From Riluzole to Dexpramipexole via Substituted-Benzothiazole Derivatives for Amyotrophic Lateral Sclerosis Disease Treatment: Case Studies
Abstract
1. Introduction
2. Treatments against Chronic Neurodegenerative Disorders
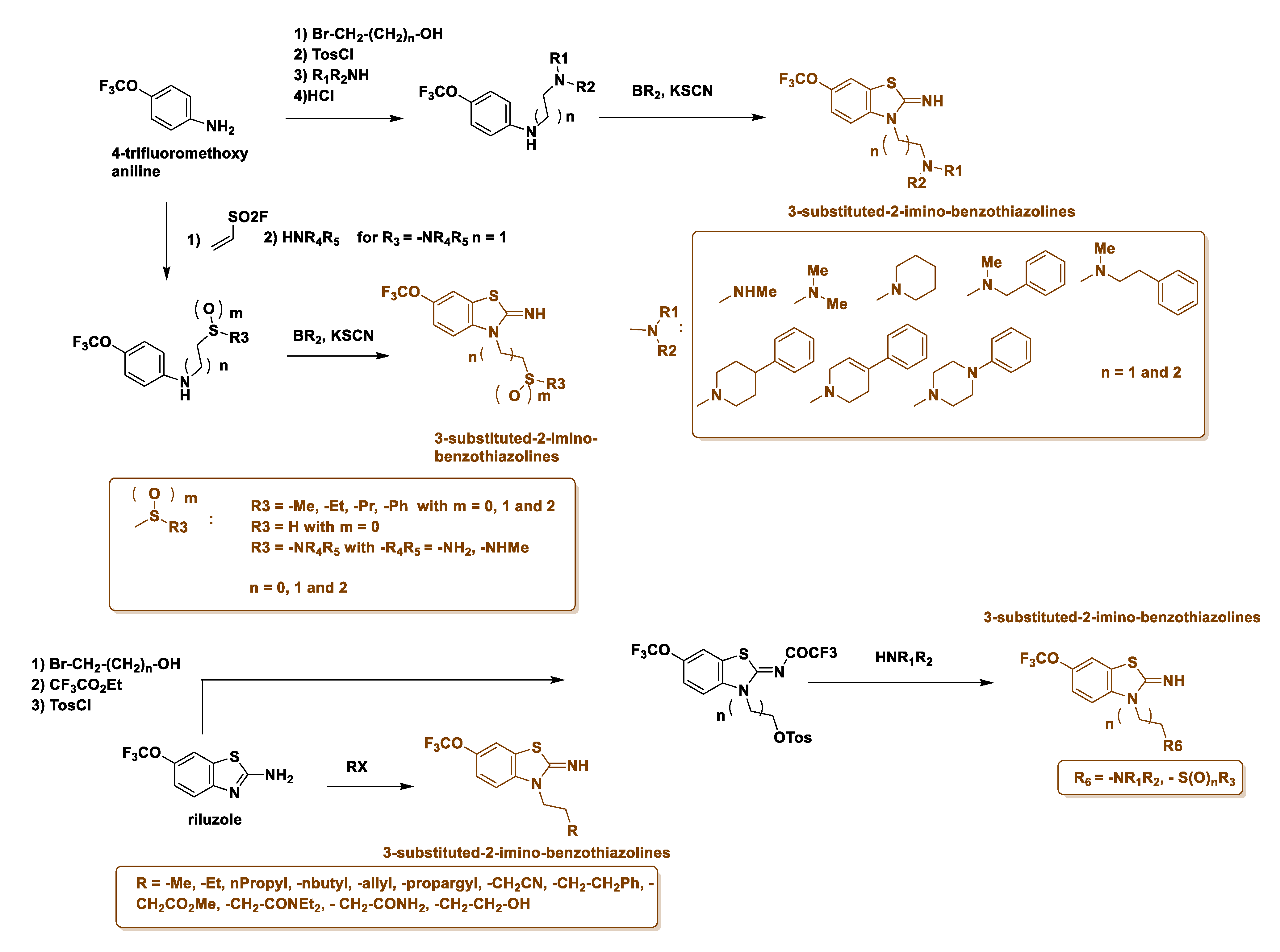
3. 6-Substituted 2-Benzothiazolamines and 3-Substituted 2-Iminobenzothiazoline Derivatives as Analogues of Riluzole
4. Pifithrin-α with Neuroprotective Properties
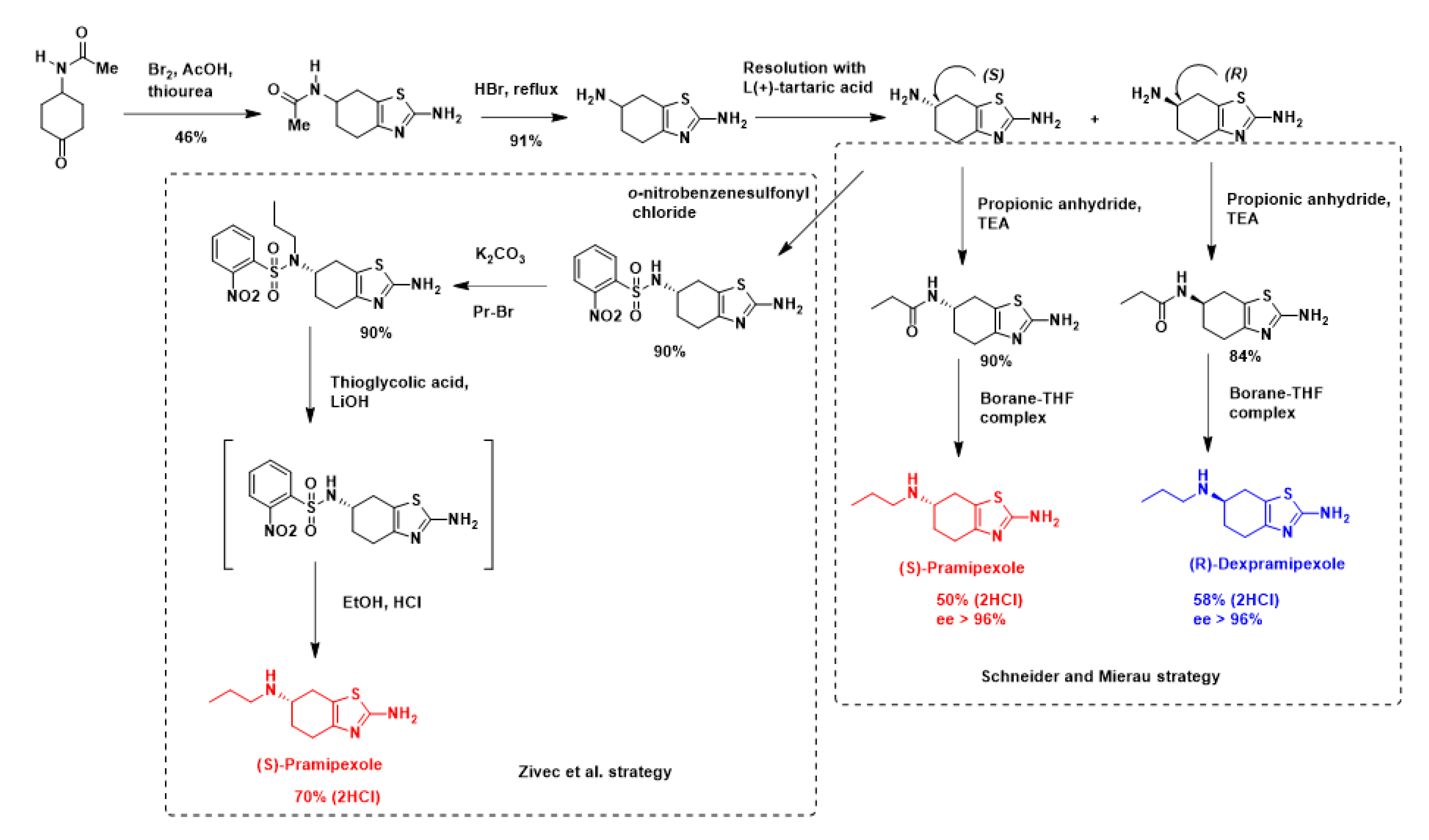
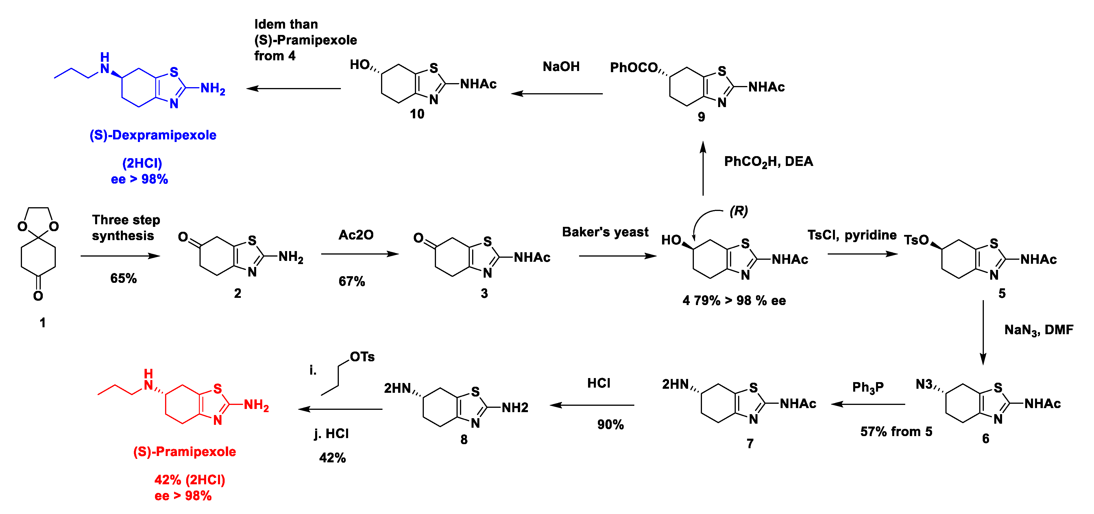
5. Dexpramipexole for the Treatment of ALS
5.1. Clinical Trials of Dexpramipexole for the Treatment of ALS
5.2. Recent Additional in vivo Studies of Dexpramipexole for the Treatment of ALS
5.3. Clinical Trials of Dexpramipexole for the Treatment of Asthma
6. Conclusions and Perspectives
Author Contributions
Funding
Conflicts of Interest
References
- Garg, V.; Maurya, R.K.; Thanikachalam, P.V.; Bansal, G.; Monga, V. An insight into the medicinal perspective of synthetic analogs of indole: A review. Eur. J. Med. Chem. 2019, 180, 562–612. [Google Scholar]
- Kumari, A.; Singh, R.K. Medicinal chemistry of indole derivatives: Current to future therapeutic prospectives. Bioorg. Chem. 2019, 89, 103021. [Google Scholar] [CrossRef]
- Wishart, D.S.; Feunang, Y.D.; Guo, A.C.; Lo, E.J.; Marcu, A.; Grant, J.R.; Sajed, T.; Johnson, D.; Li, C.; Sayeeda, Z.; et al. DrugBank 5.0: A major update to the DrugBank database for 2018. Nucleic Acids Res. 2018, 46, D1074–D1082. [Google Scholar] [CrossRef] [PubMed]
- Cerveri, A.; Bandini, M. Recent advances in the catalytic functionalization of “electrophilic” indoles. Chin. J. Chem. 2020, 38, 287–294. [Google Scholar] [CrossRef]
- Troy, D.; Hubbard, T.D.; Murray, I.A.; Perdew, G.H. Indole and Tryptophan Metabolism: Endogenous and Dietary Routes to Ah Receptor Activation. Drug Metab. Dispos. 2015, 43, 1522–1535. [Google Scholar]
- Baell, J.B.; Holloway, G.A. New substructure filters for removal of pan assay interference compounds (PAINS) from screening libraries and for their exclusion in bioassays. J. Med. Chem. 2010, 53, 2719–2740. [Google Scholar] [CrossRef] [PubMed]
- Dvořák, Z.; Kopp, F.; Costello, C.M.; Kemp, J.S.; Li, H.; Vrzalová, A.; Štěpánková, M.; Bartoňková, I.; Jiskrová, E.; Poulíková, K. Targeting the pregnane X receptor using microbial metabolite mimicry. EMBO Mol. Med. 2020, 12, e11621. [Google Scholar] [CrossRef]
- Lazzara, P.R.; Moore, T.W. Scaffold-hopping as a strategy to address metabolic liabilities of aromatic compounds. RSC Med. Chem. 2020, 11, 18–29. [Google Scholar] [CrossRef]
