In Vitro Selection of an ATP-Binding TNA Aptamer
Abstract
1. Introduction
2. Results and Discussion
2.1. Aptamer Selection
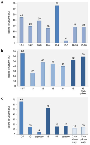
2.2. Aptamer Screening and Characterization
2.3. Binding Affinity and Specificity
2.4. Biostability
3. Conclusions
4. Materials and Methods
4.1. General Information
4.2. TNA Library Preparation
4.3. Aptamer Selection
4.4. Sequencing
4.5. Binding Assays
4.6. TNA Oligonucleotide Solid Phase Synthesis and Preparation
4.7. Binding Affinity Measurement
4.8. Nuclease Challenge
Author Contributions
Funding
Acknowledgments
Conflicts of Interest
References
- Ellington, A.D.; Szostak, J.W. In vitro selection of RNA molecules that bind specific ligands. Nature 1990, 346, 818–822. [Google Scholar] [CrossRef] [PubMed]
- Wilson, D.S.; Szostak, J.W. In vitro selection of functional nucleic acids. Annu. Rev. Biochem. 1999, 68, 611–647. [Google Scholar] [CrossRef] [PubMed]
- Ruigrok, V.J.; Levisson, M.; Eppink, M.H.M.; Smidt, H.; Van der Oost, J. Alternative affinity tools: More attractive than antibodies. Biochem. J. 2011, 436, 1–13. [Google Scholar] [CrossRef] [PubMed]
- Dunn, M.R.; Jimenez, R.M.; Chaput, J.C. Analysis of aptamer discovery and technology. Nat. Rev. Chem. 2017, 1, 0076. [Google Scholar] [CrossRef]
- Sassanfar, M.; Szostak, J.W. An RNA motif that binds ATP. Nature 1993, 364, 550–553. [Google Scholar] [CrossRef]
- Burgstaller, P.; Famulok, M. Isolation of Rna Aptamers for Biological Cofactors by in-Vitro Selection. Angew. Chem. Int. Ed. 1994, 33, 1084–1087. [Google Scholar] [CrossRef]
- Burke, D.H.; Gold, L. RNA aptamers to the adenosine moiety of S-adenosyl methionine: Structural inferences from variations on a theme and the reproducibility of SELEX. Nucleic Acids Res. 1997, 25, 2020–2024. [Google Scholar] [CrossRef]
- Gebhardt, K.; Shokraei, A.; Babaie, E.; Lindqvist, B.H. RNA aptamers to S-adenosylhomocysteine: Kinetic properties, divalent cation dependency, and comparison with anti-S-adenosylhomocysteine antibody. Biochemistry 2000, 39, 7255–7265. [Google Scholar] [CrossRef]
- Huizenga, D.E.; Szostak, J.W. A DNA Aptamer that binds adenosine and ATP. Biochemistry 1995, 34, 656–665. [Google Scholar] [CrossRef]
- Keefe, A.D.; Szostak, J.W. Functional proteins from a random-sequence library. Nature 2001, 410, 715–718. [Google Scholar] [CrossRef]
- Sazani, P.L.; Larralde, R.; Szostak, J.W. A small aptamer with strong and specific recognition of the triphosphate of ATP. J. Am. Chem. Soc. 2004, 126, 8370–8371. [Google Scholar] [CrossRef] [PubMed]
- Nikoomanzar, A.; Chim, N.; Yik, E.J.; Chaput, J.C. Engineering polymerases for applications in synthetic biology. Q. Rev. Biophys. 2020, 53, e8. [Google Scholar] [CrossRef] [PubMed]
- Culbertson, M.C.; Temburnikar, K.W.; Sau, S.P.; Liao, J.-Y.; Bala, S.; Chaput, J.C. Evaluating TNA stability under simulated physiological conditions. Bioorg. Med. Chem. Lett. 2016, 26, 2418–2421. [Google Scholar] [CrossRef] [PubMed]
- Gawande, B.N.; Rohloff, J.C.; Carter, J.D.; Von Carlowitz, I.; Zhang, C.; Schneider, D.J.; Janjic, N. Selection of DNA aptamers with two modified bases. Proc. Natl. Acad. Sci. USA 2017, 114, 2898–2903. [Google Scholar] [CrossRef]
- Gold, L.; Ayers, D.; Bertino, J.; Bock, C.; Bock, A.; Brody, E.N.; Carter, J.; Dalby, A.B.; Eaton, B.E.; Fitzwater, T.; et al. Aptamer-Based Multiplexed Proteomic Technology for Biomarker Discovery. PLoS ONE 2010, 5, e15004. [Google Scholar] [CrossRef] [PubMed]
- Schöning, K.U.; Scholz, P.; Guntha, S.; Wu, X.; Krishnamurthy, R.; Eschenmoser, A. Chemical etiology of nucleic acid structure: The a-threofuranosyl-(3′-->2′) oligonucleotide system. Science 2000, 290, 1347–1351. [Google Scholar] [CrossRef]
- Yang, Y.-W.; Zhang, S.; McCullum, E.O.; Chaput, J.C. Experimental evidence that GNA and TNA were not sequential polymers in the prebiotic evolution of RNA. J. Mol. Evol. 2007, 65, 289–295. [Google Scholar] [CrossRef]
- Schöning, K.-U.; Scholz, P.; Wu, X.; Guntha, S.; Delgado, G.; Krishnamurthy, R.; Eschenmoser, A. The a-L-Threofurnaosyl-(3′-2′)-oligonucleotide system (‘TNA’): Synthesis and pairing properties. Helv. Chim. Acta 2002, 85, 4111–4153. [Google Scholar]
