Synthesis and Microwave Absorption Properties of Sulfur-Free Expanded Graphite/Fe3O4 Composites
Abstract
1. Introduction
2. Experimental Section
2.1. Preparation of Sulfur-Free EG
2.2. Preparation of Sulfur-Free EG/Fe3O4 Composites
2.3. Characterization
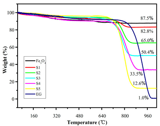
3. Results and Discussion
4. Conclusions
Supplementary Materials
Author Contributions
Funding
Acknowledgments
Conflicts of Interest
References
- Zhao, T.; Jin, W.; Ji, X. Synthesis of sandwich microstructured expanded graphite/barium ferrite connected with carbon nanotube composite and its electromagnetic wave absorbing properties. J. Alloy. Compd. 2017, 712, 59–68. [Google Scholar] [CrossRef]
- Liu, Y.; Du, X.; Wu, C.; Liu, Y.; Liu, Y.; Zhao, G. Reduced graphene oxide decorated with ZnO microrods for efficient electromagnetic wave absorption performance. J. Mater. Sci. Mater. El. 2020, 31, 8637–8648. [Google Scholar] [CrossRef]
- Zhang, K.L.; Zhang, J.Y.; Hou, Z.L. Multifunctional broadband microwave absorption of flexible graphene composites. Carbon 2018, 141, 608–617. [Google Scholar] [CrossRef]
- Liu, G.Z.; Jiang, W.; Wang, Y.P. One-pot synthesis of Ag@Fe3O4/reduced graphene oxide composite with excellent electromagnetic absorption properties. Ceram. Int. 2015, 41, 4982–4988. [Google Scholar] [CrossRef]
- Lian, C.; Wang, Z.; Lin, R. An efficient, controllable and facile two-step synthesis strategy: Fe3O4@RGO composites with various Fe3O4 nanoparticles and their supercapacitance properties. Nano Res. 2017, 10, 3303–3313. [Google Scholar] [CrossRef]
- Lv, H.; Ji, G.; Liu, W. Achieving hierarchical hollow carbon@Fe@Fe3O4 nanospheres with superior microwave absorption properties and lightweight feature. J. Mater. Chem. C 2015, 3, 10232–10241. [Google Scholar] [CrossRef]
- Ning, M.Q.; Li, J.B.; Kuang, B.Y.; Jin, H.B. One-Step Fabrication of N-doped CNTs Encapsulating M nanoparticles (M = Fe, Co, Ni) for Efficient Microwave Absorption. Appl. Surf. Sci. 2018, 447, 244–253. [Google Scholar] [CrossRef]
- Su, H.; Du, Y.; Zhang, J.; Peng, P.; Li, S.; Chen, P.; Gozin, M.; Pang, S. Stabilizing Metastable Polymorphs of Metal-Organic Frameworks via Encapsulation of Graphene Oxide and Mechanistic Studies. ACS Appl. Mater. Interfaces 2018, 10, 32828–32837. [Google Scholar] [CrossRef]
- Kuang, B.; Song, W.; Ning, M.; Li, J.; Zhao, Z.; Guo, D.; Cao, M.; Jin, H. Chemical reduction dependent dielectric properties and dielectric loss mechanism of reduced graphene oxide. Carbon 2018, 127, 209–217. [Google Scholar] [CrossRef]
- Kong, L.; Yin, X.; Yuan, X. Electromagnetic wave absorption properties of graphene modified with carbon nanotube/poly (dimethyl siloxane) composites. Carbon 2014, 73, 185–193. [Google Scholar] [CrossRef]
- Matsumoto, K.; Nakahara, K.; Iwasa, S. SEI Pre-coated graphite anode in lithium ion battery with EMITFSI ionic liquid electrolyte. J. Electrochem. Soc. 2009, 3, 179. [Google Scholar]
- Li, W.; Han, C.; Liu, W. Expanded graphite applied in the catalytic process as a catalyst support. Catal. Today 2007, 125, 278–281. [Google Scholar] [CrossRef]
- Zhao, C.Y.; Wu, Z.G. Heat transfer enhancement of high temperature thermal energy storage using metal foams and expanded graphite. Sol. Energ. Mat. Sol. Cells 2011, 95, 636–643. [Google Scholar] [CrossRef]
- Goyal, R.K. Cost-efficient high performance polyetheretherketone/expanded graphite nanocomposites with high conductivity for EMI shielding application. Mater. Chem. Phys. 2013, 142, 195–198. [Google Scholar] [CrossRef]
- Wang, C.Y.; Li, H.R.; Qin, C.L. Preparation of low-sulfur expanded graphite with different size particles. Adv. Mater. 2013, 652, 745–748. [Google Scholar] [CrossRef]
