Novel Methodologies for Chemical Activation in Organic Synthesis under Solvent-Free Reaction Conditions
Abstract
1. Introduction
2. Mechanochemistry
2.1. Catalyzed Reactions under Solvent-Free Ball-Milling Conditions
2.2. Enzymatic Reactions under Solvent-Free Ball-Milling Conditions
- -
- Waste generation is minimized;
- -
- Atom economy is maximized;
- -
- Formation of toxic products is avoided;
- -
- Functional and safe products are produced;
- -
- The use of auxiliary substances is minimized;
- -
- Energy consumption is reduced;
- -
- Renewable materials are employed;
- -
- The use of derivatives is eliminated or reduced;
- -
- Catalytic reagents are employed;
- -
- Biodegradable products are usually obtained.
3. Microwave Activation under Solvent-Free Conditions
4. Photocatalysis under Solvent-Free Conditions
Funding
Acknowledgments
Conflicts of Interest
References
- Anastas, P.T.; Warner, J.C. Green Chemistry: Theory and Practice; Oxford University Press: Oxford, UK, 1998. [Google Scholar]
- Tanaka, K.; Toda, F. Solvent-Free Organic Synthesis. Chem. Rev. 2000, 100, 1025–1074. [Google Scholar] [CrossRef] [PubMed]
- Sheldon, R.A. Green solvents for sustainable organic synthesis: State of the art. Green Chem. 2005, 7, 267–278. [Google Scholar] [CrossRef]
- Krištofíková, D.; Modrocká, V.; Mečiarová, M.; Šebesta, R. Green Asymmetric Organocatalysis. ChemSusChem 2020, 13, 2828–2858. [Google Scholar] [CrossRef] [PubMed]
- Kerru, N.; Maddila, S.; Jonnalagadda, S.B. Design of Carbon-carbon and Carbon-heteroatom Bond Formation Reactions under Green Conditions. Curr. Org. Chem. 2019, 23, 3154–3190. [Google Scholar] [CrossRef]
- Zangade, S.; Patil, P. A Review on Solvent-Free Methods in Organic Synthesis. Curr. Org. Chem. 2019, 23, 2295–2318. [Google Scholar] [CrossRef]
- Sarkar, A.; Santra, S.; Kundu, S.K.; Hajra, A.; Zyryanov, G.V.; Chupakhin, O.N.; Charushin, V.N.; Majee, A. A decade update on solvent and catalyst-free neat organic reactions: A step forward towards sustainability. Green Chem. 2016, 18, 4475–4525. [Google Scholar] [CrossRef]
- Gawande, M.B.; Bonifácio, V.D.B.; Luque, R.; Branco, P.S.; Varma, R.S. Solvent-Free and Catalysts-Free Chemistry: A Benign Pathway to Sustainability. ChemSusChem 2014, 7, 24–44. [Google Scholar] [CrossRef]
- Hernández, J.G.; Avila-Ortiz, C.G.; Juaristi, E. Useful Chemical Activation Alternatives in Solvent-Free Organic Reactions. In Comprehensive Organic Synthesis, 2nd ed.; Knochel, P., Molander, G.A., Eds.; Elsevier: Amsterdam, The Netherlands, 2014; pp. 287–314. [Google Scholar] [CrossRef]
- Hernández, J.G.; Juaristi, E. Recent efforts directed to the development of more sustainable asymmetric organocatalysis. Chem. Commun. 2012, 48, 5396–5409. [Google Scholar] [CrossRef]
- Anastas, P.; Eghbali, N. Green Chemistry: Principles and Practice. Chem. Soc. Rev. 2010, 39, 301–312. [Google Scholar] [CrossRef]
- Clark, J.H. Green chemistry: Today (and tomorrow). Green Chem. 2006, 8, 17–21. [Google Scholar] [CrossRef]
- Varma, R.S.; Ju, Y. Solventless Reactions. In Green Separation Processes: Fundamentals and Applications; Afonso, C.A.M., Crespo, J.P.S.G., Eds.; Wiley-VCH: Weinheim, Germany, 2005; pp. 53–87. [Google Scholar]
- Tanaka, K. Solvent-free Organic Synthesis, 2nd ed.; Wiley-VCH: Weinheim, Germany, 2009. [Google Scholar] [CrossRef]
- Clark, J.H. Green chemistry: Challenges and opportunities. Green Chem. 1999, 1, 1–8. [Google Scholar] [CrossRef]
- Takacs, L. The historical development of mechanochemistry. Chem. Soc. Rev. 2013, 42, 7649–7659. [Google Scholar] [CrossRef] [PubMed]
- Pérez-Venegas, M.; Juaristi, E. Mechanochemical and Mechanoenzymatic Synthesis of Pharmacologically Active Compounds: A Green Perspective. ACS Sustain. Chem. Eng. 2020, 8, 8881–8893. [Google Scholar] [CrossRef]
- James, S.L.; Adams, C.J.; Bolm, C.; Braga, D.; Collier, P.; Friščić, T.; Grepioni, F.; Harris, K.D.M.; Hyett, G.; Jones, W.; et al. Mechanochemistry: Opportunities for new and cleaner synthesis. Chem. Soc. Rev. 2012, 41, 413–447. [Google Scholar] [CrossRef]
- Tan, D.; Friščić, T. Mechanochemistry for Organic Chemists: An Update. Eur. J. Org. Chem. 2018, 18–33. [Google Scholar] [CrossRef]