- Roughley, S.D.; Jordan, A.M. The medicinal chemist’s toolbox: An analysis of reactions used in the pursuit of drug candidates. J. Med. Chem. 2011, 54, 3451–3479. [Google Scholar] [CrossRef]
- Filz, O.A.; Poroikov, V.V. Fragment-based lead design. Russian Chem. Rev. 2012, 81, 158–174. [Google Scholar] [CrossRef]
- Mishra, C.B.; Kumari, S.; Tiwari, M. Thiazole: A promising heterocycle for the development of potent CNS active agents. Eur. J. Med. Chem. 2015, 92, 1–34. [Google Scholar] [CrossRef]
- Naga Raju, G.; Karumudi, B.S.; Rao, N.R. enzothiazole—Versatile heterocyclic nucleus in medicinal chemistry: A review. B. Int. J. Pharm. Chem. 2015, 5, 104–111. [Google Scholar]
- Gleeson, M.P. Generation of a set of simple, interpretable ADMET rules of thumb. J. Med. Chem. 2008, 51, 817–834. [Google Scholar] [CrossRef] [PubMed]
- Gualdani, R.; Tadini-Buoninsegni, F.; Roselli, M.D.I.; Contino, M.; Colabufo, N.A.; Lentini, G. Inhibition of hERG potassium channel by the antiarrhythmic agent mexiletine and its metabolite m-hydroxymexiletine. Pharmacol. Res. Perspect. 2015, 3, e00160. [Google Scholar] [CrossRef] [PubMed]
- Yildiz-Oren, I.; Yalcin, I.; Ki-Sener, E.; Ucarturk, N. Synthesis and structure-activity relationships of new antimicrobial active multisubstituted benzazole derivatives. Eur. J. Med. Chem. 2004, 39, 291–298. [Google Scholar] [CrossRef] [PubMed]
- Verma, A.K.; Martin, A.; Singh, A.K. Synthesis, characterization and evaluation of anti-inflammatory and analgesic activity of benzothiazole derivatives. Indian J. Pharm. Biol. Res. 2014, 2, 84–89. [Google Scholar] [CrossRef]
- Spillane, C.B.; Fletcher, N.C.; Rountree, S.M.; van Den, B.H.; Chanduloy, S.; Morgan, J.L.; Keene, F.R. Benzothiazole bipyridine complexes of ruthenium(II) with cytotoxic activity. J. Biol. Inorg. Chem. 2007, 12, 797–807. [Google Scholar] [CrossRef]
- Desaphy, J.-F.; Carbonara, R.; Costanza, T.; Conte Camerino, D. Preclinical evaluation of marketed sodium channel blockers in a rat model of myotonia discloses promising antimyotonic drugs. Exp. Neurol. 2014, 255, 96–102. [Google Scholar] [CrossRef]
- Amnerkar, N.D.; Bhusari, K.P. Synthesis, Anticonvulsant Activity and 3D-QSAR Study of Some prop-2-eneamido and 1-acetyl-pyrazolin Derivatives of Aminobenzothiazole. Eur. J. Med. Chem. 2010, 45, 149–159. [Google Scholar] [CrossRef]
- Plesnila, N.; Von, B.L.; Retiounskaia, M.; Engel, D.; Ardeshiri, A.; Zimmermann, R.; Hoffmann, F.; Landshamer, S.; Wagner, E.; Culmsee, C. Delayed neuronal death after brain trauma involves p53-dependent inhibition of NF-kappaB transcriptional activity. Cell. Death Differ. 2007, 14, 1529–1541. [Google Scholar] [CrossRef]
