Computational Study of the Coupled Mechanism of Thermophoretic Transportation and Mixed Convection Flow around the Surface of a Sphere
Abstract
1. Introduction
2. Mathematical Formulation
3. Solution Methodology
3.1. Solution Technique
3.2. Group of Stream Function Formulation
4. Results and Discussion
5. Conclusions
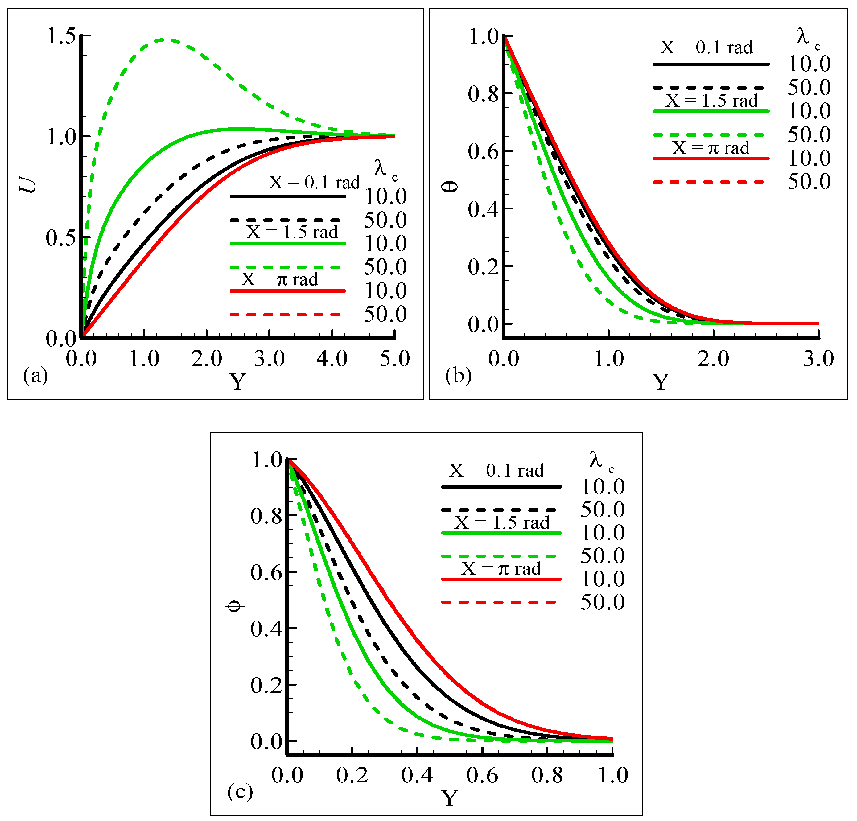
- From the graphical representation of the numerical results for the velocity profile, it can be seen that the velocity profile increases for increasing values of λt and λC but decreases when Pr and Sc are increased. Interestingly, it was noticed that the favorable position to obtain the maximum magnitude of the velocity profile is X = 1.5 radian.
- It can be observed from the findings about the temperature profile that this physical property is enhanced when Sc is augmented and reduced when Pr, λt, and λC are increased. The suitable circumferential point about the surface of a sphere to achieve the highest value is X = π radian.
- The results for the mass concentration illustrated in Figure 2, Figure 3, Figure 4 and Figure 5 show that the mass concentration rises for increasing values of Pr and declines as Sc, λt, and λC are enhanced. The station around a sphere, where the maximum value of the mass concentration was obtained, is X = π radian.
