Magnetically Recoverable TiO2/SiO2/γ-Fe2O3/rGO Composite with Significantly Enhanced UV-Visible Light Photocatalytic Activity
Abstract
:1. Introduction
2. Results and Discussion
2.1. Morphology
2.2. Crystal Structure of Catalyst Samples
2.3. Raman Spectroscopy
2.4. FTIR Spectroscopy
2.5. Magnetic Properties: Vibrating-Sample Magnetometer (VSM)
2.6. Nitrogen Gas Physisorption Studies
2.7. Optical Properties
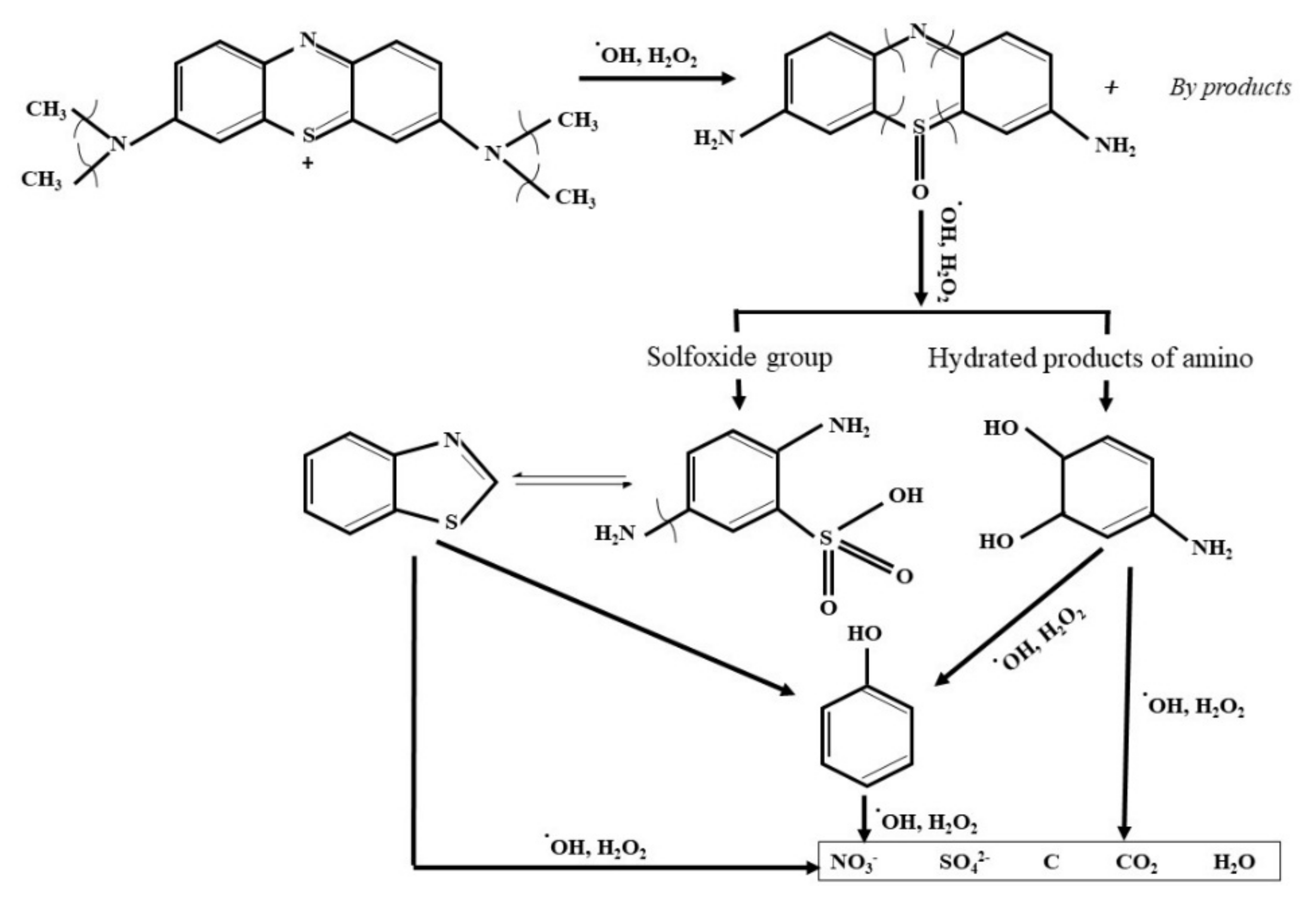
2.8. Photoactivity under UV and Visible Lights
2.9. Effect of Reactive Species on Photodegradation Process
2.10. Photocatalytic Stability
2.11. Possible Photocatalytic Mechanism in TSFG System
- The addition of SiO2, enhancing the hydroxyl groups and surface area of the sample and stabilizing the anatase phase
- The generation of a heterojunction between TiO2 and γ-Fe2O3, decreasing the rate of e−/h+ recombination
- rGO sheets have a high charge transfer ability that can increase the charge separation efficiency, also preventing recombination; they also act as nucleation sites for nanoparticle growth, allowing good distribution of nanoparticles and contrasting agglomeration.
