Abstract
The total synthesis of a natural product alkaloid fusaric acid (FA), which exhibits herbicide, fungicide, insecticide and even diverse notable pharmacological activities, was accomplished in four steps using commercially available materials. The synthesis, based on a unified and flexible strategy using 6-bromonicotinaldehyde as a common intermediate, is concise, convergent, practical and can be carried out on a two-gram scale. This approach could be readily applicable to the synthesis of its analogues. In addition, FA had a wide range of inhibitory activities against 14 plant pathogenic fungi in this study, which demonstrated that as a leading compound, and it has great potential to be further developed as an agricultural fungicide.
1. Introduction
Plant diseases are the formidable enemy of agricultural production. According to the statistics of the Food and Agriculture Organization of the United Nations (FAO), the crop yield loss caused by plant pathogens is about 10% to 15% of the total output on average annually [1]. The use of fungicides against plant pathogens is a major means of ensuring crop production, so global agriculture has always maintained a strong demand for fungicides on the market. In the early 1970s, with the registration and widespread use of the systemic fungicide benomyl (Benlate), the problem of fungicide resistance became apparent. Now, significant fungicide resistance is a widespread problem in global agriculture. In this silent battlefield of fighting against the development of fungicide resistance, the most important and fundamental weapon that mankind can grasp is to accelerate the research of new structural compounds that can be used for the agricultural field, and further find new target sites and modes of action [2].
Fusaric acid (FA), chemically known as 5-butylpicolinic acid, is a natural product alkaloid, with low to moderate toxicity [3], isolated by Yabuta T. in 1934 from the secondary metabolites of Fusarium heterosporium that parasitizes rice [4]. A large number of research data showed that FA has diverse notable pharmacological activities, ranging from anti-hypertensive [5,6] and anti-viral [7,8] activities to anti-cancer effects [9,10] and the treatment of Parkinson’s disease [11,12]. As a kind of phytotoxin, FA and its derivatives also exhibited marked herbicidal activity [13,14]. It also has certain insecticidal activity as an important insect phenoloxidase inhibitor [15,16]. In addition, FA showed strong antifungal activity in both medical and agricultural fields [17,18].
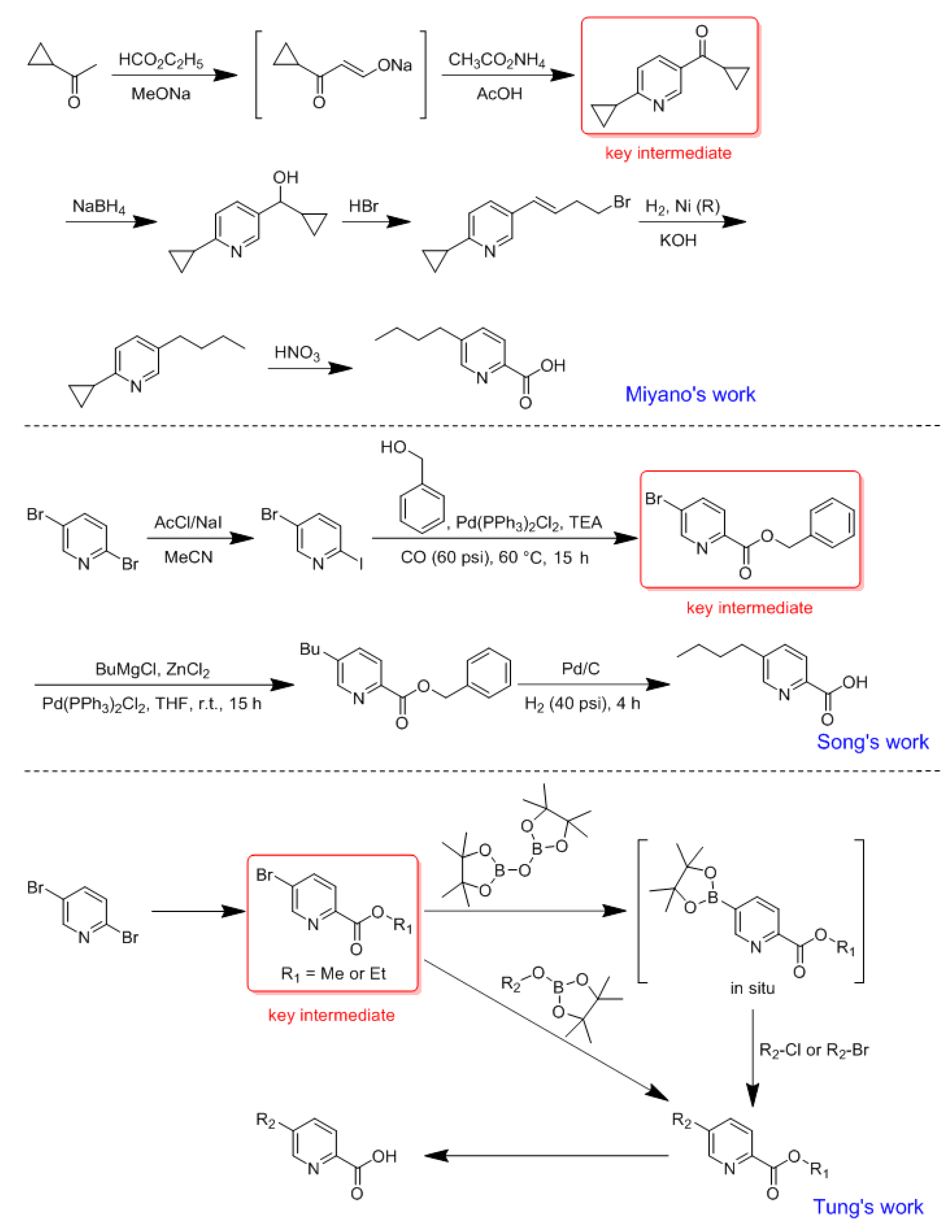
FA has been discovered for nearly 90 years, during which many synthetic approaches have been developed. Generally, according to the methods of establishing the target structures, these synthetic approaches can be classified into two categories: by constructing a pyridine ring via Diels-Alder type reactions (Scheme 1) [19,20,21,22] and by elaborating substituted pyridine intermediates (Scheme 2) [23,24,25,26,27,28]. The reported syntheses using Diels–Alder reactions either must be carried