Tumoricidal Potential of Novel Amino-1,10-phenanthroline Derived Imine Ligands: Chemical Preparation, Structure, and Biological Investigations
Abstract
1. Introduction
2. Results and Discussion
2.1. Dose-Dependent Selective Cytotoxicity
2.2. Local Reactivity Properties of Investigated Structures
2.3. Bond Dissociation Energies for Hydrogen Abstraction
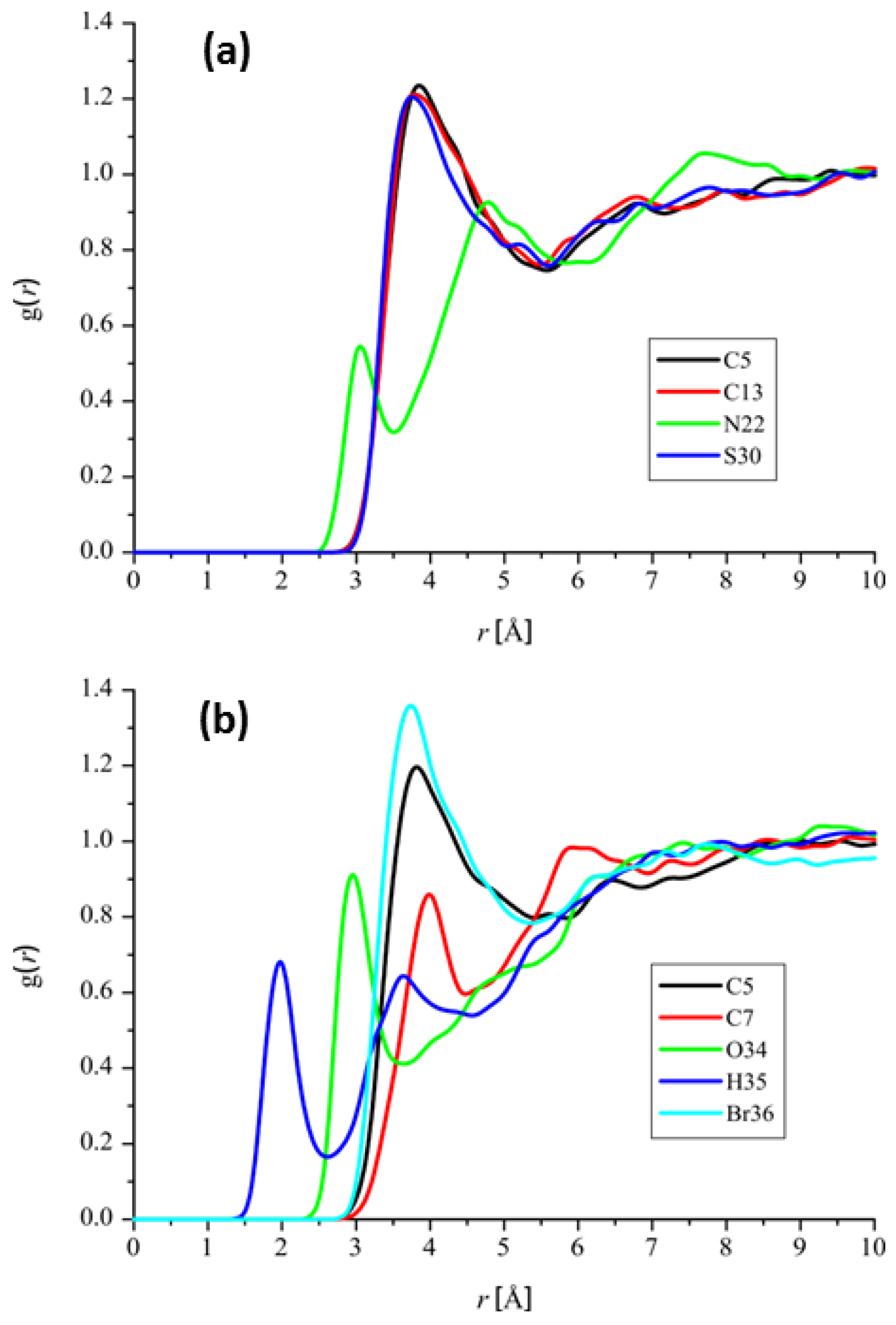
2.4. Molecular Dynamics Simulations and Interactions with Water
3. Materials and Methods
3.1. Biology
3.1.1. Determination of Anticancer Activity of Synthesized Compounds
3.1.2. Measurement of Cell Viability Using MTT Assay
3.2. Chemical Synthesis
3.2.1. Synthesis of (E)-3-(((1,10-phenanthrolin-5-yl)imino)methyl)-5-bromophenol (PIB)
3.2.2. Synthesis of (E)-N-(1,10-phenanthrolin-5-yl)-1-(thiophen-3-yl)methanimine (PTM)
3.3. Statistical Analysis
4. Conclusions
Supplementary Materials
Author Contributions
Funding
Acknowledgments
Conflicts of Interest
References
- Mohamed, R.G.; Elantabli, F.M.; Helal, N.H.; El-Medani, S.M. New group 6 metal carbonyl complexes with 4,5-dimethyl-N,N-bis(pyridine-2-yl-methylene)benzene-1,2-diimine Schiff base: Synthesis, spectral, cyclic voltammetry and biological activity studies. Spectrochim. Acta A Mol. Biomol. Spectrosc. 2015, 141, 316–326. [Google Scholar] [CrossRef] [PubMed]
- Zhang, J.; Xu, L.; Wong, W.-Y. Energy materials based on metal Schiff base complexes. Coord. Chem. Rev. 2018, 355, 180–198. [Google Scholar] [CrossRef]
- Jia, Y.; Li, J. Molecular assembly of Schiff base interactions: Construction and application. Chem. Rev. 2015, 115, 1597–1621. [Google Scholar] [CrossRef] [PubMed]
- Opstal, T.; Verpoort, F. Synthesis of Highly Active Ruthenium Indenylidene Complexes for Atom-Transfer Radical Polymerization and Ring-Opening-Metathesis Polymerization. Angew. Chem. Int. Ed. 2003, 42, 2876–2879. [Google Scholar] [CrossRef] [PubMed]
- Bazán, S.; Pérez, A.; Del Carpio, E.; Hernández, L.; Madden, W.; Lubes, V. Mixed-ligand complex formation equilibria of vanadium(III) with 1,10′-Phennanthroline and the amino acids glycine, proline, α-alanine and β-alanine. J. Mol. Liq. 2016, 215, 265–268. [Google Scholar] [CrossRef]
- Roy, S.; Hagen, K.D.; Maheswari, P.U.; Lutz, M.; Spek, A.L.; Reedijk, J.; van Wezel, G.P. Phenanthroline Derivatives with Improved Selectivity as DNA-Targeting Anticancer or Antimicrobial Drugs. Chem. Med. Chem. 2008, 3, 1427–1434. [Google Scholar] [CrossRef]
