Characterization of the Aroma of an Instant White Tea Dried by Freeze Drying
Abstract
1. Introduction
2. Results and Discussion
2.1. Sensory Evaluation
2.2. GC-MS Analysis of Volatile Compounds in SDE Extract of IWT
2.3. GC-MS-O and OAV Analyses of Aroma-Active Volatiles in the SDE Extract
2.4. Aroma Reconstruction and Omission Experiments
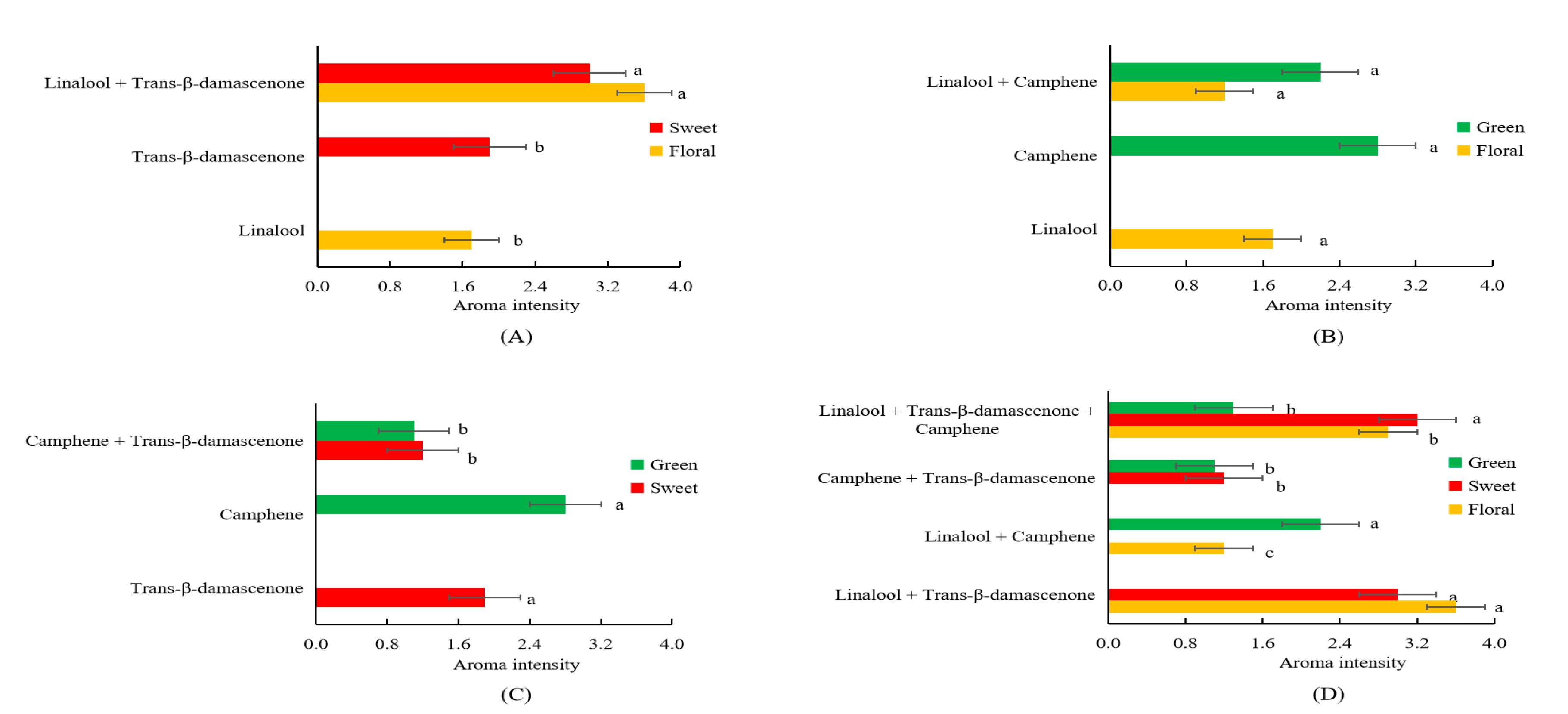
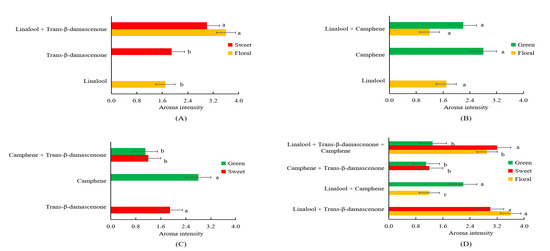
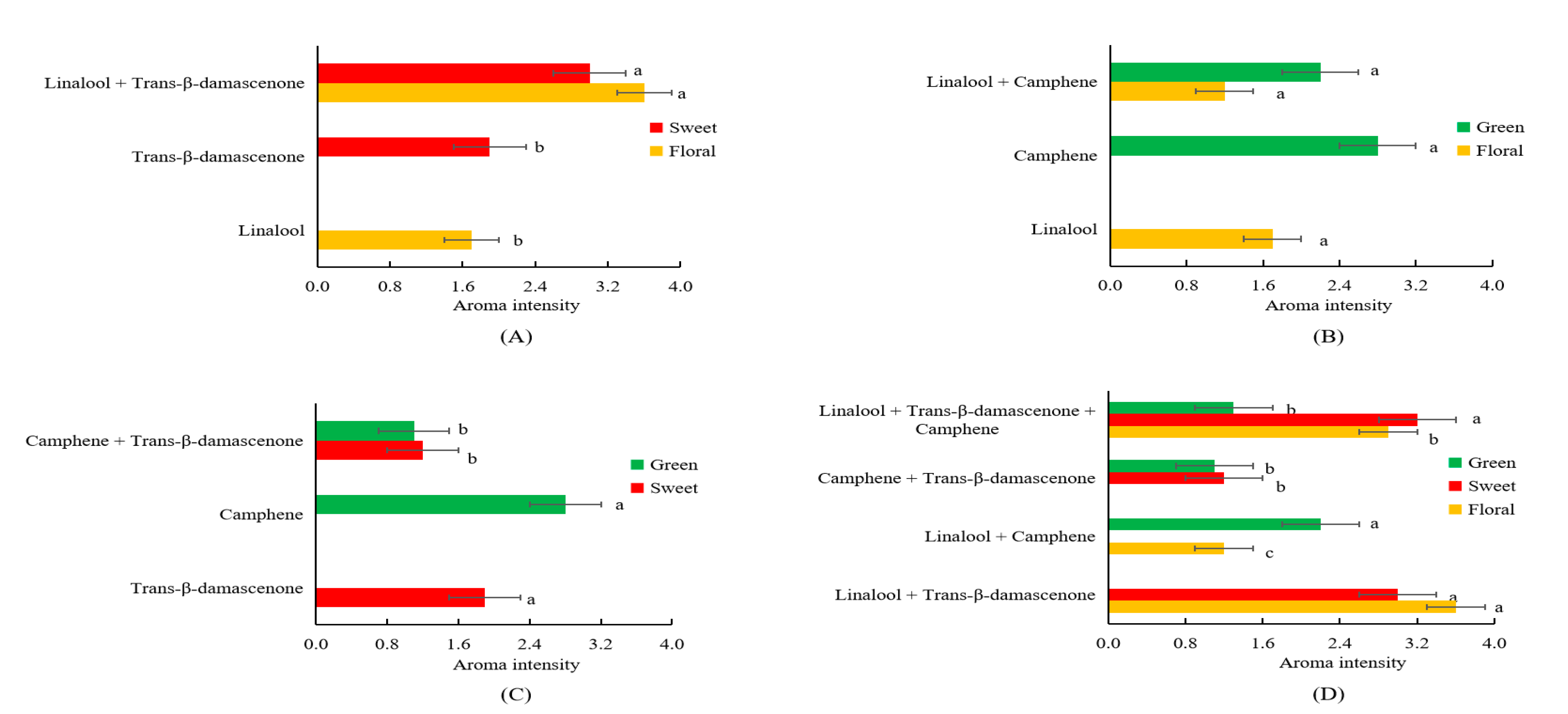
2.5. Interactions among Major Aroma Contributors
3. Materials and Methods
3.1. Materials
3.2. Chemicals
3.3. Preparation of the SDE Extract of IWT
3.4. Sensory Evaluation
3.5. GC-MS Analysis
3.6. GC-MS-O Analysis
3.7. Aroma Extract Dilution Analysis (AEDA)
3.8. Odor Activity Values (OAV) Analysis
3.9. Aroma Reconstruction and Omission Test of Major Aroma Contributors
3.10. Investigation of Interactions of Major Aroma Contributors
3.11. Statistical Analysis
4. Conclusions
Author Contributions
Funding
Conflicts of Interest
References
- Ho, C.-T.; Zheng, X.; Li, S. Tea aroma formation. Food Sci. Hum. Wellness 2015, 4, 9–27. [Google Scholar] [CrossRef]
- Cabrera, C.; Artacho, R.; Giménez, R. Beneficial effects of green tea−a review. J. Am. Coll. Nutr. 2006, 25, 79–99. [Google Scholar] [CrossRef]
- Sharma, V.K.; Bhattacharya, A.; Kumar, A.; Sharma, H.K. Health benefits of tea consumption. Trop. J. Pharm. Res. 2007, 6, 785–792. [Google Scholar] [CrossRef]
- Du, L.; Wang, C.; Zhang, C.; Ma, L.; Xu, Y.; Xiao, D. Characterization of the volatile and sensory profile of instant Pu-erh tea using GC × GC-TOFMS and descriptive sensory analysis. Microchem. J. 2019, 146, 986–996. [Google Scholar] [CrossRef]
- Kuroda, K.; Inoue, N.; Ito, Y.; Kubota, K.; Sugimoto, A.; Kakuda, T.; Fushiki, T. Sedative effects of the jasmine tea odor and (R)-(−)-linalool, one of its major odor components, on autonomic nerve activity and mood states. Eur. J. Appl. Physiol. 2005, 95, 107–114. [Google Scholar] [CrossRef] [PubMed]
- Tomi, K.; Kitao, M.; Murakami, H.; Matsumura, Y.; Hayashi, T. Classification of lavender essential oils: Sedative effects of Lavandula oils. J. Essent. Oil Res. 2018, 30, 56–68. [Google Scholar] [CrossRef]