- Egorov, I.N.; Santra, S.; Kopchuk, D.S.; Kovalev, I.S.; Zyryanov, G.V.; Majee, A.; Ranu, B.; Rusinov, V.L.; Chupakhin, O.N. Ball milling: An efficient and green approach for asymmetric organic syntheses. Green Chem. 2020, 22, 302–315. [Google Scholar] [CrossRef]
- Friščić, T.; Mottillo, C.; Titi, H.M. Mechanochemistry for Synthesis. Angew. Chem. Int. Ed. 2020, 59, 1018–1029. [Google Scholar] [CrossRef]
- Avila-Ortiz, C.G.; Pérez-Venegas, M.; Vargas-Caporali, J.; Juaristi, E. Recent applications of mechanochemistry in enantioselective synthesis. Tetrahedron Lett. 2019, 60, 1749–1757. [Google Scholar] [CrossRef]
- Colacino, E.; Porcheddu, A.; Charnay, C.; Delogu, F. From enabling technologies to medicinal mechanochemistry: An eco-friendly access to hydantoin-based Active Pharmaceutical Ingredients. React. Chem. Eng. 2019, 4, 1179–1188. [Google Scholar] [CrossRef]
- Tan, D.; García, F. Main group mechanochemistry: From curiosity to established protocols. Chem. Soc. Rev. 2019, 48, 2274–2292. [Google Scholar] [CrossRef]
- Štrukil, V. Mechanochemical Organic Synthesis: The Art of Making Chemistry Green. Synlett 2018, 29, 1281–1288. [Google Scholar] [CrossRef]
- Hernández, J.G.; Bolm, C. Altering Product Selectivity by Mechanochemistry. J. Org. Chem. 2017, 82, 4007–4019. [Google Scholar] [CrossRef] [PubMed]
- Zhao, S.; Li, Y.; Liu, C.; Zhao, Y. Recent advances in mechanochemical C-H functionalization reactions. Tetrahedron Lett. 2018, 59, 317–324. [Google Scholar] [CrossRef]
- Do, J.-L.; Friščić, T. Mechanochemistry: A Force of Synthesis. ACS Cent. Sci. 2017, 3, 13–19. [Google Scholar] [CrossRef] [PubMed]
- Achar, T.K.; Bose, A.; Mal, P. Mechanochemical synthesis of small organic molecules. Beilstein J. Org. Chem. 2017, 13, 1907–1931. [Google Scholar] [CrossRef]
- Machuca, E.; Juaristi, E. Asymmetric organocatalytic reactions under ball milling. In Ball Milling towards Green Synthesis: Applications, Projects, Challenges; Brindaban, R., Stolle, A., Eds.; Royal Society of Chemistry: Cambridge, UK, 2015; pp. 81–95. [Google Scholar]
- List, B.; Lerner, R.A.; Barbas, C.F. Proline-Catalyzed Direct Asymmetric Aldol Reactions. J. Am. Chem. Soc. 2000, 122, 2395–2396. [Google Scholar] [CrossRef]
- Ahrendt, K.A.; Borths, C.J.; MacMillan, D.W.C. New Strategies for Organic Catalysis: The First Highly Enantioselective Organocatalytic Diels-Alder Reaction. J. Am. Chem. Soc. 2000, 122, 4243–4244. [Google Scholar] [CrossRef]
- MacMillan, D.W.C. The advent and development of organocatalysis. Nature 2008, 455, 304–308. [Google Scholar] [CrossRef]
- Movassaghi, M.; Jacobsen, E.N. The Simplest “Enzyme”. Science 2002, 298, 1904–1905. [Google Scholar] [CrossRef]
- Berkessel, A.; Gröger, H. Asymmetric Organocatalysis: From Biomimetic Concepts to Applications in Asymmetric Synthesis; Wiley-VCH: Weinheim, Germany, 2005. [Google Scholar]
- Available online: https://www.google.com/search?client=firefox-b-d&q=scifinder (accessed on 30 June 2020).
- Lu, H.; Lv, J.; Zhou, C.; Kato, T.; Liu, Y.; Maruoka, K. Practical Synthesis of High-Performance Amino Tf-Amide Organocatalysts for Asymmetric Aldol Reactions. Asian J. Org. Chem. 2020, 9, 206–209. [Google Scholar] [CrossRef]
- Martins, R.S.; Pereira, M.P.; de Castro, P.P.; Bombonato, F.I. Design and preparation of a novel prolinamide-based organocatalyst for the solvent-free asymmetric aldol reaction. Tetrahedron 2020, 76, 130855. [Google Scholar] [CrossRef]
- Bolm, J.; Reyes-Rodriguez, G.J.; Tobiesen, H.N.; Lamhauge, J.N.; Iversen, M.V.; Barlose, C.L.; Hammer, N.; Rusbjerg, M.; Jorgensen, K.A. Umpolung Strategy for α-Functionalization of Aldehydes for the Addition of Thiols and other Nucleophiles. Angew. Chem. Int. Ed. 2019, 58, 17856–17862. [Google Scholar] [CrossRef] [PubMed]
- Kim, H.; Gerosa, G.; Aronow, J.; Kasaplar, P.; Ouyang, J.; Lingnau, J.B.; Guerry, P.; Farès, C.; List, B. A multi-substrate screening approach for the identification of a broadly applicable Diels-Alder catalyst. Nat. Commun. 2019, 10, 1–6. [Google Scholar] [CrossRef] [PubMed]
- Zhao, L.; Raabe, G.; Enders, D. Asymmetric Synthesis of 2,2-Disubstituted Benzofuranones through an Organocatalytic Alkylation with Nitroallylic Acetates. Synthesis 2019, 51, 1391–1398. [Google Scholar] [CrossRef]