3. Materials and Methods
3.1. Preparation of γ-Fe2O3 Nanoparticles
3.2. Preparation of Reduced Graphene Oxide (rGO)
3.3. Preparation of Nano Magnetic TiO2/SiO2/γ-Fe2O3/rGO Photocatalyst
4. Characterization
5. Conclusions
Supplementary Materials
Author Contributions
Funding
Conflicts of Interest
References
- Mao, L.; Li, Q.; Dang, H.; Zhang, Z. Synthesis of nanocrystalline TiO2 with high photoactivity and large specific surface area by sol–gel method. Mater. Res. Bull. 2005, 40, 201–208. [Google Scholar] [CrossRef]
- Fujishima, A.; Rao, T.N.; Tryk, D.A. Titanium dioxide photocatalysis. J. Photochem. Photobiol. C Photochem. Rev. 2000, 1, 1–21. [Google Scholar] [CrossRef]
- Diamanti, M.V.; Gadelrab, K.R.; Pedeferri, M.P.; Stefancich, M.; Pehkonen, S.O.; Chiesa, M. Nanoscale investigation of photoinduced hydrophilicity variations in anatase and rutile nanopowders. Langmuir 2013, 29, 14512–14518. [Google Scholar] [CrossRef] [PubMed]
- Lee, K.; Yoon, H.; Ahn, C.; Park, J.; Jeon, S. Strategies to improve the photocatalytic activity of TiO2: 3D nanostructuring and heterostructuring with graphitic carbon nanomaterials. Nanoscale 2019, 11, 7025–7040. [Google Scholar] [CrossRef] [PubMed]
- Wu, X.P. A Review—The Properties and Applications of Nano-Structured Titanium Oxide Materials. Key Eng. Mater. 2017, 727, 314–321. [Google Scholar] [CrossRef]
- Qian, R.; Zong, H.; Schneider, J.; Zhou, G.; Zhao, T.; Li, Y.; Yang, J.; Bahnemann, D.W.; Pan, J. Charge carrier trapping, recombination and transfer during TiO2 photocatalysis: An overview. Catal. Today 2019, 335, 78–90. [Google Scholar] [CrossRef]
- Hashimoto, K.; Irie, H.; Fujishima, A. TiO2 Photocatalysis: A Historical Overview and Future Prospects. Jpn. J. Appl. Phys. 2005, 44, 8269–8285. [Google Scholar] [CrossRef]
- Ansari, S.A.; Khan, M.M.; Ansari, M.O.; Cho, M.H. Nitrogen-doped titanium dioxide (N-doped TiO2) for visible light photocatalysis. New J. Chem. 2016, 40, 3000–3009. [Google Scholar] [CrossRef]
- Humayun, M.; Raziq, F.; Khan, A.; Luo, W. Modification strategies of TiO2 for potential applications in photocatalysis: A critical review. Green Chem. Lett. Rev. 2018, 11, 86–102. [Google Scholar] [CrossRef] [Green Version]
- Park, H.; Park, Y.; Kim, W.; Choi, W. Surface modification of TiO2 photocatalyst for environmental applications. J. Photochem. Photobiol. C Photochem. Rev. 2013, 15, 1–20. [Google Scholar] [CrossRef]
- Dozzi, M.V.; Chiarello, G.L.; Selli, E. Effects of surface modification and doping on the photocatalytic activity of TiO2. J. Adv. Oxid. Technol. 2010, 13. [Google Scholar] [CrossRef]
- Li, X.; Xia, T.; Xu, C.; Murowchick, J.; Chen, X. Synthesis and photoactivity of nanostructured CdS–TiO2 composite catalysts. Catal. Today 2014, 225, 64–73. [Google Scholar] [CrossRef]
- Ji, L.; Liu, B.; Qian, Y.; Yang, Q.; Gao, P. Enhanced visible-light-induced photocatalytic disinfection of Escherichia coli by ternary Bi2WO6/TiO2/reduced graphene oxide composite materials: Insight into the underlying mechanism. Adv. Powder Technol. 2020, 31, 128–138. [Google Scholar] [CrossRef]
