H-NMR (500 MHz, DMSO-d6): δ = 10.97 (bs,1H,1-NH), 8.24 (s, 1H, H-8), 6.26 (bs, 2H, NH2), 6.03 (t, J(1′,2′a) = J(1′,2′b) = 6.3 Hz, 1H, H-1′), 4.16 (dd, J(gem) = 10.7 Hz, J(2′b,1′) = 6.7 Hz, 1H, H-2′b), 4.12 (ddd, J(gem) = 12.3 Hz, J(CH2b,CH2a) = 6.8 Hz, J(CH2b,CH2b) = 2.9 Hz, 1H, 1′-O-CH2-CH2b-O), 4.03 (dd, J(gem) = 10.7 Hz, J(2′a,1′) = 5.9 Hz, 1H, H-2′a), 4.01 (ddd, J(gem) = 12.3 Hz, J(CH2a,CH2b) = 5.9 Hz, J(CH2a,CH2a) = 2.8 Hz, 1H, 1′-O-CH2-CH2a-O), 3.76 (ddd, J(gem) = 11.7 Hz, J(CH2b,CH2a) = 5.9 Hz, J(CH2b,CH2b) = 2.9 Hz, 1H, 1′-O-CH2b-CH2-O), 3.57 (ddd, J(gem) = 11.7 Hz, J(CH2a,CH2b) = 6.8 Hz, J(CH2a,CH2a) = 2.9 Hz, 1H, 1′-O-CH2a-CH2-O-), 1.95 (s, 3H, CH3CO). 13C-NMR (125 MHz, DMSO-d6): δ = 170.4 (COO), 160.7 (C-4), 154.5 (C-6), 153.2 (C-2), 142.5 (C-8), 107.7 (C-5), 85.2 (C-1′), 67.1 (1′-O-CH2-CH2-O), 62.8 (1′-O-CH2-CH2-O), 32.9 (C-2′), 20.8 (CH3COO). HRMS (ESI+) m/z: [M + Na]+ calcd for C11H14O4N5BrNa, 382.0121; found, 382.0118.
2-(1-(Adenin-9-yl)-2-bromoethoxy)ethyl acetate (24). Treatment of adenine (1i, 270 mg, 2.0 mmol) and 2-bromomethyl-1,3-dioxolane (2a, 334 mg, 0.21 mL, 2.0 mmol) by synthetic procedure B and modified work up (the crude reaction mixture was adsorbed on silica gel, followed by flash chromatography using gradient CHCl3 to 10% MeOH) afforded 24 (378 mg, 55%) as a yellow viscous oil. 1H-NMR (400 MHz, DMSO-d6) δ = 8.37 (s, 1H, H-8), 8.17 (s, 1H, H-2), 7.36 (bs, 2H, NH2), 5.94 (dd, J(CH2-CH2) = 7.3 Hz, J(CH2-CH2) = 5.7 Hz, 1H, H-1’), 4.22 (d, J(gem) = 10.7 Hz, J(CH2-CH2) = 7.3 Hz, 1H, H-2’b), 4.10 (ddd, J(gem) = 12.4 Hz, J(CH2-CH2) = 6.7 Hz, J(CH2-CH2) = 2.9 Hz, 1H, 1’-O-CH2-CH2b), 4.09 (dd, J(gem) = 10.6 Hz, J(CH2-CH) = 5.7 Hz, H-2’a), 4.00 (ddd, J(gem) = 12.3 Hz, J(CH2-CH2) = 6.0 Hz, J(CH2-CH2) = 2.9 Hz, 1H, 1’-O-CH2-CH2a), 3.79 (ddd, J(gem) = 11.6 Hz, J(CH2-CH2) = 6.0 Hz, J(CH2-CH2) = 2.9 Hz, 1H, 1’-O-CH2b-CH2), 3.55 (ddd, J(gem) = 11.6 Hz, J(CH2-CH2) = 6.7 Hz, J(CH2-CH2) = 2.9 Hz, 1H, 1’-O-CH2a-CH2), 1.91 (s, 3H, CH3). 13C-NMR (100 MHz, DMSO-d6): δ = 170.4 (COO), 156.2 (C-6), 153.0 (C-2), 149.8 (C-4), 139.2 (C-8), 118.8 (C-5), 83.2 (C-1’), 67.7 (1’-O-CH2-CH2), 62.8 (1’-O-CH2-CH2), 31.9 (C-2’), 20.7 (CH3-OAc). HRMS (ESI+) m/z: [M + H]+ calcd. for C11H15O3N5Br, 344.0353; found, 344.0348.
2-((6-Benzamido-9H-purin-9-yl)methoxy)ethyl acetate (25). Treatment of N6-benzoyladenine (1j, 480 mg, 2.0 mmol) and 1,3-dioxolane (2g, 148 mg, 0.14 mL, 2.0 mmol) by synthetic procedure B afforded 25 (500 mg, 71%) as a white amorphous solid. 1H-NMR (500 MHz, DMSO-d6): δ = 11.25 (bs, 1H, NH). 8.78 (s, 1H, H-2), 8.64 (s, 1H, H-8), 8.06 (m, 2H, H-2″), 7.65 (m, 1H, H-4″), 7.55 (m, 2H, H-3″), 5.72 (s, 2H, H-1′), 4.10 (m, 2H, H-3′)3.77, (m, 2H, H-2′), 1.93 (s, 3H, CH3). 13C-NMR (125 MHz, DMSO-d6) δ = 170.5 (COO), 165.9 (CON), 152.8 (C-4), 152.1 (C-2), 150.6 (C-6), 145.1 (C-8), 133.6 (C-1″), 132.6 (C-4″), 128.7 (C-2″ and C-3″), 125.4 (C-5), 72.6 (C-1′), 67.4 (C-2′), 63.0 (C-3′), 20.7 (CH3). HRMS (ESI+) m/z: [M + H]+ calcd for C17H18O4N5, 356.1353; found, 356.1354.
2-((6-Benzamido-9H-purin-9-yl)methoxy)but-3-en-1-yl acetate (26). Treatment of N6-benzoyladenine (1j, 480 mg, 2.0 mmol) and 4-vinyl-[1,3]dioxolane (2m, 200 mg, 0.2 mL, 2.0 mmol) by synthetic procedure B afforded 26 (430 mg, 56%) as a colorless viscous oil. 1H-NMR (500 MHz, DMSO-d6): δ = 11.23 (bs, 1H, NH), 8.78 (s, 1H, H-2), 8.63 (s, 1H, H-8), 8.05 (m, 2H, H-2″), 7.65 (m, 1H, H-4″), 7.55 (m, 2H, H-3″), 5.76 (d, J(gem) = 11.2 Hz, 1H, 1′a), 5.74 (ddd, J(CH,CH2) = 17.2 and 10.6, J(CH,2′) = 6.3 Hz, 1H, CH=CH2), 5.65 (d, J(gem) = 11.3 Hz, 1H, H-1′b), 5.65 (dt, J(CH2,CH) = 17.3 Hz, J(gem) = J(CH2,2′) = 1.5 Hz, 1H, CH=CH2a), 5.23 (dt, J(CH2,CH) = 10.5 Hz, J(gem) = J(CH2,2′) = 1.5 Hz, 1H, CH=CH2b), 4.36 (m, 1H, H-2′) 4.00 (dd, J(gem) = 11.7 Hz, J(3′a,2′) = 3.6 Hz, 1H, 3′a), 3.39 (dd, J(gem) = 11.7 Hz, J(3′b,2′) = 7.5 Hz, 1H, H-3′b), 1.81 (s, 3H, CH3). 13C-NMR (125 MHz, DMSO-d6): δ = 170.2 (COO), 165.8 (CON), 152.8 (C-4), 152.1 (C-2), 150.5 (C-6), 145.0 (C-8), 133.9 (CH=CH2), 133.6 (C-1″), 132.6 (C-4″), 128.7 (C-2″ and C-3″), 125.4 (C-5), 119.0 (CH=CH2), 77.4 (C-2′), 71.2 (C-1′), 65.2 (C-3′), 20.5 (CH3). HRMS (ESI+) m/z: [M + H]+ calcd for C19H19N5O4, 382.1510; found: 382.1511.
