Synthesis, Characterization and Biological Evaluation of Metal Adamantyl 2-Pyridylhydrazone Complexes
Abstract
1. Introduction
2. Results and Discussion
2.1. Synthesis and Characterization
2.2. FT-IR Spectra
2.3. Magnetic Measurements and Molar Conductivities
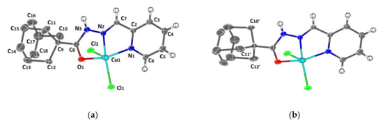
2.4. Structure Description of the Ligand and Complex 1
2.4.1. Crystal Structure of the Ligand APH
2.4.2. Crystal Structure of 1
2.5. Cytotoxicity Assay
3. Materials and Methods
3.1. General Methods
3.2. Syntheses
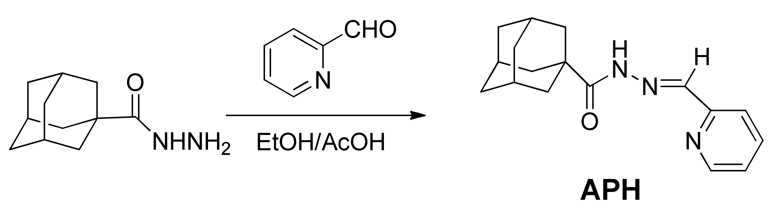
3.2.1. Synthesis of the Hydrazone Ligand (APH)
3.2.2. Preparation of the Complexes
General Procedure for the Preparation of the Complexes
Synthesis of 1 (C17H21Cl2CuN3O)
Synthesis of 2 (C17H21Cl2CoN3O)
Synthesis of 3 (C17H21Cl2N3NiO)
Synthesis of 4 (C17H21Cl2N3OZn)
3.3. X-Ray Crystallography
3.4. Computational Methods
3.5. Cytotoxicity Assay
3.5.1. Cell Lines
3.5.2. Cell Culture
3.5.3. Viability Assay
4. Conclusions
Supplementary Materials
Author Contributions
Funding
Acknowledgments
Conflicts of Interest
References
- Rosenberg, B.; VanCamp, L.; Trosko, J.E.; Mansour, V.H. Platinum compounds: A new class of potent antitumour agents. Nature 1969, 222, 385–386. [Google Scholar] [CrossRef]
- Ndagi, U.; Mhlongo, N.; Soliman, M.E. Metal complexes in cancer therapy—An update from drug design perspective. Drug. Des. Devel. Ther. 2017, 11, 599–616. [Google Scholar] [CrossRef]
- Nicolini, M. Platinum and Other Metal Coordination Compounds in Cancer Chemotherapy; Springer: New York, NY, USA, 1997; Volume 54, pp. 3–31. [Google Scholar]
- Frezza, M.; Hindo, S.; Chen, D.; Davenport, A.; Schmitt, S.; Tomco, D.; Ping Dou, Q. Novel metals and metal complexes as platforms for cancer therapy. Curr. Pharm. Des. 2010, 16, 1813–1825. [Google Scholar] [CrossRef]
- Hussain, A.; AlAjmi, M.F.; Rehman, M.T.; Khan, A.A.; Shaikh, P.A.; Khan, R.A. Evaluation of Transition Metal Complexes of Benzimidazole-Derived Scaffold as Promising Anticancer Chemotherapeutics. Molecules 2018, 23, 1232. [Google Scholar] [CrossRef]
- Bruijnincx, P.C.; Sadler, P.J. New trends for metal complexes with anticancer activity. Curr. Opin. Chem. Biol. 2008, 12, 197–206. [Google Scholar] [CrossRef]
- Mourino, V.; Cattalini, J.P.; Boccaccini, A.R. Metallic ions as therapeutic agents in tissue engineering scaffolds: An overview of their biological applications and strategies for new developments. J. R. Soc. Interface 2012, 9, 401–419. [Google Scholar] [CrossRef]
- Jia, P.; Ouyang, R.; Cao, P.; Tong, X.; Lei, T.; Zhoa, Y.; Guo, N.; Chang, H.; Miao, Y.; Zhou, S. Review: Recent advances and future development of metal complexes as anticancer agents. J. Coord. Chem. 2017, 70, 2175–2201. [Google Scholar] [CrossRef]
- Weidmann, A.G.; Komor, A.C.; Barton, J.K. Targeted Chemotherapy with Metal Complexes. Comments Inorg. Chem. 2014, 34, 114–123. [Google Scholar] [CrossRef]
