Integral Representation of Electrostatic Interactions inside a Lipid Membrane
Abstract
1. Introduction
2. Theory and Analysis
2.1. Interaction between Two Point Charges
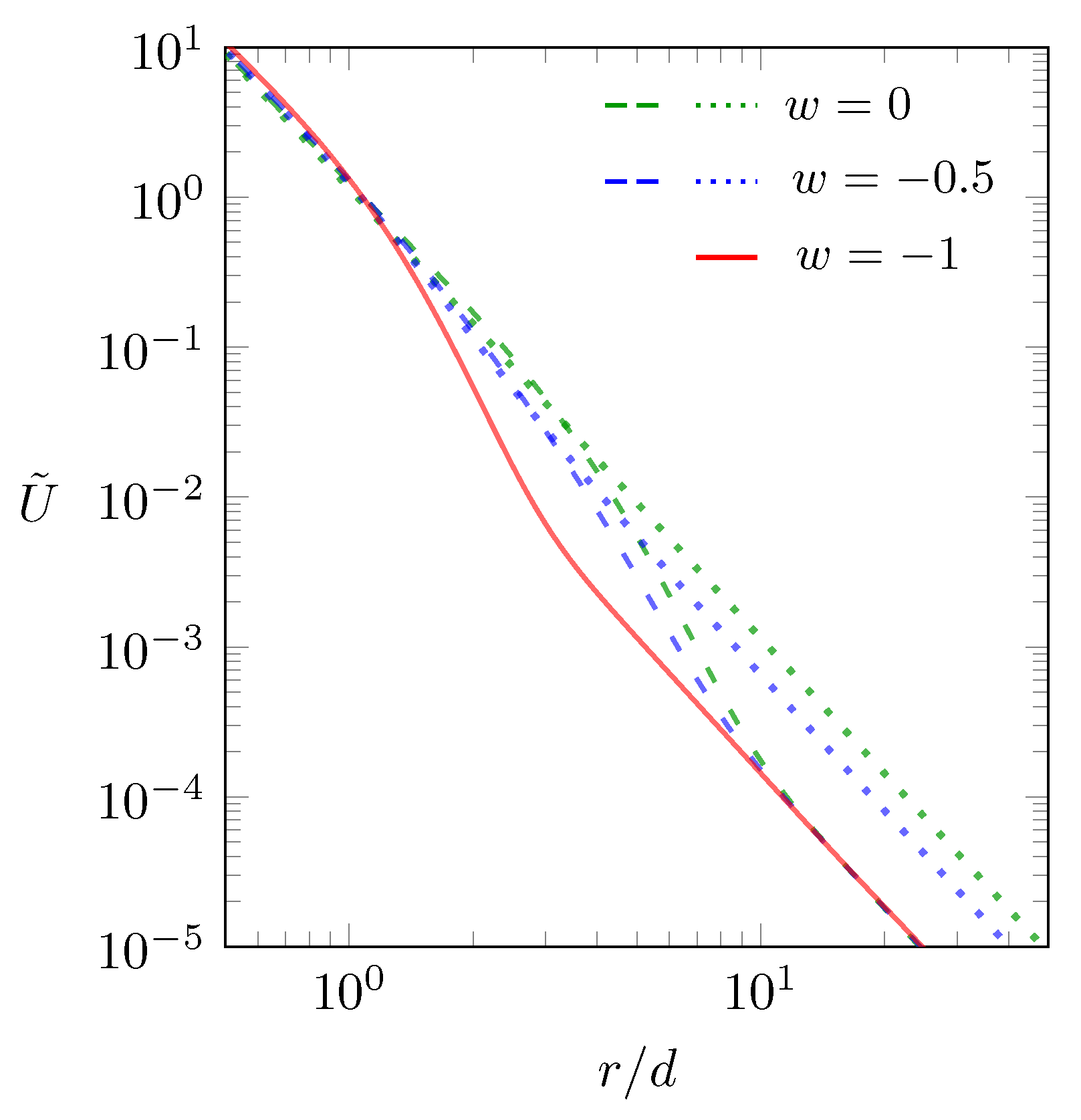
2.2. Interaction between Two Dipoles
3. Conclusions
Author Contributions
Funding
Conflicts of Interest
Appendix A

Appendix B

Appendix C
Appendix D
References
- Honig, B.H.; Hubbell, W.L.; Flewelling, R.F. Electrostatic interactions in membranes and proteins. Annu. Rev. Biophys. Biophys. Chem. 1986, 15, 163–193. [Google Scholar] [CrossRef] [PubMed]
- McLaughlin, S. The electrostatic properties of membranes. Annu. Rev. Biophys. Biophys. Cher 1989, 18, 113–136. [Google Scholar] [CrossRef] [PubMed]
- Gelbart, W.M.; Bruinsma, R.F.; Pincus, P.A.; Parsegian, V.A. DNA-inspired electrostatics. Phys. Today 2000, 53, 38–45. [Google Scholar] [CrossRef]
- Allen, R.; Hansen, J.P.; Melchionna, S. Electrostatic potential inside ionic solutions confined by dielectrics: A variational approach. Phys. Chem. Chem. Phys. 2001, 3, 4177–4186. [Google Scholar] [CrossRef]
- Crozier, P.S.; Rowley, R.L.; Holladay, N.B.; Henderson, D.; Busath, D.D. Molecular dynamics simulation of continuous current flow through a model biological membrane channel. Phys. Rev. Lett. 2001, 86, 2467. [Google Scholar] [CrossRef]
- Gurtovenko, A.A.; Vattulainen, I. Pore formation coupled to ion transport through lipid membranes as induced by transmembrane ionic charge imbalance: Atomistic molecular dynamics study. J. Am. Chem. Soc. 2005, 127, 17570–17571. [Google Scholar] [CrossRef]
- Ulmschneider, J.P.; Ulmschneider, M.B. Molecular dynamics simulations are redefining our view of peptides interacting with biological membranes. Acc. Chem. Res. 2018, 51, 1106–1116. [Google Scholar] [CrossRef]
- Cramer, C.J.; Truhlar, D.G. Implicit solvation models: Equilibria, structure, spectra, and dynamics. Chem. Rev. 1999, 99, 2161–2200. [Google Scholar] [CrossRef]
- Mori, T.; Miyashita, N.; Im, W.; Feig, M.; Sugita, Y. Molecular dynamics simulations of biological membranes and membrane proteins using enhanced conformational sampling algorithms. Biochim. Biophys. Acta Biomembr. 2016, 1858, 1635–1651. [Google Scholar] [CrossRef]
- Lin, J.H.; Baker, N.A.; McCammon, J.A. Bridging implicit and explicit solvent approaches for membrane electrostatics. Biophys. J. 2002, 83, 1374–1379. [Google Scholar] [CrossRef][Green Version]
- Peter, C.; Hummer, G. Ion transport through membrane-spanning nanopores studied by molecular dynamics simulations and continuum electrostatics calculations. Biophys. J. 2005, 89, 2222–2234. [Google Scholar] [CrossRef] [PubMed]
