Formation and Emissions of Volatile Organic Compounds from Homo-PP and Co-PP Resins during Manufacturing Process and Accelerated Photoaging Degradation
Abstract
1. Introduction
2. Results and Discussion
2.1. VOCs Emissions from PP Resins without Photoaging
2.2. Changes of VOCs Emission from PP Resins during the Accelerated Photoaging
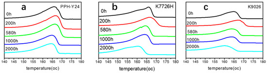
2.3. Changes of Structures of PP Resin during the Accelerated Photoaging
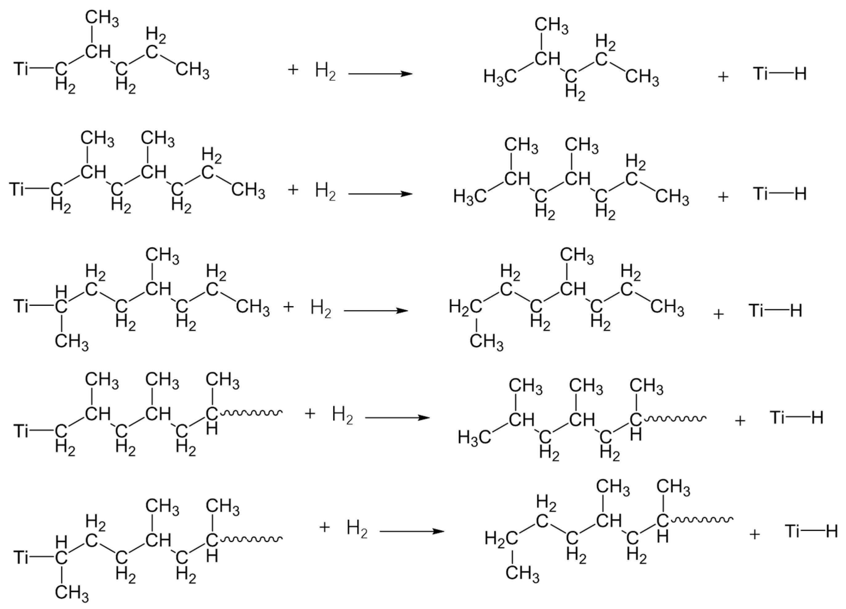
2.4. Mechanism of VOC Formation from PP Resin
3. Materials and Methods
3.1. Materials and Preparation
3.2. Characterizations
4. Conclusions
Author Contributions
Funding
Conflicts of Interest
References
- Al-Oqla, F.M.; Sapuan, S.M.; Ishak, M.; A Nuraini, A. A decision-making model for selecting the most appropriate natural fiber—Polypropylene-based composites for automotive applications. J. Compos. Mater. 2015, 50, 543–556. [Google Scholar] [CrossRef]
- Naqvi, M.K.; Choudhary, M.S. Chemically Modified Polyolefins and Their Blends. J. Macromol. Sci. Part C 1996, 36, 601–629. [Google Scholar] [CrossRef]
- Zebarjad, S.M.; Sajjadi, S.A.; Tahani, M. Modification of fracture toughness of isotactic polypropylene with a combination of EPR and CaCO3 particles. J. Mater. Process. Technol. 2006, 175, 446–451. [Google Scholar] [CrossRef]
- Ouederni, M.; Phillips, P.J. Influence of morphology on the fracture toughness of isotactic polypropylene. J. Polym. Sci. Part B Polym. Phys. 1995, 33, 1313–1322. [Google Scholar] [CrossRef]
- Galli, P.; Vecellio, G. Polyolefins: The most promising large-volume materials for the 21st century. J. Polym. Sci. Part A Polym. Chem. 2003, 42, 396–415. [Google Scholar] [CrossRef]
- Behary, N.; Campagne, C.; Caze, C.; Perwuelz, A. Using an electronic microbalance technique to study the stick-slip behavior of lubricated polypropylene fibers. J. Appl. Polym. Sci. 2003, 89, 645–654. [Google Scholar] [CrossRef]
- Mistretta, M.; Botta, L.; Vinci, A.; Ceraulo, M.; La Mantia, F. Photo-oxidation of polypropylene/graphene nanoplatelets composites. Polym. Degrad. Stab. 2019, 160, 35–43. [Google Scholar] [CrossRef]
- Stewart, R.; Goodship, V.; Guild, F.; Green, M.; Farrow, J. Investigation and demonstration of the durability of air plasma pre-treatment on polypropylene automotive bumpers. Int. J. Adhes. Adhes. 2005, 25, 93–99. [Google Scholar] [CrossRef]
- Ozcalik, O.; Tihminlioglu, F. Barrier properties of corn zein nanocomposite coated polypropylene films for food packaging applications. J. Food Eng. 2013, 114, 505–513. [Google Scholar] [CrossRef]
- Cheng, K.; Lee, K.; Ueng, T.; Mou, K. Electrical and impact properties of the hybrid knitted inlaid fabric reinforced polypropylene composites. Compos. Part A Appl. Sci. Manuf. 2002, 33, 1219–1226. [Google Scholar] [CrossRef]
