Chiral Lanthanide Complexes with l- and d-Alanine: An X-ray and Vibrational Circular Dichroism Study
Abstract
1. Introduction
2. Results and Discussion
2.1. Synthesis
2.2. Molecular and Crystal Structures of the Prepared Complexes
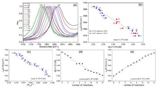
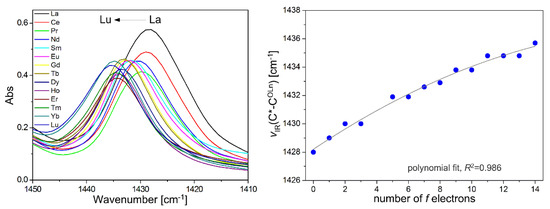
2.3. Experimental IR and VCD Spectra of the Studied Complexes
2.4. Simulated Molecular Structure and Vibrational Spectra
3. Materials and Methods
3.1. Preparation of the Complexes
3.2. Single-Crystal X-ray Diffraction
3.3. DFT Calculations
4. Conclusions and Summary
Supplementary Materials
Author Contributions
Funding
Acknowledgments
Conflicts of Interest
References
- Teo, R.D.; Termini, J.S.; Gray, H.B. Lanthanides: Applications in Cancer Diagnosis and Therapy. J. Med. Chem. 2016, 59, 6012–6024. [Google Scholar] [CrossRef]
- Harnden, A.; Parker, D.; Rogers, N.J. Employing paramagnetic shift for responsive MRI probes. Coord. Chem. Rev. 2019, 383, 30–42. [Google Scholar] [CrossRef]
- Kaczmarek, M.T.; Zabiszak, M.; Nowak, M.; Jastrzab, R. Lanthanides: Schiff base complexes, applications in cancer diagnosis, therapy, and antibacterial activity. Coord. Chem. Rev. 2018, 370, 42–54. [Google Scholar] [CrossRef]
- Chitgupi, U.; Qin, Y.; Lovell, J.F. Targeted Nanomaterials for Phototherapy. Nanotheranostics 2017, 1, 38–58. [Google Scholar] [CrossRef] [PubMed]
- Staszak, K.; Wieszczycka, K.; Marturano, V.; Tylkowski, B. Lanthanides complexes—Chiral sensing of biomolecules. Coord. Chem. Rev. 2019, 397, 76–90. [Google Scholar] [CrossRef]
- Brennan, J.D.; Capretta, A.; Yong, K.; Gerritsma, D.; Flora, K.K.; Jones, A. Sensitization of Lanthanides by Nonnatural Amino Acids. Photochem. Photobiol. 2002, 75, 117. [Google Scholar] [CrossRef]
- Mishiro, K.; Hanaoka, H.; Yamaguchi, A.; Ogawa, K. Radiotheranostics with radiolanthanides: Design, development strategies, and medical applications. Coord. Chem. Rev. 2019, 383, 104–131. [Google Scholar] [CrossRef]
- Rösch, F. Radiolanthanides in endoradiotherapy: An overview. Radiochim. Acta 2007, 95, 303–311. [Google Scholar] [CrossRef]
- Wieszczycka, K.; Staszak, K.; Woźniak-Budych, M.J.; Jurga, S. Lanthanides and tissue engineering strategies for bone regeneration. Coord. Chem. Rev. 2019, 388, 248–267. [Google Scholar] [CrossRef]
- Wang, K.; Li, R.; Cheng, Y.; Zhu, B. Lanthanides—The future drugs? Coord. Chem. Rev. 1999, 190–192, 297–308. [Google Scholar] [CrossRef]
- Heller, A.; Barkleit, A.; Bok, F.; Wober, J. Effect of four lanthanides onto the viability of two mammalian kidney cell lines. Ecotoxicol. Environ. Saf. 2019, 173, 469–481. [Google Scholar] [CrossRef]
- Lu, J.-W.; Miao, Y.; Guo, C.-X.; Ke, Q.-F.; Yin, J.-H.; Zhou, S.-M.; Guo, Y.-P. Lanthanum-Doped Chitosan Hydrogels Promote the Apoptosis of Melanoma Cells by Bcl-2/Bax Pathway. ACS Appl. Bio Mat. 2018, 1, 1468–1477. [Google Scholar] [CrossRef]
- Wang, B.-D.; Yang, Z.-Y.; Qin, D.-D.; Chen, Z.-N. Synthesis, characterization, cytotoxic activity and DNA-binding properties of the Ln(III) complexes with ethylenediiminobi(6-hydroxychromone-3-carbaldehyde) Schiff-base. J. Photochem. Photobiol. A Chem. 2008, 194, 49–58. [Google Scholar] [CrossRef]