- Albert, A. Chemical aspects of selective toxicity. Nature 1958, 182, 421–423. [Google Scholar] [CrossRef] [PubMed]
- Mignani, S.; Huber, S.; Tomás, H.; Rodrigues, J.; Majoral, J.-P. Compound high-quality criteria: A new vision to guide the development of drugs, current situation. Drug Discov. Today 2016, 21, 573–584. [Google Scholar] [CrossRef]
- Cavalluzzi, M.M.; Mangiatordi, G.F.; Nicolotti, O.; Lentini, G. Ligand efficiency metrics in drug discovery: The pros and cons from a practical perspective. Exp. Opin. Drug Discv. 2017, 12, 1087–1104. [Google Scholar] [CrossRef] [PubMed]
- Lipinski, C.A.; Lombardo, F.; Dominy, B.W.; Feeney, P.J. Experimental and computational approaches to estimate solubility and permeability in drug discovery and development settings. Adv. Drug Deliv. Rev. 1997, 23, 3–25. [Google Scholar] [CrossRef]
- Veber, D.F.; Johnson, S.R.; Cheng, H.Y.; Smith, B.R.; Ward, K.W.; Kopple, K.D. Molecular Properties That Influence the Oral Bioavailability of Drug Candidates. J. Med. Chem. 2002, 45, 2615–2623. [Google Scholar] [CrossRef] [PubMed]
- Ghose, A.K.; Viswanadhan, V.N.; Wendoloski, J.J.A. Knowledge-based approach in designing combinatorial or medicinal chemistry libraries for drug discovery. 1. A qualitative and quantitative characterization of known drug databases. J. Comb. Chem. 1999, 1, 55–68. [Google Scholar] [CrossRef] [PubMed]
- Oprea, T.I. Property distribution of drug-related chemical databases. J. Comput. Aided Mol. Des. 2000, 14, 251–264. [Google Scholar] [CrossRef]
- Congreve, M.; Carr, R.; Murray, C.; Jhoti, H. A “rule of three” for fragment-based lead discovery? Drug Discov. Today 2003, 8, 876–877. [Google Scholar] [CrossRef]
- Lovering, F.; Bikker, J.; Humblet, C. Escape from flatland: Increasing saturation as an approach to improving clinical success. J. Med. Chem. 2009, 52, 6752–6756. [Google Scholar] [CrossRef]
- Smith, D.A.; Di, L.; Kerns, E.H. The effect of plasma protein binding on in vivo efficacy: Misconceptions in drug discovery. Nat. Rev. Drug Discov. 2010, 9, 929–939. [Google Scholar] [CrossRef]
- Liu, X.; Wright, M.; Hop, C.E.C.A. Rational Use of Plasma Protein and Tissue Binding Data in Drug Design. J. Med. Chem. 2014, 57, 8238–8248. [Google Scholar] [CrossRef] [PubMed]
- Trainor, G.L. The importance of plasma protein binding in drug discovery. Exp. Opin. Drug Discov. 2007, 2, 51–64. [Google Scholar] [CrossRef] [PubMed]