- Thenepalli, T.; Jun, A.Y.; Han, C.; Ramakrishna, C.; Ahn, J.W. A strategy of precipitated calcium carbonate (CaCO3) fillers for enhancing the mechanical properties of polypropylene polymers. Korean J. Chem. Eng. 2015, 32, 1009–1022. [Google Scholar] [CrossRef]
- Cipriano, J.D.P.; Zanini, N.C.; Dantas, I.R.; Mulinari, D.R. Mechanical Properties of Polypropylene Composites Reinforced with Macadamia Nutshell Fibers. J. Renew. Mater. 2019, 7, 1047–1053. [Google Scholar] [CrossRef]
- Ayrilmis, N.; Jarusombuti, S.; Fueangvivat, V.; Bauchongkol, P.; White, R.H. Coir fiber reinforced polypropylene composite panel for automotive interior applications. Fibers Polym. 2011, 12, 919–926. [Google Scholar] [CrossRef]
- Brodzik, K.; Faber, J.; Łomankiewicz, D.; Gołda-Kopek, A. In-vehicle VOCs composition of unconditioned, newly produced cars. J. Environ. Sci. 2014, 26, 1052–1061. [Google Scholar] [CrossRef]
- Kim, K.-W.; Lee, B.-H.; Kim, S.; Kim, H.-J.; Yun, J.-H.; Yoo, S.-E.; Sohn, J.R. Reduction of VOC emission from natural flours filled biodegradable bio-composites for automobile interior. J. Hazard. Mater. 2011, 187, 37–43. [Google Scholar] [CrossRef]
- Xing, L.; Wang, L.; Zhang, R. Characteristics and health risk assessment of volatile organic compounds emitted from interior materials in vehicles: A case study from Nanjing, China. Environ. Sci. Pollut. Res. 2018, 25, 14789–14798. [Google Scholar] [CrossRef]
- Yu, P.; Hao, Y.; Hao, J. Preparation and Properties of Polypropylene Composite with Low VOC for Automobile Interior Parts. Adv. Fine. Petrochem. 2009, 10, 24–26. [Google Scholar]
- Fedoruk, M.J.; Kerger, B.D. Measurement of volatile organic compounds inside automobiles†. J. Expo. Sci. Environ. Epidemiol. 2003, 13, 31–41. [Google Scholar] [CrossRef]
- Espert, A.; Heras, L.A.D.L.; Karlsson, S. Emission of possible odourous low molecular weight compounds in recycled biofibre/polypropylene composites monitored by head-space SPME-GC–MS. Polym. Degrad. Stab. 2005, 90, 555–562. [Google Scholar] [CrossRef]
- Kim, H.-J.; Kim, H.-S. Influence of the zeolite type on the mechanical-thermal properties and volatile organic compound emissions of natural-flour-filled polypropylene hybrid composites. J. Appl. Polym. Sci. 2008, 110, 3247–3255. [Google Scholar] [CrossRef]
- Zhang, D.; Sun, G.; Zhang, X. Study on Volatile Organic Compounds (VOCs) in Polypropylene Monomers and the Effect of Additives on Volatile Organic Compounds in Polypropylene Composites. Sci. Adv. Mater. 2019, 11, 1623–1631. [Google Scholar] [CrossRef]
- Ballice, L.; Reimert, R. Classification of volatile products from the temperature-programmed pyrolysis of polypropylene (PP), atactic-polypropylene (APP) and thermogravimetrically derived kinetics of pyrolysis. Chem. Eng. Process. Process. Intensif. 2002, 41, 289–296. [Google Scholar] [CrossRef]
- Xiang, Q.; Xanthos, M.; Mitra, S.; Patel, S.; Guo, J. Effects of melt reprocessing on volatile emissions and structural/rheological changes of unstabilized polypropylene. Polym. Degrad. Stab. 2002, 77, 93–102. [Google Scholar] [CrossRef]