- Xu, Y.-Q.; Wang, C.; Li, C.-W.; Liu, S.-H.; Zhang, C.-X.; Li, L.-W.; Jiang, D.-H. Characterization of aroma-active compounds of Pu-erh tea by headspace solid-phase microextraction (HS-SPME) and simultaneous distillation-extraction (SDE) coupled with GC-olfactometry and GC-MS. Food Anal. Method 2016, 9, 1188–1198. [Google Scholar] [CrossRef]
- Du, L.; Li, J.; Li, W.; Li, Y.; Li, T.; Xiao, D. Characterization of volatile compounds of pu-erh tea using solid-phase microextraction and simultaneous distillation–extraction coupled with gas chromatography—mass spectrometry. Food Res. Int. 2014, 57, 61–70. [Google Scholar] [CrossRef]
- Qi, D.; Miao, A.; Cao, J.; Wang, W.; Chen, W.; Pang, S.; He, X.; Ma, C. Study on the effects of rapid aging technology on the aroma quality of white tea using GC-MS combined with chemometrics: In comparison with natural aged and fresh white tea. Food Chem. 2018, 265, 189–199. [Google Scholar] [CrossRef]
- Kang, S.; Yan, H.; Zhu, Y.; Liu, X.; Lv, H.-P.; Zhang, Y.; Dai, W.-D.; Guo, L.; Tan, J.-F.; Peng, Q.-H. Identification and quantification of key odorants in the World’s four Most famous black teas. Food Res. Int. 2019, 121, 73–83. [Google Scholar] [CrossRef]
- Gong, X.; Han, Y.; Zhu, J.; Hong, L.; Zhu, D.; Liu, J.; Zhang, X.; Niu, Y.; Xiao, Z. Identification of the aroma-active compounds in Longjing tea characterized by odor activity value, gas chromatography-olfactometry, and aroma recombination. Int. J. Food Prop. 2017, 20, S1107–S1121. [Google Scholar] [CrossRef]
- Chen, X.; Chen, D.; Jiang, H.; Sun, H.; Zhang, C.; Zhao, H.; Li, X.; Yan, F.; Chen, C.; Xu, Z. Aroma characterization of Hanzhong black tea (Camellia sinensis) using solid phase extraction coupled with gas chromatography-mass spectrometry and olfactometry and sensory analysis. Food Chem. 2019, 274, 130–136. [Google Scholar] [CrossRef] [PubMed]
- He, C.; Guo, X.; Yang, Y.; Xie, Y.; Ju, F.; Guo, W. Characterization of the aromatic profile in “zijuan” and “pu-erh” green teas by headspace solid-phase microextraction coupled with GC-O and GC-MS. Anal. Methods 2016, 8, 4727–4735. [Google Scholar] [CrossRef]