- Wu, H.; Pan, G.; Bai, Y.; Zhang, Y.; Wang, H.; Shi, F.; Wang, X.; Kong, J. Study on synthesis, crystal structure, antioxidant and DNA-binding of mono-, di- and poly-nuclear lanthanides complexes with bis(N-salicylidene)-3-oxapentane-1,5-diamine. J. Photochem. Photobiol. B Boil. 2014, 135, 33–43. [Google Scholar] [CrossRef] [PubMed]
- Pałasz, A.; Czekaj, P. Toxicological and cytophysiological aspects of lanthanides action. Acta Biochim. Pol. 2000, 47, 1107–1114. [Google Scholar] [CrossRef]
- Gonzalez, V.; Vignati, D.A.; Leyval, C.; Giamberini, L. Environmental fate and ecotoxicity of lanthanides: Are they a uniform group beyond chemistry? Environ. Int. 2014, 71, 148–157. [Google Scholar] [CrossRef]
- Skovran, E.; Martinez-Gomez, N.C. Just add lanthanides. Science 2015, 348, 862–863. [Google Scholar] [CrossRef]
- Sun, Y.; Feng, W.; Yang, P.; Huang, C.; Li, F. The biosafety of lanthanide upconversion nanomaterials. Chem. Soc. Rev. 2015, 44, 1509–1525. [Google Scholar] [CrossRef] [PubMed]
- Ray, R.K.; Upadhyay, S.; Lamey, S.K.; Yadav, S. Lanthanides Toxicity and their Involvement in Biological Activities. Indian J. Forensic Med. Toxicol. 2018, 12, 108. [Google Scholar] [CrossRef]
- Djinović-Carugo, K.; Carugo, O. Structural biology of the lanthanides—Mining rare earths in the Protein Data Bank. J. Inorg. Biochem. 2015, 143, 69–76. [Google Scholar] [CrossRef]
- Ma, A.-Z.; Li, L.-M.; Lin, Y.-H.; Xi, S.-Q. Synthesis, Crystal Structure and Infrared Spectrum of Lanthanum Dinuclear Coordination Compound with Alanine: [La2(ala)4(H2O)8](ClO4)6. Chin. J. Struct. Chem. 1995, 14, 5–10. [Google Scholar]
- Glowiak, T.; Legendziewicz, J.; Huskowska, E.; Gawryszewska, P. Ligand chirality effect on the structure and its spectroscopic consequences in [Ln2(Ala)4(H2O)8](ClO4)6 crystals. Polyhedron 1996, 15, 2939–2947. [Google Scholar] [CrossRef]
- Torres, J.; Kremer, C.; Kremer, E.; Pardo, H.; Suescun, L.; Mombrú Álvaro, W.; Domínguez, S.; Mederos, A. Sm(III) complexation with α-amino acids. J. Alloys Compd. 2001, 323, 119–124. [Google Scholar] [CrossRef]
- Zeng, H.-D.; Pan, K.-Z. Studies on Rare Earth Metal Complexes of Amino Acids. The Synthesis and Crystal Structure of Tetrakis(Alanine) Octaaquodilanthanide Hexaperchlorate [Ln2(Ala)4(H2O)8](ClO4)6(Ln = Er3+ and Eu3+, Ala = CH3CH(+NH3)COO−). Chin. J. Struct. Chem. 1992, 11, 393–396. [Google Scholar]
- Wang, J.; Hu, N.; Yang, K.; Zhang, H.; Niu, C. Tetra-μ-α-alanine-bis[tetraaqua-gadolinium(III)] hexaperchlorate. Acta Crystallogr. C 2003, 59, m52–m54. [Google Scholar] [CrossRef]
- Mohamed, M.E.; Chopra, D.; Venugopala, K.N.; Govender, T.; Kruger, H.G.; Maguire, G.E.M. Tetrakis-μ-l-alanine-κ8O:O’-bis[tetraaquaterbium(III)] hexaperchlorate. Acta Crystallogr. E 2010, 66, m193–m194. [Google Scholar] [CrossRef]
- Cong-Ngoan, D.; Glowiak, T.; Huskowska, E.; Legendziewicz, J. Spectroscopy and crystal structure of octaaquatetra-l-α-alaninediholmium(III) hexachloride [Ho2(L-α-AlaH)4(H2O)8]Cl6. J. Less Common Met. 1988, 136, 339–347. [Google Scholar] [CrossRef]
- Hu, N.-H.; Wang, Z.-L.; Niu, C.-J.; Ni, J.-Z. Tetrakis(μ-Dl-alanine-O:O’)octaaquadierbium(III) Hexaperchlorate. Acta Crystallogr. Sect. C Cryst. Struct. Commun. 1995, 51, 1565–1568. [Google Scholar] [CrossRef]