out under harsh conditions, or substances such as selenium dioxide (SeO2) [21,23,29], gaseous hydrogen chloride (HCl) [19], potassium permanganate (KMnO4) [24] and magnesium amalgam [24], which are both toxic to human body and harmful to the environment, were used, and these methods are not suitable for large-scale synthesis. Substituted pyridine intermediates designed and elaborated can readily facilitate the synthesis of FA and its analogs. Song et al. [27] prepared the key intermediate benzyl 5-bromopicolinate from raw material 2,5-dibromopyridine, and then synthesized FA through Negishi coupling, catalytic hydrogenation reaction and recrystallization purification. Tung et al. [28] prepared the key intermediates methyl (or ethyl) 5-bromopicolinate, then synthesized FA and its analogies via two-step reaction of Suzuki coupling and hydrolysis. We have practiced these two routes and found that the yield of Negishi and Suzuki coupling reactions was not satisfactory (<15%) due to the ester moieties. Hence, a more practical and scalable approach with an easily accessible reagent is still highly desirable to synthesize FA and its analogues to facilitate further antifungal activity evaluations.
Scheme 1.
Previous work for total synthesis of fusaric acid (FA) by constructing pyridine ring via Diels-Alder type reaction.
Scheme 2.
Previous work for total synthesis of FA by elaborating substituted pyridine intermediate.
We envisioned that the sequential reactions, such as Wittig and carbonylation reactions, at C(2) and C(5) positions of the pyridine ring would enable us to establish a concise and flexible route to a range of FA and its derivatives from a template 6-bromonicotinaldehyde, the commercially available compound (Scheme 3).
Scheme 3.
Synthetic plan for FA.
The objective of this study was to develop a concise, practical and scalable synthesis of FA and to facilitate further determinations of the FA inhibitory activities against several plant pathogenic fungi. In the meantime, we wish to reveal the great potential which FA has for further developing as an agricultural fungicide.
2. Results and Discussion
2.1. Total Synthesis of FA
Our synthesis (Scheme 4) began with the preparation of 2-bromo-5-(but-1-en-1-yl)pyridine (4) from commercially available 6-bromonicotinaldehyde (5) and n-propyltriphenyl-phosphonium bromide by using the Wittig reaction [30], followed by a hydrogenation reaction [31] to afford 2-bromo-5-butylpyridine (3). Once 2-bromo-5-butylpyridine (3) was in hand, a carbonylation reaction [32] was carried out immediately and methyl 5-butylpicolinate (2) was obtained. To our delight, all the reactions had run very well and afforded the expected end-product FA (1) in high yield after a saponification reaction [33]. It is noteworthy that the synthetic route is reliable, practical and gram scale for the desired FA (1), of which the total yield was 58% over only four steps and all spectroscopic data for our synthetic samples were in good agreement with those reported for the corresponding natural products.
Scheme 4.
Total synthesis of FA.