- Qian, Y.L.; An, Y.; Chen, S.; Qian, M.C. Characterization of Qingke liquor aroma from Tibet. J. Agric. Food Chem. 2019, 67, 13870–13881. [Google Scholar] [CrossRef] [PubMed]
- Dong, W.; Guo, R.; Liu, M.; Shen, C.; Sun, X.; Zhao, M.; Sun, J.; Li, H.; Zheng, F.; Huang, M.; et al. Characterization of key odorants causing the roasted and mud-like aromas in strong-aroma types of base Baijiu. Food Res. Int. 2019, 125, 108546. [Google Scholar] [CrossRef]
- An, K.; Liu, H.; Fu, M.; Qian, M.C.; Yu, Y.; Wu, J.; Xiao, G.; Xu, Y. Identification of the cooked off-flavor in heat-sterilized lychee (Litchi chinensis Sonn.) juice by means of molecular sensory science. Food Chem. 2019, 301, 125282. [Google Scholar] [CrossRef]
- Tian, H.; Xu, X.; Chen, C.; Yu, H. Flavoromics approach to identifying the key aroma compounds in traditional Chinese milk fan. J. Dairy Sci. 2019, 102, 9639–9650. [Google Scholar] [CrossRef]
- Yang, Z.; Baldermann, S.; Watanabe, N. Recent studies of the volatile compounds in tea. Food Res. Int. 2013, 53, 585–599. [Google Scholar] [CrossRef]
- Kraujalyte, V.; Pelvan, E.; Alasalvar, C. Volatile compounds and sensory characteristics of various instant teas produced from black tea. Food Chem. 2016, 194, 864–872. [Google Scholar] [CrossRef]
- Chen, Q.; Zhu, Y.; Dai, W.; Lv, H.; Mu, B.; Li, P.; Tan, J.; Ni, D.; Lin, Z. Aroma formation and dynamic changes during white tea processing. Food Chem. 2019, 274, 915–924. [Google Scholar] [CrossRef]
- Sanlier, N.; Atik, İ.; Atik, A. A minireview of effects of white tea consumption on diseases. Trends Food Sci. Technol. 2018, 82, 82–88. [Google Scholar] [CrossRef]
- Someswararao, C.; Srivastav, P.P. A novel technology for production of instant tea powder from the existing black tea manufacturing process. Innov. Food Sci. Emerg. Technol. 2012, 16, 143–147. [Google Scholar] [CrossRef]
- Wang, L.; Cai, L.S.; Lin, Z.; Zhong, Q.S.; Lv, H.P.; Tan, J.F.; Guo, L. Analysis of aroma compounds in white tea using headspace solid-phase micro-extraction and GC-MS. J. Tea Sci. 2010, 30, 115–123. [Google Scholar]
