Next Article in Journal
New Mesoporous Silica-Supported Organocatalysts Based on (2S)-(1,2,4-Triazol-3-yl)-Proline: Efficient, Reusable, and Heterogeneous Catalysts for the Asymmetric Aldol Reaction
Next Article in Special Issue
Synthesis and Biological Evaluation of 1,3-Dideazapurine-Like 7-Amino-5-Hydroxymethyl-Benzimidazole Ribonucleoside Analogues as Aminoacyl-tRNA Synthetase Inhibitors
Previous Article in Journal
Caryocar brasiliense Cambess. Pulp Oil Supplementation Reduces Total Cholesterol, LDL-c, and Non-HDL-c in Animals
Previous Article in Special Issue
Efficient Synthesis of α-Branched Purine-Based Acyclic Nucleosides: Scopes and Limitations of the Method
 
 
Font Type:
Arial Georgia Verdana
Font Size:
Aa Aa Aa
Line Spacing:
Column Width:
Background:
Article

Synthesis of New Imidazopyridine Nucleoside Derivatives Designed as Maribavir Analogues

1
Division of Pharmaceutical Chemistry, Department of Pharmacy, National and Kapodistrian University of Athens, Panepistimiopolis-Zografou, 15771 Athens, Greece
2
Laboratory of Virology & Chemotherapy, Rega Institute, KU Leuven, 3000 Leuven, Belgium
*
Author to whom correspondence should be addressed.
Molecules 2020, 25(19), 4531; https://doi.org/10.3390/molecules25194531
Submission received: 10 September 2020 / Revised: 28 September 2020 / Accepted: 29 September 2020 / Published: 3 October 2020

Abstract

The strong inhibition of Human Cytomegalovirus (HCMV) replication by benzimidazole nucleosides, like Triciribine and Maribavir, has prompted us to expand the structure–activity relationships of the benzimidazole series, using as a central core the imidazo[4,5-b]pyridine scaffold. We have thus synthesized a number of novel amino substituted imidazopyridine nucleoside derivatives, which can be considered as 4-(or 7)-aza-d-isosters of Maribavir and have evaluated their potential antiviral activity. The target compounds were synthesized upon glycosylation of suitably substituted 2-aminoimidazopyridines, which were prepared in six steps starting from 2-amino-6-chloropyridine. Even if the new compounds possessed only a slight structural modification when compared to the original drug, they were not endowed with interesting antiviral activity. Even so, three derivatives showed promising cytotoxic potential.

Graphical Abstract

1. Introduction

Human cytomegalovirus (HCMV) is a prevalent herpesvirus, with IgG antibodies indicating past infection found in approximately 60% of adults in developed countries and almost 100% in developing ones [1]. Although HCMV infection rarely leads to clinical manifestations in immunocompetent hosts, there is an increasing amount of data associating lifelong viral persistence with vascular diseases (atherosclerosis [2], hypertension [3]) and the progression of some cancer types [4]. In addition, HCMV is a major opportunistic pathogen in immunocompromised individuals, posing a serious threat to neonates, allograft recipients and AIDS patients [5]. Perinatal infection can cause irreversible hearing loss, blindness and mental retardation, while immunosuppressed adults may develop multi-organ failure syndrome, which is a life-threatening condition [1,5].
Ganciclovir (GCV) and its orally bioavailable prodrug, Valganciclovir, have served as gold standards for pre-emptive therapy and prophylaxis against HCMV in solid organ transplant patients [6] as well as for the treatment of CMV retinitis [7] for almost 30 years. However, their myelosuppressive potential precludes their prophylactic use in stem cell transplant recipients, which has led to their administration, mostly upon engraftment [8]. In addition, mutations mapping in the gene encoding for the UL97 kinase (responsible for the first phosphorylation of GCV towards its active triphosphate form) and in the UL54 gene encoding for the DNA polymerase (target of ganciclovir triphosphate), have led to the emergence of drug resistant strains [9]. Furthermore, the DNA polymerase inhibitors Cidofovir and Foscarnet, which are currently approved as second line agents, have several drawbacks that limit their clinical use, namely severe side effects and poor pharmacokinetic properties [10].
It has become clear that there is an urgent need for better tolerated and more effective antiviral drugs, in order to fully address the health risks posed by HCMV. There are four compounds that have been considered or are at an advanced stage of clinical development for this purpose (Figure 1). Brincidofovir is a per os administered hexadecyloxypropylester of Cidofovir aimed at addressing the parent compound’s dose-limiting renal toxicity [11]. The development of Brincidofovir for therapy of HCMV has been halted because of increased gastrointestinal toxicity of the oral formulation in adult hematopoietic cell transplant recipients. The non-nucleoside guanosine analogue Cyclopropavir, which shares the same mechanism of action with GCV, has proven to be more potent in HCMV inhibition in vitro [12] and Phase I trials have been recently completed. Furthermore, the search for novel molecular targets within the viral life cycle has led to the fast track approval of the terminase inhibitor Letermovir in late 2017, for the prophylaxis of HCMV infection and disease in adult HCMV-seropositive recipients of an allogeneic human stem cell transplant (HSCT) [13]. Phase II clinical trials are also about to be launched for the use of Letermovir in paediatric patients who underwent an HSCT.
At the same time, the benzimidazole l-riboside Maribavir is about to be evaluated in Phase III trials involving transplant recipients with HCMV infections that are refractory or resistant to the currently approved drugs as well as for its potential superiority over Valganciclovir in HSCT patients. Maribavir was developed in the late 1990s and has been proven to inhibit viral DNA synthesis as well as nucleocapsid egress from the nucleus via the inhibition of the viral kinase UL97 [14]. However, initial Phase III clinical trials failed to prove sufficient benefits for post-transplant patients. This has later on been accredited to the pre-emptive therapy with GCV that several patients had received prior to surgery and to the low daily administered dose [15].
As a continuation of our previous involvement with the synthesis and evaluation of purine isosteric bioactive nucleosides [16,17,18,19], we designed and synthesized a number of novel nucleoside derivatives, which can be considered as 4-(or 7)-aza-d-isosters of Maribavir, having in mind that the d-enantiomer of Maribavir possesses interesting anti-HCMV properties as well [20]. Our goal was to expand the structure–activity relationships of the benzimidazole series to the less-studied and more “purine-like” imidazo[4,5-b]pyridine scaffold, retaining the pattern of the 5,6-dichlorosubstitution in the new compounds. The diverse nature of the 2-amino groups in each of the final pair of isomeric nucleosides was at the core of our attempt to explore the spatial limitations of possible target enzymes as well as to gain some insight on potential interactions developed. Within this context, we disclose herein the preparation and pharmacological evaluation of the 1- and 3-regioisomeric β-d-ribosides of 5,6-dichloroimidazo[4,5-b]pyridine, introducing various amino substituents at the vacant position of the imidazole ring.