- Canevarolo, S.V. Chain scission distribution function for polypropylene degradation during multiple extrusions. Polym. Degrad. Stab. 2000, 70, 71–76. [Google Scholar] [CrossRef]
- Patel, S.H.; Xanthos, M. Environmental issues in polymer processing: A review on volatile emissions and material/energy recovery options. Adv. Polym. Tech. 2001, 20, 22–41. [Google Scholar] [CrossRef]
- Sarrabi, S.; Colin, X.; Tcharkhtchi, A.; Heninger, M.; LeProvost, J.; Mestdagh, H. Real Time Analysis of Volatile Organic Compounds from Polypropylene Thermal Oxidation Using Chemical Ionization Fourier Transform Ion Cyclotron Resonance Mass Spectrometry. Anal. Chem. 2009, 81, 6013–6020. [Google Scholar] [CrossRef]
- Barabas, K.; Iring, M.; László-Hedvig, S.; Kelen, T.; Tüdo#xbs, F. Study of the thermal oxidation of polyolefines?VIII Volatile products of polypropylene thermal oxidation. Eur. Polym. J. 1978, 14, 405–407. [Google Scholar] [CrossRef]
- Adams, K.; Bankston, J.R.; Barlow, A.; Holdren, M.W.; Meyer, J.; Marchesani, V.J. Development of Emission Factors for Polypropylene Processing. J. Air Waste Manag. Assoc. 1999, 49, 49–56. [Google Scholar] [CrossRef]
- Abbas-Abadi, M.S.; Haghighi, M.N.; Yeganeh, H.; McDonald, A.G. Evaluation of pyrolysis process parameters on polypropylene degradation products. J. Anal. Appl. Pyrolysis 2014, 109, 272–277. [Google Scholar] [CrossRef]
- Kruse, T.M.; Wong, H.-W.; Broadbelt, L.J. Mechanistic Modeling of Polymer Pyrolysis: Polypropylene. Macromolecules 2003, 36, 9594–9607. [Google Scholar] [CrossRef]
- Berzin, F.; Vergnes, B.; Delamare, L. Rheological behavior of controlled-rheology polypropylenes obtained by peroxide-promoted degradation during extrusion: Comparison between homopolymer and copolymer. J. Appl. Polym. Sci. 2001, 80, 1243–1252. [Google Scholar] [CrossRef]
- Dong, Q.; Wang, X.; Fu, Z.; Xu, J.; Fan, Z.-Q. Regulation of morphology and mechanical properties of polypropylene/poly(ethylene-co-propylene) in-reactor alloys by multi-stage sequential polymerization. Polymer 2007, 48, 5905–5916. [Google Scholar] [CrossRef]
- Bezati, F.; Massardier, V.; Balcaen, J.; Froelich, D. A study on the dispersion, preparation, characterization and photo-degradation of polypropylene traced with rare earth oxides. Polym. Degrad. Stab. 2011, 96, 51–59. [Google Scholar] [CrossRef]
- Tang, C.-C.; Chen, H.-I.; Brimblecombe, P.; Lee, C.-L. Morphology and chemical properties of polypropylene pellets degraded in simulated terrestrial and marine environments. Mar. Pollut. Bull. 2019, 149, 110626. [Google Scholar] [CrossRef]
- Yari, H.; Moradian, S.; Ramazanzade, B.; Kashani, A.; Tahmasebi, N. The effect of basecoat pigmentation on mechanical properties of an automotive basecoat/clearcoat system during weathering. Polym. Degrad. Stab. 2009, 94, 1281–1289. [Google Scholar] [CrossRef]