- Ceyhan, G.; Köse, M.; Tümer, M.; Demirtaş, İ. Anticancer, photoluminescence and electrochemical properties of structurally characterized two imine derivatives. Spectrochim. Acta Part A Mol. Biomol. Spectrosc. 2015, 149, 731–743. [Google Scholar] [CrossRef]
- Banik, I.; Becker, F.F.; Banik, B.K. Stereoselective synthesis of β-lactams with polyaromatic imines: Entry to new and novel anticancer agents. J. Med. Chem. 2003, 46, 12–15. [Google Scholar] [CrossRef]
- Omae, I. Applications of five-membered ring products of cyclometalation reactions as anticancer agents. Coord. Chem. Rev. 2014, 280, 84–95. [Google Scholar] [CrossRef]
- El-Asmy, H.A.; Butler, I.S.; Mouhri, Z.S.; Jean-Claude, B.J.; Emmam, M.S.; Mostafa, S.I. Zinc(II), ruthenium(II), rhodium(III), palladium(II), silver(I), platinum(II) and MoO22+ complexes of 2-(2′-hydroxy-5′-methylphenyl)-benzotriazole as simple or primary ligand and 2,2′-bipyridyl, 9,10-phenanthroline or triphenylphosphine as secondary ligands: Structure and anticancer activity. J. Mol. Struct. 2014, 1059, 193–201. [Google Scholar] [CrossRef]
- Kumar, R.S.; Arunachalam, S.; Periasamy, V.S.; Preethy, C.P.; Riyasdeen, A.; Akbarsha, M.A. Synthesis, DNA binding and antitumor activities of some novel polymer–cobalt(III) complexes containing 1,10-phenanthroline ligand. Polyhedron 2008, 27, 1111–1120. [Google Scholar] [CrossRef]
- Zhang, Y.; Wang, X.; Fang, W.; Cai, X.; Chu, F.; Liao, X.; Lu, J. Synthesis and in vitro antitumor activity of two mixed-ligand oxovanadium (IV) complexes of Schiff base and phenanthroline. Bioinorg. Chem. Appl. 2013, 2013, 437134. [Google Scholar] [CrossRef] [PubMed]
- Kaloyanov, D.N.; Alexandrova, R.; Wesselinova, D.; Mayer-Figge, H.; Sheldrick, W.; Dimitrov, G. Self-assembly of novel molecular complexes of 1,10-phenanthroline and 5-amino-1,10-phenanthroline and evaluation of their in vitro antitumour activity. Eur. J. Med. Chem. 2011, 46, 1992–1996. [Google Scholar] [CrossRef] [PubMed]
- Chavoshi, H.; Vahedian, V.; Saghaei, S.; Pirouzpanah, M.; Raeisi, M.; Samadi, N. Adjuvant Therapy with Silibinin Improves the Efficacy of Paclitaxel and Cisplatin in MCF-7 Breast Cancer Cells. Asian Pac. J. Cancer Prev. Apjcp. 2017, 18, 2243–2247. [Google Scholar] [CrossRef] [PubMed]