- Kaur, J.; Chimni, S.S. Catalytic synthesis of 3-aminooxindoles via addition to isatin imine: An update. Org. Biomol. Chem. 2018, 16, 3328–3347. [Google Scholar] [CrossRef]
- Hammer, N.; Erickson, J.D.; Lauridsen, V.H.; Jakobsen, J.B.; Hansen, B.K.; Jacobsen, K.M.; Poulsen, T.B.; Jorgensen, K.A. Catalytic Asymmetric [4+2]-Cycloadditions Using Tropolones: Developments, Scope, Transformations, and Bioactivity. Angew. Chem. Int. Ed. 2018, 57, 13216–13220. [Google Scholar] [CrossRef]
- Donslund, B.S.; Monleon, A.; Palazzo, T.A.; Christensen, M.L.; Dahlgaard, A.; Erickson, J.D.; Jorgensen, K.A. Organocatalytic Enantioselective Higher-Order Cycloadditions of In Situ Generated Amino Isobenzofulvenes. Angew. Chem. Int. Ed. 2018, 57, 1246–1250. [Google Scholar] [CrossRef]
- Zhao, L.; Li, S.; Wang, L.; Yu, S.; Raabe, G.; Enders, D. Asymmetric Synthesis of Cyclopentene-Fused Tetrahydroquinolines via N-Heterocyclic Carbene Catalyzed Domino Reactions. Synthesis 2018, 50, 2523–2532. [Google Scholar] [CrossRef]
- Jafari, E.; Chauhan, P.; Kumar, M.; Chen, X.-Y.; Li, S.; von Essen, C.; Rissanen, K.; Enders, D. Organocatalytic Asymmetric Synthesis of Trifluoromethylated Tetrahydrocarbazoles by a Vinylogous Michael/Aldol Formal [4+2] Annulation. Eur. J. Org. Chem. 2018, 2462–2465. [Google Scholar] [CrossRef]
- Kumar, M.; Chauhan, P.; Bailey, S.J.; Jafari, E.; von Essen, C.; Rissanen, K.; Enders, D. Organocatalytic Oxa-Michael/Michael/Michael/Aldol Condensation Quadruple Domino Sequence: Asymmetric Synthesis of Tricyclic Chromanes. Org. Lett. 2018, 20, 1232–1235. [Google Scholar] [CrossRef]
- Palazzo, T.A.; Mose, R.; Jørgensen, K.A. Cycloaddition Reactions: Why Is It So Challenging To Move from Six to Ten Electrons? Angew. Chem. Int. Ed. 2017, 56, 10033–10038. [Google Scholar] [CrossRef] [PubMed]
- Triandafillidi, I.; Raftopoulou, M.; Savvidou, A.; Kokotos, C.G. Organocatalytic Synthesis of Lactones by the Oxidation of Alkenoic Acids. ChemCatChem 2017, 9, 4120–4124. [Google Scholar] [CrossRef]
- Obregón-Zúñiga, A.; Milán, M.; Juaristi, E. Improving the Catalytic Performance of (S)-Proline as Organocatalyst in Asymmetric Aldol Reactions in the Presence of Solvate Ionic Liquids: Involvement of a Supramolecular Aggregate. Org. Lett. 2017, 19, 1108–1111. [Google Scholar] [CrossRef] [PubMed]
- Jalani, H.; Karagöz, A.; Tsogoeva, S. Synthesis of Substituted 1,2,3-Triazoles via Metal-Free Click Cycloaddition Reactions and Alternative Cyclization Methods. Synthesis 2017, 49, 29–41. [Google Scholar] [CrossRef]
- Hepburn, H.B.; Dell’Amico, L.; Melchiorre, P. Enantioselective Vinylogous Organocascade Reactions. Chem. Record 2016, 16, 1787–1806. [Google Scholar] [CrossRef]
- Kaur, J.; Chauhan, P.; Chimni, S.S. α,α-Dicyanoolefins: Versatile substrates in organocatalytic asymmetric transformations. Org. Biomol. Chem. 2016, 14, 7832–7847. [Google Scholar] [CrossRef]
- Held, F.E.; Tsogoeva, S.B. Asymmetric cycloaddition reactions catalyzed by bifunctional thiourea and squaramide organocatalysts: Recent advances. Catal. Sci. Technol. 2016, 6, 645–667. [Google Scholar] [CrossRef]
- Donslund, B.S.; Johansen, T.K.; Poulsen, P.H.; Halskov, K.S.; Jørgensen, K.A. The Diarylprolinol Silyl Ethers: Ten Years After. Angew. Chem. Int. Ed. 2015, 54, 13860–13874. [Google Scholar] [CrossRef]
- McCort-Tranchepain, I.; Petit, M.; Dalko, P.I. Organocatalysis. Handb. Environ. Chem. 2010, 255–318. [Google Scholar] [CrossRef]
- Rodríguez, B.; Rantanen, T.; Bolm, C. Solvent-Free Asymmetric Organocatalysis in a Ball Mill. Angew. Chem. Int. Ed. 2006, 45, 6924–6926. [Google Scholar] [CrossRef]
- Rodríguez, B.; Bruckmann, A.; Bolm, C. A Highly Efficient Asymmetric Organocatalytic Aldol Reaction in a Ball Mill. Chem. Eur. 2007, 13, 4710–4722. [Google Scholar] [CrossRef] [PubMed]
- Hernández, J.G.; Juaristi, E. Asymmetric Aldol Reaction Organocatalyzed by (S)-Proline-Containing Dipeptides: Improved Stereoinduction under Solvent-Free Conditions. J. Org. Chem. 2011, 76, 1464–1467. [Google Scholar] [CrossRef] [PubMed]