- Yu, H.; Zhang, S.; Chaput, J.C. Darwinian evolution of an alternative genetic system provides support for TNA as an RNA progenitor. Nat. Chem. 2012, 4, 183–187. [Google Scholar] [CrossRef]
- Mei, H.; Liao, J.-Y.; Jimenez, R.M.; Wang, Y.; Bala, S.; McCloskey, C.; Switzer, C.; Chaput, J.C. Synthesis and Evolution of a Threose Nucleic Acid Aptamer Bearing 7-Deaza-7-Substituted Guanosine Residues. J. Am. Chem. Soc. 2018, 140, 5706–5713. [Google Scholar] [CrossRef]
- Dunn, M.R.; McCloskey, C.M.; Buckley, P.; Rhea, K.; Chaput, J.C. Generating biologically stable TNA aptamers that function with high affinity and thermal stability. J. Am. Chem. Soc. 2020, 142, 7721–7724. [Google Scholar] [CrossRef] [PubMed]
- Rangel, A.E.; Chen, Z.; Ayele, T.M.; Heemstra, J.M. In vitro selection of an XNA aptamer capable of small-molecule recognition. Nucleic Acids Res. 2018, 46, 8057–8068. [Google Scholar] [CrossRef] [PubMed]
- Larsen, A.C.; Dunn, M.R.; Hatch, A.; Sau, S.P.; Youngbull, C.; Chaput, J.C. A general strategy for expanding polymerase function by droplet microfluidics. Nat. Commun. 2016, 7, 11235. [Google Scholar] [CrossRef] [PubMed]
- Dunn, M.R.; Chaput, J.C. Reverse transcription of threose nucleic acid by a naturally occurring DNA polymerase. ChemBioChem 2016, 17, 1804–1808. [Google Scholar] [CrossRef]
- Jackson, L.N.; Chim, N.; Shi, C.; Chaput, J.C. Crystal structures of a natural DNA polymerase that functions as an XNA reverse transcriptase. Nucleic Acids Res. 2019, 47, 6973–6983. [Google Scholar] [CrossRef]
- Zhang, S.; Chaput, J.C. Synthesis of threose nucleic acid (TNA) phosphoramidite monomers and oligonucleotide polymers. Curr. Protoc. Nucleic Acid Chem. 2012, 4, 4–51. [Google Scholar] [CrossRef]
- Sau, S.P.; Fahmi, N.E.; Liao, J.-Y.; Bala, S.; Chaput, J.C. A scalable synthesis of α-L-threose nucleic acid monomers. J. Org. Chem. 2016, 81, 2302–2307. [Google Scholar] [CrossRef]
- Barrett, S.E.; Abrams, M.T.; Burke, R.; Carr, B.A.; Crocker, L.S.; Garbaccio, R.M.; Howell, B.J.; Kemp, E.A.; Kowtoniuk, R.A.; Latham, A.H.; et al. An in vivo evaluation of amphiphilic, biodegradable peptide copolymers as siRNA delivery agents. Int. J. Pharm. 2014, 466, 58–67. [Google Scholar] [CrossRef]
- Cummins, L.L.; Owens, S.R.; Risen, L.M.; Lesnik, E.A.; Freier, S.M.; McGee, D.; Guinosso, C.J.; Cook, P.D. Characterization of fully 2′-modified oligoribonucleotide hetero- and homoduplex hybridization and nuclease sensitivity. Nucleic Acids Res. 1995, 23, 2019–2024. [Google Scholar] [CrossRef]
- Nikoomanzar, A.; Dunn, M.R.; Chaput, J.C. Engineered polymerases with altered substrate specificity: Expression and purification. Curr. Protoc. Nucleic Acid Chem. 2017, 69, 4–75. [Google Scholar] [CrossRef]
- Chim, N.; Jackson, L.N.; Trinh, A.M.; Chaput, J.C. Crystal structures of DNA polymerase I capture novel intermediates in the DNA synthesis pathway. eLife 2018, 7, e40444. [Google Scholar] [CrossRef] [PubMed]
- Liao, J.-Y.; Bala, S.; Ngor, A.K.; Yik, E.J.; Chaput, J.C. P(V) Reagents for the Scalable Synthesis of Natural and Modified Nucleoside Triphosphates. J. Am. Chem. Soc. 2019, 141, 13286–13289. [Google Scholar] [CrossRef] [PubMed]
- Chaput, J.C.; Szostak, J.W. Evolutionary optimization of a nonbiological ATP binding protein for improved folding stability. Chem. Biol. 2004, 11, 865–874. [Google Scholar] [CrossRef] [PubMed]
- Weiss, J.N. The Hill equation revisited: Uses and misuses. FASEB J. 1997, 11, 835–841. [Google Scholar] [CrossRef]





© 2020 by the authors. Licensee MDPI, Basel, Switzerland. This article is an open access article distributed under the terms and conditions of the Creative Commons Attribution (CC BY) license (http://creativecommons.org/licenses/by/4.0/).
Share and Cite
Zhang, L.; Chaput, J.C. In Vitro Selection of an ATP-Binding TNA Aptamer. Molecules 2020, 25, 4194. https://doi.org/10.3390/molecules25184194
Zhang L, Chaput JC. In Vitro Selection of an ATP-Binding TNA Aptamer. Molecules. 2020; 25(18):4194. https://doi.org/10.3390/molecules25184194
Chicago/Turabian StyleZhang, Li, and John C. Chaput. 2020. "In Vitro Selection of an ATP-Binding TNA Aptamer" Molecules 25, no. 18: 4194. https://doi.org/10.3390/molecules25184194
APA StyleZhang, L., & Chaput, J. C. (2020). In Vitro Selection of an ATP-Binding TNA Aptamer. Molecules, 25(18), 4194. https://doi.org/10.3390/molecules25184194