- Meanwell, N.A. Improving drug candidates by design: A focus on physicochemical properties as a means of improving compound disposition and safety. Chem. Res. Toxicol. 2011, 24, 1420–1456. [Google Scholar] [CrossRef] [PubMed]
- de Lange, E.C.M.; van den Brink, W.; Yamamoto, Y.; de Witte, W.E.A.; Wong, Y.C. Novel CNS drug discovery and development approach: Model-based integration to predict neuro-pharmacokinetics and pharmacodynamics. Exp. Opin. Drug Discov. 2017, 12, 1207–1218. [Google Scholar] [CrossRef]
- Dong, X.X.; Wang, Y.; Qin, Z.H. Molecular mechanisms of excitotoxicity and their relevance to pathogenesis of neurodegenerative diseases. Acta Pharmacol. Sin. 2009, 30, 379–387. [Google Scholar] [CrossRef]
- Fernandez-Espejo, E. Pathogenesis of Parkinson’s disease: Prospects of neuroprotective and restorative therapies. Mol. Neurobiol. 2004, 29, 15–30. [Google Scholar] [CrossRef]
- Bonelli, R.M.; Wenning, G.K.; Kapfhammer, H.P. Huntington’s disease: Present treatments and future therapeutic modalities. Int. Clin. Psychopharmacol. 2004, 19, 51–62. [Google Scholar] [CrossRef]
- Ates, O.; Cayli, S.R.; Gurses, I.; Karabulut, A.B.; Yucel, N.; Kocak, A.; Cakir, C.O.; Yologlu, S. Do sodium channel blockers have neuroprotective effect after onset of ischemic insult? Neurol. Res. 2007, 29, 317–323. [Google Scholar] [CrossRef]
- Bensimon, G.; Lacomblez, L.; Meininger, V.A. Controlled trial of riluzole in amyotrophic lateral sclerosis. ALS/Riluzole study group. N. Engl. J. Med. 1994, 330, 585–591. [Google Scholar] [CrossRef]
- Bryson, H.M.; Fulton, B.; Benfield, P. Riluzole: A review of its pharmacodynamic and pharmacokinetic properties and therapeutic potential in amyotrophic lateral sclerosis. Drug Eval. 1996, 52, 549–563. [Google Scholar] [CrossRef]
- Miller, R.G.; Mitchell, J.D.; Lyon, M.; Moore, D.H. Riluzole for amyotrophic lateral sclerosis (ALS)/motor neuron disease (MND). Cochrane Database Syst. Rev. 2002, 2, CD001447. [Google Scholar]
- Hinchcliffe, M.; Smith, A. Riluzole: Real-world evidence supports significant extension of median survival times in patients with amyotrophic lateral sclerosis. Degener. Neurol. Neuromuscul. Dis. 2017, 7, 61–70. [Google Scholar] [CrossRef] [PubMed]
- Dharmadasa, T.; Kiernan, M.C. Riluzole, disease stage and survival in ALS. Lancet Neurol. 2018, 17, 385–386. [Google Scholar] [CrossRef]
- Enzmann, H. Withdrawal of Radicava, (Edaravone), 30 mg Solution for Infusion-EMEA/H/C/004938/0000. Available online: https://www.ema.europa.eu/en/documents/withdrawal-letter/withdrawal-letter-radicava_en.pdf (accessed on 24 May 2019).