- AlAjmi, M.F.; Hussain, A.; Rehman, M.T.; Khan, A.A.; Shaikh, P.A.; Khan, R.A. Design, Synthesis, and Biological Evaluation of Benzimidazole-Derived Biocompatible Copper(II) and Zinc(II) Complexes as Anticancer Chemotherapeutics. Int. J. Mol. Sci. 2018, 19, 1492. [Google Scholar] [CrossRef]
- Narang, R.; Narasimhan, B.; Sharma, S. A review on biological activities and chemical synthesis of hydrazide derivatives. Curr. Med. Chem. 2012, 19, 569–612. [Google Scholar] [CrossRef]
- Vicini, P.; Zani, F.; Cozzini, P.; Doytchinova, I. Hydrazones of 1,2-benzisothiazole hydrazides: Synthesis, antimicrobial activity and QSAR investigations. Eur. J. Med. Chem. 2002, 37, 553–564. [Google Scholar] [CrossRef]
- Ersan, S.; Nacak, S.; Berkem, R.; Ozden, T. Synthesis and antimicrobial activities of 2-[(alpha-methylbenzylidene)-hydrazino]benzoxazoles. Arzneim–Forsch/Drug Res. 1997, 47, 963–965. [Google Scholar]
- Yildir, I.; Perciner, H.; Fethi Sahin, M.; Abbasoglu, U. Hydrazones of [(2-Benzothiazolylthio) acetyl] hydrazine: Synthesis and Antimicrobial Activity. Arch. Pharm. 1995, 328, 547–549. [Google Scholar] [CrossRef] [PubMed]
- Cesur, Z.; Büyüktimkin, S.; Büyüktimkin, N.; Derbentli, S. Synthesis and Antimicrobial Evaluation of Some Arylhydrazones of 4-[(2-Methylimidazo [1–a] pyridine-3-yl) azo] benzoic Acid Hydrazide. Arch. Pharm. 1990, 323, 141–144. [Google Scholar] [CrossRef] [PubMed]
- Vittorio, F.; Ronsisvalle, G.; Marrazzo, A.; Blandini, G. Synthesis and antimicrobial evaluation of 4-phenyl-3-isoquinolinoyl-hydrazones. Farmaco 1995, 50, 265–272. [Google Scholar]
- Rasras, A.; Al-Tel, T.; Al-Aboudi, A.; Al-Qawasmeh, R. Synthesis and antimicrobial activity of cholic acid hydrazone analogues. Eur. J. Med. Chem. 2010, 45, 2307–2313. [Google Scholar] [CrossRef]
- Rollas, S.; Küçükgüzel, S.G. Biological activities of hydrazone derivatives. Molecules 2007, 12, 1910–1939. [Google Scholar] [CrossRef]
- Bedia, K.; Elçin, O.; Seda, U.; Fatma, K.; Nathaly, S.; Sevim, R.; Dimoglo, A. Synthesis and characterization of novel hydrazide–hydrazones and the study of their structure–antituberculosis activity. Eur. J. Med. Chem. 2006, 41, 1253–1261. [Google Scholar] [CrossRef]
- Vicini, P.; Incerti, M.; Doytchinova, I.A.; La Colla, P.; Busonera, B.; Loddo, R. Synthesis and antiproliferative activity of benzo [d] isothiazole hydrazones. Eur. J. Med. Chem. 2006, 41, 624–632. [Google Scholar] [CrossRef]
- Terzioğlu, N.; Gürsoy, A. Synthesis and anticancer evaluation of some new hydrazone derivatives of 2,6-dimethylimidazo[2,1-b]-[1,3,4]thiadiazole-5-carbohydrazide. Eur. J. Med. Chem. 2003, 38, 781–786. [Google Scholar] [CrossRef]
- Al-Hazmi, G.A.; El-Asmy, A.A. Synthesis, spectroscopy and thermal analysis of copper (II) hydrazone complexes. J. Coord. Chem. 2009, 62, 337–345. [Google Scholar] [CrossRef]
- Dawkins, A.T.; Gallager, L.R.; Togo, Y.; Hornick, R.B.; Harris, B.A. Studies on induced influenza in man: II. Double-blind study designed to assess the prophylactic efficacy of an analogue of amantadine hydrochloride. J. Am. Med. Assoc. 1968, 203, 1095–1099. [Google Scholar] [CrossRef]