- Legendziewicz, J.; Głowiak, T.; Huskowska, E.; Ngoan, D.C. Crystal structure and spectroscopic studies of catena-diaqua-tris-μ-(l-proline)neodymium(III) triperchlorate, [Nd(l-pro·H)3(H2O)2](ClO4)3. Polyhedron 1988, 7, 2495–2502. [Google Scholar] [CrossRef]
- Torres, J.; Kremer, C.; Kremer, E.; Pardo, H.; Suescun, L.; Mombru, A.; Dominguez, S.; Mederos, A.; Herbst-Irmer, R.; Arrieta, J.M.; et al. Sm(iii) Complexation with amino acids. Crystal structures of [Sm2(Pro)6(H2O)6](ClO4)6 and [Sm(Asp)(H2O)4]Cl2. J. Chem. Soc. Dalton Trans. 2002, 4035–4041. [Google Scholar] [CrossRef]
- Huskowska, E.; Turowska-Tyrk, I.; Legendziewicz, J.; Głowiak, T. Two high and low symmetry europium complexes with L-proline: Spectroscopy and structure. J. Alloy. Compd. 1998, 275, 852–858. [Google Scholar] [CrossRef]
- Pan, L.; Zheng, N.W.; Jin, X.L. A comparison of the structures of RE3+ with proline. Z. Krist. Crystall. Mater. 1997, 212, 601–604. [Google Scholar] [CrossRef]
- Hu, N.-H.; Wang, Z.-L.; Niu, C.-J.; Ni, J.-Z. Structure of an erbium complex with L-proline. Acta Crystallogr. Sect. C Cryst. Struct. Commun. 1993, 49, 2086–2089. [Google Scholar] [CrossRef]
- Ma, B.-Q.; Zhang, D.-S.; Gao, S.; Jin, T.-Z.; Yan, C.-H.; Xu, G.-X. From Cubane to Supercubane: The Design, Synthesis, and Structure of a Three-Dimensional Open Framework Based on a Ln4O4 Cluster. Angew. Chem. Int. Ed. 2000, 39, 3644–3646. [Google Scholar] [CrossRef]
- Legendziewicz, J.; Huskowska, E.; Waskowska, A.; Argay, G. Spectroscopy and crystal structure of neodymium coordination compound with glycine: Nd2(Gly)6(ClO4)6·9H2O. Inorg. Chim. Acta 1984, 92, 151–157. [Google Scholar] [CrossRef]
- Legendziewicz, J.; Huskowska, E.; Argay, G.; Waśkowska, A. Spectroscopy and crystal structure of holmium and dysprosium complex compounds with glycine: Ln(Gly)3(H2O)3(ClO4)3. J. Less Common Met. 1989, 146, 33–47. [Google Scholar] [CrossRef]
- Wang, R.; Liu, H.; Carducci, M.D.; Jin, T.; Zheng, C.; Zheng, Z. Lanthanide Coordination with α-Amino Acids under Near Physiological pH Conditions: Polymetallic Complexes Containing the Cubane-Like [Ln4(μ3-OH)4]8+Cluster Core. Inorg. Chem. 2001, 40, 2743–2750. [Google Scholar] [CrossRef]
- Panyushkin, V.T.; Bukov, N.N.; Abramov, D.E. Structure and vibration spectra of neodymium biglycinate. Polyhedron 2003, 22, 271–277. [Google Scholar] [CrossRef]
- Zhang, H.; Yu, H.; Xu, H.-X.; Ren, J.; Qu, X. Structural diversity of lanthanide–amino acid complexes under near physiological pH conditions and their recognition of single-stranded DNA. Polyhedron 2007, 26, 5250–5256. [Google Scholar] [CrossRef]
- Ma, B.-Q.; Zhang, D.-S.; Jin, T.-Z.; Gao, S.; Yan, C.-H. The formation of Gd4O4 cubane cluster controlled by L-valine. New J. Chem. 2000, 24, 251–252. [Google Scholar] [CrossRef]
- Torres, J.; Kremer, C.; Pardo, H.; Suescun, L.; Mombrú, Á.; Castiglioni, J.; Domínguez, S.; Mederos, A.; Kremer, E. Preparation and crystal structure of new samarium complexes with glutamic acid. J. Mol. Struct. 2003, 660, 99–106. [Google Scholar] [CrossRef]
- Barja, B.; Baggio, R.F.; Calvo, R.; Garland, M.T.; Perec, M.; Rizzi, A. Gadolinium(III) and europium(III) l-glutamates: Synthesis and characterization. Inorg. Chim. Acta 2006, 359, 3921–3926. [Google Scholar] [CrossRef]