2-(2-Bromo-1-(2,6-diamino-9H-purin-9-yl)ethoxy)ethyl acetate (29). Treatment of 2,6-diaminopurine (1k, 300 mg, 2.0 mmol) and 2-bromomethyl-1,3-dioxolane (2a, 334 mg, 0.21 mL, 2.0 mmol) by synthetic procedure B and modified work up (the crude reaction mixture was adsorbed on silica gel, followed by flash chromatography using gradient CHCl3 to 10% MeOH) afforded 29 (431 mg, 60%) as a yellow viscous oil. 1H-NMR (400 MHz, DMSO-d6) δ = 7.91 (s, 1H, H-8), 6.76 (bs, 2H, 6-NH2), 5.88 (bs, 2H, 2-NH2), 5.70 (dd, J(CH2-CH2) = 6.9 Hz, J(CH2-CH2) = 6.0 Hz, 1H, H-1’), 4.14 (dd, J(gem) = 10.7 Hz, J(CH2-CH) = 7.0 Hz, 1H, H-2’b), 4.11 (ddd, J(gem) = 12.3 Hz, J(CH2-CH2) = 6.7 Hz, J(CH2-CH2) = 3.0 Hz, 1H, 1’-O-CH2-CH2b), 4.03 (dd, J(gem) = 10.5 Hz, J(CH2-CH) = 6.0 Hz, 1H, H-2’a), 4.02 (ddd, J(gem) = 12.3 Hz, J(CH2-CH2) = 6.0 Hz, J(CH2-CH2) = 3.0 Hz, 1H, 1’-O-CH2-CH2a), 3.73 (ddd, J(gem) = 11.5 Hz, J(CH2-CH2) = 6.0 Hz, J(CH2-CH2) = 3.0 Hz, 1H, 1’-O-CH2b-CH2), 3.53 (ddd, J(gem) = 11.5 Hz, J(CH2-CH2) = 6.7 Hz, J(CH2-CH2) = 3.0 Hz, 1H, 1’-O-CH2a-CH2), 1.94 (s, 3H, CH3-OAc). 13C-NMR (100 MHz, DMSO-d6): δ = 170.4 (COO), 160.6 (C-2), 156.3 (C-6), 152.1 (C-4), 135.5 (C-8), 113.2 (C-5), 82.7 (C-1’), 66.9 (1’-O-CH2-CH2), 62.8 (1’-O-CH2-CH2), 32.1 (C-2’), 20.7 (CH3-OAc). HRMS (ESI+) m/z: [M + H]+ calcd. for C11H16O3N6Br, 359.0462; found, 359.0457.
3-(2-Acetoxyethoxy)-3-(2,6-diacetamido-9H-purin-9-yl)propane-1,2-diyl diacetate (30). Treatment of 2,6-bisacetamidopurine (1l, 470 mg, 2.0 mmol) and 2-(1,2-dihydroxyethyl)-1,3-dioxolane-1,3-diacetate (2b, 439 mg, 2.0 mmol) by synthetic procedure B afforded 30 (690 mg, 70%) as a white amorphous solid. 1H-NMR (500 MHz, DMSO-d6): δ =10.59 and 10.56 (bs, 1H, C6-NH), 10.38 (bs, 1H, C2-NH), 8.46 and 8.44 (s, 1H, H-8),5.96 and 5.90 (d, J(1′,2′) = 7.6 Hz and J(1′,2′) = 6.3 Hz, 1H, H-1′), 5.74 and 5.66 (m, 1H, H-2′), 3.42–4.98 (m, 4H, H-3′ and 1′-O-CH2-CH2), 3.78–3.57 (m, 2H, 1′-O-CH2), 2.35, 2.34, 2.27 and 2.26 (s, 6H, CH3-CON), 2.06, 2.02, 1.94, 1.93, 1,92 and 1.80 (s, 9H, CH3-COO). 13C-NMR (125 MHz, DMSO-d6): δ = 169.1–170.4 (COO and CON), 153.1 (C-4), 152.7 (C-4 or C-6), 152.6 (C-4 or C-6), 152.6 (C-6), 149.92 and 149.85 (C-2), 141.5 and 141.9 (C-8), 119.4 and 119.5 (C-5), 82.0 and 82.7 (C-1′), 70.3 and 70.5 (C-2′), 67.4 and 67.7 (1′-O-CH2), 62.5 and 62.8 (1′-O-CH2-CH2), 61.5 and 62.0 (C-3′), 24.99, 24.96 and 24.92 (CH3-CON), 20.4–20.7 (m, CH3-COO). HRMS (ESI+) m/z: [M + H]+ calcd. for C20H27O9N6, 495.1834; found, 495.1835.
6-Chloro-9-(2-chloro-1-ethoxyethyl)-9H-purine (31). Treatment of 6-chloropurine (1a, 310 mg, 2.0 mmol) and chloroacetaldehyde diethyl acetal (2o, 300 mg, 0.3mL, 2.0 mmol) by synthetic procedure B afforded 31 (428 mg, 82%) as a brownish viscous oil. 1H-NMR (500 MHz, DMSO-d6): δ = 8.75 (s, 1H, H-2 ), 8.32 (s, 1H, H-8), 6.00 (dd, J(1′,2′a) = 6.3 Hz, J(1′,2′b) = 4.8 Hz, H-1′), 4.04 (dd, J(gem) = 11.9 Hz, J(2′a,1′) = 6.3 Hz, 1H, H-2′a), 3.96 (dd, J(gem) = 11.9 Hz, J(2′b,1′) = 4.8 Hz, 1H, H-2′b), 3.52 and 3.64 (2×m, 2H, 1′-O-CH2), 1.22 (t, J(CH3,CH2) = 7.00 Hz, 3H, CH3). 13C-NMR (125 MHz, DMSO-d6): δ = 152.3 (C-2), 151.7 (C-4), 151.4 (C-6), 143.0 (C-8), 131.8 (C-5), 84.2 (C-1′), 66.2 (O-CH2), 44.4 (C-2′), 14.6 (CH3). HRMS (ESI+) m/z: [M + H]+ calcd. for C9H10ON4Cl2Na, 283.0124; found, 283.0124.