- Perez-Burillo, S.; Gimenez, R.; Rufian-Henares, J.A.; Pastoriza, S. Effect of brewing time and temperature on antioxidant capacity and phenols of white tea: Relationship with sensory properties. Food Chem. 2018, 248, 111–118. [Google Scholar] [CrossRef] [PubMed]
- Zhang, L.; Ni, H.; Zhu, Y.; Yang, Y.; Li, L.; Jiang, Z.; Fu, P.Z.; Feng, C. Characterization of aromas of instant oolong tea and its counterparts treated with two crude enzymes from Aspergillus niger. J. Food Process. Preserv. 2018, 42, e13500. [Google Scholar] [CrossRef]
- Feng, Z.; Li, Y.; Li, M.; Wang, Y.; Zhang, L.; Wan, X.; Yang, X. Tea aroma formation from six model manufacturing processes. Food Chem. 2019, 285, 347–354. [Google Scholar] [CrossRef]
- Tieman, D.; Taylor, M.; Schauer, N.; Fernie, A.R.; Hanson, A.D.; Klee, H.J. Tomato aromatic amino acid decarboxylases participate in synthesis of the flavor volatiles 2-phenylethanol and 2-phenylacetaldehyde. Proc. Natl. Acad. Sci. USA. 2006, 103, 8287–8292. [Google Scholar] [CrossRef]
- Schuh, C.; Schieberle, P. Characterization of the key aroma compounds in the beverage prepared from Darjeeling black tea: Quantitative differences between tea leaves and infusion. J. Agric. Food Chem. 2006, 54, 916–924. [Google Scholar] [CrossRef]
- Kumazawa, K.; Masuda, H. Identification of potent odorants in different green tea varieties using flavor dilution technique. J. Agric. Food Chem. 2002, 50, 5660–5663. [Google Scholar] [CrossRef]
- Zhu, J.; Chen, F.; Wang, L.; Niu, Y.; Yu, D.; Shu, C.; Chen, H.; Wang, H.; Xiao, Z. Comparison of aroma-active volatiles in Oolong tea infusions using GC-olfactometry, GC-FPD, and GC-MS. J. Agric. Food Chem. 2015, 63, 7499–7510. [Google Scholar] [CrossRef]
- Rigling, M.; Fraatz, M.A.; Trogel, S.; Sun, J.; Zorn, H.; Zhang, Y. Aroma investigation of Chios mastic gum (Pistacia lentiscus variety Chia) using headspace gas chromatography combined with olfactory detection and chiral analysis. J. Agric. Food Chem. 2019, 67, 13420–13429. [Google Scholar] [CrossRef] [PubMed]