- Csöregh, I.; Czugler, M.; Kierkegaard, P.; Legendziewicz, J.; Huskowska, E. Crystal Structure, Absorption and Fluorescence Spectra of Lanthanoid Glutamate Perchlorate Nonahydrates, Ln2(C5H8NO4)2(ClO4)4·9H2O. Acta Chem. Scand. 1989, 43, 735–747. [Google Scholar] [CrossRef]
- Wang, J.; Niu, C.; Hu, N.; Ni, J. Tetra-μ-L-isoleucine-bis[tetraaquasamarium(III)] hexaperchlorate. Acta Crystallogr. E 2004, 60, m32–m34. [Google Scholar] [CrossRef]
- Legendziewicz, J.; Ciunik, Z.; Gawryszewska, P.; Sokolnicki, J. Structural effect of ligand chirality and its spectroscopic consequences. Polyhedron 1999, 18, 2701–2709. [Google Scholar] [CrossRef]
- Wang, J.-P.; Niu, C.-J.; Hu, N.-H. Heptaaquatetra-μ3-hydroxy-hexa-μ2-L-leucine-(L-leucine)tetraytterbium(III) tetrachlorozinc(II) trichlorohydroxyzinc(II) tetrachloride octahydrate. Acta Crystallogr. C 2004, 60, m143–m146. [Google Scholar] [CrossRef] [PubMed]
- Jin, Q.; Wang, X.; Jin, T.; Zhang, S.; Xu, G. Crystal structure of two neodymium complexes with amino acids: {[Nd2(cystine)2(OH2)8](ClO4)6·3H2O}n and [Nd2(phenylalanine)4(OH2)8] (ClO4)6·H2O. J. Alloys Compd. 1994, 207–208, 400–405. [Google Scholar]
- Wang, R.; Selby, H.D.; Liu, H.; Carducci, M.D.; Jin, T.; Zheng, Z.; Anthis, J.W.; Staples, R.J. Halide-Templated Assembly of Polynuclear Lanthanide-Hydroxo Complexes. Inorg. Chem. 2002, 41, 278–286. [Google Scholar] [CrossRef]
- Yang, W.; Chen, D.; Jin, T.; Zhang, S. Crystal structure and specific rotation of a tetrakis-histidineocto-aquo di-erbium perchlorate complex. J. Rare Earths 1996, 14, 94–97. [Google Scholar]
- Wong, H.-Y.; Lo, W.-S.; Yim, K.-H.; Law, G. Chirality and Chiroptics of Lanthanide Molecular and Supramolecular Assemblies. Chem 2019, 5, 3058–3095. [Google Scholar] [CrossRef]
- Barry, D.E.; Kitchen, J.A.; Mercs, L.; Peacock, R.D.; Albrecht, M.; Gunnlaugsson, T. Chiral luminescent lanthanide complexes possessing strong (samarium, SmIII) circularly polarised luminescence (CPL), and their self-assembly into Langmuir-Blodgett films. Dalton Trans. 2019, 48, 11317–11325. [Google Scholar] [CrossRef] [PubMed]
- Qin, T.; Feng, Z.; Yang, J.; Shen, X.; Zhu, D. Unprecedented three-dimensional hydrogen-bonded hex topological chiral lanthanide-organic frameworks built from an achiral ligand. Acta Crystallogr. Sect. C Struct. Chem. 2018, 74, 1403–1412. [Google Scholar] [CrossRef]
- Liu, X.; Zhang, Y.; Shi, W.; Cheng, P. Rational Design and Synthesis of a Chiral Lanthanide-Radical Single-Chain Magnet. Inorg. Chem. 2018, 57, 13409–13414. [Google Scholar] [CrossRef] [PubMed]
- Øwre, A.; Vinum, M.G.; Kern, M.; Van Slageren, J.; Bendix, J.; Perfetti, M. Chiral, Heterometallic Lanthanide–Transition Metal Complexes by Design. Inorganics 2018, 6, 72. [Google Scholar] [CrossRef]
- Lin, S.-Y.; Sun, B.; Xu, Z. Syntheses, structures and magnetic properties of chiral lanthanide tetrahedral clusters supported by symmetrical amidate ligands. Inorganica Chim. Acta 2017, 464, 119–124. [Google Scholar] [CrossRef]
- Górecki, M.; Carpita, L.; Arrico, L.; Zinna, F.; Di Bari, L. Chiroptical methods in a wide wavelength range for obtaining Ln3+ complexes with circularly polarized luminescence of practical interest. Dalton Trans. 2018, 47, 7166–7177. [Google Scholar] [CrossRef] [PubMed]