- Rawal, S.B.; Bera, S.; Lee, D.; Jang, D.-J. Design of visible-light photocatalysts by coupling of narrow bandgap semiconductors and TiO2: Effect of their relative energy band positions on the photocatalytic efficiency. Catal. Sci. Technol. 2013, 3, 1822. [Google Scholar] [CrossRef]
- Nilchi, A.; Janitabar-Darzi, S.; Rasouli-Garmarodi, S. Sol-Gel Preparation of Nanoscale TiO2/SiO2 Composite for Eliminating of Con Red Azo Dye. Mater. Sci. Appl. 2011, 2, 476–480. [Google Scholar] [CrossRef] [Green Version]
- Abbas, N.; Shao, G.N.; Imran, S.M.; Haider, M.S.; Kim, H.T. Inexpensive synthesis of a high-performance Fe3O4-SiO2-TiO2 photocatalyst: Magnetic recovery and reuse. Front. Chem. Sci. Eng. 2016, 10, 405–416. [Google Scholar] [CrossRef]
- Li, W.; Feng, C.; Yue, J.; Hua, F.; Bu, Y. Photocatalytic performance of hierarchical TiO2/Ag3PO4 composite under visible-light illumination. Chem. J. Chin. Univ. 2015, 36, 1194–1201. [Google Scholar] [CrossRef]
- Deng, L.; Liu, H.; Gao, X.; Su, X.; Zhu, Z. SnS2/TiO2 nanocomposites with enhanced visible light-driven photoreduction of aqueous Cr(VI). Ceram. Int. 2016, 42, 3808–3815. [Google Scholar] [CrossRef]
- Shi, J.-W.; Yan, X.; Cui, H.-J.; Zong, X.; Fu, M.-L.; Chen, S.; Wang, L. Low-temperature synthesis of CdS/TiO2 composite photocatalysts: Influence of synthetic procedure on photocatalytic activity under visible light. J. Mol. Catal. A Chem. 2012, 356, 53–60. [Google Scholar] [CrossRef]
- Wang, R.; Wang, X.; Xi, X.; Hu, R.; Jiang, G. Preparation and Photocatalytic Activity of Magnetic Fe3O4/SiO2/TiO2Composites. Adv. Mater. Sci. Eng. 2012, 2012, 1–8. [Google Scholar] [CrossRef] [Green Version]
- Guanghong, Z.; HongYan, D.; Yufu, Z.; Yuebin, L.; Peng, L. High Visible-light Photocatalytic Activity of γ-Fe2O3/TiO2 Nanotube Heterojunction Arrays. Rare Met. Mater. Eng. 2016, 45, 1117–1121. [Google Scholar] [CrossRef]
- Banisharif, A.; Khodadadi, A.A.; Mortazavi, Y.; Firooz, A.A.; Beheshtian, J.; Agah, S.; Menbari, S. Highly active Fe2O3-doped TiO2 photocatalyst for degradation of trichloroethylene in air under UV and visible light irradiation: Experimental and computational studies. Appl. Catal. B Environ. 2015, 165, 209–221. [Google Scholar] [CrossRef]
- Nasirian, M.; Lecompte, C.F.B.; Mehrvar, M. Photocatalytic efficiency of Fe2O3/TiO2 for the degradation of typical dyes in textile industries: Effects of calcination temperature and UV-assisted thermal synthesis. J. Environ. Manag. 2017, 196, 487–498. [Google Scholar] [CrossRef] [PubMed]
- Nguyen, P.T.; Salim, C.; Kurniawan, W.; Hinode, H. A non-hydrolytic sol–gel synthesis of reduced graphene oxide/TiO2 microsphere photocatalysts. Catal. Today 2014, 230, 166–173. [Google Scholar] [CrossRef]
- Zhang, H.; Qin, X.; Wang, M. Preparation and photocatalytic performance of RGO/TiO2 nano-composite material. 2016, 10, 167–174. [Google Scholar]
- Fang, D.; Li, X.; Liu, H.; Xu, W.; Jiang, M.; Li, W.; Fan, X. BiVO4-rGO with a novel structure on steel fabric used as high-performance photocatalysts. Sci. Rep. 2017, 7, 7979. [Google Scholar] [CrossRef]
- Phanichphant, S.; Nakaruk, A.; Chansaenpak, K.; Channei, D. Evaluating the photocatalytic efficiency of the BiVO4/rGO photocatalyst. Sci. Rep. 2019, 9, 16091–16099. [Google Scholar] [CrossRef]