- Wang, C.Y.; Ma, M.; Qin, C.L. Preparation of expanded graphite with Fe3O4 nanoparticles. Adv. Mater. 2013, 690, 507–510. [Google Scholar]
- Li, J.H.; Da, H.F.; Liu, Q. Preparation of sulfur-free expanded graphite with 320 μm mesh of flake graphite. Mater. Lett. 2006, 60, 3927–3930. [Google Scholar]
- Kumar, R.; Singh, R.K.; Vaz, A.R. Self-assembled and one-step synthesis of Interconnected 3D network of Fe3O4/Reduced graphene oxide nanosheets hybrid for high performance supercapacitor electrode. ACS Appl. Mater. Interface 2017, 9, 8880–8890. [Google Scholar] [CrossRef]
- Chen, D.; Ji, G.; Ma, Y. Graphene-encapsulated hollow Fe3O4 nanoparticle aggregates as a high-performance anode material for lithium ion batteries. ACS Appl. Mater. Interface 2011, 3, 3078–3083. [Google Scholar] [CrossRef]
- Liu, H.; Jia, M.; Zhu, Q. 3D-0D graphene-Fe3O4 quantum dot hybrids as high-performance anode materials for sodium-ion batteries. ACS Appl. Mater. Interface 2016, 8, 26878–26885. [Google Scholar] [CrossRef]
- Erogul, S.; Bas, S.Z.; Ozmen, M. A new electrochemical sensor based on Fe3O4 functionalized graphene oxide-gold nanoparticle composite film for simultaneous determination of catechol and hydroquinone. Electrochim. Acta 2015, 186, 302–313. [Google Scholar] [CrossRef]
- Zhou, X.; Xu, W.; Wang, Y. Fabrication of cluster/shell Fe3O4/Au nanoparticles and application in protein detection via a SERS method. J. Mater. Chem. C 2010, 114, 19607–19613. [Google Scholar] [CrossRef]
- Liu, R.; Guo, Y.; Odusote, G. Core–shell Fe3O4 polydopamine nanoparticles serve multipurpose as drug carrier, catalyst support and carbon adsorbent. ACS Appl. Mater. Interface 2013, 5, 9167–9171. [Google Scholar] [CrossRef] [PubMed]
- He, H.; Chao, G. Supraparamagnetic, conductive, and processable multifunctional graphene nanosheets coated with high-density Fe3O4 nanoparticle. ACS Appl. Mater. Interface 2010, 2, 3201–3210. [Google Scholar] [CrossRef] [PubMed]
- Wang, L.; Jia, X.; Li, Y. Synthesis and microwave absorption property of flexible magnetic film based on graphene oxide/carbon nanotubes and Fe3O4 nanoparticles. J. Mater. Chem. A 2014, 2, 14940–14946. [Google Scholar] [CrossRef]
- Zeng, Q.; Xiong, X.; Chen, P. Air@rGO€Fe3O4 microspheres with spongy shell: Self-assembly and microwave absorption performance. J. Mater. Chem. C 2016, 4, 10518–10528. [Google Scholar] [CrossRef]
- Qu, B.; Zhu, C.; Li, C. Coupling hollow Fe3O4-Fe nanoparticles with graphene sheets for high-performance electromagnetic wave absorbing material. ACS Appl. Mater. Interface 2016, 8, 3730–3735. [Google Scholar] [CrossRef]
- Huo, X.; Liu, J.; Wang, B. A one-step method to produce graphene-Fe3O4 composites and their excellent catalytic activities for three-component coupling of aldehyde, alkyne and amine. J. Mater. Chem. A 2012, 1, 651–656. [Google Scholar] [CrossRef]
- Zong, M.; Huang, Y.; Zhao, Y. Facile preparation, high microwave absorption and microwave absorbing mechanism of RGO-Fe3O4 composites. Rsc. Adv. 2013, 3, 23638–23648. [Google Scholar] [CrossRef]
- Yang, X.; Niu, Y.; Li, Q. The influence of fabrication methods on structure and microwave absorption property of Fe3O4/rGO Composites. J. Supercond. Nov. Magn. 2018, 3, 1–9. [Google Scholar] [CrossRef]
- Zong, M.; Huang, Y.; Wu, H. Facile synthesis of RGO/Fe3O4/Ag composite with high microwave absorption capacity. Mater. Lett. 2013, 111, 188–191. [Google Scholar] [CrossRef]
- Huang, Y.; Qi, Q.; Pan, H. Facile preparation of octahedral Fe3O4/RGO composites and its microwave electromagnetic properties. J. Mater. Sci. Mater. El. 2016, 27, 9577–9583. [Google Scholar] [CrossRef]
- Wu, J.; Ye, Z.; Liu, W. The effect of GO loading on electromagnetic wave absorption properties of Fe3O4/reduced graphene oxide hybrids. Ceram. Int. 2017, 43, 13146–13153. [Google Scholar] [CrossRef]