- Camerino, G.M.; Fonzino, A.; Conte, E.; De Bellis, M.; Mele, A.; Liantonio, A.; Tricarico, D.; Tarantino, N.; Dobrowolny, G.; Musarò, A.; et al. Elucidating the contribution of skeletal muscle ion channels to amyotrophic lateral sclerosis in search of new therapeutic options. Sci. Rep. 2019, 9, 3185. [Google Scholar] [CrossRef] [PubMed]
- Yacilla, G.; Sari, Y. Potential therapeutic drugs and methods for the treatment of amyotropic lateral sclerosis. Curr. Med. Chem. 2014, 21, 3583–3593. [Google Scholar] [CrossRef] [PubMed][Green Version]
- Doble, A. The pharmacology and mechanism of action of riluzole. Neurology 1996, 47, S233–S241. [Google Scholar] [CrossRef]
- Martin, D.; Thompson, M.A.; Nadler, J.V. The neuroprotective agent riluzole inhibits release of glutamate and aspartate from slices of hippocampal area CA1. Eur. J. Pharmacol. 1993, 250, 473–476. [Google Scholar] [CrossRef]
- Frizzo, M.E.; Dall’Onder, L.P.; Dalcin, K.B.; Souza, D.O. Riluzole enhances glutamate uptake in rat astrocyte cultures. Cell. Mol. Neurobiol. 2004, 24, 123–128. [Google Scholar] [CrossRef]
- Schmidt, J.; Schmidt, T.; Golla, M.; Lehmann, L.; Weber, J.J.; Hübener-Schmid, J.; Riess, O. In vivo assessment of riluzole as a potential therapeutic drug for spinocerebellar ataxia type 3. J. Neurochem. 2016, 138, 150–162. [Google Scholar] [CrossRef]
- Sala, G.; Arosio, A.; Conti, E.; Beretta, S.; Lunetta, C.; Riva, N.; Ferrarese, C.; Tremolizzo, L. Riluzole Selective Antioxidant Effects in Cell Models Expressing Amyotrophic Lateral Sclerosis Endophenotypes. Clin. Psychopharmacol. Neurosci. 2019, 17, 438–442. [Google Scholar] [CrossRef]
- Hassanzadeh, K.; Habibi-asl, B.; Roshangar, L.; Nemati, M.; Ansarin, M.; Farajnia, S. Intracerebroventricular administration of riluzole prevents morphine-induced apoptosis in the lumbar region of the rat spinal cord. Pharmacol. Rep. 2010, 62, 664–673. [Google Scholar] [CrossRef]
- Selin Üstün Bezgin, S.; Uygur, K.K.; Gökdoğan, C.; Elmas, C.; Göktaş, G. The effects of riluzole on cisplatin-induced ototoxicity. Int. Arch. Otorhinolaryngol. 2019, 23, e267–e275. [Google Scholar] [CrossRef] [PubMed]
- Longinetti, E.; Fang, F. Epidemiology of amyotrophic lateral sclerosis: Anupdate of recent literature. Curr. Opin. Neurol. 2019, 32, 771–776. [Google Scholar] [CrossRef] [PubMed]
- Jimonet, P.; Audiau, F.; Barreau, M.; Blanchard, J.-C.; Boireau, A.; Bour, Y.; Coleno, M.-A.; Doble, A.; Doerflinger, G.; Do Huu, C.; et al. Riluzole series. Synthesis and in vivo “antiglutamate” activity of 6-substituted-2-benzothiazolamines and 3-substituted-2-imino-benzothiazolines. J. Med. Chem. 1999, 42, 2828–2843. [Google Scholar] [CrossRef] [PubMed]
- Sweeney, J.B.; Rattray, M.; Pugh, V.; Powell, L.A. Riluzole−triazole hybrids as novel chemical probes for neuroprotection in amyotrophic lateral sclerosis. ACS Med. Chem. Lett. 2018, 9, 552–556. [Google Scholar] [CrossRef]
- Kalmar, B.; Lu, C.H.; Greensmith, L. The role of heat shock proteins in amyotrophic lateral sclerosis: The therapeutic potential of arimoclomol. Pharmacol. Ther. 2014, 141, 40–54. [Google Scholar] [CrossRef]
- Akamatsu, M.; Yamashita, T.; Hirose, N.; Teramoto, S.; Kwak, S. The AMPA receptor antagonist perampanel robustly rescues amyotrophic lateral sclerosis (ALS) pathology in sporadic ALS model mice. Sci. Rep. 2016, 6, 28649. [Google Scholar] [CrossRef]
- Cudkowicz, M.E.; Cudkowicz, M.E.; Sarah Titus, S.; Kearney, M.; Yu, H.; Sherman, A.; Schoenfeld, D.; Hayden, D.; Shui, A.; Brooks, B.; et al. Efficacy and safety of ceftriaxone for amyotrophic lateral sclerosis: Results of a multi-stage, randomised, double-blind, placebo-controlled, phase 3 study. Lancet Neurol. 2014, 13, 1083–1091. [Google Scholar] [CrossRef]
- Nagata, E.; Ogino, M.; Iwamoto, K.; Kitagawa, Y.; Iwasaki, Y.; Yoshii, F.; Ikeda, J.E. Bromocriptine mesylate attenuates amyotrophic lateral sclerosis: A phase 2a, randomized, double-blind, placebo-controlled research in Japanese patients. PloS ONE 2016, 24, e0149509. [Google Scholar] [CrossRef]
- Pasinetti, G. Treatment of Amyotrophic Lateral Sclerosis with Nimesulide. U.S. Patent 20060041022A1, 23 February 2006. [Google Scholar]
- Goutman, S.A.; Savelieff, M.G.; Sakowski, S.A.; Feldman, E.L. Stem cell treatments for amyotrophic lateral sclerosis: A critical overview of early phase trials. Expert Opin. Investig. Drugs 2019, 28, 525–543. [Google Scholar] [CrossRef]
- ALS. Available online: https://www.sciencedaily.com/releases/2018/05/180521131659.htm (accessed on 22 July 2020).