- Isari, A.A.; Payan, A.; Fattahi, M.; Jorfi, S.; Kakavandi, B. Photocatalytic degradation of rhodamine B and real textile wastewater using Fe-doped TiO2 anchored on reduced graphene oxide (Fe-TiO2/rGO): Characterization and feasibility, mechanism and pathway studies. Appl. Surf. Sci. 2018, 462, 549–564. [Google Scholar] [CrossRef]
- Cui, H.; Ren, W. Low temperature and size controlled synthesis of monodispersed γ-Fe2O3 nanoparticles by an epoxide assisted sol–gel route. J. Sol-Gel Sci. Technol. 2008, 47, 81–84. [Google Scholar] [CrossRef]
- Shalaby, A.; Angelova, T.; Bachvarova-Nedelcheva, A.; Georgieva, N.; Iordanova, R.; Staneva, A.; Dimitriev, Y. Sol-gel synthesis of materials in the system SiO2/ZnO/TiO2/RGO and their antimicrobial efficiency against E. coli K12. C. R. Acad. Bulg. Sci. 2016, 69. [Google Scholar]
- Spurr, R.A.; Myers, H. Quantitative Analysis of Anatase-Rutile Mixtures with an X-Ray Diffractometer. Anal. Chem. 1957, 29, 760–762. [Google Scholar] [CrossRef]
- Murphy, A.B. Band-gap determination from diffuse reflectance measurements of semiconductor films, and application to photoelectrochemical water-splitting. Sol. Energy Mater. Sol. Cells 2007, 91, 1326–1337. [Google Scholar] [CrossRef]
- Gao, X.; Wachs, I.E. Titania–silica as catalysts: Molecular structural characteristics and physico-chemical properties. Catal. Today 1999, 51, 233–254. [Google Scholar] [CrossRef]
- Bagherzadeh, M.; Kaveh, R.; Ozkar, S.; Akbayrak, S. Preparation and characterization of a new CdS–NiFe2O4/reduced graphene oxide photocatalyst and its use for degradation of methylene blue under visible light irradiation. Res. Chem. Intermed. 2018, 44, 5953–5979. [Google Scholar] [CrossRef]
- Hung, W.-C.; Chen, Y.-C.; Chu, H.; Tseng, T.-K. Synthesis and characterization of TiO2 and Fe/TiO2 nanoparticles and their performance for photocatalytic degradation of 1,2-dichloroethane. Appl. Surf. Sci. 2008, 255, 2205–2213. [Google Scholar] [CrossRef]
- Ohno, T.; Sarukawa, K.; Tokieda, K.; Matsumura, M. Morphology of a TiO2 Photocatalyst (Degussa, P-25) Consisting of Anatase and Rutile Crystalline Phases. J. Catal. 2001, 203, 82–86. [Google Scholar] [CrossRef]
- Zhang, X.; Niu, Y.; Meng, X.; Li, Y.; Zhao, J. Structural evolution and characteristics of the phase transformations between α-Fe2O3, Fe3O4 and γ-Fe2O3 nanoparticles under reducing and oxidizing atmospheres. CrystEngComm 2013, 15, 8166. [Google Scholar] [CrossRef]
- Wang, C.; Zhang, X.; Shao, C.; Zhang, Y.; Yang, J.; Sun, P.; Liu, X.; Liu, H.; Liu, Y.; Xie, T.; et al. Rutile TiO2 nanowires on anatase TiO2 nanofibers: A branched heterostructured photocatalysts via interface-assisted fabrication approach. J. Colloid Interface Sci. 2011, 363, 157–164. [Google Scholar] [CrossRef]
- Yang, C.-H.; Ma, Z. Raman spectral analysis of TiO2 thin films doped with rare-earth samarium. Appl. Opt. 2012, 51, 5438–5441. [Google Scholar] [CrossRef]
- Li, G.; Lan, J. Chrysanthemum-like 3D hierarchical magnetic ?-Fe2O3 and Fe3O4 superstructures: Facile synthesis and application in adsorption of organic pollutants from water. RSC Adv. 2015, 5, 1705–1711. [Google Scholar] [CrossRef]