Another simple method of preparing carboxylic acid by halogenated hydrocarbon is to introduce the cyano group through the reaction of halogenated hydrocarbon [34] or diazonium salt [35] with inorganic cyanide before hydrolysis [36]. However, the use of hazardous chemicals such as diazonium salts or inorganic cyanide is unavoidable. In this study, the methyl ester of FA was prepared by carbonylation reaction of halogenated hydrocarbons. Although the reaction requires palladium catalyst and pressure, it is a feasible process route for practical and scalable preparation at one time, especially if industrial production was required.
Additionally, since n-butyl lithium was used in the Wittig reaction, the reaction should be carried out at −78 °C, which may have adverse effects on the scale-up production. This step of the reaction was also explored preliminarily. When anhydrous dimethyl formamide (DMF) was used as solvent and n-butyl lithium was replaced by sodium hydride (NaH), the dehydrogenation reaction could be carried out at −10 °C, and the yield of 2-bromo-5-(but-1-en-1-yl)pyridine (4) was about 65%.
2.2. In Vitro Inhibitory Activities of FA against 14 Plant Pathogenic Fungi
The results in Table 1 show that FA had a wide range of inhibitory activities against 14 plant pathogenic fungi, although the inhibition rates of FA against Valsa mal and Alternaria longipes at 200 μg/mL were only 12.93 ± 1.18% and 28.57 ± 2.04%, respectively. Moreover, FA had the best inhibitory activities against Thanatephorus cucumeris, Colletotrichum higginsianum and Colletotrichum gloeosporioides, whose 50% effective concentration (EC50) were 22.42, 31.67 and 90.80 μg/mL, respectively.
Table 1.
Toxicity of FA against 14 plant pathogenic fungi.
3. Materials and Methods
3.1. General
Reactions were carried out in flame- or oven-dried glassware under an argon atmosphere, unless otherwise noted. Tetrahydrofuran (THF) was freshly distilled before use from sodium using benzophenone as an indicator. All other anhydrous solvents were dried over 3 or 4 Å molecular sieves. The solvents used in workup, extraction, and column chromatography were used as received from commercial suppliers without prior purification. Reactions were magnetically stirred and monitored by thin layer chromatography (TLC, 0.25 mm) on pre-coated silica gel plates produced by Yantai Jiangyou silica gel Development Co., Ltd. (Yantai, Shandong Province, China). Flash chromatography was performed with silica gel 60 (particle size 0.040–0.062 mm) supplied by Qingdao Haiyang Chemical Co., Ltd. (Qingdao, Shandong Province, China). High resolution mass spectra were measured at Keecloud Mass Spectrometry Service Company, (Shanghai, China), on an Thermo Scientific LTQ Orbitrap XL system, Waltham, MA, USA. 1H and 13C-NMR spectra were recorded on a Bruker AVIII-400 spectrometer (400 MHz for 1H, 100 MHz for 13C), (Rheinstetten, German). Chemical shifts were reported in parts per million (ppm) as values relative to the internal chloroform (7.26 ppm for 1H and 77.16 ppm for 13C). Abbreviations for signal coupling are as follows: s, singlet; d, doublet; t, triplet; q, quartet; m, multiplet. The visualization of NMR spectra could be found in the Supplementary Materials.
3.2. Total Synthesis of FA
3.2.1. Synthesis of 2-Bromo-5-(but-1-en-1-yl)pyridine (4)
To a solution of n-propyltriphenyl-phosphonium bromide (9.25 g, 24.0 mmol) in anhydrous THF (25 mL) was added n-butyllithium (13.75 mL, 22.0 mmol, 1.6 M in hexane) dropwise at −78 °C and under an argon atmosphere. The reaction mixture was stirred for 15 min and then heated to 0 °C for at least 1 h. After the reaction mixture was cooled to −78 °C, the solution dissolved 6-bromonicotinaldehyde (5) (3.72 g, 20.0 mmol) in anhydrous THF (25 mL) was added. It was stirred for 15 min and then heated to room temperature (RT); the reaction mixture was stirred at RT until the complete consumption of starting material was observed by TLC (3 h). Aqueous saturated ammonium chloride (NH4Cl) solution (10 mL) was added under vigorous stirring to quench the reaction. The volatiles (mainly THF) were removed under reduced pressure and the aqueous phase was extracted with dichloromethane (3 × 20 mL). The combined organic fractions were washed with water and brine, dried over anhydrous sodium sulfate (Na2SO4) and evaporated under reduced pressure. The residue was purified by flash column chromatography on silica gel using eluents (petroleum ether/ethyl acetate = 20/1) to afford 2-bromo-5-(but-1-en-1-yl)pyridine (4) as a colorless oil (3.28 g, 77% yield). Major diastereomer. 1H-NMR (400 MHz, CDCl3) δ 8.26 (s, 1H), 7.45–7.43 (m, 2H), 6.26 (dt, J = 11.6, 1.5 Hz, 1H), 5.83 (dt, J = 11.6, 7.4 Hz, 1H), 2.31–2.25 (m, 2H), 1.06 (t, J = 7.5 Hz, 3H). 13C-NMR (100 MHz, CDCl3) δ 150.1, 139.7, 138.4, 138.1, 132.7, 127.6, 123.5, 22.1, 14.3. Minor diastereomer. 1H-NMR (400 MHz, CDCl3) δ 8.29 (d, J = 2.5 Hz, 1H), 7.53 (dd, J = 8.1, 2.5 Hz, 1H), 7.40 (d, J = 8.1, 1H), 6.39–6.29 (m, 2H), 2.25–2.21 (m, 2H), 1.11–1.10 (m, 3H). 13C-NMR (100 MHz, CDCl3) δ 148.1, 139.7, 136.3, 135.1, 133.0, 127.9, 124.1, 26.3, 13.4.
