Ameliorated Mechanical and Dielectric Properties of Heat-Resistant Radome Cyanate Composites
Abstract
1. Introduction
2. Experimental
2.1. Material Preparation
2.2. Material Characterization and Property Test
3. Results and Discussion
3.1. Micro-Morphology Characterization
3.2. Mechanical Property
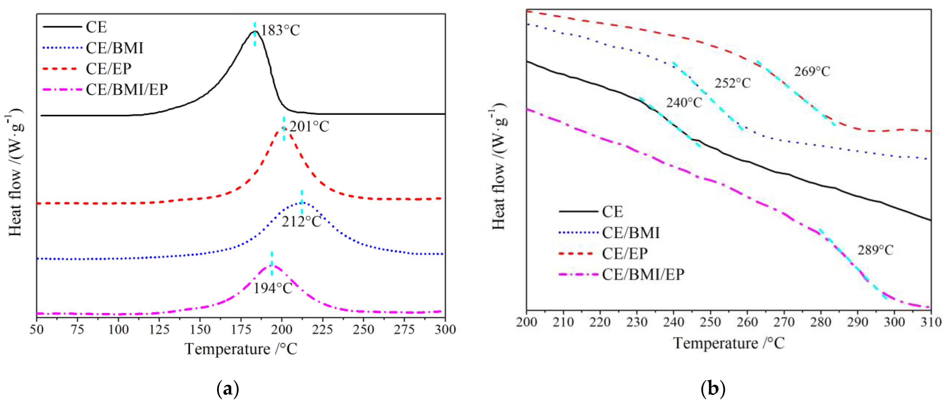
3.3. Thermal Characteristics
3.4. Electrical Performance
4. Conclusions
Author Contributions
Funding
Conflicts of Interest
References
- Wang, G.; Wang, R.; Fu, G.; Gao, T.L.; Fu, C.; Kuang, H.; Yang, F.; Jiao, W.C.; Hao, L.F. Study on phenolphthalein poly(ether sulfone)-modified cyanate ester resin and epoxy resin blends. Polym. Eng. Sci. 2015, 55, 2591–2602. [Google Scholar] [CrossRef]
- Khatavkar, N.; Balasubramanian, K. Composite materials for supersonic aircraft radomes with ameliorated radio frequency transmission-A review. RSC Adv. 2016, 6, 6709–6718. [Google Scholar] [CrossRef]
- Costa, F.; Monorchio, A. A frequency selective radome with wideband absorbing properties. IEEE Trans. Antennas Propag. 2012, 60, 2740–2747. [Google Scholar] [CrossRef]
- Dippong, T.; Levei, E.; Cadar, O.; Goga, F.; Borodi, G.; Barbu-Tudoran, L. Thermal behavior of CoxFe3−xO4/SiO2 nanocomposites obtained by a modified sol-gel method. J. Therm. Anal. Calorim. 2017, 128, 39–52. [Google Scholar] [CrossRef]
- Dippong, T.; Levei, E.; Cadar, O.; Goga, F.; Toloman, D.; Borodi, G. Thermal behavior of Ni, Co and Fe succinates embedded in silica matrix. J. Therm. Anal. Calorim. 2019, 136, 1587–1596. [Google Scholar] [CrossRef]
- Ma, J.X.; Lei, X.F.; Wang, Y.; Sun, Y. Toughening modification of cyanate ester with amino-terminated polyoxypropylene. Iran. Polym. J. 2018, 27, 145–151. [Google Scholar] [CrossRef]
- Marieta, C.; Rio, M.D.; Harismendy, I.; Mondragon, I. Effect of the cure temperature on the morphology of a cyanate ester resin modified with a thermoplastic: Characterization by atomic force microscopy. Eur. Polym. J. 2000, 36, 1445–1454. [Google Scholar] [CrossRef]
- Wu, G.; Cheng, Y.; Xie, Q.; Liu, C.; Kou, K.C.; Zhuo, L.H.; Wang, Y.Q. Synthesis of a bismaleimide/cyanate ester copolymer containing phenolphthalein functional group with excellent dielectric properties and thermally stable. J. Polym. Res. 2014, 21, 607–615. [Google Scholar] [CrossRef]
- Shi, H.; Fang, Z.; Gu, A.; Tong, L.; Xu, Z. Carboxyl-terminated butadiene-acrylonitrile rubber modified cyanate ester resin. J. Appl. Polym. Sci. 2007, 106, 3098–3104. [Google Scholar] [CrossRef]
- Hillermeier, R.W.; Seferis, J.C. Environmental effects on thermoplastic and elastomer toughened cyanate ester composite systems. J. Appl. Polym. Sci. 2000, 77, 556–567. [Google Scholar] [CrossRef]
- Liang, G.; Ren, P.; Zhang, Z.; Lu, T.L. Effect of the epoxy molecular weight on the properties of a cyanate ester/epoxy resin system. J. Appl. Polym. Sci. 2006, 101, 1744–1750. [Google Scholar] [CrossRef]
- Feng, Y.; Fang, Z.; Gu, A. Toughening of cyanate ester resin by carboxyl terminated nitrile rubber. Polym. Adv. Technol. 2004, 15, 628–631. [Google Scholar] [CrossRef]
- Nakamura, S.; Fujii, T.; Matsukawa, S.; Masayuki, K.; Fukuyama, H. Specific heat, thermal conductivity, and magnetic susceptibility of cyanate ester resins—An alternative to commonly used epoxy resins. Cryogenics 2018, 95, 76–81. [Google Scholar] [CrossRef]
- He, S.; Liang, G.; Yan, H.; Wang, J.; Yang, L. High performance toughened cyanate ester resin with low injection temperature for RTM process. Polym. Adv. Technol. 2009, 20, 143–146. [Google Scholar] [CrossRef]