2. Results and Discussion

2.1. Chemistry

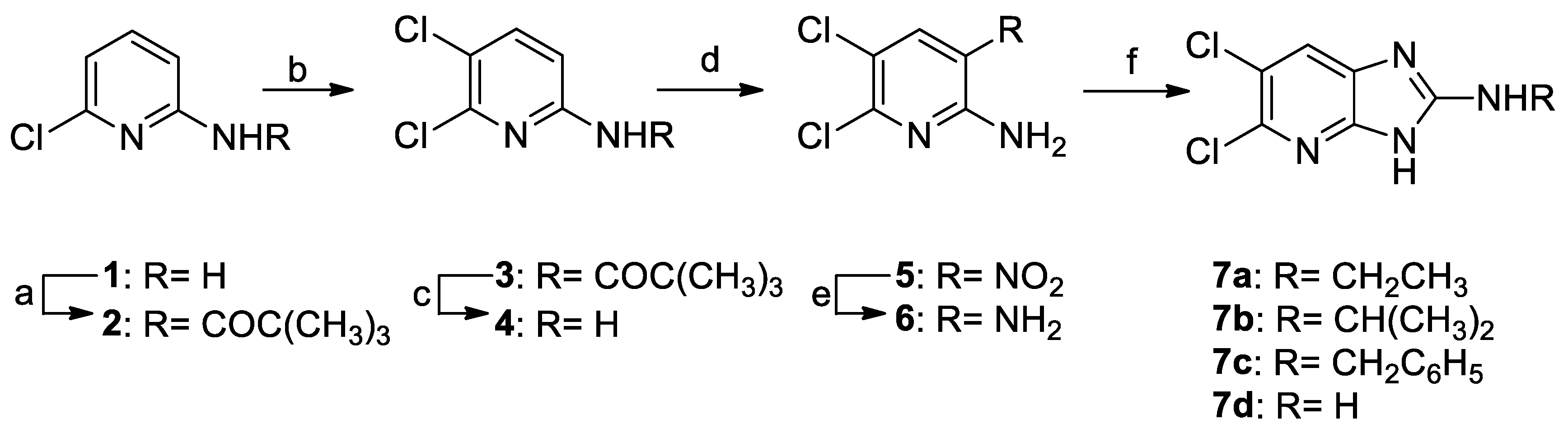
The synthetic route we envisaged in order to gain access to the target nucleosides involved the direct glycosylation of the suitably substituted imidazo[4,5-b]pyridines 7ad (Scheme 1). A common intermediate for the synthesis of these derivatives is 5,6-dichloropyridine-2,3-diamine (6), which was prepared following a five-step procedure, previously described by our group, starting from the pyridinamine 1 [21].
Amino substituted imidazopyridine derivatives 7ac were prepared using a one-pot-two-stage procedure, which involves an initial treatment of 6 with appropriately substituted N-alkylisothiocyanates in refluxing THF. The resulting mixture of isomeric thioureas undergoes rapid cyclodesulfurization in the presence of mercury oxide [22], yielding compounds 7ac. Concerning the preparation of the primary aminoderivative 7d, we implemented a different approach, which had been previously reported by Townsend [23], for the synthesis of the corresponding benzimidazole analogue. Thus, the addition of cyanogen bromide in a suspension of diamine 6 in a 1:1 mixture of MeOH and water provided 7d as the sole reaction product in very good yield.
The target N1- and N3-ribonucleoside acetates were prepared under modified Vorbrüggen conditions. The in situ formation of the persilylated heterocyclic bases by treatment of the corresponding heterocyclic compounds 7ad with N,O-bistrimethylsilylacetamide (BSA) was followed by the addition of peracetylated β-d-ribofuranose and trimethylsilyltrifluoromethanesulfonate (TMSOTf) (Scheme 2). Thus, concerning the glycosylation reaction of compounds 7ac, the major products isolated were the 3-β-d-ribosides 8ac, as a mixture with a small amount of the corresponding α-anomers 9ac. The N1 regioisomers were also obtained as mixtures of the 1-β-d ribosides 10ac with their corresponding α-d anomers 11ac.
Regarding the N1 regioisomers, we were able to isolate pure N1-β-d nucleoside acetates 10ac as well as their corresponding N1-α-d anomers 11ac, upon chromatographic purification. The site of ribosylation as well as the anomeric configuration were unambiguously determined on the basis of NOE spectroscopy. Taking into consideration the NOE spectra of compounds 10ac and 11ac, we observed clear correlation peaks between the aromatic proton and protons of the furanose ring, determinant of the N1-ribosylation pattern. In addition, we also noticed cross correlation peaks between 1′-H and 4′-H of the sugar moiety in the spectra of compounds 10ac. Such peaks were not observed on the NOE spectra of 11ac, thus clearly concluding that 11ac were the N1-α-d nucleoside products of the reaction, while 10ac were their corresponding β-d anomers. Deacetylation of 10ac with methanolic ammonia provided the final compounds 13ac.
Isolation of the pure 3-β-d nucleoside acetates proved to be difficult at this stage, so the mixtures of 8ac with their corresponding α-anomers 9ac were subjected to ammoniolysis, to provide the deprotected nucleosides. The ethylamino (12a) and isopropylamino (12b) derivatives were isolated in pure form by recrystallization, whereas an analytically pure sample of the benzylamino compound 12c was obtained upon purification with semi-preparative HPLC. Anomeric purity and configuration of compounds 12ac were determined on the basis of 1H-NMR and NOE spectra, respectively. In the latter ones, we observed clear correlation peaks between 1′-H and 4′-H of the ribofuranose moiety, while there was a profound absence of correlation peaks between the aromatic and sugar protons on the NOE spectra of each of the aforementioned compounds. The close examination of 1D and 2D NMR spectra reveals that a simple differentiation between each pair of regio isomers can be easily made upon inspection of the chemical shift of the aromatic proton. This proton appears upfield in the case of the N3-isomers 12ad (7.7–7.8 ppm) whereas it shifts downfield (8.0–8.1 ppm) concerning the N1-isomers 13ad.
Applying the same reaction conditions for the glycosylation of the primary aminoderivative 7d, we isolated from the reaction mixture the 3-β-d nucleoside acetate (8d), as well as the 1-β-d isomer (10d), without detectable amounts of the corresponding α-anomers. Deprotection of 8d and 10d with methanolic ammonia provided the respective final ribosides 12d and 13d. However, the major product of the glycosylation reaction of 7d turned out to be the di-ribosylated compound 14 (Figure 2), whose structure was elucidated on the basis of 1H-NMR, 13C-NMR, NOE and mass spectra. Two sets of sugar carbon peaks were observed on the 13C-NMR spectrum of 14, in the presence of only one set of aromatic carbon peaks. The sites of substitution as well as the anomeric configuration were assigned as exemplified in Figure 2 (namely N,1-β-d). Upon careful examination of the NOE spectrum of 14, we observed a set of correlation peaks between the aromatic proton and protons of one sugar moiety as well as correlation peaks between the anomeric proton of each furanose with its corresponding 4′-proton.

2.2. Biological Evaluation

Compounds 12ad and 13ad were evaluated for their activity against Vaccinia virus, Adeno virus-2, Human Coronavirus (229E), HSV-1, HSV-2, VZV, and HCMV (AD-169 and Davis strains) in human embryonic lung cell cultures (HEL) (Tables S1–S3). Unfortunately, the new derivatives proved to lack antiviral activity against all viruses tested. In particular, the substitution of the benzimidazole pharmacophore present in Maribavir by the imidazo[4,5-b]pyridine scaffold, in combination with the replacement of the l-sugar configuration with its corresponding d-riboside, resulted in total loss of the anti-HCMV activity. Nevertheless, upon determination of the cytotoxic properties of the new derivatives, compounds 12c, 12d and 13c, proved to possess moderate antiproliferative activity against the three cancer cell lines tested, namely human T-lymphocyte cells (CEM), human cervix carcinoma cells (HeLa) and human dermal microvascular endothelial cells (HMEC-1) (Table S4). Among these compounds, both 2-benzylamino-substituted derivatives 12c and 13c showed antiproliferative activity against CEM cell-line, with equipotent IC50 values (37 ± 3 and 39 ± 8µM) and at the same time, 12c proved active in inhibiting the growth of HeLa and HMEC-1 cell lines, possessing IC50 values of 36 ± 7 µM and 20 ± 2 µM, respectively. The increased antiproliferative effects of 12c and 13c are worth investigating further and are currently under active search in our laboratories.

3. Materials and Methods

3.1. General Information

Tetrahydrofuran (THF) was distilled from sodium/benzophenone ketyl immediately prior to use. Melting points were determined on a Büchi apparatus and are uncorrected. 1H-NMR spectra and 2D (COSY, NOESY, HSQC, HMBC) NMR spectra were recorded on a Bruker Avance III 600 or a Bruker Avance (Bruker, Karlsruhe, Germany) DRX 400 instrument, whereas 13C-NMR spectra were recorded on a Bruker Avance III 600 in deuterated solvents and were referenced to TMS (δ scale). The signals of 1H and 13C spectra were unambiguously assigned by using 2D NMR techniques: 1H1H COSY, NOESY, HSQC and HMBC. Mass spectra were recorded with a LTQ Orbitrap Discovery instrument, possessing an Ionmax ionization source. Column chromatography was performed on Merck (Merk, Darmstadt, Germany) silica gel 60 (0.040–0.063 mm), unless specified otherwise. Analytical thin layer chromatography (TLC) was carried out on precoated (0.25 mm) Merck silica gel F-254 plates. Preparative HPLC was performed on a system equipped with two Prep LabAlliance pumps (ASI, Richmond, CA, USA), a Fortis C-18 (5μm) column (i.d. 10 × 250 mm) and a FLASH 06S DAD 600 detector (ECOM, Praha, Czech Republic). Optical rotations were obtained on a Perkin-Elmer 341 Polarimeter (Perkin Elmer, Shelton, CT, USA).