- Hernández, J.G.; Juaristi, E. Efficient ball-mill procedure in the ‘green’ asymmetric aldol reaction organocatalyzed by (S)-proline-containing dipeptides in the presence of water. Tetrahedron 2011, 67, 6953–6959. [Google Scholar] [CrossRef]
- Hernández, J.G.; García-López, V.; Juaristi, E. Solvent-free asymmetric aldol reaction organocatalyzed by (S)-proline-containing thiodipeptides under ball-milling conditions. Tetrahedron 2012, 68, 92–97. [Google Scholar] [CrossRef]
- Machuca, E.; Juaristi, E. Organocatalytic activity of α,α-dipeptide derivatives of (S)-proline in the asymmetric aldol reaction in absence of solvent. Evidence for non-covalent π-π interactions in the transition state. Tetrahedron Lett. 2015, 56, 1144–1148. [Google Scholar] [CrossRef]
- Machuca, E.; Rojas, Y.; Juaristi, E. Synthesis and Evaluation of (S)-Proline-Containing α,β-Dipeptides as Organocatalysts in Solvent-Free Asymmetric Aldol Reactions Under Ball-Milling Conditions. Asian J. Org. Chem. 2015, 4, 46–53. [Google Scholar] [CrossRef]
- Dayaker, G.; Tan, D.; Biggins, N.; Shelam, A.; Do, J.-L.; Katsenis, A.D.; Friščić, T. Catalytic room-temperature C-N coupling of amides and isocyanates using mechanochemistry. ChemSusChem 2020, 13, 2966–2972. [Google Scholar] [CrossRef]
- Greenberg, A.; Breneman, C.M.; Liebman, J.F. The Amide Linkage: Structural Significance in Chemistry, Biochemistry, and Materials Science; Wiley & Sons: New York, NY, USA, 2000. [Google Scholar]
- Jaradat, D.M.M. Thirteen decades of peptide synthesis: Key developments in solid phase peptide synthesis and amide bond formation utilized in peptide ligation. Amino Acids 2017, 50, 39–68. [Google Scholar] [CrossRef]
- Hollanders, K.; Maes, B.; Ballet, S. A New Wave of Amide Bond Formations for Peptide Synthesis. Synthesis 2019, 51, 2261–2277. [Google Scholar] [CrossRef]
- Rhodes, C.A.; Pei, D. Bicyclic Peptides as Next-Generation Therapeutics. Chem. Eur. J. 2017, 23, 12690–12703. [Google Scholar] [CrossRef]
- Zuconelli, C.R.; Brock, R.; Adjobo-Hermans, M.J.W. Linear Peptides in Intracellular Applications. Curr. Med. Chem. 2017, 24, 1862–1873. [Google Scholar] [CrossRef]
- Isidro-Llobet, A.; Kenworthy, M.N.; Mukherjee, S.; Kopach, M.E.; Wegner, K.; Gallou, F.; Smith, A.G.; Roschangar, F. Sustainability Challenges in Peptide Synthesis and Purification: From R&D to Production. J. Org. Chem. 2019, 84, 4615–4628. [Google Scholar] [CrossRef]
- Varnava, K.G.; Sarojini, V. A Review of the Literature on Making Solid Phase Peptide Synthesis Greener. Chem. Asian J. 2019, 14, 1088–1097. [Google Scholar] [CrossRef] [PubMed]
- Fuse, S.; Otake, Y.; Nakamura, H. Peptide Synthesis Utilizing Micro-flow Technology. Chem. Asian J. 2018, 13, 3818–3832. [Google Scholar] [CrossRef] [PubMed]
- Ramesh, S.; de la Torre, B.G.; Albericio, F.; Kruger, H.G.; Govender, T. Microwave-Assisted Synthesis of Antimicrobial Peptides. In Antimicrobial Peptides Methods in Molecular Biology; Hansen, P., Ed.; Humana Press: New York, NY, USA, 2017. [Google Scholar]
- Cavani, F.; Trifirò, F.; Vaccari, A. Hydrotalcite-type anionic clays: Preparation, properties and applications. Catal. Today 1991, 11, 173–301. [Google Scholar] [CrossRef]
- Landeros, J.M.; Juaristi, E. Mechanochemical Synthesis of Dipeptides Using Mg-Al Hydrotalcite as Activating Agent under Solvent-Free Reaction Conditions. Eur. J. Org. Chem. 2017, 687–694. [Google Scholar] [CrossRef]
- Wang, C.; Hill, M.; Theard, B.; Mack, J. A solvent-free mechanochemical synthesis of polyaromatic hydrocarbon derivatives. RSC Adv. 2019, 9, 27888–27891. [Google Scholar] [CrossRef]
- Gu, Z.-Z.; Guo, F.-C.; Zhang, P.; Qin, Y.-J.; Guo, Z.-X. Solvent-free mechanochemical synthesis of diacylfuroxans. Tetrahedron Lett. 2019, 60, 1687–1690. [Google Scholar] [CrossRef]
- Treesa, G.S.S.; Saranya, S.; Meera, G.; Anilkumar, G. Recent Advances and Perspectives in the Silver-catalyzed Multi-component Reactions. Curr. Org. Chem. 2020, 24, 291–313. [Google Scholar] [CrossRef]
- Vavsari, V.F.; Shakeri, P.; Balalaie, S. Application of Chiral Isocyanides in Multicomponent Reactions. Curr. Org. Chem. 2020, 24, 162–183. [Google Scholar] [CrossRef]