- Butler, C.H.; Whitmore, P.M. Measurement of peroxides in the volatile degradation products of polypropylene photooxidation. Polym. Degrad. Stab. 2013, 98, 471–473. [Google Scholar] [CrossRef]
- Bernstein, R.; Thornberg, S.M.; Irwin, A.N.; Hochrein, J.M.; Derzon, D.K.; Klamo, S.B.; Clough, R.L. Radiation–oxidation mechanisms: Volatile organic degradation products from polypropylene having selective C-13 labeling studied by GC/MS. Polym. Degrad. Stab. 2008, 93, 854–870. [Google Scholar] [CrossRef]
- Buchalla, R.; Boess, C.; Bögl, K.W. Analysis of volatile radiolysis products in gamma-irradiated LDPE and polypropylene films by thermal desorption–gas chromatography–mass spectrometry. Appl. Radiat. Isot. 2000, 52, 251–269. [Google Scholar] [CrossRef]
- Philippart, J.-L.; Posada, F.; Gardette, J.-L. Mass spectroscopy analysis of volatile photoproducts in photooxidation of polypropylene. Polym. Degrad. Stab. 1995, 49, 285–290. [Google Scholar] [CrossRef]
- Tocháček, J.; Vrátníčková, Z. Polymer life-time prediction: The role of temperature in UV accelerated ageing of polypropylene and its copolymers. Polym. Test. 2014, 36, 82–87. [Google Scholar] [CrossRef]
- Li, J.; Yang, R.; Yu, J.; Liu, Y. Natural photo-aging degradation of polypropylene nanocomposites. Polym. Degrad. Stab. 2008, 93, 84–89. [Google Scholar] [CrossRef]
- Pilař, J.; Michalkova, D.; Šeděnková, I.; Pfleger, J.; Pospíšil, J. NOR and nitroxide-based HAS in accelerated photooxidation of carbon-chain polymers; Comparison with secondary HAS: An ESRI and ATR FTIR study. Polym. Degrad. Stab. 2011, 96, 847–862. [Google Scholar] [CrossRef]
- Girois, S.; Audouin, L.; Verdu, J.; Delprat, P.; Marot, G. Molecular weight changes during the photooxidation of isotactic polypropylene. Polym. Degrad. Stab. 1996, 51, 125–132. [Google Scholar] [CrossRef]
- Mailhot, B.; Morlat, S.; Gardette, J.-L.; Boucard, S.; Duchet, J.; Gérard, J.-F. Photodegradation of polypropylene nanocomposites. Polym. Degrad. Stab. 2003, 82, 163–167. [Google Scholar] [CrossRef]
- Tidjani, A. Photooxidation of polypropylene under natural and accelerated weathering conditions. J. Appl. Polym. Sci. 1997, 64, 2497–2503. [Google Scholar] [CrossRef]
- Delprat, P.; Duteurtre, X.; Gardette, J.-L. Photooxidation of unstabilized and HALS-stabilized polyphasic ethylene-propylene polymers. Polym. Degrad. Stab. 1995, 50, 1–12. [Google Scholar] [CrossRef]
- Philippart, J.-L.; Sinturel, C.; Arnaud, R.; Gardette, J.-L. Influence of the exposure parameters on the mechanism of photooxidation of polypropylene. Polym. Degrad. Stab. 1999, 64, 213–225. [Google Scholar] [CrossRef]
- Mani, R.; Singh, R.P.; Sivaram, S. The oxidative degradation of heterophasic ethylene-propylene copolymers: A comparison of photoproduct formation under natural and accelerated conditions. Polym. Int. 1997, 44, 137–142. [Google Scholar] [CrossRef]
- Aslanzadeh, S.; Kish, M.H.; Katbab, A. Effects of melt processing conditions on photo-oxidation of PP/PPgMA/OMMT composites. Polym. Degrad. Stab. 2010, 95, 1800–1809. [Google Scholar] [CrossRef]