3.2. Synthesis

5,6-Dichloro-N-ethyl-3H-imidazo[4,5-b]pyridin-2-amine(7a): Ethylisothiocyanate (1 mL, 11.24 mmol) was added to a solution of diamine 6 (500 mg, 2.81 mmol) in anhydrous THF (10 mL) and the reaction mixture was refluxed under argon for 36 h. The mixture was then cooled to room temperature and HgO (1.22 g, 5.65 mmol) was added, leading to an orange suspension. Refluxing the reaction mixture resulted progressively in a black coloured suspension and within 40 min the reaction was completed. The mixture was filtered warm through a celite pad, which was thoroughly washed with warm MeOH. The solvent was then vacuum-evaporated and the residue was purified by column chromatography using a mixture of CHCl3/MeOH (95/5 to 85/15, v/v) as the eluent, to result in 340 mg of 7a (52% overall yield). Beige solid, mp > 300 °C (dec), (MeOH). 1H-NMR (DMSO-d6, 600MHz) δ 1.16 (t, 3H, CH3, J = 7.2 Hz), 3.33 (m, 2H, CH2), 7.37 (br s, 1H, D2O exchangeable, NH), 7.57 (s, 1H, H-7). 13C-NMR (151 MHz, DMSO-d6) δ 14.87 (CH3), 36.82 (CH2), 116.40 (C-6), 116.58 (C-7, major tautomeric form), 121.73 (C-7, minor tautomeric form), 126.92 (C-7a), 137.46 (C-5), 156.20 (C-3a), 158.92 (C-2). HR-MS (ESI) m/z: Calcd for C8H9Cl2N4: [M + H]+ = 231.0199, found 231.0202.
5,6-Dichloro-N-isopropyl-3H-imidazo[4,5-b]pyridin-2-amine (7b):This compound was prepared by a procedure analogous to that described for 7a, upon reaction of diamine 6 (500 mg, 2.81 mmol) with isopropyl isothiocyanate (0.90 mL, 8.43 mmol). Purification was effected by column chromatography, using a mixture of DCM/EtOAc (70/30 to 20/80, v/v) and then EtOAc/MeOH (99/1 to 97/3, v/v) as eluents. Overall yield 55%. White solid, mp 235–236 °C (acetone). 1H-NMR (600 MHz, DMSO-d6) δ 1.20 (d, 6H, 2xCH3, J = 6.1 Hz), 3.92 (m, 1H, CH), 7.34 (br s, 1H, D2O exchangeable, NH), 7.56 (s, 1H, H-7), 11.06 (br s, 1H, D2O exchangeable, imidazole NH of the major tautomeric form), 11.66 (br s, 1H, D2O exchangeable, imidazole NH of the minor tautomeric form). 13C-NMR (151 MHz, DMSO-d6) δ 22.58 (CH3), 43.97 (CH), 116.37 (C-6), 116.61 (C-7 of the major tautomeric form), 121.62 (C-7 of the minor tautomeric form), 126.86 (C-7a), 137.41 (C-5), 156.22 (C-3a), 158.24 (C-2). HR-MS (ESI) m/z: Calcd for C9H11Cl2N4: [M + H]+ = 245.0355, found 245.0352.
N-Benzyl-5,6-dichloro-3H-imidazo[4,5-b]pyridin-2-amine (7c): This compound was prepared by a procedure analogous to that described for 7a, upon reaction of diamine 6 (500 mg, 2.81 mmol) with benzyl isothiocyanate (0.80 mL, 6.03 mmol). Purification was effected by column chromatography, using a mixture of DCM/EtOAc (90/10 to 50/50, v/v) and then EtOAc/MeOH (99/1 to 90/10, v/v) as eluents. Overall yield 51%. White solid, mp: 277–278 °C (MeOH). 1H-NMR (600 MHz, DMSO-d6) δ 4.55 (d, 2H, CH2, J = 6.0 Hz), 7.24 (t, 1H, phenyl H-4′’, J = 7.2 Hz), 7.32 (t, 2H, phenyl H-3′’, H-5′’, J = 7.6 Hz), 7.36 (d, 2H, phenyl H-2′’, H-6′’, J = 7.3 Hz), 7.60 (s, 1H, H-7), 7.94 (br s, 1H, D2O exchangeable, NH), 11.38 (br s, 1H, D2O exchangeable, imidazole NH). 13C-NMR (151 MHz, DMSO-d6) δ 45.36 (CH2), 116.89 (C-6), 117.05 (C-7), 126.97 (phenyl C-4′’), 127.13 (C-7a), 127.25 (phenyl C-3′’, C-5′’), 128.33 (phenyl C-2′’, C-6′’), 137.50 (C-5), 139.34 (phenyl C-1′’), 155.88 (C-3a), 158.81 (C-2). HR-MS (ESI) m/z: Calcd for C13H11Cl2N4: [M + H]+ = 293.0355, found 293.0358.
5,6-Dichloro-3H-imidazo[4,5-b]pyridin-2-amine (7d): To a suspension of the diamine 6 (570 mg, 3.20 mmol) in MeOH (12 mL) and H2O (12 mL) was added BrCN (1.60 mL, 5M solution in acetonitrile, 8 mmol) and the reaction mixture was stirred at room temperature for 48 h. MeOH was concentrated under vacuo and the pH of the resulting aqueous phase was adjusted to 8 with a saturated NaHCO3 solution. The aqueous layer (150 mL) was extracted with EtOAc (5 × 200 mL) and the combined organic layers were dried (anhydrous Na2SO4) and concentrated to dryness. The residue thus obtained was triturated with diethyl ether to afford 510mg of 7d as an amorphous solid (79%). 1H-NMR (DMSO-d6, 600MHz) δ7.05 (br s, 2H, D2O exchangeable, NH2), 7.58 (s, 1H, H-7). 13C-NMR (151 MHz, DMSO-d6) δ 117.54 (C-6), 118.24 (C-7), 129.57 (C-7a), 136.73 (C-5), 153.60 (C-3a), 158.85 (C-2). HR-MS (ESI) m/z: Calcd for C6H5Cl2N4: [M + H]+ = 202.9886, found 202.9887.
5,6-Dichloro-N-ethyl-3-(2′,3′,5′-tri-O-acetyl-β-d-ribofuranosyl)-3H-imidazo[4,5-b]pyridin-2-amine (8a), 5,6-dichloro-N-ethyl-3-(2′,3′,5′-tri-O-acetyl-α-d-ribofuranosyl)-3H-imidazo[4,5-b]pyridin-2-amine (9a), 5,6-dichloro-N-ethyl-1-(2′,3′,5′-tri-O-acetyl-β-d-ribofuranosyl)-1H-imidazo[4,5-b]pyridin-2-amine (10a) and 5,6-dichloro-N-ethyl-1-(2′,3′,5′-tri-O-acetyl-α-d-ribofuranosyl)-1H-imidazo[4,5-b]pyridin-2-amine (11a): To a suspension of the imidazopyridine 7a (250 mg, 1.08 mmol) in dry CH3CN (10 mL) was added N,O-bis-(trimethylsilyl)acetamide (291 mg, 1.43 mmol) and the reaction mixture was refluxed for 2 h. The suspension was then cooled to room temperature and 1,2,3,5-tetra-O-acetyl-β-d-ribofuranose (413 mg, 1.30 mmol) was added, followed by the dropwise addition of trimethylsilyltriflate (0.3 mL, 1.54 mmol) at 0 °C. The mixture was refluxed for 3 h, the solvent was vacuum evaporated, the residue was dissolved in EtOAc (100 mL) and washed with a saturated NaHCO3 solution (100 mL). The aqueous phase was extracted once more with EtOAc (100 mL) and the combined organic layers were washed with brine (200 mL), dried (Na2SO4) and evaporated to dryness. The resulting oil was purified by column chromatography, using a mixture of CHCl3/MeOH (99/1 to 97/3, v/v) as the eluent, to afford 8a, as a mixture with its corresponding α-anomer 9a (280 mg, total yield 53% for two anomers, 8a:9a (3-β:α) ratio 12:1, as estimated by 1H-NMR), 10a (115 mg, yield 22%) and 11a (27 mg, yield 5%).
Data for 10a: Oil, [α]D +30.55 (c=0.475, CHCl3). 1H-NMR (600 MHz, CDCl3) δ 1.32 (t, 3H, CH3, J = 7.1 Hz), 2.04 (s, 3H, CH3CO), 2.17 (s, 3H, CH3CO), 2.20 (s, 3H, CH3CO), 3.59 (m, 1H, CH2), 3.67 (m, 1H, CH2), 4.34 (dd, 1H, H-5′, J5′,4′ = 2.2 Hz, J5′,5′ = 12.7 Hz), 4.41 (m, 1H, H-4′), 4.65 (dd, 1H, H-5′, J5′,4′ = 3.8 Hz, J5′,5′ = 12.7 Hz), 5.31 (dd, 1H, H-3′, J3′,4′ = 3.6 Hz, J3′,2′ = 6.2 Hz), 5.35 (m, 1H, H-2′), 5.98 (d, 1H, H-1′, J1′,2′= 6.5 Hz), 6.13 (br s, 1H, D2O exchangeable, NH), 7.52 (s, 1H, H-7). 13C-NMR (151 MHz, CDCl3) δ 15.03 (CH3), 20.42 (CH3CO), 20.69 (CH3CO), 20.93 (CH3CO), 38.92 (CH2), 62.85 (C-5′), 69.67 (C-3′), 71.61 (C-2′), 81.18 (C-4′), 86.35 (C-1′), 117.71 (C-7), 120.20 (C-6), 125.61 (C-7a), 141.57 (C-5), 153.55 (C-3α), 156.43 (C-2), 169.49 (CO), 169.78 (CO), 170.26 (CO). HR-MS (ESI) m/z: Calcd for C19H22Cl2N4O7Na: [M + Na]+ = 511.0758, found 511.0762.