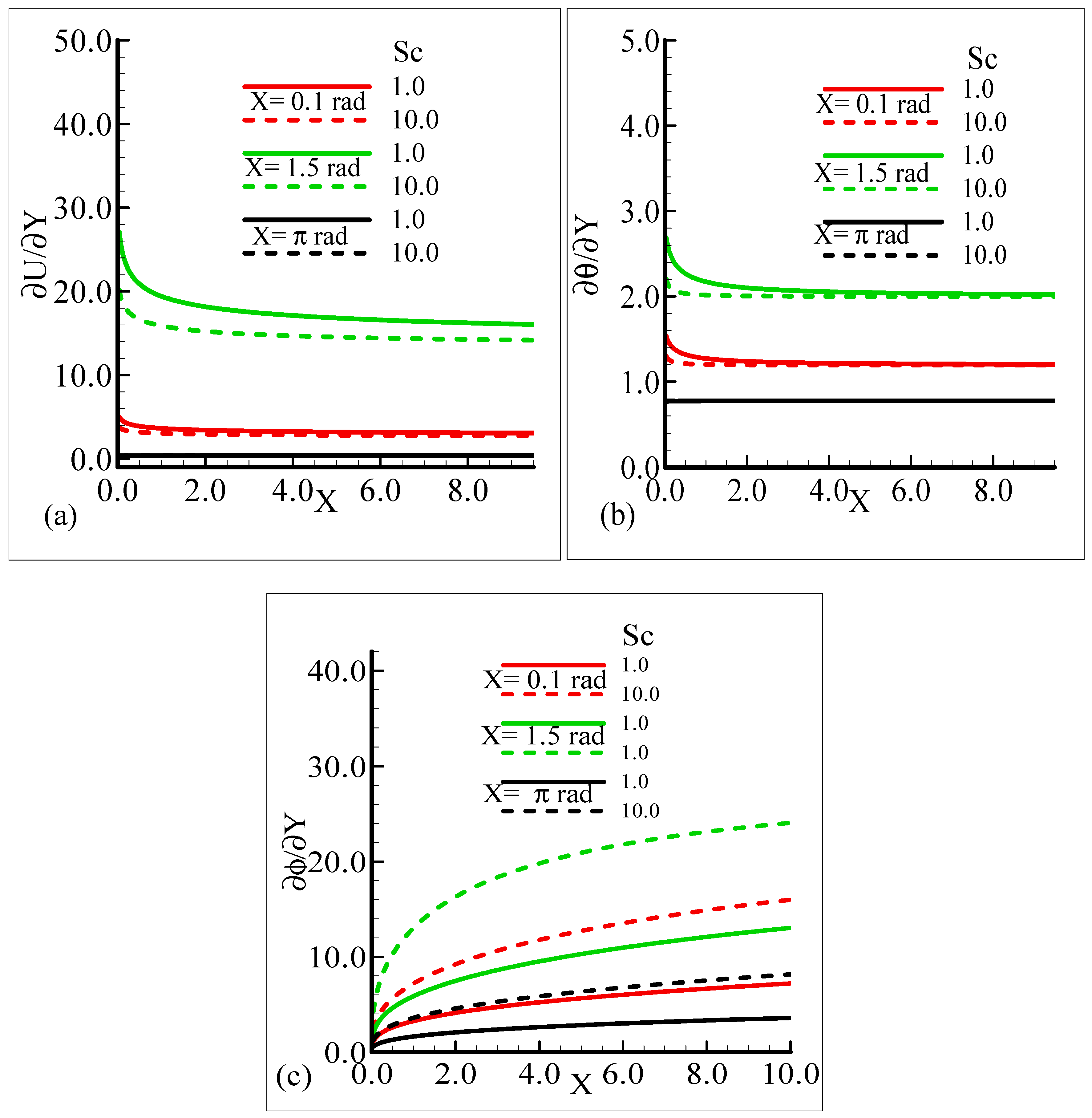
- It is shown in Figure 11a,b that the thermophoretic velocity at the surface of the proposed geometry is in the upper limit at position X = 1.5 radian, and in both cases, approaches to zero as the size of the particle is increased.
- In the end comparison of the numerical solutions of the skin friction, the rate of heat transfer and the rate of mass transfer for several values of λt and κ, obtained by the finite difference method and MATLAB built-in numerical solver bvp4c, are shown in a tabular form. It was observed that the results of both techniques are in good agreement, which shows the validation of the numerical findings obtained by the proposed finite difference method applied to the primitive variable form for the current problem.