- Krupová, M.; Kapitán, J.; Bouř, P. Induced Lanthanide Circularly Polarized Luminescence as a Probe of Protein Fibrils. ACS Omega 2019, 4, 1265–1271. [Google Scholar] [CrossRef]
- Andrushchenko, V. Eu3+ as a luminescence probe in DNA studies: Structural and conformational implications. Spectrochim. Acta Part A Mol. Biomol. Spectrosc. 2019, 213, 456–462. [Google Scholar] [CrossRef]
- Okayasu, Y.; Yuasa, J. Evaluation of circularly polarized luminescence in a chiral lanthanide ensemble. Mol. Syst. Des. Eng. 2018, 3, 66–72. [Google Scholar] [CrossRef]
- Lin, S.-Y.; Wang, C.; Zhao, L.; Wu, J.; Tang, J. Chiral mononuclear lanthanide complexes and the field-induced single-ion magnet behaviour of a Dy analogue. Dalton Trans. 2015, 44, 223–229. [Google Scholar] [CrossRef]
- Kotova, O.; Blasco, S.; Twamley, B.; O’Brien, J.; Peacock, R.D.; Kitchen, J.A.; Martínez-Calvo, M.; Gunnlaugsson, T. The application of chiroptical spectroscopy (circular dichroism) in quantifying binding events in lanthanide directed synthesis of chiral luminescent self-assembly structures. Chem. Sci. 2015, 6, 457–471. [Google Scholar] [CrossRef] [PubMed]
- Zheng, Y.; Pan, K.-Z. Crystal Structure of Complex of Erbium(III) and Glycine,[Er(Gly)2(H2O)4]2(ClO4)6·4(C4H8O2). Chin. J. Struct. Chem. 1987, 6, 132–134. [Google Scholar]
- Seitz, M.; Oliver, A.G.; Raymond, K.N. The Lanthanide Contraction Revisited. J. Am. Chem. Soc. 2007, 129, 11153–11160. [Google Scholar] [CrossRef]
- Mink, J.; Skripkin, M.; Hajba, L.; Németh, C.; Abbasi, A.; Sandström, M. Infrared and Raman spectroscopic and theoretical studies of nonaaqua complexes of trivalent rare earth metal ions. Spectrochim. Acta Part A Mol. Biomol. Spectrosc. 2005, 61, 1639–1645. [Google Scholar] [CrossRef] [PubMed]
- Siekierski, S.; Burgess, J. Concise Chemistry of the Elements; Elsevier BV: Amsterdam, The Netherlands, 2002. [Google Scholar]
- Wang, S.G.; Schwarz, W.H.E. Lanthanide Diatomics and Lanthanide Contractions. J. Phys. Chem. 1995, 99, 11687–11695. [Google Scholar] [CrossRef]
- Hughes, I.D.; Däne, M.; Ernst, A.; Hergert, W.; Lüders, M.; Poulter, J.; Staunton, J.B.; Svane, A.; Szotek, Z.; Temmerman, W.M. Lanthanide contraction and magnetism in the heavy rare earth elements. Nature 2007, 446, 650–653. [Google Scholar] [CrossRef]
- Morris, D.E.; Hobart, D.E. Raman spectra of the lanthanide oxalates. J. Raman Spectrosc. 1988, 19, 231–237. [Google Scholar] [CrossRef]
- Palles, D.; Poulakis, N.; Liarokapis, E.; Gantis, A.; Calamiotou, M.; Koufoudakis, A. Raman spectroscopic study of the La0.5R0.5Ba2Cu3OyRY, rare earth) superconductors. Superlattices Microstruct. 1997, 21, 329–334. [Google Scholar] [CrossRef]
- Kovács, A.; Apostolidis, C.; Walter, O.; Lindqvist-Reis, P. ‘Lanthanide contraction’ in [Ln(BTP)3](CF3SO3)3 complexes. Struct. Chem. 2015, 26, 1287–1295. [Google Scholar] [CrossRef]
- Li, X.; Mao, Y.; Xiao, C.; Lu, F.-L. Infra-red spectroscopic characteristics of naphthalocyanine in bis(naphthalocyaninato) rare earth complexes peripherally substituted with thiophenyl derivatives. Spectrochim. Acta Part A Mol. Biomol. Spectrosc. 2015, 140, 96–100. [Google Scholar] [CrossRef]
- Nicu, V.P.; Debie, E.; Herrebout, W.; Van Der Veken, B.; Bultinck, P.; Baerends, E. A VCD robust mode analysis of induced chirality: The case of pulegone in chloroform. Chirality 2009, 21, E287–E297. [Google Scholar] [CrossRef]