- Xu, X.; Wei, H.; Feng, H. Synthesis of functionalized oxazolidines by multicomponent reactions of 1,2-amino alcohols (microreview). Chem. Heterocycl. Compd. 2020, 56, 464–466. [Google Scholar] [CrossRef]
- Lambruschini, C.; Moni, L.; Banfi, L. Diastereoselectivity in Passerini reactions of chiral aldehydes and in Ugi reactions of chiral cyclic imines. Eur. J. Org. Chem. 2020, 3766–3778. [Google Scholar] [CrossRef]
- Paul, B.; Maji, M.; Chakrabarti, K.; Kundu, S. Tandem transformations and multicomponent reactions utilizing alcohol following dehydrogenation strategy. Org. Biomol. Chem. 2020, 18, 2193–2214. [Google Scholar] [CrossRef] [PubMed]
- Insuasty, D.; Castillo, J.; Becerra, D.; Rojas, H.; Abonia, R. Synthesis of Biologically Active Molecules through Multicomponent Reactions. Molecules 2020, 25, 505. [Google Scholar] [CrossRef] [PubMed]
- Neetha, M.; Rohit, K.R.; Saranya, S.; Anilkumar, G. Zinc-Catalysed Multi-Component Reactions: An Overview. ChemistrySelect 2020, 5, 1054–1070. [Google Scholar] [CrossRef]
- Rocha, R.O.; Rodrigues, M.O.; Neto, B.A.D. Review on the Ugi Multicomponent Reaction Mechanism and the Use of Fluorescent Derivatives as Functional Chromophores. ACS Omega 2020, 5, 972–979. [Google Scholar] [CrossRef] [PubMed]
- Graebin, C.S.; Ribeiro, F.V.; Rogério, K.R.; Kümmerle, A.E. Multicomponent Reactions for the Synthesis of Bioactive Compounds: A Review. Curr. Org. Synth. 2019, 16, 855–899. [Google Scholar] [CrossRef]
- Leonardi, M.; Villacampa, M.; Menéndez, J.C. Multicomponent mechanochemical synthesis. Chem. Sci. 2018, 9, 2042–2064. [Google Scholar] [CrossRef]
- Polindara-García, L.A.; Juaristi, E. Synthesis of Ugi 4-CR and Passerini 3-CR Adducts under Mechanochemical Activation. Eur. J. Org. Chem. 2016, 1095–1102. [Google Scholar] [CrossRef]
- Ali El-Remaily, M.A.E.A.A.; Soliman, A.M.M.; Elhady, O.M. Green Method for the Synthetic Ugi Reaction by Twin Screw Extrusion without a Solvent and Catalyst. ACS Omega 2020, 5, 6194–6198. [Google Scholar] [CrossRef]
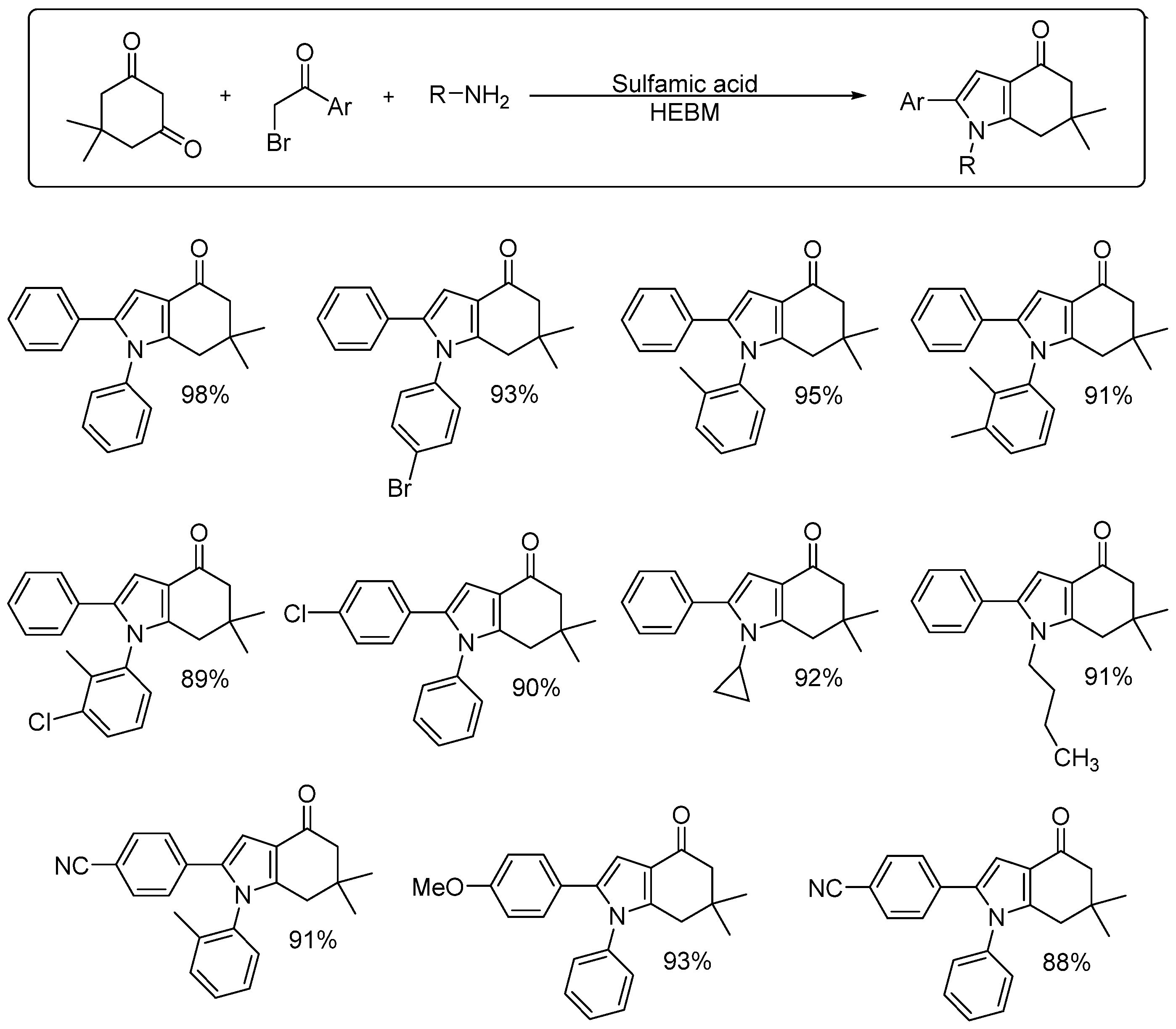
- Lambat, T.L.; Abdala, A.A.; Mahmood, S.; Ledade, P.V.; Chaudhary, R.G.; Banerjee, S. Sulfamic acid promoted one-pot multicomponent reaction: A facile synthesis of 4-oxo-tetrahydroindoles under ball milling conditions. RSC Adv. 2019, 9, 39735–39742. [Google Scholar] [CrossRef]
- Otten, L.G.; Hollmann, F.; Arends, I.W.C.E. Enzyme engineering for enantioselectivity: From trial-and-error to rational design? Trends Biotechnol. 2010, 28, 46–54. [Google Scholar] [CrossRef]
- Hudlicky, T.; Reed, J.W. Applications of biotransformations and biocatalysis to complexity generation in organic synthesis. Chem. Soc. Rev. 2009, 38, 3117–3132. [Google Scholar] [CrossRef] [PubMed]
- Wegman, M.A.; Janssen, M.H.A.; van Rantwijk, F.; Sheldon, R.A. Towards Biocatalytic Synthesis of β-Lactam Antibiotics. Adv. Synth. Catal. 2001, 343, 559–576. [Google Scholar] [CrossRef]
- Koeller, K.M.; Wong, C.-H. Enzymes for chemical synthesis. Nature 2001, 409, 232–240. [Google Scholar] [CrossRef] [PubMed]
- Jones, J.B. Enzymes in Organic Synthesis. Tetrahedron 1986, 42, 3351–3403. [Google Scholar] [CrossRef]
- Sheldon, R.A.; Brady, D. Broadening the Scope of Biocatalysis in Sustainable Organic Synthesis. ChemSusChem 2019, 12, 2859–2881. [Google Scholar] [CrossRef]
- Hönig, M.; Sondermann, P.; Turner, N.J.; Carreira, E.M. Enantioselective Chemo- and Biocatalysis: Partners in Retrosynthesis. Angew. Chem. Int. Ed. 2017, 56, 8942–8973. [Google Scholar] [CrossRef]
- Sugai, T.; Higashibayashi, S.; Hanaya, K. Recent examples of the use of biocatalysts with high accessibility and availability in natural product synthesis. Tetrahedron 2018, 74, 3469–3487. [Google Scholar] [CrossRef]
- Dwivedee, B.P.; Soni, S.; Sharma, M.; Bhaumik, J.; Laha, J.K.; Banerjee, U.C. Promiscuity of Lipase-Catalyzed Reactions for Organic Synthesis: A Recent Update. ChemistrySelect 2018, 3, 2441–2466. [Google Scholar] [CrossRef]
- Lima, R.N.; dos Anjos, C.S.; Orozco, E.V.M.; Porto, A.L.M. Versatility of Candida antarctica lipase in the amide bond formation applied in organic synthesis and biotechnological processes. Mol. Catal. 2019, 466, 7–105. [Google Scholar] [CrossRef]