6-Chloro-9-(1-ethoxyprop-2-yn-1-yl)-2-fluoro-9H-purine (34). Treatment of 6-chloro-2-fluoropurine (1b, 345 mg, 2.0 mmol) and 3,3-diethoxyprop-1-yne (2r, 256 mg, 2.0 mmol) by synthetic procedure B afforded 34 (183 mg, 36%) as a brownish viscous oil. 1H-NMR (500 MHz, DMSO-d6): δ = 8.93 (s, 1H, H-8), 6.69 (d, J(1′,3′) = 2.1 Hz, 1H, H-1′), 4.15 (d, J(3′,1′) = 2.1 Hz, 1H, H-3′), 3.52–3.65 (m, 2H, O-CH2), 1.09 (t, J(CH3,CH2) = 7.0 Hz, 3H, CH3). 13C-NMR (125 MHz, DMSO-d6): δ = 156.6 (d, J(2,F) = 214.9 Hz, C-2), 153.2 (d, J(4,F) = 17.7 Hz, C-4), 151.2 (d, J(6,F) = 18.1 Hz, C-6), 146.4 (d, J(8,F) = 3.2 Hz, C-8), 130.4 (d, J(5,F) = 4.8 Hz, C-5), 80.0 (C-3′), 76.6 (C-2′), 73.3 (C-1′), 63.9 (O-CH3), 14.7 (CH3). HRMS (ESI+) m/z: [M + H]+ calcd for C10H8ClFN4O, 254.0371; found, 254.0373.
4-(Adenine-9-yl)-4-methoxybutan-2-one (35). Treatment of adenine (1i, 270 mg, 2.0 mmol) and 4,4-dimethoxy-2-butanone (2s, 321 mg, 0.32 mL, 2.0 mmol) by synthetic procedure B afforded 35 (109 mg, 23%) as a pinkish amorphous solid. 1H-NMR (500 MHz, DMSO-d6): δ = 8.34 (s, 1H, H-8), 8.16 (s, 1H, H-2), 7.30 (bs, 2H, NH2), 5.92 (dd, J(1′,2′b) = 7.4 Hz, J(1′,2′a) = 5.4 Hz, 1H, H-1′), 3.59 (dd, J(gem) = 17.3 Hz, J(2b′,1′) = 7.4 Hz, 1H, H-2′b), 3.38 (dd, J(gem) = 17.3 Hz, J(2a′,1′) = 5.4 Hz, 1H, H-2′a), 3.13 (s, 3H, CH3O), 2.12 (s, 3H, H-4′). 13C-NMR (125 MHz, DMSO-d6): δ = 204.6 (C-3′), 156.3 (C-6), 152.9 (C-2), 149.8 (C-4), 139.8 (C-8), 119.0 (C-5), 81.6 (C-1′), 56.0 (CH3O), 47.3 (C-2′), 30.4 (C-4′). HRMS (ESI+) m/z: [M + H]+ calcd for C10H14O2N5, 236.1142; found, 236.1140.
N,N’-(9-(1-Ethoxyprop-2-yn-1-yl)-9H-purine-2,6-diyl)diacetamide (36). Treatment of 2,6-bisacetamidopurine (1l, 470 mg, 2.0 mmol) and 3,3-diethoxyprop-1-yne (2r, 256 mg, 2.0 mmol) by synthetic procedure B afforded 36 (210 mg, 31%) as a light brown viscous oil. 1H-NMR (500 MHz, DMSO-d6): δ = 10.62 (bs, 1H, NH), 10.42 (bs, 1H, NH), 8.53 (s, 1H, H-8), 6.52 (d, J(1′,3′) = 2.1 Hz, 1H, H-1′), 4.11 (d, J(3′,1′) = 2.1 Hz, 1H, H-3′), 3.52–3.64 (m, 2H, O-CH2), 2.34 (s, 3H, CH3-CON), 2.27 (s, 3H, CH3-CON), 1.10 (t, J(CH2,CH3) = 7.0 Hz, 3H, O-CH2-CH3). 13C-NMR (125 MHz, DMSO-d6): δ = 169.8 (CON), 152.8 (C-2 or C-6), 152.1 (C-4), 150.1 (C-2 or C-6), 141.3 (C-8), 119.4 (C-5), 79.5 (C-3′), 77.3 (C-2′), 72.2 (C-1′), 63.7 (O-CH3), 25.0 (CH3-CON), 24.9 (CH3-CON), 14.8 (O-CH2-CH3). HRMS (ESI+) m/z: [M + H]+ calcd. for C14H16O3N6Na, 339.1176; found, 339.1176.
2-(4-Chloro-1H-pyrazolo[4,3-c]pyridin-1-yl)-2-ethoxyethyl acetate (37). Treatment of 4-chloro-1H-pyrazolo[4,3-c]pyridine (1m, 306 mg, 2.0 mmol) and acetoxyacetaldehyde dimethyl acetate (2t, 355 mg, 2.0 mmol) by synthetic procedure B afforded 37 (370 mg, 68%) as a brownish viscous oil. 1H-NMR (500 MHz, DMSO-d6): δ = 8.44 (d, J(7,3) = 0.9 Hz, 1H, H-7), 8.24 (d, J(2,3) = 6.0 Hz, 1H, H-2), 7.93 (dd, J(3,2) = 6.0 Hz, J(3,7) = 1.0 Hz, 1H, H-3), 6.18 (dd, J(1′,2′a) = 6.3 Hz, J(1′,2′b) = 5.5 Hz, 1H, H-1′), 4.58 (dd, J(gem) = 11.4 Hz, J(2′a,1′) = 5.5 Hz, 1H, H-2′a), 4.49 (dd, J(gem) = 11.4 Hz, J(2′b,1′) = 6.3 Hz, 1H, H-2′b ), 3.56 (dq, J(gem) = 9.5 Hz, J(CH2,CH3) = 7.0 Hz, 1H, CH3,CH2a), 3.21 (dq, J(gem) = 9.5 Hz, J(CH2,CH3) = 7.1 Hz, 1H, CH3,CH2b), 1.89 (s, 3H, CH3-COO), 1.03 (t, J(CH3,CH2) = 7.0 Hz, 3H, CH3-CH2). 13C-NMR (125 MHz, DMSO-d6): δ = 169.9 (COO), 144.5 (C-4), 144.0 (C-2), 143.9 (C-6), 134.4 (C-7), 119.9 (C-5), 105.7 (C-3), 85.6 (C-1′), 64.3 (CH2-CH3), 63.3 (C-2′), 20.5 (CH3-COO), 14.8 (CH2-CH3). HRMS (ESI+) m/z: [M + H]+ calcd. for C12H15O3N3Cl, 284.0797; found, 284.0797.