Author Contributions
Funding
Acknowledgments
Conflicts of Interest
References
- Potter, J.M.; Riley, N. Free convection from a heated sphere at large Grashof number. J. Fluid Mech. 1980, 100, 769–783. [Google Scholar] [CrossRef]
- Epstein, M.; Hauser, G.M.; Henry, R.E. Thermophoretic deposition of particles in natural convection flow from a vertical plate. Int. J. Heat Trans. 1985, 107, 272–276. [Google Scholar] [CrossRef]
- Riley, N. The heat transfer from a sphere in free convective flow. Comp. Fluids 1986, 14, 225–237. [Google Scholar] [CrossRef]
- Loyalka, S.K. Thermophoretic force on a single particle—I: Numerical solution of the linearized Boltzmann equation. J. Aero. Sci. 1992, 23, 291–300. [Google Scholar] [CrossRef]
- Kang, S.H.; Greif, R. Thermophoretic transport in the outside vapor deposition process. Int. J. Heat Mass Trans. 1993, 36, 1007–1018. [Google Scholar] [CrossRef]
- Nguyen, H.D.; Paik, S.; Chung, J.N. Unsteady mixed convection heat transfer from a solid sphere: The conjugate problem. Int. J. Heat Mass Trans. 1993, 36, 4443–4453. [Google Scholar] [CrossRef]
- Li, W.; Davis, E.J. The effects of gas and particle properties on thermophoresis. J. Aero. Sci. 1995, 26, 1085–1099. [Google Scholar] [CrossRef]
- Selim, A.; Hossain, M.A.; Rees, D.A.S. The effect of surface mass transfer on mixed convection flow past a heated vertical flat permeable plate with thermophoresis. Int. J. Therm. Sci. 2003, 42, 973–982. [Google Scholar] [CrossRef]
- Chamkha, A.J.; Pop, I. Effect of thermophoresis particle deposition in free convection boundary layer from a vertical flat plate embedded in a porous medium. Int. Comm. Heat Mass Trans. 2004, 31, 421–430. [Google Scholar] [CrossRef]
- Chamkha, A.J.; Al-Mudhaf, A.F.; Pop, I. Effect of heat generation or absorption on thermophoretic free convection boundary layer from a vertical flat plate embedded in a porous medium. Int. Commun. Heat Mass Trans. 2006, 33, 1096–1102. [Google Scholar] [CrossRef]
- Molla, M.M.; Hossain, M.A.; Taher, M.A. Magnetohydrodynamics natural convection flow on a sphere with uniform heat flux in presence of heat generation. Acta Mech. 2006, 186, 75–86. [Google Scholar] [CrossRef]
- Molla, M.; Hossain, A. Effects of chemical reaction, heat and mass diffusion in natural convection flow from an isothermal sphere with temperature dependent viscosity. Eng. Comp. 2006, 23, 840–875. [Google Scholar] [CrossRef]
- Postelnicu, A. Effects of thermophoresis particle deposition in free convection boundary layer from a horizontal flat plate embedded in a porous medium. Int. J. Heat Mass Trans. 2007, 50, 2981–2985. [Google Scholar] [CrossRef]
- Raman, N.S.; Prabhu, K.S.; Kandasamy, R. Soret and Dufour effects on MHD free convective heat and mass transfer with thermophoresis and chemical reaction over a porous stretching surface: Group theory transformation. J. Appl. Mech. Tech. Phys. 2012, 53, 871–879. [Google Scholar] [CrossRef]
- Musong, S.G.; Feng, Z.G. Mixed convective heat transfer from a heated sphere at an arbitrary incident flow angle in laminar flows. Int. J. Heat Mass Trans. 2014, 78, 34–44. [Google Scholar] [CrossRef]
- Malai, N.V.; Limanskaya, A.V.; Shchukin, E.R. Thermophoretic motion of large heated aerosol spherical particles. J. Appl. Mech. Tech. Phys. 2016, 57, 337–343. [Google Scholar] [CrossRef]
- Gompper, G.; Bechinger, C.; Herminghause, S.; Isele-Holder, R.; Kaupp, U.B.; Lowen, H.; Stark, H.; Winkler, R.G. Microswimmers-from single particle motion to collective behavior. Eur. Phys. J. Spec. Top. 2016, 225, 2061–2064. [Google Scholar] [CrossRef][Green Version]