Data for 11a: Oil, [α]D +61.23 (c=0.684, CHCl3). 1H-NMR (600 MHz, CDCl3) δ 1.28 (t, 3H, CH3, J = 7.2 Hz), 1.82 (s, 3H, CH3CO), 2.11 (s, 3H, CH3CO), 2.15 (s, 3H, CH3CO), 3.57 (m, 2H, CH2), 4.29 (dd, 1H, H-5′, J5′,4′ = 4.9 Hz, J5′,5′ = 12.3 Hz), 4.33 (dd, 1H, H-5′, J5′,4′ = 3.5 Hz, J5′,5′ = 12.3 Hz), 4.66 (m, 1H, H-4′), 5.27 (t, 1H, D2O exchangeable, NH, J = 5.3 Hz), 5.45 (t, 1H, H-3′, J = 5.3 Hz), 5.73 (t, 1H, H-2′, J = 5.1 Hz), 6.19 (d, 1H, H-1′, J1′,2′ = 4.9 Hz), 7.55 (s, 1H, H-7). 13C-NMR (151 MHz, CDCl3) δ 14.96 (CH3), 20.28 (CH3CO), 20.55 (CH3CO), 20.94 (CH3CO), 38.71 (CH2), 63.31 (C-5′), 71.08 (C-3′), 71.55 (C-2′), 78.96 (C-4′), 85.40 (C-1′), 119.37 (C-7), 119.69 (C-6), 125.67 (C-7a), 141.09 (C-5), 154.24 (C-3a), 157.01 (C-2), 169.26 (CO), 169.55 (CO), 170.51 (CO). HR-MS (ESI) m/z: Calcd for C19H22Cl2N4O7Na: [M + Na]+ = 511.0758, found 511.0764.
5,6-Dichloro-N-isopropyl-3-(2′,3′,5′-tri-O-acetyl-β-d-ribofuranosyl)-3H-imidazo[4,5-b]pyridin-2-amine (8b), 5,6-dichloro-N-isopropyl-3-(2′,3′,5′-tri-O-acetyl-α-d-ribofuranosyl)-3H-imidazo[4,5-b]pyridin-2-amine (9b), 5,6-dichloro-N-isopropyl-1-(2′,3′,5′-tri-O-acetyl-β-d-ribofuranosyl)-1H-imidazo[4,5-b]pyridin-2-amine (10b) and 5,6-dichloro-N-isopropyl-1-(2′,3′,5′-tri-O-acetyl-α-D-ribofuranosyl)-1H-imidazo[4,5-b]pyridin-2-amine (11b): These derivatives were prepared by a procedure analogous to that described for 8a,9a,10a,11a, starting from imidazopyridine 7b (280 mg, 1.14 mmol). Purification was effected by column chromatography, using a mixture of CHCl3/MeOH (99.5/0.5 to 98/2, v/v) as the eluent, to afford 8b, as a mixture with its corresponding α-anomer 9b (350 mg, 61% total yield for two anomers, 8b:9b (3-β:α) ratio 24:1, as estimated by 1H-NMR), 10b (140 mg, 24% yield) and 11b (50 mg, 9% yield).
Data for 10b: Beige solid, mp: 165-166 °C (EtOAc/n-pentane). [α]D +37.77 (c=0.495, CHCl3). 1H NMR (600 MHz, CDCl3) δ 1.30 (d, 3H, CH3, J = 6.5 Hz), 1.31 (d, 3H, CH3, J = 6.5 Hz), 2.04 (s, 3H, CH3CO), 2.15 (s, 3H, CH3CO), 2.19 (s, 3H, CH3CO), 4.27 (m, 1H, CH), 4.32 (dd, 1H, H-5′, J5′,4′= 2.2 Hz, J5′,5′ = 12.7 Hz), 4.39 (m, 1H, H-4′), 4.62 (dd, 1H, H-5′, J5′,4′ = 4.0 Hz, J5′,5′ = 12.7 Hz), 5.30 (dd, 1H, H-3′, J3′,4′ = 3.6 Hz, J3′,2′ = 6.1 Hz), 5.33 (m, 1H, H-2′), 5.47 (br s, 1H, D2O exchangeable, NH), 5.86 (d, 1H, H-1′, J1′,2′ = 6.7 Hz), 7.53 (s, 1H, H-7). 13C-NMR (151 MHz, CDCl3) δ 20.41 (CH3CO), 20.67 (CH3CO), 21.04 (CH3CO), 22.76 (CH3), 23.03 (CH3), 46.04 (CH), 62.80 (C-5′), 69.59 (C-3′), 71.87 (C-2′), 81.06 (C-4′), 86.26 (C-1′), 117.74 (C-7), 119.70 (C-6), 125.49 (C-7α), 141.38 (C-5), 154.37 (C-3α), 156.10 (C-2), 169.44 (CO), 169.72 (CO), 170.29 (CO). HR-MS (ESI) m/z: Calcd for C20H24Cl2N4O7Na: [M + Na]+ = 525.0914, found 525.0917.
Data for 11b: Oil, [α]D +57.75 (c = 0.561, CHCl3). 1H NMR (400 MHz, CDCl3) δ 1.25 (d, 3H, CH3, J = 6.5 Hz), 1.26 (d, 3H, CH3, J = 6.5 Hz), 1.81 (s, 3H, CH3CO), 2.09 (s, 3H, CH3CO), 2.14 (s, 3H, CH3CO), 4.21 (m, 1H, CH), 4.26 (dd, 1H, H-5′, J5′.4′ = 5.2 Hz, J5′,5′ = 12.5 Hz), 4.32 (dd, 1H, H-5′, J5′,4′ = 3.3 Hz, J5′,5′ = 12.3 Hz), 4.65 (m, 1H, H-4′), 5.16 (d, 1H, D2O exchangeable, NH, J = 7.0 Hz), 5.42 (t, 1H, H-3′, J = 5.4 Hz), 5.74 (t, 1H, H-2′, J = 5.0 Hz), 6.23 (d, 1H, H-1′, J1′,2′ = 4.7 Hz), 7.55 (s, 1H, H-7). 13C-NMR (151 MHz, CDCl3) δ 20.26 (CH3CO), 20.53 (CH3CO), 20.88 (CH3CO), 22.67 (CH3), 23.00 (CH3), 45.87 (CH), 63.29 (C-5′), 70.98 (C-3′), 71.48 (C-2′), 78.84 (C-4′), 85.35 (C-1′), 119.32 (C-7), 119.43 (C-6), 125.58 (C-7a), 140.92 (C-5), 154.52 (C-3a), 156.45 (C-2), 169.20 (CO), 169.55 (CO), 170.49 (CO). HR-MS (ESI) m/z: Calcd for C20H24Cl2N4O7Na: [M + Na]+ = 525.0914, found 525.0917.
N-Benzyl-5,6-dichloro-3-(2′,3′,5′-tri-O-acetyl-β-d-ribofuranosyl)-3H-imidazo[4,5-b]pyridin-2-amine (8c), N-benzyl-5,6-dichloro-3-(2′,3′,5′-tri-O-acetyl-α-d-ribofuranosyl)-3H-imidazo[4,5-b]pyridin-2-amine (9c), N-benzyl-5,6-dichloro-1-(2′,3′,5′-tri-O-acetyl-β-d-ribofuranosyl)-1H-imidazo[4,5-b]pyridin-2-amine (10c) and N-benzyl-5,6-dichloro-1-(2′,3′,5′-tri-O-acetyl-α-d-ribofuranosyl)-1H-imidazo[4,5-b]pyridin-2-amine (11c): These derivatives were prepared by a procedure analogous to that described for 8a,9a,10a,11a, starting from imidazopyridine 7c (350 mg, 1.20mmol). Purification was effected by column chromatography, using a mixture of cyclohexane/EtOAc (70/30 to 20/80, v/v) as the eluent, to afford 8c, as a mixture with its corresponding α-anomer 9c (350 mg, 53% total yield for two anomers, 8c:9c (3-β:α) ratio 12:1, as estimated by 1H-NMR), 10c (100 mg, crude) and 11c (40 mg, 6% yield). Fractions containing 10c were pooled and subjected to column chromatography eluted with CHCl3/MeOH (99.5/0.5, v/v), yielding 80 mg of pure 10c (12% yield).
Data for 10c: Oil, [α]D +46.29 (c = 0.337, CHCl3). 1H NMR (600 MHz, CDCl3) δ 1.91 (s, 3H, CH3CO), 1.99 (s, 3H, CH3CO), 2.15 (s, 3H, CH3CO), 4.21 (dd, 1H, H-5′, J5′,4′ = 2.0 Hz, J5′,5′ = 12.6 Hz), 4.37 (m, 1H, H-4′), 4.57 (dd, 1H, H-5′, J5′,4′ = 3.4 Hz, J5′,5′ = 12.6 Hz), 4.72 (dd, 1H, CH2, JCH2,NH = 5.2 Hz, JCH2,CH2 = 14.8 Hz), 4.82 (dd, 1H, CH2, JCH2,NH = 5.9 Hz, JCH2,CH2 = 14.8 Hz), 5.30 (dd, 1H, H-3′, J3′,4′ = 3.1 Hz, J3′,2′ = 6.1 Hz), 5.37 (m, 1H, H-2′), 5.87 (d, 1H, H-1′, J1′,2′ = 7.6 Hz), 5.88 (br s, 1H, D2O exchangeable, NH), 7.27 (m, 1H, phenyl H-4′’), 7.32 (t, 2H, phenyl H-3′’, H-5′’, J = 7.5 Hz), 7.37 (d, 2H, phenyl H-2′’, H-6′’, J = 7.4 Hz), 7.52 (s, 1H, H-7). 13C-NMR (151 MHz, CDCl3) δ 20.34 (CH3CO), 20.52 (CH3CO), 20.70 (CH3CO), 47.62 (CH2), 62.91 (C-5′), 69.83 (C-3′), 71.64 (C-2′), 81.41 (C-4′), 86.04 (C-1′), 117.40 (C-7), 120.01 (C-6), 126.03 (C-7a), 127.89 (phenyl C-2′’, C-6′’), 128.01 (phenyl C-4′’), 128.96 (phenyl C-3′’, C-5′’), 137.97 (phenyl C-1′’), 141.60 (C-5), 154.26 (C-3a), 156.81 (C-2), 169.27 (CO), 169.71 (CO), 170.16 (CO). HR-MS (ESI) m/z: Calcd for C24H24Cl2N4O7Na: [M + Na]+ = 573.0914, found 573.0919.
Data for 11c: Oil, [α]D +53.17 (c = 0.600, CHCl3). 1H NMR (600 MHz, CDCl3) δ 1.72 (s, 3H, CH3CO), 2.00 (s, 3H, CH3CO), 2.12 (s, 3H, CH3CO), 4.27 (dd, 1H, H-5′, J5′,4′ = 4.8 Hz, J5′,5′ = 12.4 Hz), 4.30 (dd, 1H, H-5′, J5′,4′ = 3.5 Hz, J5′,5′ = 12.3 Hz), 4.62 (m, 1H, H-4′), 4.69 (dd, 1H, CH2, JCH2,NH = 5.0 Hz, JCH2,CH2 = 14.5 Hz), 4.76 (dd, 1H, CH2, JCH2,NH = 5.5 Hz, JCH2,CH2 = 14.5 Hz), 5.44 (t, 1H, H-3′, J = 5.2 Hz), 5.60 (br s, 1H, D2O exchangeable, NH), 5.71 (t, 1H, H-2′, J = 5.2 Hz), 6.19 (d, 1H, H-1′, J1′,2′ = 5.0 Hz), 7.28 (m, 1H, phenyl H-4′’), 7.32 (m, 2H, phenyl H-3′’, H-5′’), 7.40 (m, 2H, phenyl H-2′’, H-6′’), 7.53 (s, 1H, H-7). 13C-NMR (151 MHz, CDCl3) δ 20.08 (CH3CO), 20.40 (CH3CO), 20.94 (CH3CO), 47.73 (CH2), 63.24 (C-5′), 71.03 (C-3′), 71.39 (C-2′), 79.20 (C-4′), 85.46 (C-1′), 118.91 (C-7), 119.87 (C-6), 125.89 (C-7a), 128.02 (phenyl C-4′’), 128.23 (phenyl C-2′’, C-6′’), 128.90 (phenyl C-3′’, C-5′’), 138.03 (phenyl C-1′’), 141.44 (C-5), 154.31 (C-3a), 157.13 (C-2), 169.33 (CO), 169.53 (CO), 170.39 (CO). HR-MS (ESI) m/z: Calcd for C24H24Cl2N4O7Na: [M + Na]+ = 573.0914, found 573.0920.