Ethyl 4-(4-chloro-1H-imidazo[4,5-c]pyridin-1-yl)-2-cyano-4-ethoxybutanoate (38). Treatment of 4-chloro-1H-imidazo[4,5-c]pyridine (1n, 310 mg, 2.0 mmol) and ethyl 2-cyano-4,4-diethoxybutyrate (2u, 462 mg, 2.0 mmol) by synthetic procedure B afforded 38 (595 mg, 88%) as a yellow viscous oil. 1H-NMR (500 MHz, DMSO-d6): δ = 8.68 and 8.67 (s, 1H, H-8), 8.19–8.21 (m, 1H, H-2), 7.77 and 7.72 (d, J(3,2) = 5.6 Hz, 1H, H-3), 5.97–5.93 (m, 1H, H-1′), 4.37–4.46 (m, 1H, H-3′), 4.06–4.25 (m, 2H, COO-CH2), 3.48 (m, 1H, 1′-O-CH2), 3.23 (m, 1H, 1′-O-CH2), 2.55–2.87 (m, 2H, H-2′), 1.02–1.28 (m, 6H, CH3). 13C-NMR (125 MHz, DMSO-d6): δ = 166.1 (COO), 165.6 (COO), 145.4 and 145.3 (C-8), 141.6 and 141.5 (C-2), 141.5 (C-6), 139.0 and 138.8 (C-4), 137.8 and 137.7 (C-5), 116.7 and 116.6 (CN), 107.8 and 107.7 (C-3), 84.3 and 84.1 (C-1′), 64.7 and 64.4 (1′-O-CH2), 62.7 and 62.6 (COO-CH2), 34.0 and 33.7 (C-3′), 33.6 and 33.2 (C-2′), 14.6, 14.5, 14.1 and 13.9 (CH3). HRMS (ESI+) m/z: [M + H]+ calcd. for C15H18O3N4Cl, 337.1062; found, 337.1062.
2-((1H-1,2,4-Triazol-1-yl)methoxy)ethyl acetate (39). Treatment of 1,2,4-triazole (1o, 138 mg, 2.0 mmol) and 1,3-dioxolane (2g, 148 mg, 0.14 mL, 2.0 mmol) by synthetic procedure B afforded 39 (290 mg, 78%) as a colorless oil. 1H-NMR (500 MHz, DMSO-d6): δ = 8.72 (s, 1H, H-5), 8.06 (s, 1H, H-3), 5.57 (s, 2H, N-CH2-O), 4.08 (m, 2H, CH2-OAc), 3.69 (m, 2H, N-CH2-O-CH2), 1.98 (s, 3H, CH3). 13C-NMR (125 MHz, DMSO-d6): δ = 170.5 (COO), 152.2 (C-3), 145.4 (C-5), 77.4 (N-CH2-O), 67.1 (N-CH2-O-CH2), 62.9 (CH2-OAc), 20.81 (CH3). HRMS (ESI+) m/z: [M + H]+ calcd. for C7H12O3N3, 186.0873; found, 186.0873.
3-((2-Acetoxyethoxy)methyl)thiazol-3-ium trifluoromethanesulfonate (40). Treatment of thiazole (1p, 170 mg, 2.0 mmol) and 1,3-dioxolane (2g, 148 mg, 0.14 mL, 2.0 mmol) by synthetic procedure B and by modified work up (the crude product was purified using C18-silica gel flash chromatography in water to methanol, gradient 0–100%) afforded 40 (330 mg, 47%) as a colorless oil. 1H-NMR (500 MHz, D2O): δ = 10.18 (m, 1H, H-2), 8.47 (dd, J(4,5) = 3.8 Hz, J(4,2) = 1.4 Hz, 1H, H-4), 8.29 (dd, J(5,4) = 3.8 Hz, J(5,2) = 2.5 Hz, 1H, H-5), 5.95 (s, 2H, N-CH2-O), 4.26 (m, 2H, CH2-OAc), 3.94 (m, 2H, CH2-CH2-OAc), 2.08 (s, 3H, CH3). 13C-NMR (125 MHz, D2O): δ = 174.7 (COO), 159.1 (C-2), 136.3 (C-4), 127.2 (C-5), 84.3 (N-CH2-O), 69.6 (CH2-CH2-OAc), 64.1 (CH2-OAc), 20.9 (CH3). HRMS (ESI+) m/z: [M]+ calcd. for C8H12O3NS, 202.0532; found, 202.0533.
1-(((4-Acetoxytetrahydrofuran-3-yl)oxy)methyl)-4-nitro-1H-pyrazole-3-carboxylic acid (41). Treatment of 4-nitro-1H-pyrazole-3-carboxylic acid (1q, 314 mg, 2.0 mmol) and 1,4-anhydro-2,3-O-methylenerythritol (2v, 232 mg, 2.0 mmol) by synthetic procedure B afforded 41 (252 mg, 40%) as a brownish oil. 1H-NMR (500 MHz, DMSO-d6): δ = 9.13 (s, 1H, H-5), 5.10 (td, J(4′,3′) = J(4′,5′a) = 5.4 Hz, J(4′,5′b) = 3.8 Hz, 1H, H-4′), 4.47 (q, J(3′,4′) = J(3′,2′a) = J(3′,2′b) = 5.6 Hz, 1H, H-3′), 3.92 (dd, J(gem) = 10.0 Hz, J(5′a,4′) = 5.5 Hz, 1H, H-5′a), 3.82 (dd, J(gem) = 9.3 Hz, J(2′a,3′) = 6.0 Hz, 1H, H-2′a), 3.64 (dd, J(gem) = 10.0 Hz, J(5′b,4′) = 3.9 Hz, 1H, H-5′b), 3.51 (dd, J(gem) = 9.3 Hz, J(2′b,3′) = 5.5 Hz, 1H, H-2′b), 1.99 (s, 3H, CH3). 13C-NMR (125 MHz, DMSO-d6): δ =170.1 (CH3-COO), 161.7 (COOH), 140.6 (C-3 or C-4), 133.3 (C-3 or C-4), 132.8 (C-5), 81.0 (N-CH2-O), 77.2 (C-3′), 71.8 (C-4′), 70.2 (C-5′), 69.6 (C-2′). HRMS (ESI–) m/z: [M − H]– calcd. for C11H12O8N3, 314.0630; found, 314.0625.