- Guajardo, N.V.; Domínguez de María, H.P. Continuous biocatalysis in environmentally-friendly media: A triple synergy for future sustainable processes. ChemCatChem 2019, 11, 3128–3137. [Google Scholar] [CrossRef]
- Itoh, T. Ionic Liquids as Tool to Improve Enzymatic Organic Synthesis. Chem. Rev. 2017, 117, 10567–10607. [Google Scholar] [CrossRef] [PubMed]
- Pätzold, M.; Siebenhaller, S.; Kara, S.; Liese, A.; Syldatk, C.; Holtmann, D. Deep Eutectic Solvents as Efficient Solvents in Biocatalysis. Trends Biotechnol. 2019, 37, 943–959. [Google Scholar] [CrossRef]
- Duangkamol, C.; Jaita, S.; Wangngae, S.; Phakhodee, W.; Pattarawarapan, M. An efficient mechanochemical synthesis of amides and dipeptides using 2,4,6-trichloro-1,3,5-triazine and PPh3. RSC Adv. 2015, 5, 52624–52628. [Google Scholar] [CrossRef]
- Hernández, J.G.; Frings, M.; Bolm, C. Mechanochemical Enzymatic Kinetic Resolution of Secondary Alcohols under Ball-Milling Conditions. ChemCatChem 2016, 8, 1769–1772. [Google Scholar] [CrossRef]
- Pérez-Venegas, M.; Reyes-Rangel, G.; Neri, A.; Escalante, J.; Juaristi, E. Mechanochemical enzymatic resolution of N-benzylated-β3-amino esters. Beilstein J. Org. Chem. 2017, 13, 1728–1734. [Google Scholar] [CrossRef]
- Pérez-Venegas, M.; Reyes-Rangel, G.; Neri, A.; Escalante, J.; Juaristi, E. Correction: Mechanochemical enzymatic resolution of N-benzylated-β3-amino esters. Beilstein J. Org. Chem. 2017, 13, 2128–2130. [Google Scholar] [CrossRef]
- Rangel, H.; Carrillo-Morales, M.; Galindo, J.M.; Castillo, E.; Obregón-Zúñiga, A.; Juaristi, E.; Escalante, J. Structural features of N-benzylated-β-amino acid methyl esters essential for enantiodifferentiation by lipase B from Candida antarctica in hydrolytic reactions. Tetrahedron Asymmetry 2015, 26, 325–332. [Google Scholar] [CrossRef]
- Pérez-Venegas, M.; Juaristi, E. Mechanoenzymatic resolution of racemic chiral amines, a green technique for the synthesis of pharmaceutical building blocks. Tetrahedron 2018, 74, 6453–6458. [Google Scholar] [CrossRef]
- Negahdaripour, M.; Owji, H.; Eslami, M.; Zamani, M.; Vakili, B.; Sabetian, S.; Nezafat, N.; Ghasemi, Y. Selected application of peptide molecules as pharmaceutical agents and in cosmeceuticals. Expert Opin. Biol. Ther. 2019, 19, 1275–1287. [Google Scholar] [CrossRef]
- Sarojini, V.; Cameron, A.J.; Varnava, K.G.; Denny, W.A.; Sanjayan, G. Cyclic Tetrapeptides from Nature and Design: A Review of Synthetic Methodologies, Structure, and Function. Chem. Rev. 2019, 119, 10318–10359. [Google Scholar] [CrossRef]
- De la Torre, B.G.; Albericio, F. The pharmaceutical industry in 2018. An analysis of FDA drug approvals from the perspective of molecules. Molecules 2019, 24, 809. [Google Scholar] [CrossRef]
- Pill, M.F.; East, A.L.L.; Marx, D.; Beyer, M.K.; Clausen-Schaumann, H. Mechanical activation drastically accelerates amide bond hydrolysis, matching enzyme activity. Angew. Chem. Int. Ed. 2019, 58, 9787–9790. [Google Scholar] [CrossRef]
- Bolm, C.; Hernández, J.G. From Synthesis of Amino Acids and Peptides to Enzymatic Catalysis: A Bottom-Up Approach in Mechanochemistry. ChemSusChem 2018, 11, 1410–1420. [Google Scholar] [CrossRef]
- Fritch, B.; Kosolapov, A.; Hudson, P.; Nissley, D.A.; Woodcock, H.L.; Deutsch, C.; O’Brien, E.P. Origins of the Mechanochemical Coupling of Peptide Bond Formation to Protein Synthesis. J. Am. Chem. Soc. 2018, 140, 5077–5087. [Google Scholar] [CrossRef]
- Lawrenson, S.B.; Arav, R.; North, M. The greening of peptide synthesis. Green Chem. 2017, 19, 1685–1691. [Google Scholar] [CrossRef]
- Porte, V.; Thioloy, M.; Pigoux, T.; Métro, T.-X.; Martinez, J.; Lamaty, F. Peptide Mechanosynthesis by Direct Coupling of N-Protected α-Amino Acids with Amino Esters. Eur. J. Org. Chem. 2016, 3505–3508. [Google Scholar] [CrossRef]
- Anselmi, M.; Stavole, P.; Boanini, E.; Bigi, A.; Juaristi, E.; Gentilucci, L. Green synthesis of bioactive oligopeptides promoted by recyclable nanocrystalline hydroxyapatite. Future Med. Chem. 2020, 12, 479–491. [Google Scholar] [CrossRef]
- Hernández, J.G.; Ardila-Fierro, K.J.; Crawford, D.; James, S.L.; Bolm, C. Mechanoenzymatic peptide and amide bond formation. Green Chem. 2017, 19, 2620–2625. [Google Scholar] [CrossRef]