- Zhao, Y.; Liu, L.; Jiang, K. Distinctly enhanced permeability and excellent microwave absorption of expanded graphite/Fe3O4 nanoring composites. RSC Adv. 2017, 7, 11561–11567. [Google Scholar] [CrossRef]
- Zhao, L.; Gao, M.; Yue, W. Sandwich-structured graphene-Fe3O4@carbon nanocomposites for high-performance lithium-ion batteries. ACS Appl. Mater. Interface 2015, 7, 9709–9715. [Google Scholar] [CrossRef]
- Zhou, G.; Xu, X.; Zhu, W. Dispersedly embedded loading of Fe3O4 nanoparticles into graphene nanosheets for highly efficient and recyclable removal of heavy metal ions. New J. Chem. 2015, 39, 7355–7362. [Google Scholar] [CrossRef]
- Mahmoudian, M.R.; Alias, Y.; Basirun, W.J. Synthesis and characterization of Fe3O4, rose like and spherical/reduced graphene oxide nanosheet composites for lead (II) sensor. Electrochim. Acta 2015, 169, 126–133. [Google Scholar] [CrossRef]
- Su, J.; Cao, M.; Ren, L. Fe3O4-grapheme nanocomposites with improved lithium storage and magnetism properties. J. Phy. Chem. C 2011, 115, 14469–14477. [Google Scholar] [CrossRef]
- Rarani, E.M.; Etesami, N.; Esfahany, M.N. Influence of the uniform electric field on viscosity of magnetic nanofluid (Fe3O4-EG). J. Appl. Phys. 2012, 112, 567–720. [Google Scholar]
- Kim, Y.K.; Min, D.H. Durable large-area thin films of graphene/carbon nanotube double layers as a transparent electrode. Langmuir 2009, 25, 11302–11306. [Google Scholar] [CrossRef]
- Ren, Y.L.; Wu, H.Y.; Lu, M.M. Quaternary nanocomposites consisting of graphene, Fe3O4@Fe core@Shell, and ZnO nanoparticles: Synthesis and excellent electromagnetic absorption properties. ACS Appl. Mater. Interface 2012, 4, 6436–6442. [Google Scholar] [CrossRef] [PubMed]
- Sun, S.; Zeng, H.; Robinson, D.B. Monodisperse MFe2O4 (M = Fe, Co, Mn) Nanoparticles. J. Am. Chem. Soc. 2004, 126, 273–279. [Google Scholar] [CrossRef] [PubMed]
- Zhou, W.; Hu, X.; Bai, X. Synthesis and electromagnetic, microwave absorbing properties of core-shell Fe3O4-poly (3, 4-ethylenedioxythiophene) microspheres. ACS Appl. Mater. Interface 2011, 3, 3839–3845. [Google Scholar] [CrossRef] [PubMed]
Sample Availability: Samples of the compounds are not available from the authors. |










| Samples | Hc (A/m) | Mr (104 N/A.m) | Ms (105 N/A.m) |
|---|---|---|---|
| Fe3O4 | 1152.61 | 1.62 | 6.72 |
| S1 | 1076.19 | 1.93 | 6.39 |
| S2 | 1049.92 | 1.68 | 6.20 |
| S3 | 1150.22 | 1.78 | 5.95 |
| S4 | 569.14 | 0.32 | 2.75 |
| S5 | 1276.00 | 0.53 | 1.42 |
© 2020 by the authors. Licensee MDPI, Basel, Switzerland. This article is an open access article distributed under the terms and conditions of the Creative Commons Attribution (CC BY) license (http://creativecommons.org/licenses/by/4.0/).
Share and Cite
Sun, J.; Li, L.; Yu, R.; Ma, X.; Jin, S.; Chen, K.; Chen, S.; Lv, X.; Shu, Q. Synthesis and Microwave Absorption Properties of Sulfur-Free Expanded Graphite/Fe3O4 Composites. Molecules 2020, 25, 3044. https://doi.org/10.3390/molecules25133044
Sun J, Li L, Yu R, Ma X, Jin S, Chen K, Chen S, Lv X, Shu Q. Synthesis and Microwave Absorption Properties of Sulfur-Free Expanded Graphite/Fe3O4 Composites. Molecules. 2020; 25(13):3044. https://doi.org/10.3390/molecules25133044
Chicago/Turabian StyleSun, Jian, Lijie Li, Rui Yu, Xianlong Ma, Shaohua Jin, Kun Chen, Shusen Chen, Xijuan Lv, and Qinghai Shu. 2020. "Synthesis and Microwave Absorption Properties of Sulfur-Free Expanded Graphite/Fe3O4 Composites" Molecules 25, no. 13: 3044. https://doi.org/10.3390/molecules25133044
APA StyleSun, J., Li, L., Yu, R., Ma, X., Jin, S., Chen, K., Chen, S., Lv, X., & Shu, Q. (2020). Synthesis and Microwave Absorption Properties of Sulfur-Free Expanded Graphite/Fe3O4 Composites. Molecules, 25(13), 3044. https://doi.org/10.3390/molecules25133044