- Kessel, A.; Cafiso, D.S.; Ben-Tal, N. Continuum solvent model calculations of alamethicin-membrane interactions: Thermodynamic aspects. Biophys. J. 2000, 78, 571–583. [Google Scholar] [CrossRef]
- Allen, T.W.; Andersen, O.S.; Roux, B. Molecular dynamics—Potential of mean force calculations as a tool for understanding ion permeation and selectivity in narrow channels. Biophys. Chem. 2006, 124, 251–267. [Google Scholar] [CrossRef] [PubMed]
- Ben-Tal, N.; Honig, B. Helix-helix interactions in lipid bilayers. Biophys. J. 1996, 71, 3046–3050. [Google Scholar] [CrossRef]
- Andelman, D. Electrostatic properties of membranes: The Poisson–Boltzmann theory. In Handbook of Biological Physics; Elsevier: Amsterdam, The Netherlands, 1995; Volume 1, pp. 603–642. [Google Scholar]
- Ben-Yaakov, D.; Burak, Y.; Andelman, D.; Safran, S.A. Electrostatic interactions of asymmetrically charged membranes. Europhys. Lett. 2007, 79, 48002. [Google Scholar] [CrossRef][Green Version]
- Parsegian, A. Energy of an ion crossing a low dielectric membrane: Solutions to four relevant electrostatic problems. Nature 1969, 221, 844–846. [Google Scholar] [CrossRef]
- Levin, Y. Electrostatics of ions inside the nanopores and trans-membrane channels. Europhys. Lett. 2006, 76, 163. [Google Scholar] [CrossRef][Green Version]
- Cherstvy, A. Electrostatic screening and energy barriers of ions in low-dielectric membranes. J. Phys. Chem. B 2006, 110, 14503–14506. [Google Scholar] [CrossRef]
- Bordin, J.R.; Diehl, A.; Barbosa, M.C.; Levin, Y. Ion fluxes through nanopores and transmembrane channels. Phys. Rev. E 2012, 85, 031914. [Google Scholar] [CrossRef]
- Getfert, S.; Töws, T.; Reimann, P. Reluctance of a neutral nanoparticle to enter a charged pore. Phys. Rev. E 2013, 88, 052710. [Google Scholar] [CrossRef]
- Winterhalter, M.; Helfrich, W. Bending elasticity of electrically charged bilayers: Coupled monolayers, neutral surfaces, and balancing stresses. J. Phys. Chem. 1992, 96, 327–330. [Google Scholar] [CrossRef]
- May, S. Curvature elasticity and thermodynamic stability of electrically charged membranes. J. Chem. Phys. 1996, 105, 8314–8323. [Google Scholar] [CrossRef]
- Netz, R. Debye–Hückel theory for slab geometries. Eur. Phys. J. E 2000, 3, 131–141. [Google Scholar] [CrossRef]
- Allen, R.; Hansen, J.P. Electrostatic interactions of charges and dipoles near a polarizable membrane. Mol. Phys. 2003, 101, 1575–1585. [Google Scholar] [CrossRef]
- Wagner, A.J.; May, S. Electrostatic interactions across a charged lipid bilayer. Eur. Biophys. J. 2007, 36, 293–303. [Google Scholar] [CrossRef]
- Baciu, C.L.; May, S. Stability of charged, mixed lipid bilayers: Effect of electrostatic coupling between the monolayers. J. Phys. Condens. Matter 2004, 16, S2455. [Google Scholar] [CrossRef]