- Çalıs, Ü.; Yarıma, M.; Köksal, M.; Özalp, M. Synthesis and antimicrobial activity evaluation of some new adamantane derivatives. Arzneim–Forsch/Drug Res 2002, 52, 778–781. [Google Scholar] [CrossRef]
- Liu, J.; Obando, D.; Liao, V.; Lifa, T.; Codd, R. The many faces of the adamantyl group in drug design. Eur. J. Med. Chem. 2011, 46, 1949–1963. [Google Scholar] [CrossRef] [PubMed]
- Kadi, A.A.; Al-Abdullah, E.S.; Shehata, I.A.; Habib, E.E.; Ibrahim, T.M.; El-Emam, A.A. Synthesis, antimicrobial and anti-inflammatory activities of novel 5-(1-adamantyl)-1, 3, 4-thiadiazole derivatives. Eur. J. Med. Chem. 2010, 45, 5006–5011. [Google Scholar] [CrossRef] [PubMed]
- Antoniadou-Vyza, E.; Avramidis, N.; Kourounakis, A.; Hadjipetrou, L. Anti-inflammatory properties of new adamantane derivatives. Design, synthesis, and biological evaluation. Arch. Pharm. Pharm. Med. Chem. 1998, 331, 72–78. [Google Scholar] [CrossRef]
- Olson, S.; Aster, S.D.; Brown, K.; Carbin, L.; Graham, D.W.; Hermanowski-Vosatka, A.; LeGrand, C.B.; Mundt, S.S.; Robbins, M.A.; Schaeffer, J.M.; et al. Adamantyl triazoles as selective inhibitors of 11β-hydroxysteroid dehydrogenase type 1. Bioorg. Med. Chem. Lett. 2005, 15, 4359–4362. [Google Scholar] [CrossRef]
- Han, J.; Takeda, R.; Sato, T.; Moriwaki, H.; Abe, H.; Izawa, K.; Soloshonok, V.A. Optical Resolution of Rimantadine. Molecules 2019, 24, 1828. [Google Scholar] [CrossRef]
- Sondhi, S.; Dinodiaa, M.; Kumar, A. Synthesis, anti-inflammatory and analgesic activity evaluation of some amidine and hydrazone derivatives. Bioorg. Med. Chem. 2006, 14, 4657–4663. [Google Scholar] [CrossRef]
- Fernàndez, J.M.; GAcevedo-Arauz, E.; Cetina-Rosado, R.; Toscano, R.A. Electrochemical studies of copper (II) complexes derived from bulky Schiff bases. The crystal structure of bis [N-(1-adamantyl)-salicylaldiminato] copper (II). Trans. Met. Chem. 1999, 24, 18–24. [Google Scholar] [CrossRef]
- Đorđević, M.; Jeremić, D.; Anđelković, K.; Pavlović, M.; Divjaković, V.; Ristović, M.; Brčeski, I. Cobalt (II) and cadmium (II) compounds with adamantane-1-sulfonic acid. J. Serb. Chem. Soc. 2012, 77, 1391–1399. [Google Scholar] [CrossRef]
- Al-Qawasmeh, R.A.; Salameh, B.; Alrazim, R.; Aldamen, M.; Voelter, W. Microwave Assisted Synthesis of New Adamantyltriazine Derivatives. Lett. Org. Chem. 2014, 11, 513–518. [Google Scholar]
- Al-Aboudi, A.; Al-Qawasmeh, R.A.; Shahwan, A.; Mahmood, U.; Khalid, A.; Ul-Haq, Z. n-silico identification of the binding mode of synthesized adamantyl derivatives inside cholinesterase enzymes. Acta Pharmacol. Sin. 2015, 36, 879–886. [Google Scholar] [CrossRef] [PubMed]
- Despaigne, A.; Silva, J.; Carmo, A.; Piro, O.; Castellano, E.; Beraldo, H. Copper (II) and zinc (II) complexes with 2-benzoylpyridine-methyl hydrazone. J. Mol. Struct. 2009, 920, 97–102. [Google Scholar] [CrossRef]