- Domino, E.F.; Unna, K.R.; Kerwin, J. Pharmacological properties of benzazoles. I. Relationship between structure and paralyzing action. J. Pharmacol. Exp. Ther. 1952, 105, 486–497. [Google Scholar]
- Gunakkunru, A.; Verma, S.M. Quantitative structure activity relationship of riluzole series as anticonvulsants. Asian J. Chem. 2007, 19, 2843–2849. [Google Scholar]
- Zhu, X.; Yu, Q.S.; Cutler, R.G.; Culmsee, C.W.; Holloway, H.W.; Lahiri, D.K.; Mattson, M.P.; Greig, N.H. Novel p53 inactivators with neuroprotective action: Syntheses and pharmacological evaluation of 2-imino-2,3,4,5,6,7-hexahydrobenzothiazole and 2-Imino-2,3,4,5,6,7-hexahydrobenzoxazole derivatives. J. Med. Chem. 2002, 45, 5090–5097. [Google Scholar] [CrossRef] [PubMed]
- Gribkoff, V.K.; Bozik, M.E. KNS-760704 [(6R)-4,5,6,7-tetrahydro-N6-propyl-2,6-benzothiazole-diamine dihydrocholride monohydrate] for the treatment of amyatropic lateral sclerosis. CNS Neurosci. Ther. 2008, 14, 215–226. [Google Scholar] [CrossRef]
- Ferrari-Toninelli, G.; Maccarinelli, G.; Uberti, D.; Buerger, E.; Memo, M. Mitochondria-targeted antioxidant effects of S(-) and R(+) pramipexole. BMC Pharmacol. 2010, 10, 2. [Google Scholar] [CrossRef] [PubMed]
- Antonini, A.; Barone, P.; Ceravolo, R.; Fabbrini, G.; Tinazzi, M.; Abbruzzese, G. Role of pramipexole in the management of Parkinson’s disease. CNS Drugs 2010, 24, 829–841. [Google Scholar] [CrossRef]
- Farinato, A.; Altamura, C.; Desaphy, J.F. Effects of Benzothiazolamines on voltage-gated sodium channels. Handb. Exp. Pharmacol 2018, 246, 230–250. [Google Scholar]
- Urru, M.; Muzzi, M.; Coppi, E.; Ranieri, G.; Buonvicino, D.; Camaioni, E.; Coppini, R.; Pugliese, A.M.; Tanaka, B.; Estacion, M.; et al. Dexpramipexole blocks Nav1.8 sodium channels and provides analgesia in multiple nociceptive and neuropathic pain models. Pain 2020, 161, 831–841. [Google Scholar] [CrossRef]
- Vieira, F.G.; LaDow, E.; Moreno, A.; Kidd, J.D.; Thompson, K.; Gill, A.; Finkbeiner, S.; Perrin, S. Dexpramipexole is ineffective in two models of ALS related neurodegeneration. PLOS ONE 2014, 19, e91608. [Google Scholar]
- Javan, N.B.; Omid, N.J.; Hasb, N.M.; Shirmard, L.R.; Rafiee-Tehrani, M.; Dorkoosh, F. Preparation, statistical optimization and in vitro evaluation of pramipexole prolonged delivery system based on (3-hydroxybutyrate-co-3-hydroxyvalerate nanoparticles. J. Drug Deliv. Sci. Technol. 2018, 44, 82–90. [Google Scholar] [CrossRef]
- Trenkwalder, C.; Hening, W.A.; Montagna, P.; Oertel, W.H.; Allen, R.P.; Walters, A.S.; Costa, J.; Stiasny-Kolster, K.; Sampaio, C. Treatment of restless legs syndrome: An evidence-based review and implications for clinical practice. MoV. Disord. 2008, 23, 2267–22302. [Google Scholar] [CrossRef] [PubMed]
- Muzzia, M.; Buonvicino, D.; Urru, M.; Ofani, L.; Chiarugi, A. Repurposing of dexpramipexole to treatment of neonatal hypoxic/ischemic encephalopathy. Neurosci. Lett. 2018, 687, 234–240. [Google Scholar] [CrossRef] [PubMed]
- Pandya, R.S.; Zhu, H.; Li, W.; Bowser, R.; Friedlander, R.M.; Wang, X. Therapeutic neuroprotective agents for amyotrophic lateral sclerosis. Cell. Mol. Life Sci. 2013, 70, 4729–4745. [Google Scholar] [CrossRef] [PubMed]
- Juarez, J.M.; Silva Guisasola, G.O. Method for the Resolution of 2-amino-6-propilamino-4,5,6,7 Tetrahydrobenzothiazol and Intermediate Compounds. WO Patent Application No. 2006120268A1, 16 November 2006. [Google Scholar]
- Siesel, D.A.; Ramirez, C.; Meckler, H. Process for Preparing Chirality Pure 2-amino-6-(alkyl)amino-4,5,6,7-tetrahydrobenzothiazoles by Liquid Chromatographic Resolution. WO Patent Application No. 200612276A1, 2 February 2006. [Google Scholar]
- Zivec, M.; Anzic, B.; Gobec, S. A novel scalable synthesis of pramipexole. Org. Process. Res. Dev. 2010, 14, 1125–1129. [Google Scholar] [CrossRef]
