Photoluminescence as a Complementary Tool for UV-VIS Spectroscopy to Highlight the Photodegradation of Drugs: A Case Study on Melatonin
Abstract
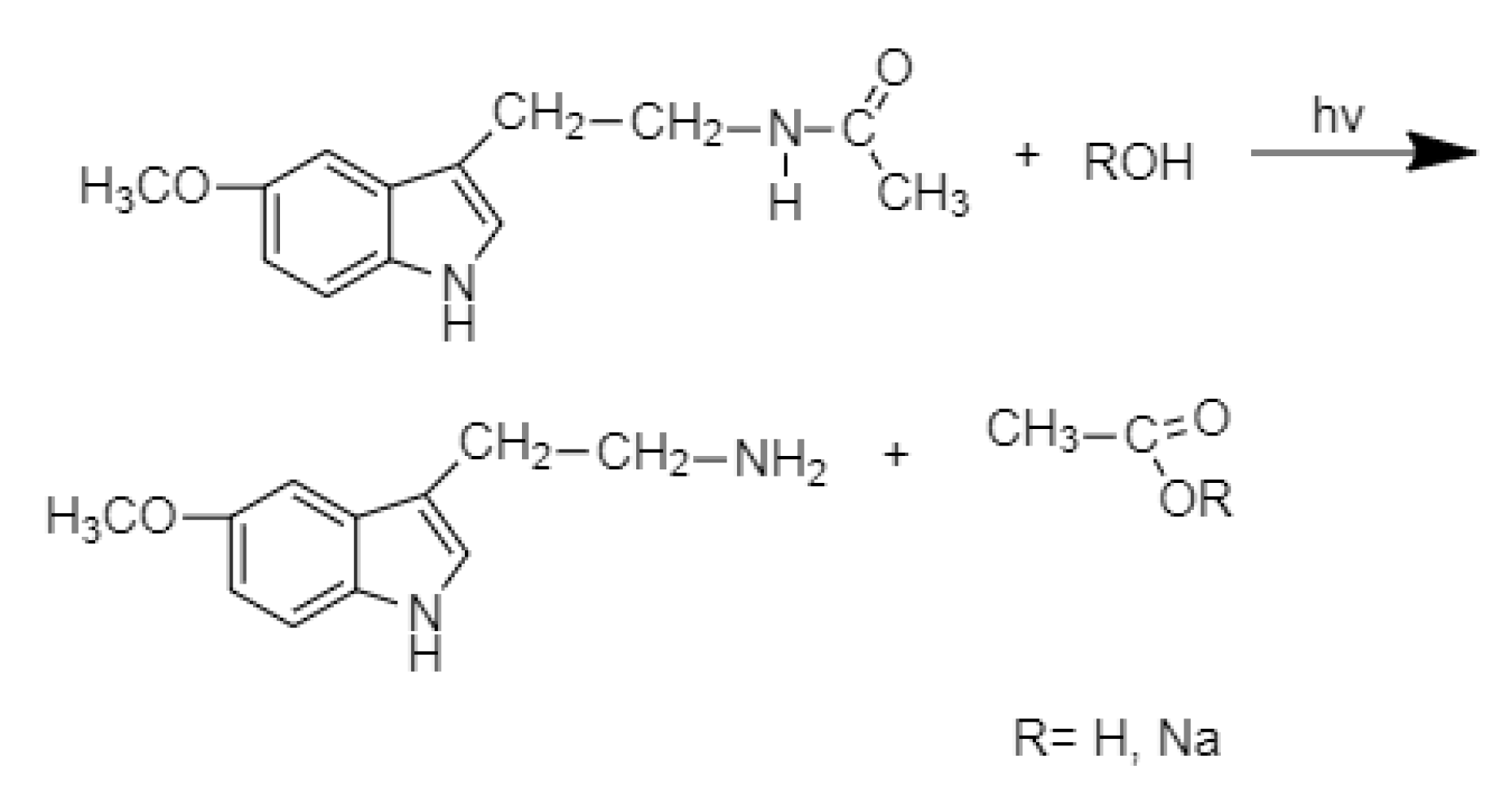
1. Introduction
2. Results and Discussion
2.1. Photodegradation of MEL Highlighted by UV-VIS Absorption Spectroscopy
2.2. Photoluminescence as an Optical Tool for Highlighting MEL Photodegradation
2.3. Raman Scattering and IR Spectroscopy Studies Concerning the Photodegradation of MEL
2.4. X-ray Photoelectron Spectroscopy Studies on the Photodegradation of MEL
2.5. X-ray Diffraction Studies on the Photodegradation of MEL
3. Materials and Methods
4. Conclusions
Author Contributions
Funding
Conflicts of Interest
References
- Simionescu, S.; Ion, R. Melatonin dosage by first-derivative spectrophotometry. Sci. Bull. Valahia Univ. Mater. Mech. 2015, 10, 17–20. [Google Scholar]
- Aboul-Enein, H.Y.; Doneanu, C.; Covaci, A. Capillary GC-MS determination of melatonin in several pharmaceutical tablet formulations. Biomed. Chromatogr. 1999, 13, 24–26. [Google Scholar] [CrossRef]
- Murch, S.J.; Simmons, C.B.; Saxena, P.K. Melatonin in feverfew and other medicinal plants Leukotriene C 4 synthase promoter polymorphism and risk of aspirin- induced asthma. Lancet 1997, 350, 1598–1599. [Google Scholar] [CrossRef]
- Tan, D.X.; Hardeland, R.; Manchester, L.C.; Poeggeler, B.; Burillo, S.L.; Mayo, J.C.; Sainz, R.M.; Reiter, R.J. Mechanistic and comparative studies of melatonin and classic antioxidants in terms of their interactions with the ABTS cation radical. J. Pineal Res. 2003, 34, 249–259. [Google Scholar] [CrossRef] [PubMed]
- Aguilera, Y.; Rebollo-Hernanz, M.; Martín-Cabrejas, M.A. Melatonin. Food Chem. Funct. Anal. 2019, 8, 129–151. [Google Scholar]
- Reiter, R.J.; Calvo, J.R.; Karbownik, M.; Qi, W.; Tan, D.X. Melatonin and its relation to the immune system and inflammation. Ann. N. Y. Acad. Sci. 2006, 917, 376–386. [Google Scholar] [CrossRef]
- Rizzi, A.; Comai, S.; Bertazzo, A.; Costa, C.V.L.; Allegri, G.; Traldi, P. An investigation on the possible role of melatonin in melanogenesis. J. Mass Spectrom. 2006, 41, 517–526. [Google Scholar] [CrossRef]
- Brugger, P.; Marktl, W.; Herold, M. Impaired nocturnal secretion of melatonin in coronary heart disease. Lancet 1995, 345, 1408. [Google Scholar] [CrossRef]