3.2.2. Synthesis of 2-Bromo-5-butylpyridine (3)
A round bottom flask was charged with 2-bromo-5-(but-1-en-1-yl)pyridine (4) (3.28 g, 15.5 mmol), then evacuated and backfilled with argon. After ethyl acetate (30 mL) and 10% Pd/C (1.65 g, 1.55 mmol) were added under argon, the argon in the round bottom flask was replaced by hydrogen for at least 10 min. It was stirred at RT under a hydrogen atmosphere until the complete consumption of starting material was observed by TLC (15 min). The resulting suspension was filtered through a compacted diatomaceous earth layer eluting with dichloromethane (3 × 20 mL). The combined filtrate was collected and evaporated under reduced pressure to afford a colorless oil. It was used directly as crude (3) in the next step immediately.
3.2.3. Synthesis of Methyl 5-butylpicolinate (2)
The crude (3), palladium (II) acetate (0.067 g, 0.30 mmol), 1,1′-Bis(diphenylphosphino)ferrocene (DPPF; 0.333 g, 0.60 mmol), trimethylamine (TEA; 2.98 g, 29.5 mmol) and methanol (12 mL, 294.8 mmol) were dissolved in DMF (30 mL) and the solution was stirred under carbon monoxide (CO; 1.5 MPa) at 100 °C overnight. The reaction mixture was cooled to RT before most of the volatile components were removed under reduced pressure. Saturated sodium chloride (NaCl) solution (100 mL) was added and then the mixture was shaken vigorously. The solution was extracted with ethyl acetate (3 × 30 mL), and the combined organic layers were washed with water and brine, dried (Na2SO4), filtered and concentrated by evaporating under reduced pressure. The resulting residue was purified by flash chromatography on silica gel using eluents (petroleum ether/ethyl acetate = 10/1) to afford the desired methyl 5-butylpicolinate (2) (2.56 g, 85% yield over 2 steps) as a colorless oil. 1H-NMR (400 MHz, CDCl3) δ 8.55 (d, J = 1.8 Hz, 1H), 8.05 (d, J = 8.0 Hz, 1H), 7.64 (dd, J = 8.0, 1.8 Hz, 1H), 3.99 (s, 3H), 2.68 (t, J = 7.6 Hz, 2H), 1.67–1.56 (m, 2H), 1.42–1.30 (m, 2H), 0.93 (t, J = 7.3 Hz, 3H). 13C-NMR (100 MHz, CDCl3) δ 165.9, 150.1, 145.6, 142.4, 136.8, 125.1, 52.9, 33.1, 32.9, 22.3, 13.9.
3.2.4. Synthesis of FA (1)
Methyl 5-butylpicolinate (2) (2.56 g, 13.2 mmol) was mixed with lithium hydrate (LiOH; 1.58 g, 66.0 mmol) in a 30 mL methanol/water (v/v = 1:1) mixed solvent, and then it was stirred at RT. After TLC analysis indicated complete consumption of the starting material (1 h), the volatiles (mainly methanol) were removed under reduced pressure. The pH of the resulting suspension was adjusted to about 2 with 1.0 M HCl. The aqueous phase was extracted with dichloromethane until no product was observed in the aqueous phase by TLC. The combined organic layers were dried over anhydrous Na2SO4, filtered and evaporated under reduced pressure. The desired FA (1) was obtained as a white solid (2.12 g, 89% yield). Mp = 99–101 °C. (lit. 99–100.5 °C) [22] 1H-NMR and 13C-NMR of the synthetic material were identical to those reported for the natural product [22]: 1H-NMR (400 MHz, CDCl3) δ 10.79 (s, 1H), 8.59 (s, 1H), 8.15 (d, J = 7.8 Hz, 1H), 7.73 (d, J = 7.5 Hz, 1H), 2.70 (t, J = 7.5 Hz, 2H), 1.73–1.51 (m, 2H), 1.45–1.25 (m, 2H), 0.92 (t, J = 7.3 Hz, 3H). 13C-NMR (100 MHz, CDCl3) δ 165.8, 148.1, 145.2, 143.1, 138.4, 124.4, 33.1, 32.9, 22.4, 13.9. HRMS (ESI) m/z calculated for C10H13NO2 [M + H]+ 180.10191, found 180.10147.