5,6-Dichloro-N,1-bis-(2′,3′,5′-tri-O-acetyl-β-d-ribofuranosyl)-1H-imidazo[4,5-b]pyridin-2-amine (14), 5,6-dichloro-3-(2′,3′,5′-tri-O-acetyl-β-d-ribofuranosyl)-3H-imidazo[4,5-b]pyridin-2-amine (8d) and 5,6-dichloro-1-(2′,3′,5′-tri-O-acetyl-β-d-ribofuranosyl)-1H-imidazo[4,5-b]pyridin-2-amine (10d): These derivatives were prepared by a procedure analogous to that described for 8a and 10a, starting from 7d (245 mg, 1.21 mmol). Purification was effected by column chromatography, using a mixture of CHCl3/MeOH (99.5/0.5 to 95.5/4.5, v/v) as the eluent, to afford 14 (300 mg, 35% yield), 8d (150 mg, 27% yield) and 10d (40 mg, 7% yield).
Data for 14: Oil, [α]D −25.60 (c=0.703, CHCl3). 1H NMR (600 MHz, CDCl3) δ 2.07 (s, 3H, CH3CO), 2.07 (s, 3H, CH3CO), 2.11 (s, 3H, CH3CO), 2.13 (s, 3H, CH3CO), 2.14 (s, 3H, CH3CO), 2.23 (s, 3H, CH3CO), 4.30–4.33 (m, 3H, 2 × H-4′, 1 × H-5′), 4.36 (dd, 1H, H-5′, J5′,4′ = 5.1 Hz, J5′,5′ = 12.1 Hz), 4.42 (dd, 1H, H-5′, J5′,4′ = 3.4 Hz, J5′,5′ = 12.1 Hz), 4.50 (m, 1H, H-5′), 5.44 (dd, 1H, H-3′, J3′,4′ = 3.6 Hz, J3′,2′ = 6.2 Hz), 5.56 (br s, 1H, H-2′), 5.71 (br s, 1H, H-3′), 5.97 (br s, 1H, H-1′), 6.03 (br s, 1H, H-2′), 6.07 (br s, 1H, H-1′), 7.39 (s,1H, H-7). 13C-NMR (151 MHz, CDCl3) δ 20.50 (CH3CO), 20.60 (CH3CO), 20.68 (CH3CO), 20.69 (CH3CO), 20.90 (CH3CO), 21.06 (CH3CO), 63.35 (2xC-5′), 70.04, 70.10, 70.49, 70.77 (2 × C-2′, 2 × C-3′), 79.73 (C-4′), 80.33 (C-4′), 85.06 (C-1′), 85.13 (C-1′), 117.37 (C-7), 122.62, 123.67 (C-6 and C-7a), 139.26, 142.47 (C-3a, C-5), 149.92 (C-2), 169.67 (3 ×CO), 169.76 (CO), 170.37 (CO), 170.65 (CO). HR-MS (ESI) m/z: Calcd for C28H32Cl2N4O14Na: [M + Na]+ = 741.1184, found 741.1185.
Data for 8d: Oil, [α]D +52.57 (c=0.675, CHCl3). 1H NMR (600 MHz, CDCl3) δ 2.03 (s, 3H, CH3CO), 2.11 (s, 3H, CH3CO), 2.16 (s, 3H, CH3CO), 4.35 (dd, 1H, H-5′, J5′,4′ = 2.7 Hz, J5′,5′ = 12.2 Hz), 4.38 (m, 1H, H-4′), 4.59 (dd, 1H, H-5′, J5′,4′ = 4.0 Hz, J5′,5′ = 12.2 Hz), 5.50 (dd, 1H, H-3′, J3′,4′ = 4.3 Hz, J3′,2′ = 6.2 Hz), 5.75 (m, 1H, H-2′), 5.87 (br s, 2H, D2O exchangeable, NH2), 6.23 (d, 1H, H-1′, J1′,2′ = 6.5 Hz), 7.63 (s, 1H, H-7). 13C-NMR (151 MHz, CDCl3) δ 20.48 (CH3CO), 20.70 (CH3CO), 20.83 (CH3CO), 63.24 (C-5′), 70.27 (C-3′), 71.19 (C-2′), 80.73 (C-4′), 85.04 (C-1′), 123.94 (C-6), 125.17 (C-7), 135.02, 138.38 (C-5 and C-7a), 144.67 (C-3a), 155.30 (C-2), 169.85 (CO), 169.86 (CO), 170.24 (CO). HR-MS (ESI) m/z: Calcd for C17H18Cl2N4O7Na: [M + Na]+ = 483.0445, found 483.0449.
Data for 10d: Oil, [α]D +22.70 (c = 0.185, CHCl3). 1H NMR (600 MHz, CDCl3) δ 2.02 (s, 3H, CH3CO), 2.16 (s, 3H, CH3CO), 2.35 (s, 3H, CH3CO), 4.31 (dd, 1H, H-5′, J5′,4′ = 2.1 Hz, J5′,5′ = 12.5 Hz), 4.43 (m, 1H, H-4′), 4.65 (dd, 1H, H-5′, J5′,4′ = 1.9 Hz, J5′,5′ = 12.5 Hz), 5.39 (dd, 1H, H-3′, J3′,4′ = 3.2 Hz, J3′,2′ = 6.2 Hz), 5.47 (m, 1H, H-2′), 5.89 (d, 1H, H-1′, J1′,2′ = 7.5 Hz), 7.47 (br s, 2H, D2O exchangeable, NH2), 7.52 (s, 1H, H-7). 13C-NMR (151 MHz, CDCl3) δ 20.36 (CH3CO), 20.65 (CH3CO), 21.23 (CH3CO), 63.01 (C-5′), 70.07 (C-3′), 71.20 (C-2′), 81.20 (C-4′), 86.11 (C-1′), 117.54 (C-7), 119.80 (C-6), 125.35 (C-7a), 141.36 (C-5), 153.77 (C-3a), 157.58 (C-2), 169.30 (CO), 169.71 (CO), 170.43 (CO). HR-MS (ESI) m/z: Calcd for C17H18Cl2N4O7Na: [M + Na]+ = 483.0445, found 483.0440.
5,6-Dichloro-N-ethyl-3-(β-d-ribofuranosyl)-3H-imidazo[4,5-b]pyridin-2-amine (12a): A mixture of 8a and 9a (80 mg, 0.16 mmol) was treated for 18 h with a saturated methanolic ammonia solution (15 mL). Upon evaporation of the solvent, the residue was purified by column chromatography using a mixture of EtOAc/MeOH: 99/1 (v/v), as the eluent and the desired product was recrystallized from methanol to provide pure 12a (35 mg, 59% yield). White solid, mp: 191–192 °C (MeOH). [α]D +31.88 (c = 0.367, MeOH). 1H NMR (600 MHz, DMSO-d6) δ 1.19 (t, 3H, CH3, J = 7.2 Hz), 3.41 (m, 2H, CH2, overlapping with water of DMSO-d6), 3.66 (m, 2H, H-5′), 3.99 (m, 1H, H-4′), 4.12 (dd, 1H, H-3′, J3′,4′ = 1.5 Hz, J3′,2′ = 5.2 Hz), 4.59 (dd, 1H, H-2′, J2′,3′ = 5.2 Hz, J2′,1′ = 7.3 Hz), 5.05–5.55 (br s, 2H, D2O exchangeable, 2 × OH), 5.75 (br s, 1H, D2O exchangeable, OH), 5.96 (d, 1H, H-1′, J1′,2′ = 7.5 Hz), 7.64 (br s, 1H, D2O exchangeable, NH), 7.78 (s, 1H, H-7). 13C-NMR (151 MHz, DMSO-d6) δ 14.50 (CH3), 37.08 (CH2), 61.42 (C-5′), 70.29 (C-2′), 71.04 (C-3′), 85.74 (C-4′), 86.37 (C-1′), 121.03 (C-6), 122.82 (C-7), 134.65, 136.07 (C-5 and C-7a), 145.96 (C-3a), 155.48 (C-2). HR-MS (ESI) m/z: Calcd for C13H17Cl2N4O4: [M + H]+ = 363.0621, found 363.0615.
5,6-Dichloro-N-isopropyl-3-(β-d-ribofuranosyl)-3H-imidazo[4,5-b]pyridin-2-amine (12b): This compound was prepared by a procedure analogous to that described for 12a starting from 8b (90 mg, 0.18mmol, containing also the corresponding α-anomer 9b). Purification was effected by column chromatography using a mixture of DCM/MeOH: 98/2 to 95/5 (v/v) as the eluent, to afford 12b (55 mg, 81% yield). White solid, mp: 127–128 °C (EtOAc/n-pentane). [α]D +30.77 (c = 0.494, MeOH). 1H NMR (600 MHz, DMSO-d6) δ 1.21 (d, 3H, CH3, J = 6.5 Hz), 1.22 (d, 3H, CH3, J = 6.5 Hz), 3.65 (dd, 1H, H-5′, J5′,4′ = 2.8 Hz, J5′,5′ = 11.7 Hz), 3.68 (dd, 1H, H-5′, J5′,4′ = 2.0 Hz, J5′,5′ = 11.7 Hz), 3.99 (m, 1H, H-4′), 4.11–4.18 (m, 2H, H-3′, CH), 4.56 (dd, 1H, H-2′, J2′,3′ = 5.4 Hz, J2′,1′ = 7.6 Hz), 5.02–5.52 (br s, 2H, D2O exchangeable, 2 × OH), 5.72 (br s, 1H, D2O exchangeable, OH), 5.97 (d, 1H, H-1′, J1′,2′ = 7.6 Hz), 7.44 (d, 1H, D2O exchangeable, NH, J = 7.5 Hz), 7.78 (s, 1H, H-7). 13C-NMR (151 MHz, DMSO-d6) δ 22.23 (CH3), 22.37 (CH3), 44.36 (CH), 61.42 (C-5′), 70.25 (C-2′), 71.03 (C-3′), 85.71 (C-4′), 86.26 (C-1′), 121.00 (C-6), 122.72 (C-7), 134.60, 135.99 (C-5 and C-7a), 145.91 (C-3a), 154.84 (C-2). HR-MS (ESI) m/z: Calcd for C14H19Cl2N4O4: [M + H]+ = 377.0778, found 377.0786.
N-Benzyl-5,6-dichloro-3-(β-d-ribofuranosyl)-3H-imidazo[4,5-b]pyridin-2-amine (12c): This compound was prepared by a procedure analogous to that described for 12a starting from 8c (130 mg, 0.23 mmol, containing also the corresponding α-anomer 9c). Purification was effected by column chromatography using a mixture of DCM/MeOH: 98/2 to 90/10 (v/v) to afford an anomeric mixture β/α, in a 12/1 ratio (80 mg). A second column chromatography was performed (DCM/MeOH: 97.5/2.5 to 90/10, v/v) and the fractions pooled (30 mg) were enriched in the desired β-anomer 12c (β/αratio: 17/1). From this mixture, pure 12c (12 mg) was obtained by semi-preparative HPLC, eluted with H2O (+0.2% Acetic Acid)/ACN (70/30 to 60/40, v/v, over a period of 40 min); tR=23.96 min. Oil, [α]D +6.44 (c=0.652, MeOH). 1H NMR (600 MHz, DMSO-d6) δ 3.67 (br s, 2H, H-5′), 4.02 (m, 1H, H-4′), 4.14 (m, 1H, H-3′), 4.58 (dd, 1H, CH2, JCH2,NH = 5.8 Hz, JCH2,CH2 = 15.6 Hz), 4.63 (dd, 1H, CH2, JCH2,NH = 6.4 Hz, JCH2,CH2 = 15.6 Hz), 4.67 (m, 1H, H-2′), 5.22 (d, 1H, D2O exchangeable, OH-3′, J = 4.1 Hz), 5.40 (d, 1H, D2O exchangeable, OH-2′, J = 6.3 Hz), 5.72 (t, 1H, D2O exchangeable, OH-5′, J = 4.3 Hz), 6.01 (d, 1H, H-1′, J1′,2′ = 7.5 Hz), 7.23 (t, 1H, phenyl H-4′’, J = 7.1 Hz), 7.32 (t, 2H, phenyl H-3′’, H-5′’, J = 7.6 Hz), 7.35 (d, 2H, phenyl H-2′’, H-6′’, J = 7.2 Hz), 7.78 (s, 1H, H-7), 8.25 (t, 1H, D2O exchangeable, NH, J = 6.1 Hz). 13C-NMR (151 MHz, DMSO-d6) δ 45.14 (CH2), 61.45 (C-5′), 70.53 (C-2′), 71.05 (C-3′), 85.80 (C-4′), 86.46 (C-1′), 121.08 (C-6), 123.09 (C-7), 126.79 (phenyl C-4′’), 126.99 (phenyl C-2′’, C-6′’), 128.26 (phenyl C-3′’, C-5′’), 134.73, 136.10 (C-5 and C-7a), 139.25 (phenyl C-1′’), 146.01 (C-3a), 155.69 (C-2). HR-MS (ESI) m/z: Calcd for C18H17Cl2N4O4: [M − H] = 423.0632, found 423.0632.