- Cao, H.; Liu, B.; Ye, Y.; Liu, Y.; Li, P. Study on the relationships between microscopic cross-linked network structure and properties of cyanate ester self-reinforced composites. Polymers 2019, 11, 950. [Google Scholar] [CrossRef] [PubMed]
- Brahmbhatt, P.; Unnikrishnan, J.; Sudha, J.D.; Pradhan, S. Cure kinetics studies of cyanate ester and bisphenol-F epoxy blend. J. Appl. Polym. Sci. 2012, 125, 1068–1076. [Google Scholar] [CrossRef]
- Gu, A. High performance bismaleimide/cyanate ester hybrid polymer networks with excellent dielectric properties. Compos. Sci. Technol. 2006, 66, 1749–1755. [Google Scholar] [CrossRef]
- Chuang, W.; Geng, S.J.; Bao, L.Z.; Lei, P.; Wen, M.H.; Li, P.Z. Modification of cyanate resin by conjugated tri-component interpenetrating polymer networks. J. Mater. Res. Technol. 2017, 6, 226–231. [Google Scholar] [CrossRef]
- Suman, N.J. Assessment of bismaleimide-modified cyanate ester as matrix resin for elevated service temperature carbon composite applications. J. Reinf. Plast. Compos. 2005, 24, 1105–1114. [Google Scholar] [CrossRef]
- Ou, Q.R.; Ji, P.J.; Xiao, J.; Wu, L. Study on the properties of resin transfer molding cyanate ester and its T800 grade carbon fiber composites. Fluid Dyn. Mater. Process. 2019, 15, 27–37. [Google Scholar] [CrossRef]
- Hamerton, I.; Herman, H.; Mudhar, A.K.; Chaplin, A.; Shaw, S.J. Multivariate analysis of spectra of cyanate ester/bismaleimide blends and correlations with properties. Polymer 2002, 43, 3381–3386. [Google Scholar] [CrossRef]
- Ravi, S.; Kishore, S. Cure behavior of epoxy-cyanate ester blend in composite systems: Evaluation studies in neat resin cast by thermal and FTIR techniques. J. Appl. Polym. Sci. 2007, 109, 2023–2028. [Google Scholar] [CrossRef]
- Wu, F.; Song, B.; Moon, K.S.; Wong, C. Cyanate ester/epoxy co-curing system with thermal stabilizers for high temperature stability. In Proceedings of the IEEE 68th Electronic Components and Technology Conference, San Diego, CA, USA, 29 May–1 June 2018; Volume 1109, pp. 2242–2337. [Google Scholar]
- Pradhan, S.; Brahmbhatt, P.; Sudha, J.D.; Unnikrishnan, J. Influence of manganese acetyl acetonate on the cure-kinetic parameters of cyanate ester epoxy blend systems in fusion relevant magnets winding packs. J. Therm. Anal. Calorim. 2011, 105, 301–311. [Google Scholar] [CrossRef]
- Hu, X.; Fan, J.; Yue, C.Y. Rheological study of crosslinking and gelation in bismaleimide/cyanate ester interpenetrating polymer network. J. Appl. Polym. Sci. 2001, 80, 2437–2445. [Google Scholar] [CrossRef]
- Wang, M.; Wei, L.; Zhao, T. A novel condensation-addition-type phenolic resin (MPN): Synthesis, characterization and evaluation as matrix of composites. Polymer 2005, 46, 9202–9210. [Google Scholar] [CrossRef]
- Sudha, J.D.; Pradhan, S.; Viswanath, H.; Brahmb, H.P.; Manju, M.S. Studies on the cure parameters of cyanate ester–epoxy blend system through rheological property measurements. J. Therm. Anal. Calorim. 2014, 115, 743–750. [Google Scholar] [CrossRef]
- Guan, Q.; Gu, A.; Liang, G.; Li, Y.; Liao, F.; Gong, Y.W. Curing kinetics and mechanism of novel high performance hyperbranched polysiloxane/bismaleimide/cyanate ester resins for resin transfer molding. J. Appl. Polym. Sci. 2011, 122, 304–312. [Google Scholar] [CrossRef]
- Lin, C.H.; Yang, K.Z.; Leu, T.S.; Lin, C.H.; Sie, J.W. Synthesis, characterization, and properties of novel epoxy resins and cyanate esters. J. Polym. Sci. Part A Polym. Chem. 2006, 44, 3487–3502. [Google Scholar] [CrossRef]