- Zhu, J.; Chen, F.; Wang, L.; Niu, Y.; Xiao, Z. Evaluation of the synergism among volatile compounds in Oolong tea infusion by odour threshold with sensory analysis and E-nose. Food Chem. 2017, 221, 1484–1490. [Google Scholar] [CrossRef] [PubMed]
- Atanasova, B.; Thomas-Danguin, T.; Langlois, D.; Nicklaus, S.; Chabanet, C.; Etiévant, P. Perception of wine fruity and woody notes: Influence of peri-threshold odorants. Food Qual. Prefer. 2005, 16, 504–510. [Google Scholar] [CrossRef]
- Qin, Z.; Pang, X.; Chen, D.; Cheng, H.; Hu, X.; Wu, J. Evaluation of Chinese tea by the electronic nose and gas chromatography–mass spectrometry: Correlation with sensory properties and classification according to grade level. Food Res. Int. 2013, 53, 864–874. [Google Scholar] [CrossRef]
- Bult, J.H.F.; Schifferstein, H.N.J.; Roozen, J.P.; Voragen, A.G.J.; Kroeze, J.H.A. The influence of olfactory concept on the probability of detecting sub- and peri-threshold components in a mixture of odorants. Chem. Senses 2001, 26, 459–469. [Google Scholar] [CrossRef] [PubMed]
- Zhang, T.; Ni, H.; Qiu, X.J.; Li, T.; Zhang, L.Z.; Li, L.J.; Jiang, Z.D.; Li, Q.B.; Chen, F.; Zheng, F.P. Suppressive interaction approach for masking stale note of instant ripened Pu-erh tea products. Molecules 2019, 24, 4473. [Google Scholar] [CrossRef]
- El Mountassir, F.; Belloir, C.; Briand, L.; Thomas-Danguin, T.; Le Bon, A.-M. Encoding odorant mixtures by human olfactory receptors. Flavour Fragr. J. 2016, 31, 400–407. [Google Scholar] [CrossRef]
- Kajiya, K.; Inaki, K.; Tanaka, M.; Haga, T.; Kataoka, H.; Touhara, K. Molecular bases of odor discrimination: Reconstitution of olfactory receptors that recognize overlapping sets of odorants. J. Neurosci. 2001, 21, 6018–6025. [Google Scholar] [CrossRef]
- Ni, H.; Hong, P.; Ji, H.F.; Sun, H.; Chen, Y.H.; Xiao, A.F.; Chen, F. Comparative analyses of aromas of fresh, naringinase-treated and resin-absorbed juices of pummelo by GC-MS and sensory evaluation. Flavour Fragr. J. 2015, 30, 245–253. [Google Scholar] [CrossRef]
- Sheibani, E.; Duncan, S.E.; Kuhn, D.D.; Dietrich, A.M.; O’Keefe, S.F. SDE and SPME analysis of flavor compounds in Jin Xuan Oolong tea. J. Food Sci. 2016, 81, C348–C358. [Google Scholar] [CrossRef]