2-((5-Phenyl-1H-tetrazol-1-yl)methoxy)but-3-en-1-yl acetate (42) and 2-((5-phenyl-2H-tetrazol-2-yl)methoxy)but-3-en-1-yl acetate (43). Treatment of 5-phenyl-1H-tetrazole (1r, 292 mg, 2.0 mmol) and 4-vinyl-[1,3]dioxolane (2m, 200 mg, 0.2 mL, 2.0 mmol) by synthetic procedure B afforded 42 (150 mg, 26%) and 43 (121 mg, 21%) as white amorphous solids. Compound 42: 1H-NMR (500 MHz, DMSO-d6): δ = 7.95 (m, 2H, H-2), 7.64–7.70 (m, 3H, H-3 and H-4), 5.92 and 5.85 (2×d, J(gem) = 11.9 Hz, 2×1H, N-CH2-O), 5.75 (ddd, J(CH,CH2) = 17.7 Hz and 10.2 Hz, J(CH,CH) = 6.7 Hz, 1H, CH2 = CH), 5.29–5.33 (m, 2H, CH2=CH), 4.29 (m, 1H,CH-O), 3.97–4.04 (m, 2H, CH2-O), 1.80 (s, 3H, CH3); 13C-NMR (125 MHz, DMSO-d6): δ = 170.3 (COO), 155.2 (N-C-N), 133.2 (CH2 = CH), 132.1 (C-4), 129.8 (C-3), 129.3 (C-2), 123.8 (C-1), 120.4 (CH2 = CH), 77.8 (CH-O), 75.0 (N-CH2-O), 65.2 (CH2-O), 20.8 (CH3). HRMS (ESI+) m/z: [M + Na]+ calcd. for C14H16O3N4Na, 311.1115; found, 311.1113. Compound 43: 1H-NMR (500 MHz, DMSO-d6): δ = 8.10 (m, 2H, H-2), 7.55–7.61 (m, 3H, H-3 and H-4), 6.16 and 6.01 (2×d, J(gem) = 11.4 Hz, 2×1H, N-CH2-O), 5.75 (ddd, J(CH2,CH) = 17.1 Hz and 10.5 Hz, J(CH,CH) = 6.5 Hz, 1H, CH2 = CH), 5.35 (dt, J(CH2b,CH) = 17.3 Hz, J(gem) = 4J(H,H) = 1.4 Hz, 1H, CH2b = CH), 5.27 (dt, J(CH2a,CH) = 10.5 Hz, J(gem) = 4J(H,H) = 1.4 Hz, 1H, CH2a = CH), 4.39 (m, 1H, CH-O), 4.05 (dd, J(gem) = 11.8 Hz, J(CH2,CH) = 3.6 Hz, 1H, COO-CH2b), 3.98 (dd, J(gem) = 11.8 Hz, J(CH2,CH) = 7.2 Hz, 1H, COO-CH2a), 1.85 (s, 3H, CH3); 13C-NMR (125 MHz, DMSO-d6): δ = 170.1 (COO), 164.7 (N-C-N), 133.2 (CH2=CH), 131.0 (C-4), 129.5 (C-3), 126.8 (C-1), 126.7 (C-2), 119.7 (CH2 = CH), 79.3 (N-CH2-O), 78.3 (CH-O), 65.0 (COO-CH2), 20.6 (CH3). HRMS (ESI+) m/z: [M + Na]+ calcd. for C14H16O3N4Na, 311.1115; found, 311.1115.
4-(1H-Benzo[d][1,2,3]triazol-1-yl)-4-methoxybutanenitrile (45). Treatment of benzotriazole (1t, 240 mg, 2.0 mmol) and 3-cyanopropionaldehyde dimethyl acetal (2w, 260 mg, 0.26 mL, 2.0 mmol) by synthetic procedure B afforded 45 (330 mg, 76%) as a brownish oil. 1H-NMR (500 MHz, DMSO-d6): δ = 8.11 (dt, J(3′,4′) = 8.4 Hz, J(3′,5′) = J(3′,6′) = 1.0 Hz, 1H, H-3′), 7.95 (dt, J(6′,5′) = 8.4 Hz, J(6′,4′) = J(6′,3′) = 1.0 Hz, 1H, H-6′), 7.60 (ddd, J(5′,6′) = 8.2 Hz, J(5′,4′) = 5.9 Hz, J(5′,3′) = 1.1 Hz, 1H, H-5′), 7.46 (ddd, J(4′,3′) = 8.4 Hz, J(4′,5′) = 6.9 Hz, J(4′,6′) = 1.0 Hz, 1H, H-4′), 6.16 (m, 1H, H-4), 3.15 (s, 3H, OCH3), 2.60–2.69 (m, 3H, H-2 and H-3a), 2.40–2.48 (m, 1H, H-3b). 13C-NMR (125 MHz, DMSO-d6): δ = 145.9 (C-2′), 132.0 (C-1′), 128.2 (C-5′), 124.7 (C-4′), 119.8 (C-3′), 119.7 (CN), 111.3 (C-6′), 88.9 (C-4), 56.3 (OCH3), 29.6 (C-3), 12.9 (C-2). HRMS (ESI+) m/z: [M + Na]+ calcd. for C11H12ON4Na, 239.0903; found, 239.0904.
2-(2-Bromo-1-(6-chloro-9H-purin-9-yl)ethoxy)ethyl pivalate (46). Treatment of 6-chloropurine (1a, 310 mg, 2.0 mmol), 2-bromomethyl-1,3-dioxolane (2a, 334 mg, 0.21 mL, 2.0 mmol) and pivalic anhydride (3b, 372 mg, 0.41 mL, 2.0 mmol) by synthetic procedure B afforded 46 (414 mg, 51%) as yellowish viscous oil. 1H-NMR (500 MHz, DMSO-d6): δ = 8.93 (s, 1H, 8), 8.84 (s, 1H, H-2), 6.13 (dd, J(1′,2′a) = 6.9 Hz, J(1′,2′b) = 6.0 Hz, 1H, H-1′), 4.23 (dd, J(gem) = 10.8 Hz, J(2′a,1′) = 6.9 Hz, 1H, H-2′a), 4.16 (dd, J(gem) = 10.8 Hz, J(2′b,1′) = 6.0 Hz, 1H, H-2′b), 4.04–4.14 (m, 2H, CH2-O-CO), 3.86 (ddd, J(gem) = 11.5 Hz, J(CH2a,CH2) = 6.1 Hz and 2.8 Hz, 1H, 1′-O-CH2a), 3.63 (ddd, J(gem) = 11.6 Hz, J(CH2b,CH2) = 6.3 Hz and 2.9 Hz, 1H, 1′-O-CH2b), 1.03 (s, 9H, CH3). 13C-NMR (125 MHz, DMSO-d6): δ = 177.4 (COO), 152.2 (C-2), 152.0 (C-4), 149.7 (C-6), 145.8 (C-8), 131.3 (C-5), 84.2 (C-1′), 67.9 (1′-O-CH2), 62.7 (CH2-O-CO), 31.7 (C-2′), 26.9 (CH3). HRMS (ESI+) m/z: [M + H]+ calcd. for C14H19O3N4BrCl, 405.0324; found, 405.0325.