- Butylina, S.; Hyvärinen, M.; Kärki, T. A study of surface changes of wood-polypropylene composites as the result of exterior weathering. Polym. Degrad. Stab. 2012, 97, 337–345. [Google Scholar] [CrossRef]
- Blais, P.; Carlsson, D.J.; Wiles, D.M. Surface changes during polypropylene photo-oxidation: A study by infrared spectroscopy and electron microscopy. J. Polym. Sci. Part A-1 Polym. Chem. 1972, 10, 1077–1092. [Google Scholar] [CrossRef]
- Craig, I.; White, J.; Kin, P.C. Crystallization and chemi-crystallization of recycled photo-degraded polypropylene. Polymer 2005, 46, 505–512. [Google Scholar] [CrossRef]
- Rabello, M.; White, J. Crystallization and melting behaviour of photodegraded polypropylene—I. Chemi-crystallization. Polymer 1997, 38, 6379–6387. [Google Scholar] [CrossRef]
- Schoolenberg, G.; Meijer, H. Ultra-violet degradation of polypropylene: Residual strength and failure mode in relation to the degraded surface layer. Polymer 1991, 32, 438–444. [Google Scholar] [CrossRef]
- Zoepfl, F.J.; Markovic, V.; Silverman, J. Differential scanning calorimetry studies of irradiated polyethylene: II. The effect of oxygen. J. Polym. Sci. Polym. Chem. Ed. 1984, 22, 2033–2045. [Google Scholar] [CrossRef]
- Hustad, P.D.; Coates, G.W. Insertion/Isomerization Polymerization of 1,5-Hexadiene: Synthesis of Functional Propylene Copolymers and Block Copolymers. J. Am. Chem. Soc. 2002, 124, 11578–11579. [Google Scholar] [CrossRef]
- Grassi, A.; Zambelli, A.; Resconi, L.; Albizzati, E.; Mazzocchi, R. Microstructure of isotactic polypropylene prepared with homogeneous catalysis: Stereoregularity, regioregularity and 1,3 insertion. Macromolecules 1988, 21, 617–622. [Google Scholar] [CrossRef]
- Kawamura-Kuribayashi, H.; Koga, N.; Morokuma, K. An ab initio MO study on ethylene and propylene insertion into the titanium-methyl bond in CH3TiCl2+ as a model of homogeneous olefin polymerization. J. Am. Chem. Soc. 1992, 114, 2359–2366. [Google Scholar] [CrossRef]
- Francois-Heude, A.; Richaud, E.; LeProvost, J.; Heninger, M.; Mestdagh, H.; Desnoux, E.; Colin, X. Real-time quantitative analysis of volatile products generated during solid-state polypropylene thermal oxidation. Polym. Test. 2013, 32, 907–917. [Google Scholar] [CrossRef]
- Bockhorn, H.; Hornung, A.; Hornung, U.; Schawaller, D. Kinetic study on the thermal degradation of polypropylene and polyethylene. J. Anal. Appl. Pyrolysis 1999, 48, 93–109. [Google Scholar] [CrossRef]
- Luda, M.P.; Dall’Anese, R. On the microstructure of polypropylenes by pyrolysis GC–MS. Polym. Degrad. Stab. 2014, 110, 35–43. [Google Scholar] [CrossRef]
- Coiai, S.; Passaglia, E.; Aglietto, M.; Ciardelli, F. Control of Degradation Reactions during Radical Functionalization of Polypropylene in the Melt. Macromolecules 2004, 37, 8414–8423. [Google Scholar] [CrossRef]