- Zhdanova, I.V.; Weertman, R.J.; Regan, M.M.; Taylor, J.A.; Shi, J.P.; Leclair, O.U. Melatonin treatment for age-related insomnia. J. Clin. Endocrinol. Metab. 2001, 86, 4727–4730. [Google Scholar] [CrossRef]
- Bin, Y.S.; Postnova, S.; Cistulli, P.A. What works for jetlag? A systematic review of non-pharmacological interventions. Sleep Med. Rev. 2019, 43, 47–59. [Google Scholar] [CrossRef]
- Margolius, A.; Fernandez, H.H. Current treatment of tardive dyskinesia. Parkinsonism Relat. Disord. 2019, 59, 155–169. [Google Scholar]
- Zhou, H.; Li, D.; Zhu, P.; Hu, S.; Hu, N.; Ma, S.; Zhang, Y.; Han, T.; Ren, J.; Cao, F.; et al. Melatonin suppresses platelet activation and function against cardiac ischemia/reperfusion injury via PPARy/FUNDC1/ mitophagy. J. Pineal Res. 2017, 63, e12438. [Google Scholar] [CrossRef] [PubMed]
- Covaci, A.; Doneanu, C.; Aboul-Enein, H.Y.; Schepens, P. Determination of melatonin in pharmaceutical formulations and human plasma by gas chromatography-electron impact mass spectrometry. Biomed. Chromatogr. 1999, 13, 431–436. [Google Scholar] [CrossRef]
- Buscemi, N.; Vandermeer, B.; Pandya, R.; Hootons, N.; Tjosvold, L.; Hartling, L.; Baker, G.; Vohra, S.; Klassen, T. Melatonin for treatment of sleep disorders. Agency Healthc. Res. Qual. 2004, 108, 1–7. [Google Scholar]
- Chanut, E.; Nguyen-Legros, J.; Versaux-Botteri, C.; Trouvin, J.H.; Launay, J.M. Determination of melatonin in rat pineal, plasma and retina by high-performance liquid chromatography with electrochemical detection. J. Chromatogr. B 1998, 709, 11–18. [Google Scholar] [CrossRef]
- Sorouraddin, M.H.; Rashidi, M.R.; Ghorbani-Kalhor, E.; Asadpour-Zeynali, K. Simultaneous spectrofluorimetric and spectrophotometric determination of melatonin and pyridoxine in pharmaceutical preparations by multivariate calibration methods. Farmaco 2005, 60, 451–458. [Google Scholar] [CrossRef]
- Uslu, B.; Öwzkan, S.A.; Aboul-Enein, H.Y. Spectrophotometric determination of melatonin and pyridoxine HCL in binary mixture using first derivative of the ratio spectra method. Anal. Lett. 2002, 35, 2305–2317. [Google Scholar] [CrossRef]
- Andrisano, A.; Bertucci, C.; Battaglia, A.; Cavrini, V. Photostability of drugs: Photodegradation of melatonin and its determination in commercial formulations. J. Pharm. Biomed. Anal. 2000, 23, 15–23. [Google Scholar] [CrossRef]