- Shimokawa, N.; Komura, S.; Andelman, D. Charged bilayer membranes in asymmetric ionic solutions: Phase diagrams and critical behavior. Phys. Rev. E 2011, 84, 031919. [Google Scholar] [CrossRef]
- Grossfield, A.; Sachs, J.; Woolf, T.B. Dipole lattice membrane model for protein calculations. Proteins Struct. Funct. Bioinf. 2000, 41, 211–223. [Google Scholar] [CrossRef]
- Cahill, K. Models of membrane electrostatics. Phys. Rev. E 2012, 85, 051921. [Google Scholar] [CrossRef]
- Stillinger, F.H., Jr. Interfacial solutions of the Poisson–Boltzmann equation. J. Chem. Phys. 1961, 35, 1584–1589. [Google Scholar] [CrossRef]
- Hurd, A.J. The electrostatic interaction between interfacial colloidal particles. J. Phys. A Math. Gen. 1985, 18, L1055. [Google Scholar] [CrossRef]
- Bossa, G.V.; Bohinc, K.; Brown, M.A.; May, S. The dipole moment of a charged particle trapped at the air-water interface. J. Phys. Chem. B 2016, 120, 6278–6285. [Google Scholar] [CrossRef] [PubMed]
- Honig, B.; Nicholls, A. Classical electrostatics in biology and chemistry. Science 1995, 268, 1144–1149. [Google Scholar] [CrossRef] [PubMed]
- Ben-Tal, N.; Ben-Shaul, A.; Nicholls, A.; Honig, B. Free-energy determinants of alpha-helix insertion into lipid bilayers. Biophys. J. 1996, 70, 1803–1812. [Google Scholar] [CrossRef]
- Brockman, H. Dipole potential of lipid membranes. Chem. Phys. Lipids 1994, 73, 57–79. [Google Scholar] [CrossRef]
- Sengupta, D.; Behera, R.N.; Smith, J.C.; Ullmann, G.M. The alpha helix dipole: Screened out? Structure 2005, 13, 849–855. [Google Scholar] [CrossRef]
- Zangwill, A. Modern Electrodynamics; Cambridge University Press: Cambridge, UK, 2013. [Google Scholar]
- Vanderlinde, J. Classical Electromagnetic Theory; Springer Science & Business Media: Berlin/Heidelberg, Germany, 2006; Volume 145. [Google Scholar]
- Barker, J.R.; Martinez, A. Image charge models for accurate construction of the electrostatic self-energy of 3D layered nanostructure devices. J. Phys. Condens. Matter 2018, 30, 134002. [Google Scholar] [CrossRef]
- Gabovich, A.M.; Voitenko, A.I. Electrostatic Interaction of Point Charges in Three-Layer Structures: The Classical Model. Condens. Matter 2019, 4, 44. [Google Scholar] [CrossRef]
- Neu, J.C. Wall-mediated forces between like-charged bodies in an electrolyte. Phys. Rev. Lett. 1999, 82, 1072. [Google Scholar] [CrossRef]
- Jackson, J.D. Classical Electrodynamics, 3rd ed.; Wiley: Hoboken, NJ, USA, 1999. [Google Scholar]
- Bossa, G.V.; Brown, M.A.; Bohinc, K.; May, S. Modeling the electrostatic contribution to the line tension between lipid membrane domains using Poisson–Boltzmann theory. Int. J. Adv. Eng. Sci. Appl. Math. 2016, 8, 101–110. [Google Scholar] [CrossRef]