- Schneider, C.S.; Mierau, J. Dopamine autoreceptor agonists: Resolution and pharmacological activity of 2,6-diaminotetrahydrobenzothiazole and an aminothiazole analogue of apomorphine. J. Med. Chem. 1987, 30, 494–498. [Google Scholar] [CrossRef]
- Ferraboschi, P.; Ciceri, S.; Ciuffreda, P.; De Mieri, M.; Romano, D.; Grisenti, P. Baker’s yeast catalyzed preparation of a new enathiomerically pure synthon of (S)-pramipexole and its enatiomer (dexpramipexole). Tetrahedron Asymmetry 2014, 25, 1239–1245. [Google Scholar] [CrossRef]
- News and Events-KNOPP Bioscience. Available online: https://knoppbio.com/index.php?section=news&subsection=news&id=56 (accessed on 6 September 2017).
- Wang, H.; Larriviere, K.S.; Keller, K.E.; Ware, K.A.; Burns, T.M.; Conaway, M.A.; Lacomis, D.; Pattee, G.; Philipps, L.H.; Solenski, N.J.Z.; et al. R(+)pramipexole as a mitochondrally focused neuroprotectant: Initial early phase studies in ALS. ALS 2008, 9, 50–58. [Google Scholar]
- Cudkowicz, M.; Bozik, M.E.; Ingersoll, E.W.; Miller, R.; Mitsumoto, H.; Shefner, J.; Moore, D.H.; Schoenfeld, D.; Mather, J.L.; Archibald, D.; et al. The effects of dexpramipexole (KNS-760704) in individuals with amyotrophic lateral sclerosis. Nat. Med. 2011, 17, 1652–1666. [Google Scholar] [CrossRef]
- Panch, S.R.; Bozik, M.E.; Brown, T.; Makiya, M.; Prussin, C.; Archibald, D.G.; Hebrank, G.T.; Sullivan, M.; Sun, X.; Wetzler, L.; et al. Dexpramipexole as an oral steroid-sparing agent in hypereosinophilic syndromes. Blood 2018, 132, 501–509. [Google Scholar] [CrossRef]
- Pharmaceutical Daily-Knopp Biosciences Enters Collaboration with Leading UK Investigators to Commence Phase 2 Clinical Trial of Dexpramipexole in Severe Eosinophilic Asthma. Available online: http://www.pharmaceuticaldaily.com/knopp-biosciences-enters-collaboration-with-leading-uk-investigators-to-commence-phase-2-clinical-trial-of-dexpramipexole-in-severe-eosinophilic-asthma (accessed on 22 July 2020).
- Majoral, J.P.; Zablocka, M.; Koprowski, M.; Hameau, A.; Shi, X.; Mignani, S.; Caminade, A.M. Design, complexing and catalytic properties of phosphorus thiazoles and benzothiazoles: A concise overview. New J. Chem. 2019, 43, 16785–16795. [Google Scholar] [CrossRef]
- Majoral, J.P.; Zablocka, M.; Caminade, A.M.; Balczewski, P.; Shi, X.; Mignani, S. Interactions gold/phosphorus dendrimers.Versatile ways to hybrid organic-metallic macromolecules. Coord. Chem. Rev. 2018, 358, 80–91. [Google Scholar] [CrossRef]
- Vandoorme, T.; De Bock, K.; Den Bosch, L. Energy metabolism in ALS: An underappreciated opportunity? Acta Neuropathol. 2018, 135, 489–509. [Google Scholar] [CrossRef] [PubMed]
- Alnabulsi, S.; Al-Hurani, E.; Al-Shar’i, N.A.; El-Elimat, T. Amino-carboxamide benzothiazoles as potential LSD1 hit inhibitors. Part I: Computational fragment-based drug design. J. Mol. Graph. Model. 2019, 93, 107440. [Google Scholar] [CrossRef] [PubMed]
















| Property | Indole | 1,3-Benzothiazole (BTZ) |
|---|---|---|
| Structure | ![]() | ![]() |
| Composition | C8H7N | C7H5NS |
| fw | 117 | 135 |
| Electrostatic potential map 1,2 | ![]() | ![]() |
| HOMO map 1 | ![]() | ![]() |
| HOMO energy 1 | −5.81 eV | −6.75 eV |
| LUMO map 1 | ![]() | ![]() |
| LUMO energy 1 | −0.61 eV | −1.38 eV |
| HBA 3 | - | 1 |
| HBD 4 | 1 | - |
| cLog P 5 | 2.14 | 2.01 |
| Identifier | Class | Ro5 a | Veber Rule b | Ghose Filter c | MDDR Rule d | Ro3 e | Fsp3 f | Chirality |
|---|---|---|---|---|---|---|---|---|
| A1 | etiotropic | yes | yes | yes | no | yes | no | no |
| A2 | CNS agent | yes | yes | yes | no | yes | yes | yes |
| A3 | CNS agent | yes | yes | yes | no | yes | no | no |
| A4 | diagnostic | yes | yes | yes | no | yes | yes | no |
| A5 | diagnostic | yes | yes | yes | no | no | yes | no |
| A6 | diagnostic | yes | yes | yes | no | no | no | no |