- Resconi, L.; Cavallo, L.; Fait, A.; Piemontesi, F. Selectivity in propene polymerization with metallocene catalysts. Chem. Rev. 2000, 100, 1253–1346. [Google Scholar] [CrossRef]
- Blackmon, K.P.; Barthel-Rosa, L.P.; Malbari, S.A.; Rauscher, D.J.; Daumerie, M.M. Production of Ultra High Melt Flow Polypropylene Resins. U.S. Patent 6657025, 2 December 2003. [Google Scholar]
- Musgrave, M.W. Pelletized Polyolefin Having Ultra-High Melt Flow and Its Articles of Manufacture. U.S. Patent 6423800, 23 July 2002. [Google Scholar]
- Koerner, H.; Kelley, J.J.; Vaia, R.A. Transient Microstructure of Low Hard Segment Thermoplastic Polyurethane under Uniaxial Deformation. Macromolecules 2008, 41, 4709–4716. [Google Scholar] [CrossRef]
Sample Availability: Samples of the compounds are not available from the authors. |












| No | Retention Time (min) | Molecular Formula | Compounds Name | CAS Number | Peak Area (×105) PPH-Y24 | Peak Area (×105) K9026 | Peak Area (×105) K7726H | ||||||||||||
|---|---|---|---|---|---|---|---|---|---|---|---|---|---|---|---|---|---|---|---|
| 0 h | 200 h | 580 h | 1000 h | 2000 h | 0 h | 200 h | 580 h | 1000 h | 2000 h | 0 h | 200 h | 580 h | 1000 h | 2000 h | |||||
| 1 | 2.07 | C4H8 | Butene | 25167–67–3 | / | 0.20 ± 0.01 | 0.30 ± 0.02 | 0.84 ± 0.03 | 26.17 ± 1.44 | 0.93 ± 0.04 | 5.49 ± 0.21 | 20.31 ± 1.05 | 89.49 ± 4.07 | 315.61 ± 7.25 | 4.03 ± 0.23 | 3.09 ± 0.11 | 6.91 ± 0.33 | 11.77 ± 0.44 | 101.38 ± 5.00 |
| 2 | 2.12 | C5H12 | Isopentane | 78–78–4 | 0.10 ± 0.00 | 0.63 ± 0.03 | 1.02 ± 0.06 | 4.57 ± 0.25 | 23.86 ± 1.31 | 13.86 ± 0.72 | 50.01 ± 2.14 | 135.00 ± 6.55 | 186.75 ± 9.85 | 137.42 ± 6.01 | 21.16 ± 1.23 | 28.96 ± 1.54 | 62.00 ± 3.23 | 71.97 ± 3.21 | 58.61 ± 2.32 |
| 3 | 2.23 | C6H14 | 2-Methylpentane | 107–83–5 | 0.77 ± 0.02 | 0.77 ± 0.03 | 0.47 ± 0.02 | 0.79 ± 0.02 | 1.30 ± 0.08 | 64.59 ± 3.25 | 67.17 ± 3.41 | 65.88 ± 3.02 | 68.25 ± 3.54 | 76.47 ± 3.52 | 104.28 ± 5.54 | 102.73 ± 5.26 | 103.38 ± 5.12 | 103.15 ± 5.11 | 103.53 ± 5.02 |
| 4 | 2.29 | C6H14 | Hexane | 110–54–3 | / | / | / | / | / | / | / | / | / | / | 11.48 ± 0.55 | 11.05 ± 0.81 | 11.08 ± 0.35 | 10. 45 ± 0.42 | 15. 14 ± 0.49 |
| 5 | 2.43 | C6H12 | 2-methyl-1-pentene | 763–29–1 | / | 0.20 ± 0.01 | 0.19 ± 0.01 | 0.54 ± 0.04 | 1.13 ± 0.07 | 4.44 ± 0.28 | 5.37 ± 0.21 | 6.36 ± 0.22 | 6.78 ± 0.41 | 7.56 ± 0.32 | / | / | / | / | / |
| 6 | 2.65 | C2H4O | Acetaldehyde | 75–07–0 | 0.07 ± 0.00 | 1.41 ± 0.08 | 0.35 ± 0.03 | 0.85 ± 0.04 | 5.90 ± 0.33 | 3.90 ± 0.24 | 5.04 ± 0.30 | 5.94 ± 0.25 | 16.68 ± 0.48 | 24.84 ± 1.62 | 0.56 ± 0.02 | 0.93 ± 0.03 | 4.25 ± 0.27 | 5.87 ± 0.20 | 9.21 ± 0.62 |
| 7 | 3.31 | C9H20 | 2,4-dimethyl-heptane | 2213–23–2 | 6.61 ± 0.21 | 6.62 ± 0.28 | 6.11 ± 0.40 | 6.56 ± 0.32 | 8.61 ± 0.47 | 89.07 ± 4.55 | 89.61 ± 4.81 | 91.32 ± 4.01 | 96.12 ± 5.02 | 95.31 ± 5.02 | 36.23 ± 1.35 | 36.21 ± 1.99 | 36.71 ± 1.87 | 35.04 ± 1.55 | 38.65 ± 1.58 |