Sample Availability: Samples of the compounds are available from the authors. |



| No | Volatile | RTX-5MS | RTX-WAX | Characteristic Ion Fragment | Reference e | Standard Curve f | R2 | Range (mg/L) | CF g | Concentration (mg/L) h | ||
|---|---|---|---|---|---|---|---|---|---|---|---|---|
| RI a | RI b | RI c | RI d | |||||||||
| alcohols | ||||||||||||
| 1 | 3-hexanol | - | 797 | - | 1211 | 56 69 84 | Std MS | Y = 1.1043X − 0.0868 | 0.9906 | 0.1–10 | 0.732 | 2.7 ± 0.6 |
| 2 | benzyl alcohol | 1036 | 1037 | 1874 | 1877 | 108 79 107 | Std MS R | Y = 0.1963X − 0.4311 | 0.9970 | 0.5–200 | 0.541 | 179.7 ± 9.7 |
| 3 | linalool | 1100 | 1100 | 1552 | 1552 | 71 41 93 | Std MS R | Y = 2.2918X − 0.1747 | 0.9996 | 0.5–200 | 0.441 | 128.7 ± 3.4 |
| 4 | Hotrienol i | 1105 | 1107 | - | 1623 | 71 83 43 | MS R | internal standard method | 70.0 ± 3.5 | |||
| 5 | 3-octen-2-ol | 1108 | - | 1590 | - | 81 39 110 | Std MS R | Y = 3.6322X − 0.2084 | 0.9991 | 0.5–100 | 0.277 | 3.3 ± 0.0 |
| 6 | phenylethyl alcohol | 1114 | 1114 | 1907 | 1912 | 91 92 122 | Std MS R | Y = 7.6178X − 0.5345 | 0.9995 | 0.5–100 | 0.132 | 19.4 ± 1.1 |
| 7 | α-terpineol | 1192 | 1190 | 1695 | 1692 | 59 93 121 | Std MS R | Y = 1.2469X − 0.0785 | 0.9994 | 0.5–100 | 0.808 | 63.0 ± 2.1 |
| 8 | geraniol | 1259 | 1260 | 1854 | 1854 | 69 41 68 | Std MS R | Y = 1.6663X − 0.1813 | 0.9994 | 0.5–100 | 0.603 | 64.7 ± 4.5 |
| 9 | 2,4-ditert-butylphenol | 1516 | 1513 | - | 2321 | 191 57 206 | Std MS R | Y = 17.5469X + 0.1502 | 0.9998 | 0.1–10 | 0.057 | 0.2 ± 0.1 |
| 10 | cedrol | 1608 | 1608 | - | 2112 | 95 150 151 | Std MS R | Y = 1.1834X − 0.0940 | 0.9995 | 0.5–100 | 0.867 | 1.0 ± 0.0 |
| aldehydes | ||||||||||||
| 1 | benzeneacetaldehyde | 1044 | 1044 | 1628 | 1626 | 91 92 120 | Std MS R | Y = 1.3974X − 0.0543 | 0.9995 | 0.5–100 | 0.719 | 38.0 ± 2.2 |
| 2 | safranal | 1201 | 1201 | 1631 | 1648 | 107 91 121 | Std MS R | Y = 2.6516X − 0.0499 | 0.9998 | 0.5–100 | 0.378 | 5.0 ± 0.2 |
| ketones | ||||||||||||
| 1 | 2-hexanone | - | 792 | - | 1098 | 43 58 57 | Std MS | Y = 0.2404X − 0.2621 | 0.9990 | 0.5–100 | 0.264 | 31.4 ± 2.9 |