- Fleming, G.D.; Koch, R.; Perez, J.M.; Cabrera, J.L. Raman and SERS study of N-acetyl-5-methoxytryptamine, melatonin—The influence of the different molecular fragments on the SERS effect. Vib. Sectrosc. 2015, 80, 70–78. [Google Scholar] [CrossRef]
- Koleva, V.; Stoilova, D. Infrared and Raman studies of the solids in the Mg(CH3COOH)2-Zn(CH3COOH)2-H2O system. J. Molec. Struct. 2002, 611, 1–8. [Google Scholar] [CrossRef]
- Periathai, R.S.; Rajagopal, K. FTIR and Raman vibrational investigations on the complex of pyridine with tartaric acid. IOSR J. Appl. Phys. 2014, 6, 9–12. [Google Scholar] [CrossRef]
- Silverstein, R.M.; Bassler, G.C.; Morrill, T.C. Spectrometric Identification of Organic Compoundsi, 4th ed.; John Wiley and Sons: New York, NY, USA, 1981. [Google Scholar]
- Esfandiar, A.; Akhavan, O.; Irajizad, A. Melatonin as a powerful bio-antioxidant for reduction of graphene oxide. J. Mater. Chem. 2011, 21, 10907–10914. [Google Scholar] [CrossRef]
- Xu, Z.X.; Li, T.; Zhong, Z.M.; Zha, D.S.; Wu, S.H.; Liu, F.Q.; Xiao, W.D.; Jiang, X.R.; Zhang, X.X.; Chen, J.T. Amide-linkage formed between ammonia plasma treated poly(D.L-lactide acid) scaffolds and bio-peptides: Enhancement of cell adhesion and osteogenic differentiation in vitro. Biopolymers 2011, 95, 682–693. [Google Scholar] [CrossRef]
- Del Pino, A.P.; Villarroya, A.M.; Chuquitarqui, A.; Logofatu, c.; Tonti, D.; Gyorgy, E. Reactive laser synthesis of nitrogen-doped hybrid graphene-based electrodes for energy storage. J. Mater. Chem. A 2018, 6, 16074–16086. [Google Scholar] [CrossRef]
- Mangun, C.L.; Benak, K.R.; Economy, J.; Foster, K.L. Surface chemistry, pore sizes and adsorption properties of activated carbon fibers and precursors treated with ammonia. Carbon 2001, 39, 1809–1820. [Google Scholar] [CrossRef]
- Thornburg, D.M.; Madix, R.J. Cleavage of NH bonds by active oxygen on Ag (110) II. Selective oxidation of ethylamine to acetonitrile. Surf. Sci. 1990, 226, 61–76. [Google Scholar] [CrossRef]
- Hammond, J.S.; Holubka, J.W.; de Vries, J.E.; Dickie, R.A. The application of X-ray photo-electron spectroscopy to a study of interfacial composition in corrosion-induced paint de-adhesion. Corr. Sci. 1981, 21, 239–253. [Google Scholar] [CrossRef]