- Bazant, M.Z.; Storey, B.D.; Kornyshev, A.A. Double layer in ionic liquids: Overscreening versus crowding. Phys. Rev. Lett. 2011, 106, 046102. [Google Scholar] [CrossRef] [PubMed]
- Nakamura, I. Effects of dielectric inhomogeneity and electrostatic correlation on the solvation energy of ions in liquids. J. Phys. Chem. B 2018, 122, 6064–6071. [Google Scholar] [CrossRef] [PubMed]
- Spaight, J.; Downing, R.; May, S.; de Carvalho, S.J.; Bossa, G.V. Modeling hydration-mediated ion–ion interactions in electrolytes through oscillating Yukawa potentials. Phys. Rev. E 2020, 101, 52603. [Google Scholar] [CrossRef] [PubMed]
- Abrashkin, A.; Andelman, D.; Orland, H. Dipolar Poisson–Boltzmann equation: Ions and dipoles close to charge interfaces. Phys. Rev. Lett. 2007, 99, 077801. [Google Scholar] [CrossRef] [PubMed]
- Azuara, C.; Orland, H.; Bon, M.; Koehl, P.; Delarue, M. Incorporating dipolar solvents with variable density in Poisson–Boltzmann electrostatics. Biophys. J. 2008, 95, 5587–5605. [Google Scholar] [CrossRef]
- Koehl, P.; Orland, H.; Delarue, M. Beyond the Poisson–Boltzmann Model: Modeling Biomolecule-Water and Water-Water Interactions. Phys. Rev. Lett. 2009, 102, 087801. [Google Scholar] [CrossRef]
- Iglič, A.; Gongadze, E.; Bohinc, K. Excluded volume effect and orientational ordering near charged surface in solution of ions and Langevin dipoles. Bioelectrochemistry 2010, 79, 223–227. [Google Scholar] [CrossRef]
- Arfken, G.B.; Weber, H.J. Mathematical Methods for Physicists. Am. J. Phys. 1999, 67, 165. [Google Scholar] [CrossRef]
Sample Availability: Samples of the compounds are not available from the authors. |




© 2020 by the authors. Licensee MDPI, Basel, Switzerland. This article is an open access article distributed under the terms and conditions of the Creative Commons Attribution (CC BY) license (http://creativecommons.org/licenses/by/4.0/).
Share and Cite
Bossa, G.V.; May, S. Integral Representation of Electrostatic Interactions inside a Lipid Membrane. Molecules 2020, 25, 3824. https://doi.org/10.3390/molecules25173824
Bossa GV, May S. Integral Representation of Electrostatic Interactions inside a Lipid Membrane. Molecules. 2020; 25(17):3824. https://doi.org/10.3390/molecules25173824
Chicago/Turabian StyleBossa, Guilherme Volpe, and Sylvio May. 2020. "Integral Representation of Electrostatic Interactions inside a Lipid Membrane" Molecules 25, no. 17: 3824. https://doi.org/10.3390/molecules25173824
APA StyleBossa, G. V., & May, S. (2020). Integral Representation of Electrostatic Interactions inside a Lipid Membrane. Molecules, 25(17), 3824. https://doi.org/10.3390/molecules25173824