- Kong, J.; Joyce, L.A.; Liu, J.; Jarrell, T.M.; Culberson, J.C.; Sherer, E.C. Absolute configuration assignment of (+)-fluralaner using vibrational circular dichroism. Chirality 2017, 29, 854–864. [Google Scholar] [CrossRef] [PubMed]
- Sprenger, R.F.; Thomasi, S.S.; Ferreira, A.G.; Cass, Q.B.; Batista Junior, J.M. Solution-state conformations of natural productsfrom chiroptical spectroscopy: The case ofisocorilagin. Org. Biomol. Chem. 2016, 14, 3369–3375. [Google Scholar] [CrossRef] [PubMed]
- Mazzeo, G.; Abbate, S.; Longhi, G.; Castiglioni, E.; Villani, C. Vibrational Circular Dichroism (VCD) Reveals Subtle Conformational Aspects and Intermolecular Interactions in the Carnitine Family. Chirality 2015, 27, 907–913. [Google Scholar] [CrossRef] [PubMed]
- Rode, J.E.; Lyczko, K.; Jawiczuk, M.; Kawęcki, R.; Stańczyk, W.; Jaglińska, A.; Dobrowolski, J.D. The VCD pattern of the v(C=O) bands in isoindolinones. ChemPhysChem 2018, 19, 2411–2422. [Google Scholar] [CrossRef] [PubMed]
- Sato, H. A new horizon for vibrational circular dichroism spectroscopy: A challenge for supramolecular chirality. Phys. Chem. Chem. Phys. 2020, 22, 7671–7679. [Google Scholar] [CrossRef] [PubMed]
- Dobrowolski, J.C.; Karpińska, G. Substituent Effect in the First Excited Triplet State of Monosubstituted Benzenes. ACS Omega 2020, 5, 9477–9490. [Google Scholar] [CrossRef]
- Mennucci, B. Polarizable continuum model. Wiley Interdiscip. Rev. Comput. Mol. Sci. 2012, 2, 386–404. [Google Scholar] [CrossRef]
- Scalmani, G.; Frisch, M.J. Continuous surface charge polarizable continuum models of solvation. I. General formalism. J. Chem. Phys. 2010, 132, 114110. [Google Scholar] [CrossRef]
- Dolomanov, O.; Bourhis, L.J.; Gildea, R.; Howard, J.A.; Puschmann, H. OLEX2: A complete structure solution, refinement and analysis program. J. Appl. Crystallogr. 2009, 42, 339–341. [Google Scholar] [CrossRef]
- Sheldrick, G.M. Crystal structure refinement with SHELXL. Acta Crystallogr. Sect. C Struct. Chem. 2015, 71, 3–8. [Google Scholar] [CrossRef] [PubMed]
- Macrae, C.; Bruno, I.J.; Chisholm, J.A.; Edgington, P.R.; McCabe, P.E.; Pidcock, E.; Rodriguez-Monge, L.; Taylor, R.; Van De Streek, J.; Wood, P.A. Mercury CSD 2.0—New features for the visualization and investigation of crystal structures. J. Appl. Crystallogr. 2008, 41, 466–470. [Google Scholar] [CrossRef]
- Becke, A.D. Density-functional thermochemistry. III. The role of exact exchange. J. Chem. Phys. 1993, 98, 5648–5652. [Google Scholar] [CrossRef]
- Lee, C.; Yang, W.; Parr, R.G. Development of the Colle-Salvetti correlation-energy formula into a functional of the electron density. Phys. Rev. B 1988, 37, 785–789. [Google Scholar] [CrossRef]
- Cao, X.; Dolg, M. Segmented contraction scheme for small-core lanthanide pseudopotential basis sets. J. Mol. Struct. Theochem. 2002, 581, 139–147. [Google Scholar] [CrossRef]
- Cao, X.; Dolg, M. Valence basis sets for relativistic energy-consistent small-core lanthanide pseudopotentials. J. Chem. Phys. 2001, 115, 7348–7355. [Google Scholar] [CrossRef]