- Wang, W.; Yuan, L.; Liang, G.; Gu, A.J.; Wu, J.Y. Preparation and characterization of novel cyanate ester/epoxy resin microspheres. Colloid Polym. Sci. 2010, 288, 719–729. [Google Scholar] [CrossRef]
- Chidambaram, V.; Rong, E.P.J.; Lip, G.C.; Daniel, R.M.W. Cyanate ester-based encapsulation material for high-temperature applications. J. Electron. Mater. 2013, 42, 2803–2812. [Google Scholar] [CrossRef]
- Liang, G.; Zhang, M. Enhancement of processability of cyanate ester resin via copolymerization with epoxy resin. J. Appl. Polym. Sci. 2002, 85, 2377–2381. [Google Scholar] [CrossRef]
- Sun, Z.; Huang, P.; Gu, A.; Liang, G.; Yuan, L.; Dai, S. Novel high-performance wave-transparent aluminum phosphate/cyanate ester composites. J. Appl. Polym. Sci. 2011, 123, 1576–1583. [Google Scholar] [CrossRef]
- Yu, Y.; Gan, W.; Liu, X.; Li, S. Liquid crystalline epoxy resin modified cyanate ester/epoxy resin systems. J. Appl. Polym. Sci. 2010, 109, 2964–2972. [Google Scholar] [CrossRef]
- Li, J.; Chen, P.; Ma, Z.; Ma, K.; Wang, B. Reaction kinetics and thermal properties of cyanate ester-cured epoxy resin with phenolphthalein poly(ether ketone). J. Appl. Polym. Sci. 2009, 111, 2590–2596. [Google Scholar] [CrossRef]






| Samples | Mass Ratio (CE:BMI:EP) | Catalyst/wt% |
|---|---|---|
| CE | 10:0:0 | 0 |
| CE/BMI | 10:1:0 | 0.3 |
| CE/EP | 10:0:1 | 0.3 |
| CE/BMI/EP | 10:1:1 | 0.3 |
| 2-Parameter | ||
|---|---|---|
| Eb/(kV/mm) | β | |
| CE | 66.33 | 14.38 |
| CE/BMI | 71.13 | 14.64 |
| CE/EP | 73.32 | 18.73 |
| CE/BMI/EP | 87.94 | 11.64 |
| Composites/Characteristics | AlPO4/CE [33] | PPCE/BMI [8] | CE/EP/LC [34] | CE/EP/PEK-C [35] | CE/BMI/HBPSi [28] | CE/BMI/EP Present |
|---|---|---|---|---|---|---|
| Tensile strength/MPa | 90 | 72 | 62 | 86 | 82 | 92 |
| Tensile modulus/GPa | 3.6 | – | 3.6 | 3.5 | 3.0 | 3.8 |
| Elongation at break/% | 5.42 | 3.67 | 3.35 | 4.44 | 3.96 | 5.82 |
| Curing temperature/°C | 210 | 135 | 198 | 185 | – | 194 |
| Tg/°C | 271 | 277 | 280 | 234 | 268 | 289 |
| Relative dielectric constants (10 GHz) | 3.05 | 3.10 | 2.74 | – | 2.97 | 2.64 |
| Dielectric loss tanδ (10 GHz) | 0.0065 | 0.0170 | 0.0049 | – | 0.0063 | 0.0040 |
| Transmittance band (tanδ ≤ 0.01) | Ku | S | C | – | S | X |
© 2020 by the authors. Licensee MDPI, Basel, Switzerland. This article is an open access article distributed under the terms and conditions of the Creative Commons Attribution (CC BY) license (http://creativecommons.org/licenses/by/4.0/).
Share and Cite
Li, H.-Y.; Li, C.-M.; Gao, J.-G.; Sun, W.-F. Ameliorated Mechanical and Dielectric Properties of Heat-Resistant Radome Cyanate Composites. Molecules 2020, 25, 3117. https://doi.org/10.3390/molecules25143117
Li H-Y, Li C-M, Gao J-G, Sun W-F. Ameliorated Mechanical and Dielectric Properties of Heat-Resistant Radome Cyanate Composites. Molecules. 2020; 25(14):3117. https://doi.org/10.3390/molecules25143117
Chicago/Turabian StyleLi, Hou-Yu, Chang-Ming Li, Jun-Guo Gao, and Wei-Feng Sun. 2020. "Ameliorated Mechanical and Dielectric Properties of Heat-Resistant Radome Cyanate Composites" Molecules 25, no. 14: 3117. https://doi.org/10.3390/molecules25143117
APA StyleLi, H.-Y., Li, C.-M., Gao, J.-G., & Sun, W.-F. (2020). Ameliorated Mechanical and Dielectric Properties of Heat-Resistant Radome Cyanate Composites. Molecules, 25(14), 3117. https://doi.org/10.3390/molecules25143117