| 8 | 3.54 | C3H6O | Acetone | 67–64–1 | / | 0.25 ± 0.01 | 0.38 ± 0.02 | 1.16 ± 0.07 | 64.93 ± 3.33 | 4.53 ± 0.28 | 15.27 ± 0.74 | 39.39 ± 1.29 | 172.98 ± 8.78 | 678.36 ± 36.01 | / | 0.70 ± 0.07 | 6.24 ± 0.40 | 34.28 ± 1.44 | 216.33 ± 11.81 |
| 9 | 3.86 | C9H20 | 4-Methyloctane | 2216–34–4 | 2.36 ± 0.18 | 2.33 ± 0.15 | 2.25 ± 0.12 | 2.28 ± 0.14 | 2.40 ± 0.14 | 11.55 ± 0.51 | 11.58 ± 0.55 | 11.34 ± 0.39 | 12.09 ± 0.44 | 11.55 ± 0.49 | 11.83 ± 0.55 | 11.85 ± 0.66 | 11.98 ± 0.71 | 11.19 ± 0.51 | 11.99 ± 0.55 |
| 10 | 4.22 | C9H18 | 2,4-Dimethyl-1-heptene | 19549–87–2 | 0.20 ± 0.01 | 0.20 ± 0.01 | / | 0.19 ± 0.01 | 0.41 ± 0.04 | 18.84 ± 0.97 | 19.68 ± 0.94 | 19.05 ± 0.88 | 15.33 ± 0.62 | 6.69 ± 0.28 | 1.18 ± 0.04 | 1.16 ± 0.05 | 1.10 ± 0.04 | 0.96 ± 0.04 | 0.89 ± 0.03 |
| 11 | 4.52 | C4H9OH | tert-Butanol | 75–65–0 | / | 0.25 ± 0.01 | 0.49 ± 0.02 | 2.22 ± 0.12 | 16.05 ± 0.92 | 71.97 ± 3.66 | 108.03 ± 5.01 | 153.54 ± 7.04 | 216.39 ± 11.02 | 272.22 ± 12.25 | / | 3.86 ± 0.12 | 17.89 ± 0.78 | 29.38 ± 1.36 | 49.08 ± 2.57 |
| 12 | 5.09 | C2H5OH | Ethanol | 64–17–5 | / | / | / | / | / | 1.48 ± 0.05 | 1.55 ± 0.06 | 1.61 ± 0.05 | 1.53 ± 0.05 | 1.55 ± 0.08 | 2.86 ± 0.12 | 2.87 ± 0.14 | 2.95 ± 0.14 | 2.97 ± 0.10 | 2.94 ± 0.12 |
| 13 | 6.38 | C12H26 | / | / | 7.99 ± 0.42 | 8.32 ± 0.41 | 8.17 ± 0.44 | 8.09 ± 0.47 | 8.16 ± 0.47 | 21.4 ± 1.62 | 21.09 ± 1.00 | 21.09 ± 1.02 | 21.63 ± 1.07 | 20.82 ± 1.12 | 7.42 ± 0.41 | 7.47 ± 0.33 | 7.55 ± 0.28 | 6.81 ± 0.25 | 6.97 ± 0.41 |
| 14 | 6.46 | C12H26 | / | / | 3.40 ± 0.11 | 3.43 ± 0.01 | 3.94 ± 0.21 | 3.36 ± 0.14 | 3.83 ± 0.23 | 2.70 ± 0.14 | 2.70 ± 0.12 | 2.64 ± 0.10 | 3.84 ± 0.21 | 5.61 ± 0.26 | 1.73 ± 0.08 | 1.75 ± 0.08 | 1.98 ± 0.12 | 2.04 ± 0.09 | 2.93 ± 0.14 |
| 15 | 7.24 | C12H26 | / | / | 4.03 ± 0.10 | 4.04 ± 0.20 | 4.55 ± 0.25 | 3.90 ± 0.23 | 1.79 ± 0.07 | 4.38 ± 0.20 | 4.32 ± 0.25 | 4.47 ± 0.20 | 1.23 ± 0.05 | 1.50 ± 0.04 | 4.20 ± 0.24 | 4.21 ± 0.22 | 4.22 ± 0.22 | 3.97 ± 0.21 | 1.28 ± 0.05 |
| 16 | 7.35 | C12H26 | / | / | 1.74 ± 0.08 | 1.75 ± 0.18 | 2.01 ± 0.12 | 1.69 ± 0.04 | 1.79 ± 0.06 | 1.08 ± 0.04 | 1.11 ± 0.05 | 0.99 ± 0.04 | 4.59 ± 0.14 | 2.94 ± 0.16 | 0.97 ± 0.08 | 0.99 ± 0.04 | 0.99 ± 0.04 | 0.95 ± 0.04 | 0.16 ± 0.01 |
| 17 | 8.37 | C4H10O | 1-Butanol | 71–36–3 | / | / | / | / | 4.50 ± 0.24 | 0.33 ± 0.01 | 0.30 ± 0.04 | 0.33 ± 0.01 | 3.54 ± 0.19 | 8.61 ± 0.65 | 1.91 ± 0.14 | 1.89 ± 0.07 | 1.51 ± 0.07 | 1.87 ± 0.07 | 4.40 ± 0.22 |
| 18 | 9.49 | C15H32 | / | / | 3.72 ± 0.17 | 3.75 ± 0.22 | 4.27 ± 0.21 | 3.58 ± 0.11 | 3.51 ± 0.15 | 6.39 ± 0.34 | 6.36 ± 0.33 | 6.45 ± 0.19 | 6.69 ± 0.42 | 5.49 ± 0.21 | 2.14 ± 0.12 | 2.14 ± 0.14 | 2.13 ± 0.18 | 2.01 ± 0.12 | 1.75 ± 0.07 |
| 19 | 9.57 | C5H8O2 | 2,4-Pentanedione | 123–54–6 | / | / | / | / | 15.24 ± 0.74 | / | / | / | / | / | / | / | / | / | / |
| 20 | 10.27 | C15H32 | / | / | 1.68 ± 0.07 | 1.70 ± 0.14 | 1.96 ± 0.14 | 1.63 ± 0.07 | 1.78 ± 0.08 | 1.44 ± 0.08 | 1.44 ± 0.08 | 1.44 ± 0.05 | 1.65 ± 0.05 | 1.71 ± 0.07 | 1.22 ± 0.07 | 1.22 ± 0.08 | 0.16 ± 0.01 | 1.18 ± 0.05 | 1.28 ± 0.05 |