| 2 | trans-β-damascenone | 1387 | 1386 | 1810 | 1810 | 177 69 41 | Std MS R | Y = 1.3702X − 0.0799 | 0.9998 | 0.5–100 | 0.735 | 5.9 ± 0.2 |
| 3 | trans-β-ionone | 1490 | 1490 | 1930 | 1926 | 177 43 41 | Std MS R | Y = 7.7843X − 0.1273 | 0.9995 | 0.1–10 | 0.129 | 0.2 ± 0.0 |
| 4 | cis-jasmin lactone i | 1498 | 1497 | 2207 | 2226 | 99 71 55 | MS R | internal standard method | 24.6 ± 0.6 | |||
| oxides | ||||||||||||
| 1 | cis-linalool oxide | 1072 | 1073 | 1439 | 1438 | 59 43 94 | Std MS R | Y = 2.8420X − 0.0683 | 0.9997 | 0.5–100 | 0.354 | 9.0 ± 0.3 |
| 2 | trans-linalool oxide | 1088 | 1088 | 1468 | 1471 | 59 94 43 | Std MS R | Y = 4.3092X − 0.0727 | 0.9997 | 0.5–100 | 0.233 | 7.0 ±0.2 |
| 3 | cis-pyranoid-linalool oxide i | 1170 | 1167 | 1738 | 1742 | 68 94 43 | MS R | internal standard method | 7.4 ± 0.2 | |||
| 4 | β-ionone epoxide i | 1491 | 1488 | 1982 | 2002 | 123 43 135 | MS R | internal standard method | 16.2 ± 0.6 | |||
| 5 | caryophyllene oxide | 1615 | 1613 | - | 2014 | 43 41 79 | Std MS R | Y = 3.7303X − 0.3035 | 0.9995 | 0.5–100 | 0.271 | 3.2 ± 0.1 |
| others | ||||||||||||
| 1 | 1H-1-ethyl-pyrrole | 815 | 812 | - | - | 80 95 67 | Std MS R | Y = 1.0108X − 0.0079 | 0.9996 | 0.5–100 | 0.990 | 3.8 ± 0.4 |
| 2 | Coumarin i | 1225 | 1224 | - | - | 118 146 90 | MS R | internal standard method | 45.3 ± 2.3 | |||
| 3 | camphene | 1230 | - | - | 1059 | 93 121 79 | Std MS R | Y = 0.2809X + 0.0015 | 0.9999 | 0.5–100 | 3.550 | 42.1 ± 3.1 |
| 4 | indole | 1299 | 1295 | 2345 | 2414 | 117 90 89 | Std MS R | Y = 4.5914X − 0.4733 | 0.9994 | 0.5–100 | 0.221 | 6.5 ± 0.3 |
| No | RI | Volatiles | Aroma Description a | Aroma Intensity b | FD Factor c | Threshold (μg/L) d | OAV | Aroma Description e |
|---|---|---|---|---|---|---|---|---|
| 1 | 1031 | 3-hexanol | roasted | 3.7 | 4 | NF f | - | fruity, alcoholic |
| 2 | 1072 | 2-hexaone | floral, sweet | 4.7 | 16 | NF f | - | fruity |
| 3 | 1075 | camphene | green | 4.7 | 64 | 450 [31] | 94 | green, camphoreous |
| 4 | 1442 | cis-linalool oxide | fruity | 3.0 | 4 | 320 [30] | 28 | floral, woody |
| 5 | 1460 | trans-linalool oxide | fruity, floral | 1.7 | 4 | 320 [10] | 22 | floral |