| A7 | diagnostic | no | yes | no | no | no | no | no |
| I1 | diagnostic | yes | yes | yes | no | no | no | no |
| I2 | diagnostic | yes | yes | yes | no | no | no | no |
| I3 | diagnostic | yes | yes | yes | no | no | no | no |
| I4 | pharmacodynamic | yes | yes | yes | no | no | no | no |
| I5 | pharmacodynamic | no | yes | yes | yes | no | yes | yes |
| I6 | CNS agent | yes | yes | yes | no | no | yes | no |
| I7 | CNS agent | yes | yes | yes | no | no | yes | no |
| I8 | pharmacodynamic | yes | yes | yes | no | no | no | no |
| I9 | pharmacodynamic | yes | yes | yes | no | no | no | no |
| I10 | etiotropic | no | no | no | no | no | yes | yes |
| I11 | etiotropic | no | yes | no | yes | no | yes | no |
| I12 | diagnostic | no | no | no | yes | no | yes | yes |
| I13 | etiotropic | no | no | no | yes | no | yes | no |
| E1 | CNS agents | yes | yes | yes | no | yes | yes | yes |
| E2 | pharmacodynamic | yes | yes | yes | no | no | no | no |
| E3 | diagnostic | yes | yes | yes | no | no | no | no |
| E4 | CNS agent | yes | yes | yes | no | no | no | no |
| E5 | etiotropic | yes | yes | yes | no | no | yes | no |
| E6 | pharmacodynamic | yes | yes | yes | no | no | yes | yes |
| E7 | pharmacodynamic | yes | yes | yes | no | no | yes | yes |
| E8 | pharmacodynamic | yes | yes | yes | no | no | no | no |
| E9 | etiotropic | yes | yes | yes | no | no | no | no |
| E10 | etiotropic | yes | yes | yes | no | no | no | yes |
| E11 | etiotropic | yes | yes | yes | no | no | no | no |
| E12 | pharmacodynamic | yes | yes | yes | no | no | no | no |
| E13 | pharmacodynamic | yes | yes | yes | no | no | yes | yes |
| E14 | pharmacodynamic | yes | yes | yes | no | no | no | no |
| E15 | pharmacodynamic | yes | yes | yes | no | no | no | no |
| E16 | pharmacodynamic | yes | no | no | no | no | yes | yes |
| E17 | pharmacodynamic | yes | yes | no | yes | no | no | no |
| E18 | etiotropic | no | yes | no | yes | no | no | yes |
| W1 | pharmacodynamic | yes | yes | yes | no | no | yes | no |
| W2 | etiotropic | yes | yes | yes | no | no | yes | no |
![]() | ||||
|---|---|---|---|---|
| Compound | -R11 | n | Glu a | H.H. b |
| ED50 (mg/kg ip) | ||||
| I | -SMe | 0 | 1.0 | 14.0 |
| II | -SOMe | 1 | 1.1 | 5.5 |
| III | -SO2Me | 1 | 1.8 | 2.5–10 |
| IV | -NMe2 | 1 | 2.3 | 4.0 |
| V | 1 | 2.0 | <5 | |
| VI | 1 | 3.0 | 2.5–10 | |
| VII | 1 | 2.2 | 2.5–10 | |
| VIII | 1 | 3.5 | 5.5 | |
| riluzole | 3.2 | 4.0 | ||
© 2020 by the authors. Licensee MDPI, Basel, Switzerland. This article is an open access article distributed under the terms and conditions of the Creative Commons Attribution (CC BY) license (http://creativecommons.org/licenses/by/4.0/).
Share and Cite
Mignani, S.; Majoral, J.-P.; Desaphy, J.-F.; Lentini, G. From Riluzole to Dexpramipexole via Substituted-Benzothiazole Derivatives for Amyotrophic Lateral Sclerosis Disease Treatment: Case Studies. Molecules 2020, 25, 3320. https://doi.org/10.3390/molecules25153320
Mignani S, Majoral J-P, Desaphy J-F, Lentini G. From Riluzole to Dexpramipexole via Substituted-Benzothiazole Derivatives for Amyotrophic Lateral Sclerosis Disease Treatment: Case Studies. Molecules. 2020; 25(15):3320. https://doi.org/10.3390/molecules25153320
Chicago/Turabian StyleMignani, Serge, Jean-Pierre Majoral, Jean-François Desaphy, and Giovanni Lentini. 2020. "From Riluzole to Dexpramipexole via Substituted-Benzothiazole Derivatives for Amyotrophic Lateral Sclerosis Disease Treatment: Case Studies" Molecules 25, no. 15: 3320. https://doi.org/10.3390/molecules25153320
APA StyleMignani, S., Majoral, J.-P., Desaphy, J.-F., & Lentini, G. (2020). From Riluzole to Dexpramipexole via Substituted-Benzothiazole Derivatives for Amyotrophic Lateral Sclerosis Disease Treatment: Case Studies. Molecules, 25(15), 3320. https://doi.org/10.3390/molecules25153320