- Khanfar, M.A.; Jaber, A.M.; AlDamen, M.A.; Al-Qawasmeh, R.A. Synthesis characterization, crystal structure and DFT study of a square planar Cu(II) complex containing bulky adamantane ligand. Molecules 2018, 23, 701. [Google Scholar] [CrossRef]
- Semreen, M.H.; El-Awady, R.; Abu-Odeh, R.; Saber-Ayad, M.; Al-Qawasmeh, R.A.; Chouaib, S.; Voelter, W.; Al-Tel, T.H. Tandem multicomponent reactions toward the design and synthesis of novel antibacterial and cytotoxic motifs. Curr. Med. Chem. 2013, 20, 1445–1459. [Google Scholar] [CrossRef]
- Al-Qawasmeh, R.A.; Zahra, J.A.; Zani, F.; Vicini, P.; Boese, R.; El-Abadelah, M.M. Synthesis and antibacterial activity of 9-cyclopropyl-4-fluoro-6-oxo-6, 9-dihydro-[1,2,5]thiadiazolo [3–h]quinoline-7-carboxylic acid and its ethyl ester. ARKIVOC 2009, issue 12, 322–336. [Google Scholar] [CrossRef]
- Al-Tel, T.H.; Al-Qawasmeh, R.A.; Sabri, S.S.; Voelter, W. Differential Use of Anhydropyranosides for Enantiopure Routes to Bis-γ-butyrolactones: A New Approach to the Frameworks of Antibiotic and Anticancer Agents Isoavenaciolide and Ethisolide. J. Org. Chem. 2009, 74, 4596–4690. [Google Scholar] [CrossRef]
- Halli, M.B.; Sumathi, R.B. Synthesis, spectroscopic, antimicrobial and DNA cleavage studies of new Co (II), Ni (II), Cu (II), Cd (II), Zn (II) and Hg (II) complexes with naphthofuran-2-carbohydrazide Schiff base. J. Mol. Struct. 2012, 1022, 130–138. [Google Scholar] [CrossRef]
- Banerjee, S.; Mondal, S.; Sen, S.; Das, S.; Hughes, D.L.; Rizzoli, C.; Desplanches, C.; Mandal, C.; Mitra, S. Four new dinuclear Cu(II) hydrazone complexes using various organic spacers: Syntheses, crystal structures, DNA binding and cleavage studies and selective cell inhibitory effect towards leukemic and normal lymphocytes. Dalton Trans. 2009, 34, 6849–6860. [Google Scholar] [CrossRef]
- Banerjee, S.; Mondal, S.; Chakraborty, W.; Sen, S.; Gachhui, R.; Butcher, R.J.; Slawin, A.M.Z.; Mandal, C.; Mitra, S. Syntheses, X-ray crystal structures, DNA binding, oxidative cleavage activities and antimicrobial studies of two Cu(II) hydrazone complexes. Polyhedron 2009, 28, 2785–2793. [Google Scholar] [CrossRef]
- Reichmann, M.E.; Rice, S.A.; Thomas, C.A.; Doty, P. A further examination of the molecular weight and size of desoxypentose nucleic acid. J. Am. Chem. Soc. 1954, 76, 3047–3053. [Google Scholar] [CrossRef]
- Nakamoto, K. Infrared and Raman Spectra of Inorganic and Coordination Compounds, 5th ed.; Part B; Wiley: New York, NY, USA, 1997; p. 23. [Google Scholar]
- Alves, W.; Almeida-Filho, S.; Santos, R.; Paduan-Filho, A.; Ferreira, A. Equilibria and catalytic properties of a chloro-bridged Diimine copper (II) complex in the N,N,N′,N′-tetramethyl-p-phenylenediamine (TMPD) oxidation. J. Brazil. Chem. Soc. 2004, 15, 872–883. [Google Scholar] [CrossRef]
- Llunell, M.; Casanova, D.; Cirera, J.; Bofill, J.M.; Alemany, P.; Alvarez, S.; Pinsky, M.; Avnir, D. SHAPE; Version 1.7; University of Barcelona: Barcelon, Spain, 2010; Available online: http://www.ee.ub.edu/index.php?option=com_jdownloads&Itemid=529&view=summary&cid=12&catid=3 (accessed on 14 May 2020).