| 6 | 1535 | linalool | floral | 5.0 | 64 | 6 [10] | 21451 | citrus, floral, sweet |
| 7 | 1599 | hotrienol | green, woody | 2.3 | 4 | 110 [10] | 637 g | floral, green, woody |
| 8 | 1655 | benzeneacetaldehyde | sweet, honey | 4.7 | 16 | 4 [10] | 9505 | sweet, floral, honey-like |
| 9 | 1687 | safranal | green, woody | 3.7 | 16 | NF f | - | woody |
| 10 | 1735 | α-terpineol | green | 1.3 | 1 | 330 [11] | 191 | floral |
| 11 | 1832 | trans-β-damascenone | sweet | 5.0 | 64 | 0.0013 [30] | 4546692 | honey, sweet |
| 12 | 1859 | geraniol | sweet, floral | 2.3 | 4 | 40 [11] | 1616 | green, floral |
| 13 | 1876 | benzyl alcohol | floral | 2.0 | 4 | 10000 [10] | 18 | floral, rose-like |
| 14 | 1909 | phenylethyl alcohol | floral | 1.2 | 1 | 1000 [10] | 19 | floral, rose-like |
| 15 | 1930 | trans-β-ionone | woody | 1.4 | 1 | 7 [11] | 29 | floral, woody |
| 16 | 2350 | indole | floral | 0.9 | 1 | 500 [11] | 13 | animal-like |
© 2020 by the authors. Licensee MDPI, Basel, Switzerland. This article is an open access article distributed under the terms and conditions of the Creative Commons Attribution (CC BY) license (http://creativecommons.org/licenses/by/4.0/).
Share and Cite
Ni, H.; Jiang, Q.-X.; Zhang, T.; Huang, G.-L.; Li, L.-J.; Chen, F. Characterization of the Aroma of an Instant White Tea Dried by Freeze Drying. Molecules 2020, 25, 3628. https://doi.org/10.3390/molecules25163628
Ni H, Jiang Q-X, Zhang T, Huang G-L, Li L-J, Chen F. Characterization of the Aroma of an Instant White Tea Dried by Freeze Drying. Molecules. 2020; 25(16):3628. https://doi.org/10.3390/molecules25163628
Chicago/Turabian StyleNi, Hui, Qing-Xiang Jiang, Ting Zhang, Gao-Ling Huang, Li-Jun Li, and Feng Chen. 2020. "Characterization of the Aroma of an Instant White Tea Dried by Freeze Drying" Molecules 25, no. 16: 3628. https://doi.org/10.3390/molecules25163628
APA StyleNi, H., Jiang, Q.-X., Zhang, T., Huang, G.-L., Li, L.-J., & Chen, F. (2020). Characterization of the Aroma of an Instant White Tea Dried by Freeze Drying. Molecules, 25(16), 3628. https://doi.org/10.3390/molecules25163628