- Hariharan, P.C.; Pople, J.A. The influence of polarization functions on molecular orbital hydrogenation energies. Theor. Chem. Accounts 1973, 28, 213–222. [Google Scholar] [CrossRef]
- Schaäfer, A.; Huber, C.; Ahlrichs, R. Fully optimized contracted Gaussian basis sets of triple zeta valence quality for atoms Li to Kr. J. Chem. Phys. 1994, 100, 5829–5835. [Google Scholar] [CrossRef]
- Frisch, M.J.; Trucks, G.W.; Schlegel, H.B.; Scuseria, G.E.; Robb, M.A.; Cheeseman, J.R.; Scalmani, G.; Barone, V.; Mennucci, B.; Petersson, G.A.; et al. Gaussian 09, Revision D.01; Gaussian Inc.: Wallingford, CT, USA, 2013. [Google Scholar]
Sample Availability: not available. |














| Ln | La | Ce | Pr | Nd |
|---|---|---|---|---|
| Chemical formula | C12H44Cl6N4O40La2 | C12H44Cl6N4O40Ce2 | C12H44Cl6N4O40Pr2 | C12H44Cl6N4O40Nd2 |
| Formula weight | 1375.03 | 1377.45 | 1379.03 | 1385.69 |
| λ (Mo Kα) (Å) | 0.71073 | 0.71073 | 0.71073 | 0.71073 |
| Crystal system | triclinic | triclinic | triclinic | triclinic |
| Space group | P 1 | P 1 | P 1 | P 1 |
| a (Å) | 10.6638(4) | 10.61089(15) | 10.5830(2) | 10.5197(3) |
| b (Å) | 11.1982(4) | 11.21068(13) | 11.1985(2) | 11.1630(4) |
| c (Å) | 11.3160(5) | 11.26955(18) | 11.2455(3) | 11.1905(4) |
| α (°) | 79.400(3) | 79.5635(12) | 79.7557(18) | 79.937(3) |
| β (°) | 67.118(4) | 67.1951(15) | 67.394(2) | 67.541(3) |
| γ (°) | 65.265(3) | 65.3845(13) | 65.4262(19) | 65.572(3) |
| V (Å3) | 1130.38(8) | 1123.17(3) | 1118.66(4) | 1105.50(7) |
| Z | 1 | 1 | 1 | 1 |
| Dcalc. (g·cm−3) | 2.020 | 2.036 | 2.047 | 2.081 |
| µ (mm−1) | 2.337 | 2.476 | 2.629 | 2.805 |
| F(000) | 680 | 682 | 684 | 686 |
| Crystal size (mm) | 0.15 × 0.12 × 0.04 | 0.18 × 0.16 × 0.10 | 0.28 × 0.28 × 0.15 | 0.20 × 0.18 × 0.10 |
| Reflections collected | 24,374 | 101,937 | 62,860 | 25,043 |
| Unique reflections | 12,027 | 12,542 | 12,497 | 12,314 |
| Reflections I > 2σ(I) | 11,309 | 12,238 | 12,118 | 11,798 |
| Rint | 0.0288 | 0.0326 | 0.0387 | 0.0250 |
| Restraints/parameters | 4/638 | 3/626 | 3/614 | 14/635 |
| Goodness-of-fit | 1.051 | 1.050 | 1.030 | 1.030 |
| R1, wR2 (I > 2σ(I)) | 0.0335, 0.0688 | 0.0200, 0.0464 | 0.0248, 0.0582 | 0.0243, 0.0530 |
| R1, wR2 (all data) | 0.0369, 0.0712 | 0.0209, 0.0470 | 0.0261, 0.0593 | 0.0264, 0.0546 |
| Peak/hole (e·Å−3) | 2.146/−1.970 | 1.506/−0.797 | 0.992/−0.683 | 0.619/−0.888 |
| Ln | Tb | Dy | Ho | Er |
| Chemical formula | C12H44Cl6N4O40Tb2 | C12H44Cl6N4O40Dy2 | C12H44Cl6N4O40Ho2 | C12H44Cl6N4O40Er2 |
| Formula weight | 1415.05 | 1422.21 | 1427.07 | 1431.73 |
| λ (Mo Kα) (Å) | 0.71073 | 0.71073 | 0.71073 | 0.71073 |
| Crystal system | triclinic | triclinic | triclinic | triclinic |
| Space group | P 1 | P 1 | P 1 | P 1 |
| a (Å) | 10.7620(3) | 10.7445(4) | 10.7253(3) | 10.72306(14) |
| b (Å) | 10.8068(2) | 10.7596(4) | 10.7486(3) | 10.75190(16) |
| c (Å) | 11.3278(2) | 11.3154(4) | 11.3110(3) | 11.29447(17) |
| α (°) | 79.2425(18) | 79.191(3) | 79.288(2) | 79.3033(13) |
| β (°) | 65.411(2) | 65.306(3) | 65.354(3) | 65.4293(14) |
| γ (°) | 67.538(2) | 67.622(3) | 67.705(3) | 67.6274(13) |
| V (Å3) | 1106.51(4) | 1098.38(7) | 1095.98(6) | 1094.54(3) |
| Z | 1 | 1 | 1 | 1 |
| Dcalc. (g·cm−3) | 2.124 | 2.150 | 2.162 | 2.172 |
| µ (mm−1) | 3.652 | 3.861 | 4.071 | 4.295 |
| F(000) | 696 | 698 | 700 | 702 |