- Ardila-Fierro, K.J.; Crawford, D.E.; Körner, A.; James, S.L.; Bolm, C.; Hernández, J.G. Papain-catalysed mechanochemical synthesis of oligopeptides by milling and twin-screw extrusion: Application in the Juliá–Colonna enantioselective epoxidation. Green Chem. 2018, 20, 1262–1269. [Google Scholar] [CrossRef]
- Dabral, S.; Turberg, M.; Wanninger, A.; Bolm, C.; Hernández, J.G. Mechanochemical Lignin-Mediated Strecker Reaction. Molecules 2017, 22, 146. [Google Scholar] [CrossRef]
- Pérez-Venegas, M.; Rodríguez-Treviño, A.M.; Juaristi, E. Dual Mechanoenzymatic Kinetic Resolution of (±)-Ketorolac. ChemCatChem 2020, 12, 1782–1788. [Google Scholar] [CrossRef]
- Nain, S.; Singh, R.; Ravichandran, S. Importance of Microwave Heating in Organic Synthesis. Adv. J. Chem. A 2019, 2, 94–104. [Google Scholar] [CrossRef]
- Mandal, B. Alternate Energy Sources for Sustainable Organic Synthesis. ChemistrySelect 2019, 4, 8301–8310. [Google Scholar] [CrossRef]
- Henary, M.; Kananda, C.; Rotolo, L.; Savino, B.; Owens, E.A.; Cravotto, G. Benefits and applications of microwave-assisted synthesis of nitrogen containing heterocycles in medicinal chemistry. RSC Adv. 2020, 10, 14170–14197. [Google Scholar] [CrossRef]
- Fairoosa, J.; Saranya, S.; Radhika, S.; Anilkumar, G. Recent Advances in Microwave Assisted Multicomponent Reactions. ChemistrySelect 2020, 5, 5180–5197. [Google Scholar] [CrossRef]
- Kappe, C.O. My Twenty Years in Microwave Chemistry: From Kitchen Ovens to Microwaves that aren’t Microwaves. Chem. Rec. 2018, 19, 15–39. [Google Scholar] [CrossRef]
- Gopi, C.; Krupamai, G.; Dhanaraju, M.D. A Recent Progress in Microwave-assisted Synthesis of Heterocyclic Compounds Containing Nitrogen, Sulphur and Oxygen. Rev. J. Chem. 2019, 9, 255–289. [Google Scholar] [CrossRef]
- Das, S.; Banik, R.; Kumar, B.; Roy, S.; Noorussabah; Amhad, K.; Sukul, P.K. A Green Approach for Organic Transformations Using Microwave Reactor. Curr. Org. Synth. 2019, 16, 730–764. [Google Scholar] [CrossRef]
- Ghosh, S.; Mukhopadhyay, C. Microwave Syntheses: A Modern Day Approach TOWARDS Sustainable Chemistry. Curr. Microw. Chem. 2017, 4, 287–305. [Google Scholar] [CrossRef]
- Bandala, Y.; Melgar-Fernández, R.; Guzmán-Mejía, R.; Olivares-Romero, J.L.; Díaz-Sánchez, B.R.; González-Olvera, R.; Juaristi, E. Optimized Methodologies in Asymmetric Organic Synthesis Applying Microwaves. J. Mex. Chem. Soc. 2009, 53, 147–154. [Google Scholar] [CrossRef]
- Monga, P.K.; Sharma, D.; Bhasin, S.; Dubey, A. Environmentally positive and energy proficient synthesis of coumarin by the Pechmann reaction via microwave irradiation. Indian J. Chem. Technol. 2017, 24, 447–451. [Google Scholar]
- De Paiva, W.F.; Bastos-Braga, I.; de Assis, J.V.; Bonilla-Castaneda, S.M.; Sathicq, A.G.; Palermo, V.; Romanelli, G.P.; Natalino, R.; da Silva, M.J.; Terra-Martins, F.; et al. Microwave-assisted multicomponent synthesis of julolidines using silica-supported calix[4]arene as heterogeneous catalyst. Tetrahedron 2019, 75, 3740–3750. [Google Scholar] [CrossRef]
- Zhang, Y.-B.; Yang, L.; Luo, D.; Chen, N.-H.; Wu, Z.-N.; Ye, W.-C.; Li, Y.-L.; Wang, G.-C. Sophalines E-I, Five Quinolizidine-Based Alkaloids with Antiviral Activities against the Hepatitis B Virus from the Seeds of Sophora alopecuroides. Org. Lett. 2018, 20, 5942–5946. [Google Scholar] [CrossRef]
- Liu, F.; Xu, H.; Zhang, H.; Chen, L.; Liu, J.; Bo, S.; Zhen, Z.; Liu, X.; Qiu, L. Synthesis of julolidine-containing nonlinear optical chromophores: Achieving excellent electro-optic activity by optimizing the bridges and acceptors. Dyes Pigm. 2016, 134, 358–367. [Google Scholar] [CrossRef]
- Deepthi, V.; Triloknadh, S.; Nagaraju, B.; Rao, C.V. An Efficient Synthesis of Novel N,N’-Dibenzoylpyrimidin-2(1H)-Ones Using Microwave Irradiation via Three-Component Biginelli Reaction. Chem. Sci. Trans. 2019, 8, 261–267. [Google Scholar] [CrossRef]
- Oliveira, J.R.; Kotzebue, L.R.V.; Ribeiro, F.W.M.; Mota, B.C.; Zampieri, D.; Mazzetto, S.E.; Ishida, H.; Lomonaco, D. Microwave-assisted solvent-free synthesis of novel benzoxazines: A faster and environmentally friendly route to the development of bio-based thermosetting resins. J. Polym. Sci. Pol. Chem. 2017, 55, 3534–3544. [Google Scholar] [CrossRef]