- Ashraf, M.; Fatima, A.; Gorla, R.S.R. Periodic momentum and thermal boundary layer mixed convection flow around the surface of a sphere in the presence of viscous dissipation. Canad. J. Phys. 2017, 95, 976–986. [Google Scholar] [CrossRef]
- Burelbach, J.; Zupkauskas, M.; Lamboll, R.; Lan, Y.; Eiser, E. Colloidal motion under the action of a thermophoretic force. J. Chem. Phys. 2017, 147, 094906. [Google Scholar] [CrossRef]
- Wang, J.; Luo, S.; Xia, G. Thermophoretic force on nano cylinders in the free molecule regime. Phy. Rev. E 2017, 95, 033101. [Google Scholar] [CrossRef]
- Zheng, X.; Shao, S.D.; Khayyer, a.; Duan, W.Y.; Ma, Q.W.; Liao, K.P. Corrected first-order derivative ISPH in water wave simulations. Coast. Eng. J. 2017, 59, 1750010. [Google Scholar] [CrossRef]
- Chang, Y.C.; Keh, H.J. Thermophoresis at small but finite Péclet numbers. Aero. Sci. Technol. 2018, 52, 1028–1036. [Google Scholar] [CrossRef]
- Yu, S.; Wang, J.; Xia, G.; Zong, L. Thermophoretic force on nono spherical particles in the free-molecule regime. Phy. Rev. E 2018, 97, 053106. [Google Scholar] [CrossRef] [PubMed]
- Li, C.Y.; Keh, H.J. Thermophoresis of a particle in a concentric cavity with thermal stress slip. Aer. Sci. Technol. 2018, 52, 269–276. [Google Scholar] [CrossRef]
- Ashraf, M.; Fatima, A. Numerical simulation of the effect of transient shear stress and rate of heat transfer around different positions of sphere in the presence of viscous dissipation. J. Heat Trans. 2018, 140, 701–712. [Google Scholar] [CrossRef]
- Torres, J.F.; Ghanadi, F.; Nock, I.; Arjomandi, M.; Pye, J. Mixed convection around a tilted cuboid with an isothermal sidewall at moderate Reynolds numbers. Int. J. Heat Mass Trans. 2018, 119, 418–432. [Google Scholar] [CrossRef]
- Turan, O.; Yigit, S.; Chakraborty, N. Effects of wall heating on laminar mixed convection in a cylindrical enclosure with a rotating end wall. Int. J. Ther. Sci. 2018, 131, 80–93. [Google Scholar] [CrossRef]
- Niu, R.; Palberg, T. Modular approach to microswimming. Soft Matter 2018, 14, 7554–7568. [Google Scholar] [CrossRef]
- Mei, X.; Gong, G.; Peng, P.; Su, H. Predicting thermophoresis induced particle deposition by using a modified Markov chain model. Int. J. Ther. Sci. 2019, 136, 44–51. [Google Scholar] [CrossRef]
- Karim, M.A.; Owen, A.; Yarlagadda, P.K.D.V.; Islam, M.; Mahiuddin, M. Performance investigation of high temperature application of molten solar salt nanofluid in a direct absorption solar collector. Molecules 2019, 24, 285. [Google Scholar] [CrossRef]
- Minakov, A.A.; Schick, C. Nanoscale heat conduction in CNT-polymer nano composites at fast thermal perturbations. Molecules 2019, 24, 2794. [Google Scholar] [CrossRef]
- Malai, N.V.; Shchukin, E.R. Photo-and Thermophoresis of Heated Medium-Size Spherical Aerosol Particles. Tech. Phys. 2019, 64, 458–464. [Google Scholar] [CrossRef]
- Malay, N.V.; Shchukin, E.R. Thermophoresis of Heated Moderately Large Spherical Aerosol Particles. J. Appl. Mech. Tech. Phys. 2019, 60, 517–525. [Google Scholar] [CrossRef]
- Saad, E.I.; Faltas, M.S. Theory of thermophoresis of a spherical particle embedded in a micropolar fluid. J. Mol. Liq. 2019, 282, 527–544. [Google Scholar] [CrossRef]
- Li, C.Y.; Keh, H.J. Axisymmetric thermophoresis of an aerosol particle in a spherical cavity. J. Aer. Sci. 2019, 135, 33–45. [Google Scholar] [CrossRef]
- Faltas, M.S.; Ragab, K.E. Thermophoretic and photophoretic velocities and forces of a spherical particle embedded in Brinkman medium. The Eur. Phy. J. Plus 2019, 134, 475. [Google Scholar] [CrossRef]
- El-Sapa, S. Effect of permeability of Brinkman flow on thermophoresis of a particle in a spherical cavity. Eur. J. Mech. B/Fluids 2020, 79, 315–323. [Google Scholar] [CrossRef]