5,6-Dichloro-3-(β-d-ribofuranosyl)-3H-imidazo[4,5-b]pyridin-2-amine (12d): This compound was prepared by a procedure analogous to that described for 12a, starting from 8d (100 mg, 0.22 mmol). Purification was effected by column chromatography using a mixture of DCM/MeOH: 97/3 to 90/10 (v/v) as the eluent, to result in 12d (70 mg, 96% yield). Beige solid, mp: 142–143 °C (toluene). [α]D +16.50 (c = 0.594, MeOH). 1HNMR (600 MHz, DMSO-d6) δ 3.64 (brs, 2H, H-5′), 3.98 (m, 1H, H-4′), 4.12 (m, 1H, H-3′), 4.62 (m, 1H, H-2′), 5.20 (br s, 1H, D2O exchangeable, OH-3′), 5.35 (brs, 1H, D2O exchangeable, OH-2′), 5.58 (brs, 1H, D2O exchangeable, OH-5′), 5.94 (d, 1H, H-1′, J1′,2′ = 7.4 Hz), 7.39 (brs, 2H, D2O exchangeable, NH2), 7.71 (s, 1H, H-7). 13C-NMR (151 MHz, DMSO-d6) δ 61.44 (C-5′), 70.31 (C-2′), 70.95 (C-3′), 85.73 (C-4′), 86.37 (C-1′), 121.12 (C-6), 122.58 (C-7), 134.39, 136.37 (C-5 and C-7a), 145.71 (C-3a), 156.45 (C-2). HR-MS (ESI) m/z: Calcd for C11H13Cl2N4O4: [M + H]+ = 335.0308, found 335.0317.
5,6-Dichloro-N-ethyl-1-(β-d-ribofuranosyl)-1H-imidazo[4,5-b]pyridin-2-amine (13a): This compound was prepared by a procedure analogous to that described for 12a starting from 10a (50 mg, 0.10 mmol). Purification was effected by column chromatography using a mixture of DCM/MeOH: 98/2 to 85/15 (v/v) as the eluent to afford 13a (30 mg, 81% yield). White solid, mp: 226-227 °C (MeOH). [α]D +47.23 (c = 0.271, MeOH). 1HNMR (600 MHz, DMSO-d6) δ 1.18 (t, 3H, CH3, J = 7.2 Hz), 3.41 (m, 2H, CH2, overlapping with water of DMSO-d6), 3.66 (dd, 1H, H-5′, J5′,4′ = 2.0 Hz, J5′,5′ = 11.8 Hz), 3.71 (m, 1H, H-5′), 4.00 (m, 1H, H-4′), 4.08 (dd, 1H, H-3′, J3′,4′ = 1.6 Hz, J3′,2′ = 5.5 Hz), 4.28 (m, 1H, H-2′), 5.22–5.37 (brs, 2H, D2O exchangeable, 2 × OH), 5.73 (brs, 1H, D2O exchangeable, OH), 5.77 (d, 1H, H-1′, J1′,2′ = 7.7 Hz), 7.61 (t, 1H, D2O exchangeable, NH, J = 5.3 Hz), 8.04 (s, 1H, H-7). 13C-NMR (151 MHz, DMSO-d6) δ 14.55 (CH3), 37.52 (CH2), 61.09 (C-5′), 70.26 (C-3′), 71.49 (C-2′), 86.00 (C-4′), 87.55 (C-1′), 117.00 (C-6), 118.13 (C-7), 126.68 (C-7a), 138.26 (C-5), 154.74 (C-3a), 157.22 (C-2). HR-MS (ESI) m/z: Calcd for C13H17Cl2N4O4: [M + H]+ = 363.0621, found 363.0630.
5,6-Dichloro-N-isopropyl-1-(β-d-ribofuranosyl)-1H-imidazo[4,5-b]pyridin-2-amine (13b):This compound was prepared by a procedure analogous to that described for 12a starting from 10b (90 mg, 0.18 mmol). Purification was effected by column chromatography, using a mixture of DCM/MeOH: 97/3 to 88/12 (v/v) as the eluent, to afford 13b (65 mg, 96% yield). White solid, mp: 191–192 °C (EtOAc/n-pentane). [α]D +45.80 (c = 0.559, MeOH). 1H NMR (600 MHz, DMSO-d6) δ 1.22 (d, 6H, 2 × CH3, J = 6.6 Hz), 3.65 (ddd, 1H, H-5′, J5′,4′ = 2.5 Hz, J5′,OH = 4.4 Hz, J5′,5′ = 11.9 Hz), 3.71 (m, 1H, H-5′), 4.00 (m, 1H, H-4′), 4.08 (m, 1H, H-3′), 4.11 (m, 1H, CH), 4.27 (m, 1H, H-2′), 5.27 (d, 1H, D2O exchangeable, OH-3′, J = 3.9 Hz), 5.30 (d, 1H, D2O exchangeable, OH-2′, J = 7.6 Hz), 5.70 (t, 1H, D2O exchangeable, OH-5′, J = 4.4 Hz), 5.78 (d, 1H, H-1′, J1′,2′ = 7.8 Hz), 7.37 (d, 1H, D2O exchangeable, NH, J = 7.7 Hz), 8.02 (s, 1H, H-7). 13C-NMR (151 MHz, DMSO-d6) δ 22.23 (CH3), 22.33 (CH3), 44.87 (CH), 61.11 (C-5′), 70.26 (C-3′), 71.49 (C-2′), 86.02 (C-4′), 87.53 (C-1′), 116.90 (C-6), 117.96 (C-7), 126.73 (C-7a), 138.22 (C-5), 154.76 (C-3a), 156.63 (C-2). HR-MS (ESI) m/z: Calcd for C14H19Cl2N4O4: [M + H]+ = 377.0778, found 377.0785.
N-Benzyl-5,6-dichloro-1-(β-d-ribofuranosyl)-1H-imidazo[4,5-b]pyridin-2-amine (13c): This compound was prepared by a procedure analogous to that described for 12a starting from 10c (60 mg, 0.11 mmol). Purification was effected by column chromatography, using a mixture of DCM/MeOH: 97.5/2.5 to 85/15 (v/v) as the eluent to afford 13c (40 mg, 90% yield).White solid, mp: 136-137 °C (toluene). [α]D +17.37 (c = 0.570, MeOH). 1H NMR (600 MHz, DMSO-d6) δ3.66 (dd, 1H, H-5′, J5′,4′ = 2.5 Hz, J5′,5′ = 11.9 Hz), 3.72 (dd, 1H, H-5′, J5′,4′ = 1.8 Hz, J5′,5′ = 11.9 Hz), 4.03 (m, 1H, H-4′), 4.09 (dd, 1H, H-3′, J3′,4′ = 1.6 Hz, J3′,2′ = 5.4 Hz), 4.32 (dd, 1H, H-2′, J2′,3′ = 5.5 Hz, J2′,1′ = 7.8 Hz), 4.59 (d, 2H, CH2, JCH2,NH = 6.1 Hz), 5.07–5.57 (br s, 2H, D2O exchangeable, 2 × OH), 5.77 (br s, 1H, D2O exchangeable, OH), 5.83 (d, 1H, H-1′, J1′,2′ = 7.8 Hz), 7.24 (t, 1H, phenyl H-4′’, J = 7.2 Hz), 7.32 (t, 2H, phenyl H-3′’, H-5′’, J = 7.6 Hz), 7.36 (d, 2H, phenyl H-2′’, H-6′’, J = 7.1 Hz), 8.09 (s, 1H, H-7), 8.26 (t, 1H, D2O exchangeable, NH, JNH,CH2 = 6.1 Hz). 13C-NMR (151 MHz, DMSO-d6) δ 45.71 (CH2), 61.11 (C-5′), 70.26 (C-3′), 71.67 (C-2′), 86.10 (C-4′), 87.55 (C-1′), 117.22 (C-6), 118.50 (C-7), 126.64 (C-7a), 126.87 (phenyl C-4′), 127.21 (phenyl C-2′’, C-6′’), 128.26 (phenyl C-3′’, C-5′’), 138.40 (C-5), 139.24 (phenyl C-1′’), 154.43 (C-3a), 157.31 (C-2). HR-MS (ESI) m/z: Calcd for C18H19Cl2N4O4: [M + H]+ = 425.0778, found 425.0784.
5,6-Dichloro-1-(β-d-ribofuranosyl)-1H-imidazo[4,5-b]pyridin-2-amine (13d): This compound was prepared by a procedure analogous to that described for 12a starting from 10d (40 mg, 0.09 mmol). Purification was effected by column chromatography, using a mixture of DCM/MeOH: 97/3 to 88/12 (v/v) as the eluent, to give 13d (25 mg, 86% yield). Beige solid, mp: 194–195 °C (toluene). [α]D +19.44 (c = 0.360, MeOH). 1H NMR (600 MHz, DMSO-d6) δ 3.64 (m, 1H, H-5′), 3.70 (m, 1H, H-5′), 3.99 (m, 1H, H-4′), 4.08 (dd, 1H, H-3′, J3′,4′ = 1.5 Hz, J3′,2′ = 5.5 Hz), 4.29 (m, 1H, H-2′), 5.25 (br s, 1H, D2O exchangeable, OH-3′), 5.30 (br s, 1H, D2O exchangeable, OH-2′), 5.60 (br s, 1H, D2O exchangeable, OH-5′), 5.76 (d, 1H, H-1′, J1′,2′ = 7.7 Hz), 7.45 (br s, 2H, D2O exchangeable, NH2), 8.08 (s, 1H, H-7). 13C-NMR (151 MHz, DMSO-d6) δ 61.01 (C-5′), 70.07 (C-3′), 71.56 (C-2′), 85.96 (C-4′), 87.60 (C-1′), 116.70 (C-6), 118.29 (C-7), 126.13 (C-7a), 138.41 (C-5), 154.85 (C-3a), 158.06 (C-2). HR-MS (ESI) m/z: Calcd for C11H13Cl2N4O4: [M + H]+ = 335.0308, found 335.0318.