- König, B. Photocatalysis in Organic Synthesis—Past, Present, and Future. Eur. J. Org. Chem. 2017, 1979–1981. [Google Scholar] [CrossRef]
- Marzo, L.; Pagire, S.K.; Reiser, O.; König, B. Visible-Light Photocatalysis: Does It Make a Difference in Organic Synthesis? Angew. Chem. Int. Ed. 2018, 57, 10034–10072. [Google Scholar] [CrossRef]
- Gisbertz, S.; Pieber, B. Heterogeneous photocatalysis in organic synthesis. ChemPhotoChem 2020, 4, 1–21. [Google Scholar] [CrossRef]
- Sideri, I.K.; Voutyritsa, E.; Kokotos, C.G. Photoorganocatalysis, small organic molecules and light in the service of organic synthesis: The awakening of a sleeping giant. Org. Biomol. Chem. 2018, 16, 4596–4614. [Google Scholar] [CrossRef] [PubMed]
- Verschueren, R.H.; De Borggraeve, W.M. Electrochemistry and Photoredox Catalysis: A Comparative Evaluation in Organic Synthesis. Molecules 2019, 24, 2122. [Google Scholar] [CrossRef] [PubMed]
- Michelin, C.; Hoffmann, N. Photosensitization and Photocatalysis—Perspectives in Organic Synthesis. ACS Catal. 2018, 8, 12046–12055. [Google Scholar] [CrossRef]
- Chen, J.; Guan, Z.; He, Y.-H. Photoenzymatic approaches in organic synthesis. Asian J. Org. Chem. 2019, 8, 1775–1790. [Google Scholar] [CrossRef]
- Shivhare, K.N.; Jaiswal, M.K.; Srivastava, A.; Tiwari, S.K.; Siddiqui, I.R. Visible-light-activated C-C and C-N bond formation in the synthesis of imidazo[1,2-a]pyridines and imidazo[2,1-b]thiazoles under catalyst and solvent-free conditions. New J. Chem. 2018, 42, 16591–16601. [Google Scholar] [CrossRef]
- Du, K.; Wang, S.-C.; Basha, R.S.; Lee, C.-F. Visible-Light Photoredox-Catalyzed Thioacetalization of Aldehydes Under Metal-Free and Solvent-Free Conditions. Adv. Synth. Catal. 2019, 361, 1597–1605. [Google Scholar] [CrossRef]
- Nazeef, M.; Shivhare, K.N.; Ali, S.; Ansari, K.; Ansari, M.D.; Tiwari, S.K.; Yadav, V.; Siddiqui, I.R. Visible-Light-Promoted C-N and C-S Bonds Formation: A Catalyst and Solvent-Free Photochemical Approach for the Synthesis of 1,3-Thiazolidin-4-ones. J. Photochem. Photobiol. A Chem. 2020, 390, 112347–112368. [Google Scholar] [CrossRef]

























| Essay | Catalyst (Base) | [mg] | Yield [%] |
|---|---|---|---|
| 1 | HT-S | 250 | 89 |
| 2 | HT-C | 250 | 55 |
| 3 | HT-R | 250 | 89 |
| 4 | NaHCO3 | 250 | 76 |
| 5 | Cs2CO3 | 250 | 67 |
| 6 | K2CO3 | 250 | 15 |

| Essay | Amino Acid A | Amino Acid B | Dipeptide Product | Yield (%) |
|---|---|---|---|---|
| 1 | Boc-Leu | Ala | Boc-Leu-Ala | 89 |
| 2 | Boc-β-ala | Phe | Boc-β-Ala-Phe | 89 |
| 3 | Boc-β-ala | Val | Boc-β-Ala-Val | 85 |
| 4 | Boc-β-ala | Ala | Boc-β-Ala-Ala | 79 |
| 5 | Boc-β-ala | Leu | Boc-β-Ala-Leu | 89 |
| 6 | Boc-β-ala | Ile | Boc-β-Ala-Ile | 82 |
| 7 | Boc-β-ala | Gly | Boc-β-Ala-Gly | 78 |
| 8 | Boc-β-ala | His | Boc-β-Ala-His | 70 |
| 9 | Boc-β-ala | β-Ala | Boc-β-Ala-β-Ala | 73 |
| 10 | Cbz-Phe | Phe | Cbz-Phe-Phe | 83 |
| 11 | Cbz-Phe | Ala | Cbz-Phe-Ala | 85 |
| 12 | Fmoc-Val | Phe | Fmoc-Val-Phe | 83 |
| 13 | Fmoc-Val | Ala | Fmoc-Val-Ala | 88 |
© 2020 by the authors. Licensee MDPI, Basel, Switzerland. This article is an open access article distributed under the terms and conditions of the Creative Commons Attribution (CC BY) license (http://creativecommons.org/licenses/by/4.0/).
Share and Cite
Avila-Ortiz, C.G.; Juaristi, E. Novel Methodologies for Chemical Activation in Organic Synthesis under Solvent-Free Reaction Conditions. Molecules 2020, 25, 3579. https://doi.org/10.3390/molecules25163579
Avila-Ortiz CG, Juaristi E. Novel Methodologies for Chemical Activation in Organic Synthesis under Solvent-Free Reaction Conditions. Molecules. 2020; 25(16):3579. https://doi.org/10.3390/molecules25163579
Chicago/Turabian StyleAvila-Ortiz, Claudia Gabriela, and Eusebio Juaristi. 2020. "Novel Methodologies for Chemical Activation in Organic Synthesis under Solvent-Free Reaction Conditions" Molecules 25, no. 16: 3579. https://doi.org/10.3390/molecules25163579
APA StyleAvila-Ortiz, C. G., & Juaristi, E. (2020). Novel Methodologies for Chemical Activation in Organic Synthesis under Solvent-Free Reaction Conditions. Molecules, 25(16), 3579. https://doi.org/10.3390/molecules25163579