- Huang, C.-H.; Bai, H.; Liu, S.-L.; Huang, Y.-L.; Tseng, Y.-H. Synthesis of neutral SiO2/TiO2 hydrosol and its photocatalytic degradation of nitric oxide gas. Micro Nano Lett. 2011, 6, 646. [Google Scholar] [CrossRef]
- Pal, B.; Hata, T.; Goto, K.; Nogami, G. Photocatalytic degradation of o-cresol sensitized by iron–titania binary photocatalysts. J. Mol. Catal. A Chem. 2001, 169, 147–155. [Google Scholar] [CrossRef]
- Botelho, G.; Andrés, J.; Gracia, L.; Matos, L.S.; Longo, E. Photoluminescence and Photocatalytic Properties of Ag3 PO4 Microcrystals: An Experimental and Theoretical Investigation. ChemPlusChem 2015, 81, 202–212. [Google Scholar] [CrossRef] [PubMed]
- Bagherzadeh, M.; Kaveh, R. New Magnetically Recyclable Reduced Graphene Oxide rGO/MFe2 O4 (M = Ca, Mg)/Ag3 PO4 Nanocomposites With Remarkably Enhanced Visible-light Photocatalytic Activity and Stability. Photochem. Photobiol. 2018, 94, 1210–1224. [Google Scholar] [CrossRef]
- Ma, Y.; Wang, X.; Jia, Y.; Chen, X.; Han, H.; Li, C. Titanium Dioxide-Based Nanomaterials for Photocatalytic Fuel Generations. Chem. Rev. 2014, 114, 9987–10043. [Google Scholar] [CrossRef]
- Daghrir, R.; Drogui, P.; Robert, D. Modified TiO2For Environmental Photocatalytic Applications: A Review. Ind. Eng. Chem. Res. 2013, 52, 3581–3599. [Google Scholar] [CrossRef]
- Yuan, X.; Wang, H.; Wu, Y.; Zeng, G.; Chen, X.; Leng, L.; Wu, Z.; Li, H.; Hou, W. One-pot self-assembly and photoreduction synthesis of silver nanoparticle-decorated reduced graphene oxide/MIL-125(Ti) photocatalyst with improved visible light photocatalytic activity. Appl. Organomet. Chem. 2016, 30, 289–296. [Google Scholar] [CrossRef]
- Sansotera, M.; Kheyli, S.G.M.; Baggioli, A.; Bianchi, C.L.; Pedeferri, M.; Diamanti, M.V.; Navarrini, W. Absorption and photocatalytic degradation of VOCs by perfluorinated ionomeric coating with TiO2 nanopowders for air purification. Chem. Eng. J. 2019, 361, 885–896. [Google Scholar] [CrossRef] [Green Version]
- Cao, J.; Li, X.; Lin, H.; Chen, S.; Fu, X. In situ preparation of novel p–n junction photocatalyst BiOI/(BiO)2CO3 with enhanced visible light photocatalytic activity. J. Hazard. Mater. 2012, 239, 316–324. [Google Scholar] [CrossRef]
- Bagherzadeh, M.; Kaveh, R. A new SnS2-BiFeO3/reduced graphene oxide photocatalyst with superior photocatalytic capability under visible light irradiation. J. Photochem. Photobiol. A Chem. 2018, 359, 11–22. [Google Scholar] [CrossRef]
- Jang, I.; You, K.-E.; Kim, Y.C.; Oh, S.-G. Surfactant-assisted preparation of core-shell-type TiO2 –Fe2O3 composites and their photocatalytic activities under room light irradiation. Appl. Surf. Sci. 2014, 316, 187–193. [Google Scholar] [CrossRef]
- Abbasi, A.; Ghanbari, D.; Salavati-Niasari, M.; Hamadanian, M. Photo-degradation of methylene blue: Photocatalyst and magnetic investigation of Fe2O3–TiO2 nanoparticles and nanocomposites. J. Mater. Sci. Mater. Electron. 2016, 27, 4800–4809. [Google Scholar] [CrossRef]