- Luo, W.; Tweedie, D.; Beedie, S.L.; Vargesson, N.; Figg, W.D.; Greig, N.H.; Scerba, M.T. Design, synthesis and biological assessment of N-adamantyl, substituted adamantyl and noradamantyl phthalimidines for nitrite, TNF-α and angiogenesis inhibitory activities. Bioorg. Med. Chem. 2018, 26, 1547–1559. [Google Scholar] [CrossRef]
- Aigami, K.; Inamoto, Y.; Takaishi, N.; Hattori, K.; Takatsuki, A.; Tamura, G. Biologically active polycycloalkanes. 1. Antiviral adamantane derivatives. J. Med. Chem. 1975, 18, 713–721. [Google Scholar] [CrossRef]
- Basarić, N.; Sohora, M.; Cindro, N.; Mlinarić-Majerski, K.; De Clercq, E.; Balzarini, J. Antiproliferative and antiviral activity of three libraries of adamantane derivatives. Archiv. Pharm. 2014, 347, 334–340. [Google Scholar] [CrossRef]
- Hassan, G.S.; El-Emam, A.A.; Gad, L.M.; Barghash, A.E.M. Synthesis, antimicrobial and antiviral testing of some new 1-adamantyl analogues. Saudi Pharm. J. 2010, 18, 123–128. [Google Scholar] [CrossRef]
- Al-Wahaibi, L.H.; Hassan, H.M.; Abo-Kamar, A.M.; Ghabbour, H.A.; El-Emam, A.A. Adamantane-isothiourea hybrid derivatives: Synthesis, characterization, in vitro antimicrobial, and in vivo hypoglycemic activities. Molecules 2017, 22, 710. [Google Scholar] [CrossRef]
- Balaji, G.L.; Sarveswari, S.; Vijayakumar, V. Synthesis of diversely substituted adamantanes as a new class of antimicrobial agent. Res. Chem. Intermed. 2015, 41, 6765–6776. [Google Scholar] [CrossRef]
- Al-Abdullah, E.S.; Al-Tuwaijri, H.M.; Hassan, H.M.; Al-Alshaikh, M.A.; Habib, E.E.; El-Emam, A.A. Synthesis, Antimicrobial and Hypoglycemic Activities of Novel N-(1-Adamantyl)carbothioamide Derivatives. Molecules 2015, 20, 8125–8143. [Google Scholar] [CrossRef]
- Tabbi, A.; Tebbani, D.; Caporale, A.; Saturnino, C.; Nabavi, S.F.; Giuseppe, P.; Arra, C.; Canturk, Z.; Turan-Zitouni, G.; Merazig, H. New adamantyl chalcones: Synthesis, antimicrobial and anticancer activities. Curr. Top. Med. Chem. 2017, 17, 498–506. [Google Scholar] [CrossRef] [PubMed]
- Aguiar, D.F.; Dutra, L.L.A.; Dantas, W.M.; de Carvalho, G.G.C.; Lemes, R.P.G.; do Ó Pessoa, C.; Paier, C.R.K.; Araujo, P.L.B.; Araujo, E.S.; Pena, L.J. Synthesis, Antitumor and Cytotoxic Activity of New Adamantyl O-Acylamidoximes and 3-Aryl-5-Adamantane-1,2,4-Oxadiazole Derivatives. Chem. Select 2019, 4, 9112–9118. [Google Scholar] [CrossRef]
- Anusha, S.; Mohan, C.D.; Ananda, H.; Baburajeev, C.P.; Rangappa, S.; Mathai, J.; Fuchs, J.E.; Li, F.; Shanmugam, M.K.; Bender, A.; et al. Adamantyl-tethered-biphenylic compounds induce apoptosis in cancer cells by targeting Bcl homologs. Bioorg. Med. Chem. Lett. 2016, 26, 1056–1060. [Google Scholar] [CrossRef] [PubMed]