- Buranrat, B.; Noiwetch, S.; Suksar, T.; Ta-Ut, A. Inhibition of cell proliferation and migration by Oroxylum indicum extracts on breast cancer cells via Rac1 modulation. J. Pharm Anal. 2020, 10, 187–193. [Google Scholar] [CrossRef]
- Son, D.J.; Hong, J.E.; Ban, J.O.; Park, J.H.; Lee, H.L.; Gu, S.M.; Hwang, J.Y.; Jung, M.H.; Lee, D.W.; Han, S.-B.; et al. Synergistic Inhibitory Effects of Cetuximab and Cisplatin on Human Colon Cancer Cell Growth via Inhibition of the ERK-Dependent EGF Receptor Signaling Pathway. Biomed. Res. Int. 2015, 2015, 397563. [Google Scholar] [CrossRef]
- Altaf, M.; Casagrande, N.; Mariotto, E.; Baig, N.; Kawde, A.-N.; Corona, G.; Larcher, R.; Borghese, C.; Pavan, C.; Seliman, A.A.; et al. Potent In Vitro and In Vivo Anticancer Activity of New Bipyridine and Bipyrimidine Gold (III) Dithiocarbamate Derivatives. Cancers 2019, 11, 474. [Google Scholar] [CrossRef]
- Aldossary, S.A. Review of pharmacology of cisplatin: Clinical use, toxicity and mechanism of resistance of cisplatin. Biomed. Pharmacol. J. 2019, 12, 7–15. [Google Scholar] [CrossRef]
- Ozdemir, N.; Eren, B.; Dincer, M.; Bekdemir, Y. Experimental and ab initio computational studies on 4-(1H-benzo[d]imidazol-2-yl)-N,N-dimethylaniline. Mol. Phys. 2010, 108, 13–24. [Google Scholar] [CrossRef]
- Politzer, P.; Murray, J. The fundamental nature and role of the electrostatic potential in atoms and molecules. Theor. Chem. Acc. 2002, 108, 134–142. [Google Scholar] [CrossRef]
- Sjoberg, P.; Murray, J.; Brinck, T.; Politzer, P. Average Local Ionization Energies on the Molecular Surfaces of Aromatic Systems as Guides to Chemical Reactivity. Can. J. Chem. 2011, 68, 1440–1443. [Google Scholar] [CrossRef]
- Politzer, P.; Abu-Awwad, F.; Murray, J.S. Comparison of density functional and Hartree–Fock average local ionization energies on molecular surfaces. Int. J. Quantum Chem. 1998, 69, 607–613. [Google Scholar] [CrossRef]
- Andersson, T.; Broo, A.; Evertsson, E. Prediction of Drug Candidates’ Sensitivity Toward Autoxidation: Computational Estimation of C-H Dissociation Energies of Carbon-Centered Radicals. J. Pharm. Sci. 2014, 103, 1949–1955. [Google Scholar] [CrossRef] [PubMed]
- Lienard, P.; Gavartin, J.; Boccardi, G.; Meunier, M. Predicting drug substances autoxidation. Pharm. Res. 2015, 32, 300–310. [Google Scholar] [CrossRef]