3.3. Antiviral Evaluation

The compounds were evaluated against different herpesviruses, including herpes simplex virus type 1 (HSV-1) strain KOS, a thymidine kinase-deficient (TK) HSV-1 KOS strain that is resistant to ACV (ACVr), herpes simplex virus type 2 (HSV-2) strain G, adeno virus-2, human coronavirus, varicella-zoster virus (VZV) TK+ strain Oka, TK VZV strain 07-1, and human cytomegalovirus (HCMV) strains AD-169 and Davis. The antiviral assays were based on inhibition of virus-induced cytopathicity or plaque formation (for VZV) in human embryonic lung (HEL) fibroblasts. Confluent cell cultures in microtiter 96-well plates were inoculated with 100 CCID50 of virus (1 CCID50 being the virus dose to infect 50% of the cell cultures) or with 20 plaque forming units (PFU) (for VZV) and the cell cultures were incubated in the presence of varying concentrations of the test compounds. Viral cytopathicity or plaque formation (VZV) was recorded as soon as it reached completion in the control virus-infected cell cultures that were not treated with the test compounds. Antiviral activity was expressed as the EC50 or compound concentration required, to reduce virus-induced cytopathicity or viral plaque formation by 50%. Cytotoxicity of the test compounds was expressed as the minimum cytotoxic concentration (MCC) or the compound concentration that caused a microscopically detectable alteration of cell morphology. Alternatively, the cytostatic activity of the test compounds was measured based on inhibition of cell growth. HEL cells were seeded at a rate of 5 × 103 cells/well into 96-well microtiter plates and allowed to proliferate for 24 h. Then, medium containing different concentrations of the test compounds was added. After 3 days of incubation at 37 °C, the cell number was determined with a Coulter counter. The cytostatic concentration was calculated as the CC50, or the compound concentration required to reduce cell proliferation by 50% relative to the number of cells in the untreated controls.

3.4. Proliferation Assay

The human cell lines used for the proliferation were Hela (ATCC #CCL-2, cervical carcinoma), CEM (T-lymphoblastoid cells) and HMEC-1 (human microvascular endothelialcells). First, (5−7.5) × 104 cells were seeded onto standard 96-well microtiter plates and left to attach for 24 h. On the next day, test compounds were added in five serial 10-fold dilutions. The cell growth rate was evaluated after 72 h of incubation, using MTT assay. Obtained results are expressed as an IC50 value, which stands for the concentration of the compound necessary for 50% growth inhibition. The IC50 values are calculated from concentration–response curve using linear regression analysis. Each test was performed in quadruplicate in at least two individual experiments.

Supplementary Materials

The following are available online: a figure indicating the numbering of the imidazopyridine nucleosides (Figure S1); 1H- and 13C-NMR spectra of the target nucleosides 12ad and 13ad, and of the di-ribosylated by-product 14 (Figures S2–S10); the NOE spectra of target compounds 12a and 13a (Figures S11 and S12); tables with the results of the antiviral (Tables S1–S3) and the cytotoxic (Table S4) evaluation of the target nucleosides.

Author Contributions

Project conception and supervision, N.L., P.M. and N.P.; Synthesis and characterization of the compounds, G.P. and M.G.; Biological evaluation of the compounds, R.S. and G.A.; Data analysis, G.P., N.L., P.M., N.P., R.S. and G.A.; Writing of the manuscript, G.P., N.L., P.M., G.A. and N.P. All authors have read and agreed to the published version of the manuscript.

Funding

Τhe scientific work reported in this paper was supported by the Onassis Foundation, through a postgraduate scholarship awarded to G.P. (Scholarship ID: G ZN 045-1/2017-2018).

Acknowledgments

The authors are grateful to Leentje Persoons and Brecht Dirix for excellent technical assistance in the antiviral and antiproliferative assays.

Conflicts of Interest

The authors declare no conflict of interest.