Sample Availability: Samples of the compounds of the melatonin interacted with NaOH are available from the authors. |
















| CMEL (mM) | VMEL (mL) | CNaOH (M) | VNaOH (mL) | tUV (min.) | IPLE (counts/s) | IPL (counts/s) |
|---|---|---|---|---|---|---|
| 1.29 | 3 | 0 | 0 | 0 | 4.55 × 107 | 1.89 × 106 |
| 1.29 | 3 | 0 | 0 | 131 | 3.01 × 107 | 7.49 × 105 |
| 1.29 | 2.8 | 0.3 | 0.2 | 0 | 2.8 × 107 | 1.54 × 106 |
| 1.29 | 2.8 | 0.3 | 0.2 | 131 | 3.2 × 107 | 3.95 × 105 |
| 1.29 | 2.5 | 0.3 | 0.5 | 0 | 2.14 × 107 | 6.28 × 105 |
| 1.29 | 2.5 | 0.3 | 0.5 | 131 | 4.3 × 107 | 3.06 × 105 |
| 1.29 | 2 | 0.3 | 1 | 0 | 1.24 × 107 | 4.23 × 105 |
| 1.29 | 2 | 0.3 | 1 | 131 | 2.25 × 107 | 2.29 × 105 |
| 1.29 | 2 | 1.5 | 1 | 0 | 8.17 × 106 | 3.25 × 105 |
| 1.29 | 2 | 1.5 | 1 | 131 | 2.65 × 107 | 2.19 × 105 |
© 2020 by the authors. Licensee MDPI, Basel, Switzerland. This article is an open access article distributed under the terms and conditions of the Creative Commons Attribution (CC BY) license (http://creativecommons.org/licenses/by/4.0/).
Share and Cite
Daescu, M.; Toulbe, N.; Baibarac, M.; Mogos, A.; Lőrinczi, A.; Logofatu, C. Photoluminescence as a Complementary Tool for UV-VIS Spectroscopy to Highlight the Photodegradation of Drugs: A Case Study on Melatonin. Molecules 2020, 25, 3820. https://doi.org/10.3390/molecules25173820
Daescu M, Toulbe N, Baibarac M, Mogos A, Lőrinczi A, Logofatu C. Photoluminescence as a Complementary Tool for UV-VIS Spectroscopy to Highlight the Photodegradation of Drugs: A Case Study on Melatonin. Molecules. 2020; 25(17):3820. https://doi.org/10.3390/molecules25173820
Chicago/Turabian StyleDaescu, Monica, N’ghaya Toulbe, Mihaela Baibarac, Alin Mogos, Adam Lőrinczi, and C. Logofatu. 2020. "Photoluminescence as a Complementary Tool for UV-VIS Spectroscopy to Highlight the Photodegradation of Drugs: A Case Study on Melatonin" Molecules 25, no. 17: 3820. https://doi.org/10.3390/molecules25173820
APA StyleDaescu, M., Toulbe, N., Baibarac, M., Mogos, A., Lőrinczi, A., & Logofatu, C. (2020). Photoluminescence as a Complementary Tool for UV-VIS Spectroscopy to Highlight the Photodegradation of Drugs: A Case Study on Melatonin. Molecules, 25(17), 3820. https://doi.org/10.3390/molecules25173820