- Gryn’ova, G.; Hodgson, J.; Coote, M. Revising the mechanism of polymer autooxidation. Org. Biomol. Chem. 2010, 9, 480–490. [Google Scholar] [CrossRef]
- Denizot, F.; Lang, R. Rapid colorimetric assay for cell growth and survival. Modifications to the tetrazolium dye procedure giving improved sensitivity and reliability. J. Immunol. Methods 1986, 89, 271–277. [Google Scholar] [CrossRef]
Sample Availability: Sample of the compounds are available from the authors. |






© 2020 by the authors. Licensee MDPI, Basel, Switzerland. This article is an open access article distributed under the terms and conditions of the Creative Commons Attribution (CC BY) license (http://creativecommons.org/licenses/by/4.0/).
Share and Cite
Prasad, K.S.; Pillai, R.R.; Shivamallu, C.; Prasad, S.K.; Jain, A.S.; Pradeep, S.; Armaković, S.; Armaković, S.J.; Srinivasa, C.; Kallimani, S.; et al. Tumoricidal Potential of Novel Amino-1,10-phenanthroline Derived Imine Ligands: Chemical Preparation, Structure, and Biological Investigations. Molecules 2020, 25, 2865. https://doi.org/10.3390/molecules25122865
Prasad KS, Pillai RR, Shivamallu C, Prasad SK, Jain AS, Pradeep S, Armaković S, Armaković SJ, Srinivasa C, Kallimani S, et al. Tumoricidal Potential of Novel Amino-1,10-phenanthroline Derived Imine Ligands: Chemical Preparation, Structure, and Biological Investigations. Molecules. 2020; 25(12):2865. https://doi.org/10.3390/molecules25122865
Chicago/Turabian StylePrasad, Kollur Shiva, Renjith Raveendran Pillai, Chandan Shivamallu, Shashanka K. Prasad, Anisha S. Jain, Sushma Pradeep, Stevan Armaković, Sanja J. Armaković, Chandrashekar Srinivasa, Sharadadevi Kallimani, and et al. 2020. "Tumoricidal Potential of Novel Amino-1,10-phenanthroline Derived Imine Ligands: Chemical Preparation, Structure, and Biological Investigations" Molecules 25, no. 12: 2865. https://doi.org/10.3390/molecules25122865
APA StylePrasad, K. S., Pillai, R. R., Shivamallu, C., Prasad, S. K., Jain, A. S., Pradeep, S., Armaković, S., Armaković, S. J., Srinivasa, C., Kallimani, S., Amachawadi, R. G., Ankegowda, V. M., Marraiki, N., Elgorban, A. M., & Syed, A. (2020). Tumoricidal Potential of Novel Amino-1,10-phenanthroline Derived Imine Ligands: Chemical Preparation, Structure, and Biological Investigations. Molecules, 25(12), 2865. https://doi.org/10.3390/molecules25122865