- Wang, C.; Yin, L.; Zhang, L.; Kang, L.; Wang, X.; Gao, R. Magnetic (γ-Fe2O3@SiO2)n@TiO2 Functional Hybrid Nanoparticles with Actived Photocatalytic Ability. J. Phys. Chem. C 2009, 113, 4008–4011. [Google Scholar] [CrossRef]
- Zhao, D.; Sheng, G.; Chenab, C.; Wang, X. Enhanced photocatalytic degradation of methylene blue under visible irradiation on graphene@TiO2 dyade structure. Appl. Catal. B Environ. 2012, 111, 303–308. [Google Scholar] [CrossRef]
- Yang, Y.; Liu, E.; Dai, H.; Kang, L.; Wu, H.; Fan, J.; Hu, X.; Liu, H. Photocatalytic activity of Ag–TiO2-graphene ternary nanocomposites and application in hydrogen evolution by water splitting. Int. J. Hydrogen Energy 2014, 39, 7664–7671. [Google Scholar] [CrossRef]
- Min, Y.L.; Zhang, K.; Zhao, W.; Zheng, F.C.; Chen, Y.C.; Zhang, Y.G. Enhanced chemical interaction between TiO2 and graphene oxide for photocatalytic decolorization of methylene blue. Chem. Eng. J. 2012, 193, 203–210. [Google Scholar] [CrossRef]
- Madrakian, T.; Afkhami, A.; Haryani, R.; Ahmadi, M. Synthesis of γ-Fe2O3/TiO2 nanocomposite and its application in removal of dyes from water samples by adsorption and degradation processes. RSC Adv. 2014, 4, 44841–44847. [Google Scholar] [CrossRef]
- Fu, H.; Sun, S.; Yang, X.; Li, W.; An, X.; Zhang, H.; Dong, Y.; Jiang, X.; Yu, A. A facile coating method to construct uniform porous α-Fe2O3@TiO2 core-shell nanostructures with enhanced solar light photocatalytic activity. Powder Technol. 2018, 328, 389–396. [Google Scholar] [CrossRef]
- Abdel-Wahab, A.-M.; Al-Shirbini, A.-S.; Mohamed, O.; Nasr, O. Photocatalytic degradation of paracetamol over magnetic flower-like TiO2/Fe2O3 core-shell nanostructures. J. Photochem. Photobiol. A Chem. 2017, 347, 186–198. [Google Scholar] [CrossRef]
- Wang, F.; Yu, X.; Ge, M.; Wu, S. One-step synthesis of TiO2/γ-Fe2O3/GO nanocomposites for visible light-driven degradation of ciprofloxacin. Chem. Eng. J. 2020, 384, 123381. [Google Scholar] [CrossRef]
- Liu, S.; Huang, S.; Li, G.; Zhou, P.; Lv, H.; Wang, M.; Chen, Y.; Pan, J.; Liu, W. Magnetite CaF2 near-infrared photocatalysts fabricated with Ca-enriched ferrites derived from electroplating wastewater. Chem. Eng. J. 2020. [Google Scholar] [CrossRef]
- Huang, F.; Chen, L.; Wang, H.; Yan, Z. Analysis of the degradation mechanism of methylene blue by atmospheric pressure dielectric barrier discharge plasma. Chem. Eng. J. 2010, 162, 250–256. [Google Scholar] [CrossRef]
- Chithambararaj, A.; Sanjini, N.S.; Bose, A.C.; Velmathi, S. Flower-like hierarchical h-MoO3: New findings of efficient visible light driven nano photocatalyst for methylene blue degradation. Catal. Sci. Technol. 2013, 3, 1405. [Google Scholar] [CrossRef]
- Gnaser, H.; Savina, M.; Calaway, W.F.; Tripa, C.E.; Veryovkin, I.V.; Pellin, M.J. Photocatalytic degradation of methylene blue on nanocrystalline TiO2: Surface mass spectrometry of reaction intermediates. Int. J. Mass Spectrom. 2005, 245, 61–67. [Google Scholar] [CrossRef]
Sample Availability: Samples of the compounds TiO2, TS, TSF and TSFG are available from the authors. |















| Temperature | Anatase (%) | Anatase Particle Size (nm) | |
|---|---|---|---|
| TiO2 | Non calcined | - | - |