| 21 | 11.99 | C18H38 | / | / | 1.33 ± 0.05 | 1.33 ± 0.08 | 1.52 ± 0.14 | 1.26 ± 0.09 | 1.34 ± 0.09 | 2.25 ± 0.10 | 2.25 ± 0.12 | 2.13 ± 0.14 | 2.34 ± 0.14 | 2.64 ± 0.11 | 0.66 ± 0.04 | 0.67 ± 0.04 | 0.64 ± 0.05 | 0.62 ± 0.08 | 0.69 ± 0.02 |
| 22 | 12.64 | CH3COOH | Acetic acid | 64–19–7 | 0.60 ± 0.04 | 0.58 ± 0.05 | 0.62 ± 0.03 | 0.55 ± 0.04 | 119.44 ± 5.77 | 0.45 ± 0.03 | 0.42 ± 0.01 | 1.53 ± 0.07 | 93.63 ± 3.58 | 626.94 ± 32.01 | 0.38 ± 0.02 | 0.38 ± 0.03 | 0.38 ± 0.01 | 0.41 ± 0.01 | 249.38 ± 12.08 |
| PP Grades | PPH-Y24 | K7726H | K9026 | ||||||
|---|---|---|---|---|---|---|---|---|---|
| Photoaging Time (h) | Mn (×104) | Mw (×104) | Polydispersity Index | Mn (×104) | Mw (×104) | Polydispersity Index | Mn (×104) | Mw (×104) | Polydispersity Index |
| 0 | 3.3 | 23.6 | 7.2 | 4.5 | 22.0 | 4.9 | 3.6 | 30.4 | 8.4 |
| 200 | 3.2 | 23.1 | 7.2 | 4.3 | 21.1 | 4.9 | 3.6 | 30.8 | 8.6 |
| 580 | 3.2 | 23.1 | 7.2 | 3.6 | 20.3 | 5.6 | 3.6 | 30.3 | 8.4 |
| 1000 | 3.1 | 23.2 | 7.5 | 2.8 | 16.5 | 5.9 | 2.8 | 18.1 | 6.5 |
| 2000 | 2.1 | 13.9 | 6.6 | 2.4 | 13.2 | 5.5 | 1.6 | 12.0 | 7.5 |
| Resin Type | Grade | MFR (g/10 min) | Comonomer | Molecular Weight Modifier | Stage of Loading |
|---|---|---|---|---|---|
| homo-PP | PPH-Y24 | 26 | / | H2 | polymerization |
| impact co-PP | K7726H | 26 | ethylene | H2 | polymerization |
| impact co-PP | K9026 | 26 | ethylene | peroxide | extrusion pelleting |
© 2020 by the authors. Licensee MDPI, Basel, Switzerland. This article is an open access article distributed under the terms and conditions of the Creative Commons Attribution (CC BY) license (http://creativecommons.org/licenses/by/4.0/).
Share and Cite
Kang, P.; Wu, P.; Jin, Y.; Shi, S.; Gao, D.; Chen, G.; Li, Q. Formation and Emissions of Volatile Organic Compounds from Homo-PP and Co-PP Resins during Manufacturing Process and Accelerated Photoaging Degradation. Molecules 2020, 25, 2761. https://doi.org/10.3390/molecules25122761
Kang P, Wu P, Jin Y, Shi S, Gao D, Chen G, Li Q. Formation and Emissions of Volatile Organic Compounds from Homo-PP and Co-PP Resins during Manufacturing Process and Accelerated Photoaging Degradation. Molecules. 2020; 25(12):2761. https://doi.org/10.3390/molecules25122761
Chicago/Turabian StyleKang, Peng, Peng Wu, Yan Jin, Shengpeng Shi, Dali Gao, Guangxin Chen, and Qifang Li. 2020. "Formation and Emissions of Volatile Organic Compounds from Homo-PP and Co-PP Resins during Manufacturing Process and Accelerated Photoaging Degradation" Molecules 25, no. 12: 2761. https://doi.org/10.3390/molecules25122761
APA StyleKang, P., Wu, P., Jin, Y., Shi, S., Gao, D., Chen, G., & Li, Q. (2020). Formation and Emissions of Volatile Organic Compounds from Homo-PP and Co-PP Resins during Manufacturing Process and Accelerated Photoaging Degradation. Molecules, 25(12), 2761. https://doi.org/10.3390/molecules25122761