2-(2-Bromo-1-(6-chloro-9H-purin-9-yl)ethoxy)ethyl benzoate (47). Treatment of 6-chloropurine (1a, 310 mg, 2.0 mmol), 2-bromomethyl-1,3-dioxolane (2a, 334 mg, 0.21 mL, 2.0 mmol) and benzoic anhydride (3c, 452 mg, 0.38 mL, 2.0 mmol) by synthetic procedure B afforded 47 (332 mg, 39%) as yellowish viscous oil. 1H-NMR (500 MHz, DMSO-d6): δ = 8.95 (s, 1H, H-8), 8.79 (s, 1H, H-2), 7.77 (m, 2H, H-2″), 7.65 (m, 1H, H-4″), 7.48 (m, 2H, H-3″), 6.19 (dd, J(1′,2′a) = 6.9 Hz, J(1′,2′b) = 6.0 Hz, 1H, H-1′), 4.39 (ddd, J(gem) = 12.3 Hz, J(CH2a,CH2b) = 6.7 Hz, J(CH2a,CH2a) = 2.6 Hz, 1H, 1′-O-CH2-CH2a), 4.30 (ddd, J(gem) = 12.3 Hz, J(CH2b,CH2a) = 5.9 Hz, J(CH2b,CH2b) = 2.6 Hz, 1H, 1′-O-CH2,CH2b), 4.24 (dd, J(gem) = 10.8 Hz, J(2′a,1′) = 6.9 Hz, 1H, H-2′a), 4.03 (dd, J(gem) = 10.8 Hz, J(2′b,1′) = 6.0 Hz, 1H, H-2′b), 4.03 (ddd, J(gem) = 11.7 Hz, J(CH2a,CH2b) = 5.9 Hz, J(CH2a,CH2a) = 2.6 Hz, 1H, 1′-O-CH2a), 3.81 (ddd, J(gem) = 11.7 Hz, J(CH2b,CH2a) = 6.7 Hz, J(CH2b,CH2b) = 2.6 Hz, 1H, 1′-O-CH2b). 13C-NMR (125 MHz, DMSO-d6): δ = 165.7 (COO), 152.2 (C-2), 151.9 (C-4), 149.6 (C-6), 145.8 (C-8), 133.6 (C-4″), 131.3 (C-5), 129.5 (C-1″), 129.2 (C-2″), 128.9 (C-3″), 84.5 (C-1′), 68.0 (1′-O-CH2), 63.6 (1′-O-CH2-CH2), 31.7 (C-2’). HRMS (ESI+) m/z: [M + Na]+ calcd. for C16H14O3N4BrClNa, 446.9830; found, 446.9833.
2-(2-Bromo-1-(6-chloro-9H-purin-9-yl)ethoxy)ethyl(2S)-2-(6-methoxynaphthalen-2-yl)propanoate (49). Treatment of 6-chloropurine (1a, 310 mg, 2.0 mmol), 2-bromomethyl-1,3-dioxolane (2a, 334 mg, 0.21 mL, 2.0 mmol) and (S,S)-2-(6-methoxynaphthalene-2-yl)propionic anhydride (3e, 890 mg, 2.0 mmol) by synthetic procedure B afforded 49 (214 mg, 20%) as yellowish viscous oil. 1H-NMR (500 MHz, DMSO-d6): δ = 8.87 and 8.91 (s, 1H, H-8), 8.83 and 8.83 (s, 1H, H-2), 7.73–7.80 (m, 2H, H-4″ and H-8″), 7.64–7.67 (m, 1H, H-1″), 7.30–7.34 (m, 1H, H-3″), 7.26–7.28 (m, 1H, H-5″), 7.13–7.16 (m, 1H, H-7″), 6.06–6.10 (m, 1H, H-1″), 3.98–4.21 (m, 4H, CH2Br, COO-CH2), 3.58–3.85 (m, 3H, CH3-CH and 1′-O-CH2), 1.41 and 1.40 (2 × d, J(CH3,CH) = 7.1 Hz, 2 × 3H, CH3). 13C-NMR (125 MHz, DMSO-d6) δ = 173.9 (COO), 157.4 (C-6″), 152.3 (C-2), 152.00 and 151.98 (C-4), 149.7 (C-6), 145.8 and 145.7 (C-8), 135.64 and 135.56 (C-2″), 133.5 (C-4″a), 131.3 (C-5), 129.3 (C-8″), 128.58 and 128.56 (C-8″a), 127.20 and 127.17 (C-4″), 126.4 and 126.3 (C-3″), 125.82 and 125.77 (C-1″), 119.0 (C-7″), 105.9 (C-5″), 84.2 and 84.1 (C-1′), 67.7 (1′-O-CH2), 63.2 and 63.1 (COO-CH2), 55.4 (O-CH3), 44.6 and 44.5 (CH3-CH), 31.6 (CH2Br), 18.6 and 18.5 (CH3). HRMS (ESI+) m/z: [M + H]+ calcd. for C23H23O4N4BrCl, 533.0586; found, 533.0587.
2-(2-Bromo-1-(6-chloro-9H-purin-9-yl)ethoxy)ethyl decanoate (51). Treatment of 6-chloropurine (1a, 310 mg, 2.0 mmol), 2-bromomethyl-1,3-dioxolane (2a, 334 mg, 0.21 mL, 2.0 mmol) and decanoyl chloride (3h, 381 mg, 0.42 mL, 2.0 mmol) by synthetic procedure B afforded 51 (332 mg, 35%) as yellow viscous oil. 1H-NMR (500 MHz, DMSO-d6): δ = 8.93 (s, 1H, 8), 8.83 (s, 1H, H-2), 6.13 (dd, J(1′,2′a) = 7.0 Hz, J(1′,2′b) = 5.8 Hz, 1H, H-1′), 4.23 (dd, J(gem) = 10.8 Hz, J(2′a,1′) = 7.0 Hz, 1H, H-2′a), 4.14 (dd, J(gem) = 10.8 Hz, J(2′b,1′) = 5.8 Hz, 1H, H-2′b), 4.09 (ddd, J(gem) = 12.4 Hz, J(CH2a,CH2b) = 6.6 Hz, J(CH2a,CH2a) = 2.8 Hz, 1H, 1′-O-CH2-CH2a), 4.04 (ddd, J(gem) = 12.4 Hz, J(CH2b,CH2a) = 5.7 Hz, J(CH2b,CH2b) = 2.9 Hz, 1H, 1′-O-CH2-CH2b), 3.88 (ddd, J(gem) = 11.7 Hz, J(CH2a,CH2b) = 5.7 Hz, J(CH2a,CH2a) = 2.8 Hz, 1H, 1′-O-CH2a), 3.64 (ddd, J(gem) = 11.7 Hz, J(CH2b,CH2a) = 6.6 Hz, J(CH2b,CH2b) = 2.9 Hz, 1H, 1′-O-CH2b), 2.08 (m, 2H, H-2″), 1.15–1.28 (m, 12H, H-4″, H-5″, H-6″, H-7″, H-8″, H-9″), 1.38 (m, 2H, H-3″), 0.84 (t, J(10″,9″) = 7.0 Hz, 3H, H-10″), 13C-NMR (125 MHz, DMSO-d6): δ =172.8 (C-1″), 152.2 (C-2), 152.0 (C-4), 149.6 (C-6), 145.8 (C-8), 131.3 (C-5), 84.3 (C-1′), 68.0 (1′-O-CH2), 62.6 (1′-O-CH2-CH2), 33.4 (C-2″), 31.7 (C-2′), 31.5 (C-8″), 29.0, 28.9 and 28.6 (C-4″, C-5″, C-6″, C-7″), 24.5 (C-3″), 22.3 (C-9″), 14.2 (C-10″). HRMS (ESI+) m/z: [M + H]+ calcd. for C19H29O3N4BrCl, 475.1106; found, 475.1109.