- Khan, U.; Adnan; Ahmed, N.; Mohyud-Din, S.T.; Chu, Y.M.; Khan, I.; Nisar, K.S. γ-Nanofluid thermal transport between parallel plates suspended by micro-cantilever sensors by incorporating the effective Prandtl model: Applications to biological and medical sciences. Molecules 2020, 25, 1777. [Google Scholar] [CrossRef]
- Gompper, G.; Winkler, R.G.; Speck, T.; Solon, A.; Nardini, C.; Peruani, F.; Kiorboe, T. The 2020 motile active matter roadmap. J. Phs. Condens. Matter 2020, 32, 193001. [Google Scholar] [CrossRef]
Sample Availability: Samples of the compounds are not available from the authors. |











| % Error | |||
|---|---|---|---|
| FDM | BVP4C | ||
| 1.0 | 8.12161 | 8.12798 | 0.0784% |
| 10.0 | 13.20016 | 13.20398 | 0.0289% |
| 20.0 | 19.22151 | 19.22493 | 0.0178% |
| 30.0 | 24.52932 | 24.53024 | 0.0037% |
| 40.0 | 29.41793 | 29.41744 | 0.0017% |
| 50.0 | 34.14011 | 34.140639 | 0.0015% |
| % Error | |||
|---|---|---|---|
| FDM | BVP4C | ||
| 1.0 | 0.68709 | 0.68756 | 0.0684% |
| 10.0 | 0.78215 | 0.78279 | 0.0182% |
| 20.0 | 0.87263 | 0.87283 | 0.0229% |
| 30.0 | 0.94489 | 0.94577 | 0.0930% |
| 40.0 | 1.01645 | 1.01702 | 0.0560% |
| 50.0 | 1.02183 | 1.02149 | 0.0332% |
| % Error | |||
|---|---|---|---|
| FDM | BVP4C | ||
| 1.0 | 0.60516 | 0.60527 | 0.0181% |
| 10.0 | 0.78805 | 0.78852 | 0.0596% |
| 20.0 | 0.87532 | 0.87553 | 0.0239% |
| 30.0 | 0.94610 | 0.94630 | 0.0211% |
| 40.0 | 1.03342 | 1.03383 | 0.0397% |
| 50.0 | 1.08060 | 1.08094 | 0.0314% |
| % Error | |||
|---|---|---|---|
| FDM | BVP4C | ||
| 0.1 | 12.15382 | 12.15397 | 0.0012% |
| 1.0 | 13.31494 | 13.31459 | 0.0026% |
| 2.0 | 15.02421 | 15.02438 | 0.0011% |
| 3.0 | 16.37157 | 16.37155 | 0.0001% |
| 4.0 | 17.08623 | 17.08643 | 0.0011% |
| 5.0 | 17.73685 | 17.73644 | 0.0023% |
| % Error | |||
|---|---|---|---|
| FDM | BVP4C | ||
| 0.1 | 0.76252 | 0.76212 | 0.0524% |
| 1.0 | 0.78554 | 0.78595 | 0.0521% |
| 2.0 | 0.82730 | 0.82732 | 0.0024% |
| 3.0 | 0.85465 | 0.85438 | 0.0316% |
| 4.0 | 0.88616 | 0.88633 | 0.0001% |
| 5.0 | 0.90459 | 0.90468 | 0.0099% |
| % Error | |||
|---|---|---|---|
| FDM | BVP4C | ||
| 0.1 | 1.95746 | 1.95710 | 0.0183% |
| 1.0 | 0.77332 | 0.77343 | 0.0142% |
| 2.0 | 0.42910 | 0.42906 | 0.0093% |
| 3.0 | 0.41085 | 0.41086 | 0.0024% |
| 4.0 | 0.43140 | 0.43108 | 0.0742% |
| 5.0 | 0.44715 | 0.44719 | 0.0089% |
© 2020 by the authors. Licensee MDPI, Basel, Switzerland. This article is an open access article distributed under the terms and conditions of the Creative Commons Attribution (CC BY) license (http://creativecommons.org/licenses/by/4.0/).
Share and Cite
Abbas, A.; Ashraf, M.; Chu, Y.-M.; Zia, S.; Khan, I.; Nisar, K.S. Computational Study of the Coupled Mechanism of Thermophoretic Transportation and Mixed Convection Flow around the Surface of a Sphere. Molecules 2020, 25, 2694. https://doi.org/10.3390/molecules25112694
Abbas A, Ashraf M, Chu Y-M, Zia S, Khan I, Nisar KS. Computational Study of the Coupled Mechanism of Thermophoretic Transportation and Mixed Convection Flow around the Surface of a Sphere. Molecules. 2020; 25(11):2694. https://doi.org/10.3390/molecules25112694
Chicago/Turabian StyleAbbas, Amir, Muhammad Ashraf, Yu-Ming Chu, Saqib Zia, Ilyas Khan, and Kottakkaran Sooppy Nisar. 2020. "Computational Study of the Coupled Mechanism of Thermophoretic Transportation and Mixed Convection Flow around the Surface of a Sphere" Molecules 25, no. 11: 2694. https://doi.org/10.3390/molecules25112694
APA StyleAbbas, A., Ashraf, M., Chu, Y.-M., Zia, S., Khan, I., & Nisar, K. S. (2020). Computational Study of the Coupled Mechanism of Thermophoretic Transportation and Mixed Convection Flow around the Surface of a Sphere. Molecules, 25(11), 2694. https://doi.org/10.3390/molecules25112694