3.3. In Vitro Inhibitory Activities of FA against 14 Plant Pathogenic Fungi
The antifungal activities were evaluated against 14 pathogenic fungi, namely, C. higginsianum, H. maydis, P. grisea, T. cucumeris, B. cinerea, G. catenulatum, C. gloeosporioides, P. aphanidermatum, V. mal, M. arachidis, S. sclerotiorum, P. capsici, R. solani, and A. longipes, by the poison plate technique [37,38,39]. FA was dissolved in chromatographic grade methanol (2 mL) to prepare a 10 mg/mL stock solution. A proper amount of stock solution was precisely transferred with a pipette, and mixed with sterilized and melted potato dextrose agar (PDA; 49 mL). The corresponding amount of chromatographic grade methanol and sterile distilled water were added to make the total volume of 50 mL with 2% methanol content. FA was tested at five double-declining concentrations (e.g., 200, 100, 50, 25, and 12.5 μg/mL). Meantime, all fungi were cultivated in PDA at 28.0 ± 0.5 °C for 5 days in darkness to make new mycelium for the identification of antifungal activity. Then, mycelia dishes of approximately 5 mm diameter were cut from the culture medium. A mycelium was obtained using a germ-free inoculation needle and inoculated reversely in the center of the PDA plate aseptically. The inoculated plates were incubated at 28.0 ± 0.5 °C for 2–7 days in darkness. Chromatographic-grade methanol in sterile distilled water served as the control. At least three biological replicates and controls were used for each concentration. Radial growth of the fungal colonies was measured, and the data were statistically analyzed. Inhibitory activities of FA in vitro on these fungi were calculated by the formula I (%) = [(C − T)/(C − 5.00)] × 100, where C represents the diameter of fungal growth on untreated PDA (blank PDA with 2% methanol), T represents the diameter of fungal growth on treated PDA, and I represents the inhibition rate. Finally, the corresponding toxic regression equation, EC50, 95% confidence interval and determination coefficient were obtained by using the software package SPSS 22.0.
4. Conclusions
In summary, we have developed a total synthesis of naturally occurring alkaloid FA in four steps with a 58% yield from 6-bromonicotinaldehyde (5), by taking advantage of Wittig reaction, hydrogenation, carbonylation and saponification. The synthesis is concise, convergent, practical and can be carried out on a two-gram scale. Since this synthesis is based on a unified and flexible strategy using 6-bromonicotinaldehyde (5) as a common intermediate, it is readily applicable to analogue synthesis. Furthermore, the results from in vitro antifungal activities of FA reveal that FA, as a leading compound, has great potential to be further researched and developed as an agricultural fungicide. Further exploration of the strategy for the generation of novel analogues for biological evaluation is ongoing in our laboratory. As a kind of phytotoxin, FA can cause some plants to wilt or inhibit root elongation, such as bananas [40,41], tomatoes [13], tobacco [42,43], maize [44], and watermelons [45,46], etc. In order to ensure the plants of agricultural interest being safe, novel FA analogues for further biological evaluation should be evaluated as to whether the analogues might cause phytotoxicity at an effective dose. Relevant study work is also ongoing in our laboratory.
Supplementary Materials
The following are available online. Copies of 1H and 13C of new compounds.
Author Contributions
Conceived and designed the experiments: M.-A.O. and B.B.H. Wrote the paper: B.B.H. Performed the experiments: B.B.H., Y.Y.L., P.F.Z. and Y.C.J. Contributed reagents/materials/analysis tools/scientific funds: M.-A.O. and B.B.H. All authors have read and agreed to the published version of the manuscript.
Funding
This study was supported by the Educational and Scientific Research Project for Young and Middle-aged Teachers of Education Department of Fujian Province (No. JAT170167). The funder had no role in study design, data collection and analysis, decision to publish, or preparation of the manuscript.
Acknowledgments
The authors are grateful for the financial support from the funding.