2-(1-Acetoxy-2-bromoethoxy)ethyl acetate (52). A mixture of 2-bromomethyl-1,3-dioxolane (2a, 1.00 g, 6.25 mmol), acetic anhydride (3a, 0.96 g, 0.89 mL, 9.41 mmol) and concentrated H2SO4 (1 drop) was stirred at room temperature overnight. Water (30 mL) was added and the mixture was extracted with chloroform (3 × 30 mL). Combined organic layers were washed with brine (30 mL), dried over MgSO4, and evaporated to give crude 52 (1.2 g, 71%, GC purity 91%) as brown viscous oil. Purification of the crude product using column chromatography on silica gel (DCM/1% methanol, isocratic) afforded pure 52 (0.94 g, 56%) as brownish oil. 1H-NMR (400 MHz, CDCl3) δ = 5.94 (t, J(CH-CH2Br) = 5.3 Hz, 1H, O-CH-O), 4.29–4.16 (m, 2H, CH2-OAc), 3.93 (ddd, J (gem) = 11.4 Hz, J(CH2-CH2) = 5.3 Hz, J(CH2-CH2) = 3.8 Hz, 1H, O-CH2a-CH2-OAc), 3.93 (ddd, J (gem) = 11.5 Hz, J(CH2-CH2) = 5.9 Hz, J(CH2-CH2) = 4.1 Hz, 1H, O-CH2b-CH2-OAc), 3.51–3.34 (m, 2H, CH2-Br), 2.12 (s, 3H, CH3AcO-CH2-CH2), 2.08 (s, 3H, CH3AcO-CH-O). 13C-NMR (100 MHz, CDCl3): δ = 171.0(COO-CH2-CH2), 170.5 (COO-CH-O), 96.2 (O-CH-O), 68.3 (O-CH2-CH2-OAc), 63.2 (O-CH2-CH2-OAc), 31.1 (CH2-Br), 21.1 (CH3AcO), 21.0 (CH3AcO). HRMS (ESI+) m/z: [M + Na]+ calcd. for C8H13O5BrNa, 290.9839; found, 290.9836.
4. Conclusions
In summary, we have developed an efficient strategy for the preparation of acylated purine-based acyclonucleosides branched at the hemiaminal ether carbon atom. The three-component reaction takes advantage of cheap and easily available starting material, namely acetals, acetic anhydride and trimethylsilyl trifluoromethanesulfonate (TMSOTf), and of simple procedure (one-pot reaction, room temperature, short reaction time). The general procedure is based on equimolar reaction mixture of N-heterocycle, acetal, acetic anhydride, and TMSOTf (1.5 equivalent is preferable) in MeCN and offers the target acyclonucleosides in moderate to high yields (up to 88%). The substrate scope is relatively broad, both as for the N-heterocycle and as for the acetal (cyclic or acyclic) and many functional groups are tolerated (e.g., double and triple bonds, halogen, tosyl, cyano, keto, and ester groups). It was shown that starting 1,3-dioxolanes can be branched either at C-2 or at C-4/C-5 positions; however, no reaction was observed with acetals bearing azido group and free hydroxyl or amino groups. The N-heterocycles usually react with a great regioselectivity and also the unprotected exocyclic amino group is mostly well-tolerated. Although other acid anhydrides (e.g., pivalic anhydride) can be alternatively used, the best yields were obtained with acetic anhydride.
This efficient, simple and fast alkoxyalkylation methodology offers an efficient approach to diverse protected (acylated) acyclic nucleosides which can serve as convenient intermediates for subsequent synthesis of various target compounds (e.g., acyclonucleosides and acyclic nucleoside phosphonates). The methodology is currently being exploited in our laboratory in order to prepare variously branched acyclonucleosides and acyclic nucleoside phosphonates, which are further studied as potential inhibitors of enzymes of purine metabolism (e.g., adenylate cyclases, purine nucleoside phosphorylases, and 6-oxopurine phosphoribosyltransferase) with the aim to develop potential therapeutic agents.
Supplementary Materials
The following are available online. Copies of 1H and 13C NMR spectra of prepared compounds (pages S2–S42). Figures S1 and S2 (pages S43 and S44): HMBC spectra of compounds 22 and 42.
Author Contributions
Conceptualization, Z.J.; data curation, L.P.S. and M.D.; funding acquisition, Z.J.; investigation, J.F.; methodology, J.F.; project administration, Z.J.; supervision, Z.J.; writing—original draft, J.F.; Writing—review & editing, L.P.S., M.D. and Z.J. All authors have read and agreed to the published version of the manuscript.
Funding
This research was funded by the Institute of Organic Chemistry and Biochemistry (RVO 61388963) and by the Ministry of Education, Youth and Sports (MŠMT in Czech) in the program INTER-EXCELLENCE (project LTAUSA18086).
Conflicts of Interest
The authors declare no conflict of interest.
References
- De Clercq, E. Milestones in the discovery of antiviral agents: Nucleosides and nucleotides. Acta Pharm. Sin. B 2012, 2, 535–548. [Google Scholar] [CrossRef]
- Jordheim, L.P.; Durantel, D.; Zoulim, F.; Dumontet, C. Advances in the development of nucleoside and nucleotide analogues for cancer and viral diseases. Nat. Rev. Drug Discov. 2013, 12, 447–464. [Google Scholar] [CrossRef]
- Seley-Radtke, K.L.; Yates, M.K. The evolution of nucleoside analogue antivirals: A review for chemists and non-chemists. Part 1: Early structural modifications to the nucleoside scaffold. Antivir. Res. 2018, 154, 66–86. [Google Scholar] [CrossRef] [PubMed]
- Yates, M.K.; Seley-Radtke, K.L. The evolution of antiviral nucleoside analogues: A review for chemists and non-chemists. Part II: Complex modifications to the nucleoside scaffold. Antivir. Res. 2019, 162, 5–21. [Google Scholar] [CrossRef] [PubMed]
- Chu, C.K.; Cutler, S.J. Chemistry and antiviral activities of acyclonucleosides. J. Heterocycl. Chem. 1986, 23, 289–319. [Google Scholar] [CrossRef]
- Xie, M.-S.; Niu, H.-Y.; Qu, G.-R.; Guo, H.-M. The development for the synthesis of chiral acyclic nucleosides and their phosphonates. Tetrahedron Lett. 2014, 55, 7156–7166. [Google Scholar] [CrossRef]
- Elion, G.B.; Furman, P.A.; Fyfe, J.A.; Miranda, P.D.; Beauchamp, L.; Schaeffer, H.J. Selectivity of action of an antiherpetic agent, 9-(2-hydroxyethoxymethyl)guanine. Proc. Natl. Acad. Sci. USA 1977, 74, 5716–5720. [Google Scholar] [CrossRef]
- Schaeffer, H.J.; Beauchamp, L.; De Miranda, P.; Elion, G.B.; Bauer, D.J.; Collins, P. 9-(2-Hydroxyethoxymethyl)guanine activity against viruses of the herpes group. Nature 1978, 272, 583–585. [Google Scholar] [CrossRef]