| Crystal size (mm) | 0.12 × 0.10 × 0.04 | 0.12 × 0.10 × 0.06 | 0.14 × 0.12 × 0.05 | 0.18 × 0.15 × 0.06 |
| Reflections collected | 30,268 | 38,791 | 24,694 | 93,208 |
| Unique reflections | 11,792 | 11,710 | 12,191 | 13,987 |
| Reflections I > 2σ(I) | 11,149 | 11,305 | 11,583 | 13,531 |
| Rint | 0.0355 | 0.0302 | 0.0285 | 0.0375 |
| Restraints/parameters | 3/612 | 5/612 | 17/642 | 5/618 |
| Goodness-of-fit | 1.054 | 1.040 | 1.045 | 1.045 |
| R1, wR2 (I > 2σ(I)) | 0.0249, 0.0522 | 0.0212, 0.0463 | 0.0251, 0.0494 | 0.0205, 0.0222 |
| R1, wR2 (all data) | 0.0277, 0.0540 | 0.0225, 0.0471 | 0.0277, 0.0512 | 0.0457, 0.0468 |
| Peak/hole (e·Å−3) | 0.924/−0.780 | 0.809/−0.678 | 0.910/−0.682 | 0.939/−0.789 |
| Ln | Tm | Yb | Lu | |
| Chemical formula | C12H44Cl6N4O40Tm2 | C12H44Cl6N4O40Yb2 | C12H44Cl6N4O40Lu2 | |
| Formula weight | 1435.07 | 1443.29 | 1447.15 | |
| λ (Mo Kα) (Å) | 0.71073 | 0.71073 | 0.71073 | |
| Crystal system | triclinic | triclinic | triclinic | |
| Space group | P 1 | P 1 | P 1 | |
| a (Å) | 10.7174(3) | 10.7127(2) | 10.7019(3) | |
| b (Å) | 10.7660(4) | 10.73533(18) | 10.7326(3) | |
| c (Å) | 11.2977(4) | 11.2818(2) | 11.2736(3) | |
| α (°) | 79.468(3) | 79.3635(16) | 79.370(2) | |
| β (°) | 65.476(3) | 65.397(2) | 65.470(3) | |
| γ (°) | 67.710(3) | 67.7669(18) | 67.668(3) | |
| V (Å3) | 1096.85(7) | 1091.39(4) | 1089.10(6) | |
| Z | 1 | 1 | 1 | |
| Dcalc. (g·cm−3) | 2.173 | 2.196 | 2.206 | |
| µ (mm−1) | 4.505 | 4.747 | 4.996 | |
| F(000) | 704 | 706 | 708 | |
| Crystal size (mm) | 0.12 × 0.10 × 0.04 | 0.18 × 0.10 × 0.08 | 0.20 × 0.18 × 0.05 | |
| Reflections collected | 22,981 | 39,938 | 24,285 | |
| Unique reflections | 11,661 | 11,636 | 12,029 | |
| Reflections I > 2σ(I) | 11,086 | 11,201 | 11,280 | |
| Rint | 0.0270 | 0.0306 | 0.0341 | |
| Restraints/parameters | 6/588 | 6/606 | 4/581 | |
| Goodness-of-fit | 1.026 | 1.047 | 1.018 | |
| R1, wR2 (I > 2σ(I)) | 0.0258, 0.0524 | 0.0199, 0.0429 | 0.0281, 0.0570 | |
| R1, wR2 (all data) | 0.0281, 0.0537 | 0.0215, 0.0436 | 0.0317, 0.0593 | |
| Peak/hole (e·Å−3) | 0.639/−0.679 | 0.619/−0.645 | 0.937/−1.123 |
© 2020 by the authors. Licensee MDPI, Basel, Switzerland. This article is an open access article distributed under the terms and conditions of the Creative Commons Attribution (CC BY) license (http://creativecommons.org/licenses/by/4.0/).
Share and Cite
Lyczko, K.; Rode, J.E.; Dobrowolski, J.C. Chiral Lanthanide Complexes with l- and d-Alanine: An X-ray and Vibrational Circular Dichroism Study. Molecules 2020, 25, 2729. https://doi.org/10.3390/molecules25122729
Lyczko K, Rode JE, Dobrowolski JC. Chiral Lanthanide Complexes with l- and d-Alanine: An X-ray and Vibrational Circular Dichroism Study. Molecules. 2020; 25(12):2729. https://doi.org/10.3390/molecules25122729
Chicago/Turabian StyleLyczko, Krzysztof, Joanna E. Rode, and Jan Cz. Dobrowolski. 2020. "Chiral Lanthanide Complexes with l- and d-Alanine: An X-ray and Vibrational Circular Dichroism Study" Molecules 25, no. 12: 2729. https://doi.org/10.3390/molecules25122729
APA StyleLyczko, K., Rode, J. E., & Dobrowolski, J. C. (2020). Chiral Lanthanide Complexes with l- and d-Alanine: An X-ray and Vibrational Circular Dichroism Study. Molecules, 25(12), 2729. https://doi.org/10.3390/molecules25122729