Conflicts of Interest
The authors report no conflict of interest.
References
- Zhao, J.-H.; Li, J.-Z. A Progress on the study of the agricultural microbial fungicides. Pesticides 2003, 42, 8–10. [Google Scholar]
- Hollomon, D.-W. Fungicide resistance: Facing the challenge. Plant Prot. Sci. 2015, 51, 170–176. [Google Scholar] [CrossRef]
- Wang, H.; Ng, T.-B. Pharmacological activities of fusaric acid (5-butylpicolinic acid). Life Sci. 1999, 65, 849–856. [Google Scholar] [CrossRef]
- Yabuta, T. Biochemistry of Fusarium heterosporium in rice plant, Part 1: Newly found product of fusaric acid. J. Agric. Chem. Soc. Jpn. 1934, 10, 1059–1068. [Google Scholar]
- Furuta, Y.; Washizaki, M. Effects of fusaric acid and its derivative on the cardiovascular system. Folia Pharm. Jpn. 1976, 72, 139–144. [Google Scholar] [CrossRef]
- Terasawa, F.; Ying, L.-H.; Kameyama, M. The hypotensive effect of fusaric acid: The results of long-term administration of fusaric acid in elderly hypertensive patients. Jpn. Circ. J. 1976, 40, 1017–1023. [Google Scholar] [CrossRef][Green Version]
- Fernandez-Pol, J.-A.; Klos, D.-J.; Hamilton, P.-D. Antiviral, cytotoxic and apoptotic activities of picolinic acid on human immunodeficiency virus-1 and human herpes simplex virus-2 infected cells. Anticancer Res. 2001, 21, 3773–3776. [Google Scholar]
- Li, J.-F.; Sun, W.-Y.; Guo, Z.-X.; Lu, C.-H.; Shen, Y.-M. Fusaric acid modulates type three secretion system of Salmonella enterica serovar Typhimurium. Biochem. Biophys. Res. Commun. 2014, 449, 455–459. [Google Scholar] [CrossRef]
- Vesonder, R.-F.; Gasdorf, H.; Peterson, R.-E. Comparison of the cytotoxicities of Fusarium metabolites and Alternaria metabolite AAL-toxin to cultured mammalian cell lines. Arch. Environ. Contam. Toxicol. 1993, 24, 473–477. [Google Scholar] [CrossRef]
- Fernandez-Pol, J.-A.; Klos, D.-J.; Hamilton, P.-D. Cytotoxic activity of fusaric acid on human adenocarcinoma cells in tissue culture. Anticancer Res. 1993, 13, 57–64. [Google Scholar]
- Herskovits, E.; Figueroa, G.-E. Effect of fusaric acid in Parkinson’s disease. Medicine 1973, 33, 51. [Google Scholar]
- Chase, T.-N. Fusaric acid in Parkinson’s disease. Neurology 1974, 24, 637–639. [Google Scholar] [CrossRef] [PubMed]
- Capasso, R.; Evidente, A.; Cutignano, A.; Vurro, M.; Zonno, M.-C.; Bottalico, A. Fusaric and 9, 10-dehydrofusaric acids and their methyl esters from Fusarium nygamai. Phytochemistry 1996, 41, 1035–1039. [Google Scholar] [CrossRef]
- Stipanovic, R.-D.; Puckhaber, L.-S.; Liu, J.; Bell, A.-A. Phytotoxicity of fusaric acid and analogs to cotton. Toxicon 2011, 57, 176–178. [Google Scholar] [CrossRef] [PubMed]
- Dowd, P.-F. Relative inhibition of insect phenoloxidase by cyclic fungal metabolites from insect and plant pathogens. Nat. Toxins 1999, 7, 337–341. [Google Scholar] [CrossRef]
- Kwon, H.-R.; Son, S.-W.; Han, H.-R.; Choi, G.-J.; Jang, K.-S.; Choi, Y.-H.; Lee, S.; Sung, N.-D.; Kim, J.-C. Nematicidal activity of bikaverin and fusaric acid isolated from Fusarium oxysporum against pine wood nematode, Bursaphelenchus xylophilus. Plant Pathol. J. 2007, 23, 318–321. [Google Scholar] [CrossRef]
- Zheng, Y.; Wu, B.; Chen, Y.-W. Active ingredients from metabolite of Datura arborea entophytic fungi and its anti-dermal pathogenic fungi activities. J. Anhui Agric. Sci. 2011, 39, 1323–1324, 1329. [Google Scholar]