| 450 °C | 100 | 15 | |
| 550 °C | 83 | 21 | |
| 650 °C | 58 | 29 | |
| 750 °C | 30 | 32 | |
| TiO2-SiO2 | Non calcined | - | - |
| 450 °C | 100 | 13 | |
| 550 °C | 94 | 21 | |
| 650 °C | 66 | 24 | |
| 750 °C | 52 | 26 |
| Composite | Light Source | Degradation Time/Rate | Degradation Rate @ 40 min | Dye Concentration | Photocatalyst Amount |
|---|---|---|---|---|---|
| Core-shell-type TiO2–Fe2O3 [46] | Room light | 200 min/88% | 40% | 100 mL, 1 × 10−5 M | 5 mg |
| Fe2O3–TiO2 [47] | UV light | 100 min/90% | 35% | 40 mL, 10 ppm | 4 mg |
| (γ-Fe2O3@SiO2)n@TiO2 [48] | UV light | 80 min/80% | 70% | 150 mL, 25 mg/L | 10 mg |
| Graphene@TiO2 [49] | UV light Vis light | UV 200 min/88% Vis 200 min/70% | UV 70% Vis 35% | 100 mL, 10 mg/L | 50 mg |
| Ag–TiO2-graphene [50] | UV light | 120 min/45% | 25% | 50 mL, 5 mg/L | - |
| TiO2/graphene oxide [51] | UV light Vis light | UV 160 min/95% Vis 160 min/65% | UV 40% Vis 35% | 100 mL, 2 × 10 5 M | 30 mg |
| Present study | UV light Vis light | - | UV 84% Vis 66% | 40 mL, 1 × 10 −5 M | 1 mg |
| UV | Vis | |||
|---|---|---|---|---|
| Sample | K (min −1) | R2 | K (min −1) | R2 |
| TiO2 | −0.011 | 0.98 | −0.001 | 0.98 |
| TS | −0.032 | 0.99 | −0.012 | 0.95 |
| TSF | −0.046 | 0.99 | −0.029 | 0.97 |
| TSFG | −0.062 | 0.98 | −0.034 | 0.96 |
| Recycle Number | K (min −1) | R2 |
|---|---|---|
| 1 | −0.019 | 0.95 |
| 2 | −0.019 | 0.97 |
| 3 | −0.019 | 0.98 |
| 4 | −0.019 | 0.99 |
| Calcination Temperatures | TiO2 | TiO2/SiO2 |
|---|---|---|
| No calcination | T-non-Cal | TS-non-Cal |
| 450 °C | T-Cal 450 | TS-Cal 450 |
| 550 °C | T-Cal 550 | TS-Cal 550 |
| 650 °C | T-Cal 650 | TS-Cal 650 |
| 750 °C | T-Cal 750 | TS-Cal 750 |
© 2020 by the authors. Licensee MDPI, Basel, Switzerland. This article is an open access article distributed under the terms and conditions of the Creative Commons Attribution (CC BY) license (http://creativecommons.org/licenses/by/4.0/).
Share and Cite
Kaveh, R.; Mokhtarifar, M.; Bagherzadeh, M.; Lucotti, A.; Diamanti, M.V.; Pedeferri, M. Magnetically Recoverable TiO2/SiO2/γ-Fe2O3/rGO Composite with Significantly Enhanced UV-Visible Light Photocatalytic Activity. Molecules 2020, 25, 2996. https://doi.org/10.3390/molecules25132996
Kaveh R, Mokhtarifar M, Bagherzadeh M, Lucotti A, Diamanti MV, Pedeferri M. Magnetically Recoverable TiO2/SiO2/γ-Fe2O3/rGO Composite with Significantly Enhanced UV-Visible Light Photocatalytic Activity. Molecules. 2020; 25(13):2996. https://doi.org/10.3390/molecules25132996
Chicago/Turabian StyleKaveh, Reyhaneh, Maryam Mokhtarifar, Mojtaba Bagherzadeh, Andrea Lucotti, Maria Vittoria Diamanti, and MariaPia Pedeferri. 2020. "Magnetically Recoverable TiO2/SiO2/γ-Fe2O3/rGO Composite with Significantly Enhanced UV-Visible Light Photocatalytic Activity" Molecules 25, no. 13: 2996. https://doi.org/10.3390/molecules25132996
APA StyleKaveh, R., Mokhtarifar, M., Bagherzadeh, M., Lucotti, A., Diamanti, M. V., & Pedeferri, M. (2020). Magnetically Recoverable TiO2/SiO2/γ-Fe2O3/rGO Composite with Significantly Enhanced UV-Visible Light Photocatalytic Activity. Molecules, 25(13), 2996. https://doi.org/10.3390/molecules25132996