References

  1. Griffiths, P.D.; Baraniak, I.; Reeves, M. The pathogenesis of human cytomegalovirus. J. Pathol. 2015, 235, 288–297. [Google Scholar] [CrossRef] [PubMed]
  2. Xenaki, E.; Hassoulas, J.; Apostolakis, S.; Sourvinos, G.; Spandidos, D.A. Detection of cytomegalovirus in atherosclerotic plaques and nonatherosclerotic arteries. Angiology 2009, 60, 504–508. [Google Scholar] [CrossRef] [PubMed]
  3. Li, S.; Zhu, J.; Zhang, W.; Chen, Y.; Zhang, K.; Popescu, L.M.; Ma, X.; Lau, W.B.; Rong, R.; Yu, X.; et al. Signature microRNA expression profile of essential hypertension and its novel link to human cytomegalovirus infection. Circulation 2011, 124, 175–184. [Google Scholar] [CrossRef] [PubMed]
  4. Michaelis, M.; Doerr, H.W.; Cinatl, J. The story of human cytomegalovirus and cancer: Increasing evidence and open questions. Neoplasia 2009, 11, 1–9. [Google Scholar] [CrossRef]
  5. Britt, W. Manifestations of human cytomegalovirus infection: Proposed mechanisms of acute and chronic disease. Curr. Top. Microbiol. Immunol. 2008, 325, 417–470. [Google Scholar]
  6. Kotton, C.N.; Kumar, D.; Caliendo, A.M.; Asberg, A.; Chou, S.; Danziger-Isakov, L.; Humar, A. Transplantation society international CMV consensus group. Updated international consensus guidelines on the management of cytomegalovirus in solid-organ transplantation. Transplantation 2013, 96, 333–360. [Google Scholar] [CrossRef]
  7. Choopong, P.; Vivittaworn, K.; Konlakij, D.; Thoongsuwan, S.; Pituksung, A.; Tesavibul, N. Treatment outcomes of reduced-dose intravitreal ganciclovir for cytomegalovirus retinitis. BMC Infect. Dis. 2016, 16, 164. [Google Scholar] [CrossRef][Green Version]
  8. Griffiths, P. New vaccines and antiviral drugs for cytomegalovirus. J. Clin. Virol. 2019, 116, 58–61. [Google Scholar] [CrossRef]
  9. Göhring, K.; Hamprecht, K.; Jahn, G. Antiviral drug- and multidrug resistance in cytomegalovirus infected SCT patients. Comput. Struct. Biotechnol. J. 2015, 13, 153–158. [Google Scholar] [CrossRef]
  10. Mercorelli, B.; Sinigalia, E.; Loregian, A.; Palù, G. Human cytomegalovirus DNA replication: Antiviral targets and drugs. Rev. Med. Virol. 2008, 18, 177–210. [Google Scholar] [CrossRef]
  11. Marty, F.M.; Winston, D.J.; Rowley, S.D.; Vance, E.; Papanicolaou, G.A.; Mullane, K.M.; Brundage, T.M.; Robertson, A.T.; Godkin, S.; Momméja-Marin, H.; et al. CMX001 to prevent cytomegalovirus disease in hematopoietic-cell transplantation. N. Engl. J. Med. 2013, 369, 1227–1236. [Google Scholar] [CrossRef] [PubMed]
  12. Chen, H.; Li, C.; Zemlicka, J.; Gentry, B.G.; Bowlin, T.L.; Coen, D.M. Potency and stereoselectivity of cyclopropavir triphosphate action on human cytomegalovirus DNA polymerase. Antimicrob. Agents Chemother. 2016, 60, 4176–4182. [Google Scholar] [CrossRef] [PubMed]
  13. Kim, E.S. Letermovir: First global approval. Drugs 2018, 78, 147–152. [Google Scholar] [CrossRef] [PubMed]
  14. Prichard, M.N. Function of human cytomegalovirus UL97 kinase in viral infection and its inhibition by maribavir. Rev. Med. Virol. 2009, 19, 215–229. [Google Scholar] [CrossRef] [PubMed]
  15. Marty, F.M.; Boeckh, M. Maribavir and human cytomegalovirus-what happened in the clinical trials and why might the drug have failed? Curr. Opin. Virol. 2011, 1, 555–562. [Google Scholar] [CrossRef] [PubMed]
  16. Lougiakis, N.; Frakolaki, E.; Karmou, P.; Pouli, N.; Marakos, P.; Madan, V.; Bartenschlager, R.; Vassilaki, N. Novel nucleoside analogues targeting HCV replication through an NS5A-dependent inhibition mechanism. Chem. Biol. Drug Des. 2017, 90, 352–367. [Google Scholar] [CrossRef]
  17. Lougiakis, N.; Marakos, P.; Pouli, N.; Fragopoulou, E.; Tenta, R. Synthesis of new nebularine analogues and their inhibitory activity against adenosine deaminase. Chem. Pharm. Bull. 2015, 63, 134–142. [Google Scholar] [CrossRef][Green Version]
  18. Tite, T.; Lougiakis, N.; Marakos, P.; Pouli, N. The application of mitsunobu cyclization for the synthesis of 2′,3′-dideoxy-c-nucleosides designed as didanosine analogues. Synlett 2009, 11, 1741–1744. [Google Scholar]
  19. Korouli, S.; Lougiakis, N.; Marakos, P.; Pouli, N. The synthesis of the new C-nucleoside 6-deazaformycin B. Synlett 2008, 2, 181–184. [Google Scholar]
  20. Biron, K.K.; Harvey, R.J.; Chamberlain, S.C.; Good, S.S.; Smith, A.A., III; Davis, M.G.; Talarico, C.L.; Miller, W.H.; Ferris, R.; Dornsife, R.E.; et al. Potent and selective inhibition of human cytomegalovirus replication by 1263W94, a benzimidazole l-riboside with a unique mode of action. Antimicrob. Agents Chemother. 2002, 46, 2365–2372. [Google Scholar] [CrossRef]
  21. Gerasi, M.; Frakolaki, E.; Papadakis, G.; Chalari, A.; Lougiakis, N.; Marakos, P.; Pouli, N.; Vassilaki, N. Design, synthesis and anti-HBV activity evaluation of new substituted imidazo[4,5-b]pyridines. Bioorg. Chem. 2020, 98, 103580. [Google Scholar] [CrossRef] [PubMed]
  22. Perkins, J.J.; Zartman, A.E.; Meissner, R.S. Synthesis of 2-(Alkylamino)benzimidazoles. Tetrahedron Lett. 1999, 40, 1103–1106. [Google Scholar] [CrossRef]
  23. Townsend, L.B.; Devivar, R.V.; Turk, S.R.; Nassiri, M.R.; Drach, J.C. Design, synthesis, and antiviral activity of certain 2,5,6-trihalo-1-(beta-d-ribofuranosyl)benzimidazoles. J. Med. Chem. 1995, 38, 4098–4105. [Google Scholar] [CrossRef] [PubMed]
Sample Availability: Samples of the target compounds are available from the authors.
Figure 1. Recently developed antiviral agents against HCMV.
Figure 1. Recently developed antiviral agents against HCMV.
Molecules 25 04531 g001
Scheme 1. Reagents and conditions: (a) pivaloyl chloride, Et3N, DCM, r.t., 22 h; (b) NCS, DMF, 100 °C, 18 h; (c) conc. HCl, H2O, EtOH, reflux, 2 h; (d) conc. HNO3, conc. H2SO4, r.t., 45 min; (e) SnCl2·2H2O, conc. HCl, 60 °C, 40 min; (f) (i) N-alkylisothiocyanate, dry THF, reflux, 36 h, (ii) HgO, dry THF, reflux, 40 min for 7ac, or BrCN, MeOH, H2O, 24 h for 7d.
Scheme 1. Reagents and conditions: (a) pivaloyl chloride, Et3N, DCM, r.t., 22 h; (b) NCS, DMF, 100 °C, 18 h; (c) conc. HCl, H2O, EtOH, reflux, 2 h; (d) conc. HNO3, conc. H2SO4, r.t., 45 min; (e) SnCl2·2H2O, conc. HCl, 60 °C, 40 min; (f) (i) N-alkylisothiocyanate, dry THF, reflux, 36 h, (ii) HgO, dry THF, reflux, 40 min for 7ac, or BrCN, MeOH, H2O, 24 h for 7d.
Molecules 25 04531 sch001
Scheme 2. Reagents and conditions: (a) (i) N,O-bis(trimethylsilyl)acetamide, ACN, reflux, 2h, (ii) tetra-O-acetyl-β-d-ribofuranose, TMSOTf, reflux, 3h; (b) NH3(g), MeOH, rt, 18h.
Scheme 2. Reagents and conditions: (a) (i) N,O-bis(trimethylsilyl)acetamide, ACN, reflux, 2h, (ii) tetra-O-acetyl-β-d-ribofuranose, TMSOTf, reflux, 3h; (b) NH3(g), MeOH, rt, 18h.
Molecules 25 04531 sch002
Figure 2. Structure of di-ribosylated by-product formed upon glycosylation of the amino derivative 7d.
Figure 2. Structure of di-ribosylated by-product formed upon glycosylation of the amino derivative 7d.
Molecules 25 04531 g002

Share and Cite

MDPI and ACS Style

Papadakis, G.; Gerasi, M.; Snoeck, R.; Marakos, P.; Andrei, G.; Lougiakis, N.; Pouli, N. Synthesis of New Imidazopyridine Nucleoside Derivatives Designed as Maribavir Analogues. Molecules 2020, 25, 4531. https://doi.org/10.3390/molecules25194531

AMA Style

Papadakis G, Gerasi M, Snoeck R, Marakos P, Andrei G, Lougiakis N, Pouli N. Synthesis of New Imidazopyridine Nucleoside Derivatives Designed as Maribavir Analogues. Molecules. 2020; 25(19):4531. https://doi.org/10.3390/molecules25194531

Chicago/Turabian Style

Papadakis, Georgios, Maria Gerasi, Robert Snoeck, Panagiotis Marakos, Graciela Andrei, Nikolaos Lougiakis, and Nicole Pouli. 2020. "Synthesis of New Imidazopyridine Nucleoside Derivatives Designed as Maribavir Analogues" Molecules 25, no. 19: 4531. https://doi.org/10.3390/molecules25194531

APA Style

Papadakis, G., Gerasi, M., Snoeck, R., Marakos, P., Andrei, G., Lougiakis, N., & Pouli, N. (2020). Synthesis of New Imidazopyridine Nucleoside Derivatives Designed as Maribavir Analogues. Molecules, 25(19), 4531. https://doi.org/10.3390/molecules25194531

Article Metrics

Back to TopTop