- Son, S.-W.; Kim, H.-Y.; Choi, G.-J.; Lim, H.-K.; Jang, K.-S.; Lee, S.-O.; Lee, S.; Sung, N.-D.; Kim, J.-C. Bikaverin and fusaric acid from Fusarium oxysporum show antioomycete activity against Phytophthora infestans. J. Appl. Microbiol. 2008, 104, 692–698. [Google Scholar] [CrossRef]
- Waldner, A. A short synthesis of fusaric acid and analogues. Synth Commun. 1989, 19, 2371–2374. [Google Scholar] [CrossRef]
- Sagi, M.; Amano, M.; Konno, S.; Yamanaka, H. Studies on as-triazine derivatives. XIII: A facile synthesis of fusaric acid from thienyl-as-triazine derivative. Heterocycles (Sendai) 1989, 29, 2249–2252. [Google Scholar]
- Koyama, J.; Ogura, T.; Tagahara, K. Diels-Alder reaction of 1, 2, 3-triazine with aldehyde enamine. Heterocycles (Sendai) 1994, 38, 1595–1600. [Google Scholar] [CrossRef]
- Renslo, A.-R.; Danheiser, R.-L. Synthesis of substituted pyridines via regiocontrolled [4 + 2] cycloadditions of oximinosulfonates. J. Org. Chem. 1998, 63, 7840–7850. [Google Scholar] [CrossRef]
- Vogt, H.; Mayer, H. Eine neue synthese der fusarinsäure. Tetrahedron Lett. 1966, 7, 5887–5888. [Google Scholar] [CrossRef]
- Tschesche, R.; Führer, W. Eine neue Synthese der 5-Butyl-2-pyridincarbonsäure (Fusarsäure) über die „Emmert-Reaktion”. Chem. Ber. 1978, 111, 3502–3505. [Google Scholar] [CrossRef]
- Langhals, E.; Langhals, H.; Rüchardt, C. Eine einfache neue synthese der fusarinsäure und anderer 5-Alkyl-2-pyridincarbonsäuren. Liebigs Ann. Chem. 1982, 930–949. [Google Scholar] [CrossRef]
- Miyano, K.; Sakasai, T.; Hamano, H. Synthesis of 5-(substituted alkyl) picolinic acids. the dopamine β-hydroxylase inhibitors. II. Chem. Pharm. Bull. 1978, 26, 2328–2333. [Google Scholar] [CrossRef]
- Song, J.-J.; Yee, N.-K. A concise synthesis of fusaric acid and-(+)-fusarinolic acid. J. Org. Chem. 2001, 66, 605–608. [Google Scholar] [CrossRef]
- Tung, T.-T.; Jakobsen, T.-H.; Dao, T.-T.; Fuglsang, A.-T.; Givskov, M.; Christensen, S.-B.; Nielsen, J. Fusaric acid and analogues as Gram-negative bacterial quorum sensing inhibitors. Eur. J. Med. Chem. 2017, 126, 1011–1020. [Google Scholar] [CrossRef]
- Chumakov, Y.-I.; Sherstyuk, V.-P. The synthesis of the fusarinic acid, its isomers and homologues. Tetrahedron Lett. 1965, 6, 129–135. [Google Scholar] [CrossRef]
- Shing, K.-P.; Liu, Y.-G.; Cao, B.; Chang, X.-T.; You, T.-J.; Che, C.-M. N-Heterocyclic Carbene Iron (III) Porphyrin-Catalyzed Intramolecular C (sp3)–H Amination of Alkyl Azides. Angew. Chem. Int. Ed. 2018, 57, 11947–11951. [Google Scholar] [CrossRef]
- Brenna, E.; Cosi, S.-L.; Ferrandi, E.-E.; Gatti, F.-G.; Monti, D.; Parmeggiani, F.; Sacchetti, A. Substrate scope and synthetic applications of the enantioselective reduction of α-alkyl-β-arylenones mediated by Old Yellow Enzymes. Org. Biomol. Chem. 2013, 11, 2988–2996. [Google Scholar] [CrossRef] [PubMed]
- Rabal, O.; Sánchez-Arias, J.-A.; Cuadrado-Tejedor, M.; De Miguel, I.; Pérez-González, M.; García-Barroso, C.; Ana Ugarte, A.; De Mendoza, A.-E.-H.; Sáez, E.; Espelosin, M.; et al. Multitarget approach for the treatment of Alzheimer’s disease: Inhibition of Phosphodiesterase 9 (PDE9) and Histone Deacetylases (HDACs) covering diverse selectivity profiles. ACS Chem. Neurosci. 2019, 10, 4076–4101. [Google Scholar] [CrossRef] [PubMed]
- Shyaka, C.; Xian, M.; Park, C.-M. Esterase-sensitive trithiane-based hydrogen sulfide donors. Org. Biomol. Chem. 2019, 17, 9999–10003. [Google Scholar] [CrossRef] [PubMed]