- Elion, G.B. Acyclovir: Discovery, mechanism of action, and selectivity. J. Med. Virol. 1993, 41, 2–6. [Google Scholar] [CrossRef]
- De Clercq, E.; Descamps, J.; De Somer, P.; Holý, A. (S)-9-(2,3-Dihydroxypropyl)adenine: An aliphatic nucleoside analog with broad-spectrum antiviral activity. Science 1978, 200, 563–565. [Google Scholar] [CrossRef]
- Keyser, G.E.; Bryant, J.D.; Barrio, J.R. Iodomethylethers from 1,3-dioxolane and 1,3-oxathiolane: Preparation of acyclic nucleoside analogs. Tetrahedron Lett. 1979, 20, 3263–3264. [Google Scholar] [CrossRef]
- Barrio, R.J.; Bryant, J.D.; Keyser, G.E. A direct method for the preparation of 2-hydroxymethoxyethyl derivatives of guanine, adenine, and cytosine. J. Med. Chem. 1980, 23, 572–574. [Google Scholar] [CrossRef] [PubMed]
- Matsumoto, H.; Kaneko, C.; Yamada, K.; Takeuchi, T.; Mori, T.; Mizuno, Y. A convenient synthesis of 9-(2-hydroxyethoxymethyl)guanine(acyclovir) and related compounds. Chem. Pharm. Bull. 1988, 36, 1153–1157. [Google Scholar] [CrossRef]
- Robins, M.J.; Hatfield, P.W. Nucleic acid related compounds. 37. Convenient and high-yield syntheses of N-[(2-hydroxyethoxy)methyl] heterocycles as “acyclic nucleoside” analogues. Can. J. Chem. 1982, 60, 547–553. [Google Scholar] [CrossRef]
- Field, H.J.; Hodge, R.A.V. Recent developments in anti-herpesvirus drugs. Br. Med. Bull. 2013, 106, 213–249. [Google Scholar] [CrossRef]
- De Clercq, E. Selective Anti-Herpesvirus Agents. Antivir. Chem. Chemother. 2013, 23, 93–101. [Google Scholar] [CrossRef]
- De Clercq, E.; Li, G. Approved Antiviral Drugs over the Past 50 Years. Clin. Microbiol. Rev. 2016, 29, 695–747. [Google Scholar] [CrossRef]
- Coen, D.M.; Schaffer, P.A. Antiherpesvirus drugs: A promising spectrum of new drugs and drug targets. Nat. Rev. Drug Discov. 2003, 2, 278–288. [Google Scholar] [CrossRef]
- Bryant, J.D.; Keyser, G.E.; Barrio, J.R. Acyclic nucleoside analogues: Synthesis of open-ring riboside or deoxyriboside analogues lacking C(3′) or the C(3′) –C(4′) bond. J. Org. Chem. 1979, 44, 3733–3734. [Google Scholar] [CrossRef]
- Marasco, C.J.; Kramer, D.L.; Miller, J.; Porter, C.W.; Bacchi, C.J.; Rattendi, D.; Kucera, L.; Iyer, N.; Bernacki, R.; Pera, P.; et al. Synthesis and evaluation of analogues of 5′-([(Z)-4-amino-2-butenyl]methylamino)-5’-deoxyadenosine as inhibitors of tumor cell growth, Trypanosomal growth, and HIV-1 infectivity. J. Med. Chem. 2002, 45, 5112–5122. [Google Scholar] [CrossRef]
- Ewing, D.; Glacon, V.; MacKenzie, G.; Postel, D.; Len, C. A novel approach to unsaturated acyclic nucleoside analogues and the first synthesis of d4T by ring closure metathesis. Tetrahedron Lett. 2002, 43, 3503–3505. [Google Scholar] [CrossRef]
- Scheiner, P.; Geer, A.; Bucknor, A.-M.; Imbach, J.-L.; Schinazi, R.F. Acyclic analogues of 3′-azido-3′-deoxythymidine as potential antiviral agents. Nucleoside synthesis by Michael addition. J. Med. Chem. 1989, 32, 73–76. [Google Scholar] [CrossRef] [PubMed]
- Huang, R.; Xie, C.; Huang, L.; Liu, J. Copper-catalyzed N-alkoxyalkylation of nucleobases involving direct functionalization of sp3 C–H bonds adjacent to oxygen atoms. Tetrahedron 2013, 69, 577–582. [Google Scholar] [CrossRef]
- Luo, Z.; Jiang, Z.; Jiang, W.; Lin, D. C–H Amination of Purine Derivatives via Radical Oxidative Coupling. J. Org. Chem. 2018, 83, 3710–3718. [Google Scholar] [CrossRef] [PubMed]
- Guo, H.-M.; Xia, C.; Niu, H.-Y.; Zhang, X.-T.; Kong, S.-N.; Wang, D.-C.; Qu, G.-R. Intermolecular hydrogen abstraction reaction between nitrogen radicals in purine rings and alkyl ethers: A highly selective method for the synthesis of N-9 alkylated purine nucleoside derivatives. Adv. Synth. Catal. 2011, 353, 53–56. [Google Scholar] [CrossRef]
- Xie, M.-S.; Chen, Y.-G.; Wu, X.-X.; Qu, G.-R.; Guo, H.-M. Asymmetric Synthesis of Chiral Acyclic Purine Nucleosides Containing a Hemiaminal Ester Moiety via Three-Component Dynamic Kinetic Resolution. Org. Lett. 2018, 20, 1212–1215. [Google Scholar] [CrossRef]
- Singh, M.; Bhushan, R. (S)-Naproxen based novel chiral reagent for C–N bond formation: Enantioseparation of some β-blockers, determination of absolute configuration and elution order of diastereomers. RSC Adv. 2015, 5, 70255–70264. [Google Scholar] [CrossRef]
- Rosowsky, A.; Kim, S.-H.; Wick, M. Synthesis and antitumor activity of an acyclonucleoside derivative of 5-fluorouracil. J. Med. Chem. 1981, 24, 1177–1181. [Google Scholar] [CrossRef]
- Gokel, G.W.; Gerdes, H.M.; Dishong, D.M. Sulfur heterocycles. 3. Heterogeneous, phase-transfer, abd acid-catalyzed potassium permanganate oxidation of sulfides to sulfones and a survey of their carbon-13 nuclear magnetic resonance spectra. J. Org. Chem. 1980, 45, 3634–3639. [Google Scholar] [CrossRef]
- Hamanaka, E.S. 2-Dioxacycloalkylthipenem Derivatives. U.S. Patent US4614737A, 30 September 1986. [Google Scholar]
- Thomas, W.M.; Kropa, E.L. Unsaturated Dioxolane Compounds, Products Prepared Therefrom, and Methods of Preparation. U.S. Patent US2578861A, 18 December 1951. [Google Scholar]
- Coates, R.M.; Hobbs, S.J. α-Alkoxyallylation of activated carbonyl compounds. A novel variant of the Michael reaction. J. Org. Chem. 1984, 49, 140–152. [Google Scholar] [CrossRef]
- Burden, I.J.; Stoddart, J.F. Isomerism in bicyclic diacetals. Part I. 1,3:2,4- and 1,4:2,3-di-O-methylene-erythritol. J. Chem. Soc. Perkin Trans. I 1975, 666–674. [Google Scholar] [CrossRef]
- Coulbeck, E.; Eames, J. A method for determining the enantiomeric purity of profens. Tetrahedron: Asymmetry 2009, 20, 635–640. [Google Scholar] [CrossRef]
Sample Availability: Samples of the compounds are not available from the authors. |
© 2020 by the authors. Licensee MDPI, Basel, Switzerland. This article is an open access article distributed under the terms and conditions of the Creative Commons Attribution (CC BY) license (http://creativecommons.org/licenses/by/4.0/).