- Schareina, T.; Zapf, A.; Cotté, A.; Müller, N.; Beller, M. A bio-inspired copper catalyst system for practical catalytic cyanation of aryl bromides. Synthesis 2008, 2008, 3351–3355. [Google Scholar] [CrossRef]
- Barbero, M.; Degani, I.; Dughera, S.; Fochi, R. Hydrodediazoniation of dry arenediazonium o-benzenedisulfonimides with hydrogen peroxide. Synthesis 2004, 2004, 2386–2390. [Google Scholar] [CrossRef]
- Kumar, S.; Dixit, S.-K.; Awasthi, S.-K. An efficient one pot method for synthesis of carboxylic acids from nitriles using recyclable ionic liquid [bmim]HSO4. Tetrahedron Lett. 2014, 55, 3802–3804. [Google Scholar] [CrossRef]
- Chattapadhyay, T.-K.; Dureja, P. Antifungal activity of 4-methyl-6-alkyl-2H-pyran-2-ones. J. Agric. Food Chem. 2006, 54, 2129–2133. [Google Scholar] [CrossRef]
- Xu, W.-M.; He, J.; He, M.; Han, F.-F.; Chen, X.-H.; Pan, Z.-X.; Wang, J.; Tong, M.-G. Synthesis and antifungal activity of novel sulfone derivatives containing 1,3,4-oxadiazole moieties. Molecules 2011, 16, 9129–9141. [Google Scholar] [CrossRef]
- Wang, X.; Li, P.; Li, Z.-N.; Yin, J.; He, M.; Xue, W.; Chen, Z.-W.; Song, B.-A. Synthesis and bioactivity evaluation of novel arylimines containing a 3-aminoethyl-2-[(p-trifluoromethoxy)anilino]-4(3H)-quinazolinone moiety. J. Agric. Food Chem. 2013, 61, 9575–9582. [Google Scholar] [CrossRef]
- Dong, X.; Ling, N.; Wang, M.; Shen, Q.-R.; Guo, S.-W. Fusaric acid is a crucial factor in the disturbance of leaf water imbalance in Fusarium-infected banana plants. Plant Physiol. Biochem. 2012, 60, 171–179. [Google Scholar] [CrossRef]
- Dong, X.; Xiong, Y.-F.; Ling, N.; Shen, Q.-R.; Guo, S.-W. Fusaric acid accelerates the senescence of leaf in banana when infected by Fusarium. World J. Microbiol. Biotechnol. 2014, 30, 1399–1408. [Google Scholar] [CrossRef]
- Barna, B.; Györgyi, B. Resistance of young versus old tobacco leaves to necrotrophs, fusaric acid, cell wall-degrading enzymes and autolysis of membrane lipids. Physiol. Mol. Plant Pathol. 1992, 40, 247–257. [Google Scholar] [CrossRef]
- Jiao, J.; Zhou, B.-G.; Zhu, X.-P.; Gao, Z.-L.; Liang, Y.-C. Fusaric acid induction of programmed cell death modulated through nitric oxide signalling in tobacco suspension cells. Planta 2013, 238, 727–737. [Google Scholar] [CrossRef] [PubMed]
- Arias, J.-A. Secretory organelle and mitochondrial alterations induced by fusaric acid in root cells of Zea mays. Physiol. Plant Pathol. 1985, 27, 149–158. [Google Scholar] [CrossRef]
- Wu, H.-S.; Yin, X.-M.; Zhu, Y.-Y.; Guo, S.-W.; Wu, C.-L.; Lu, Y.-L.; Shen, Q.-R. Nitrogen metabolism disorder in watermelon leaf caused by fusaric acid. Physiol. Mol. Plant Pathol. 2007, 71, 69–77. [Google Scholar] [CrossRef]
- Wu, H.-S.; Yin, X.-M.; Liu, D.-Y.; Ling, N.; Bao, W.; Ying, R.-R.; Zhu, Y.-Y.; Guo, S.-W.; Shen, Q.-R. Effect of fungal fusaric acid on the root and leaf physiology of watermelon (Citrullus lanatus) seedlings. Plant Soil 2008, 308, 255–266. [Google Scholar] [CrossRef]
Sample Availability: Samples of the compounds 1, 2, 4 and 5 are available from the authors. |
© 2020 by the authors. Licensee MDPI, Basel, Switzerland. This article is an open access article distributed under the terms and conditions of the Creative Commons Attribution (CC BY) license (http://creativecommons.org/licenses/by/4.0/).