- Fytas, C.; Zoidis, G.; Tsotinis, A.; Fytas, G.; Khan, M.A.; Akhtar, S.; Rahman, K.M.; Thuston, D.E. Novel 1-(2-aryl-2-adamantyl)piperazine derivatives with antiproliferative activity. Eur. J. Med. Chem. 2015, 93, 281–290. [Google Scholar] [CrossRef] [PubMed]
- Pham, V.H.; Dung Phan, T.P.; Chau Phan, D.; Vu, B.D. Synthesis and Bioactivity of Hydrazide-Hydrazones with the 1-Adamantyl-Carbonyl Moiety. Molecules 2019, 24, 4000. [Google Scholar] [CrossRef]
- Rodić, M.V.; Leovac, V.M.; Jovanović, L.S.; Spasojević, V.; Joksović, M.D.; Stanojković, T.; Matić, I.Z.; Vojinović-Ješić, L.S.; Marković, V. Synthesis, characterization, cytotoxicity and antiangiogenic activity of copper(II) complexes with 1-adamantoyl hydrazone bearing pyridine rings. Eur. J. Med. Chem. 2016, 115, 75–81. [Google Scholar] [CrossRef]
- Lüpertz, R.; Wätjen, W.; Kahl, R.; Chovolou, Y. Dose- and time-dependent effects of doxorubicin on cytotoxicity, cell cycle and apoptotic cell death in human colon cancer cells. Toxicology 2010, 271, 115–121. [Google Scholar] [CrossRef]
- Cox, J.; Weinman, S. Mechanisms of doxorubicin resistance in hepatocellular carcinoma. Hepatic Oncol. 2016, 3, 57–59. [Google Scholar] [CrossRef]
- Arcamone, F.; Cassinelli, G.; Fantini, G.; Grein, A.; Orezzi, P.; Pol, C.; Spalla, C. Adriamycin, 14-hydroxydaunomycin, a new antitumor antibiotic from S. peucetius var. caesius. Biotechnol. Bioeng. 2000, 67, 704–713. [Google Scholar] [CrossRef]
- Rigaku Oxford Diffraction. CrysAlisPro Software System; Version 1.171.40.53; Intelligent Data Collection and Processing Software for Small Molecule and Protein Crystallography; Rigaku Corporation: Oxford, UK, 2019. [Google Scholar]
- Dolomanove, O.V.; Bourhis, L.J.; Gildea, R.J.; Howard, J.A.K.; Puschmann, H. OLEX2: A complete structure solution, refinement and analysis program. J. Appl. Crystallog. 2009, 42, 339–341. [Google Scholar] [CrossRef]
- Sheldrich, G.M. Crystal structure refinement with SHELXL. Acta Crystallogr. 2015, 71, 3–8. [Google Scholar] [CrossRef]
Sample Availability: Samples of the compounds APH and 1–4 are available from the authors. |









| Compound | υ (C=O) | υ (C=N) | υ (C=N)PY |
|---|---|---|---|
| APH | 1651 (s) | 1546 (s) | 624 (m) |
| 1764 * | 1600 * | 636 * | |
| 1757 *# | 1601 *# | 633 *# | |
| 1 | 1588 (s) | 1615, 1527 (s) | 684 (m) |
| 1757 (calc′d) * | 1657, 1600 (calc′d) * | 761 (calc′d) * | |
| 1766 (calc′d) ** | 1664, 1605 (calc′d) | 767 (calc′d) | |
| 2 | 1146 (s) υ(C–O)coor | 1515 (s) | 677 (m) |
| 1145 * | 1512 * | 683 * | |
| 3 | 1608 (s) | 1523 (s) | 670 (m) |
| 4 | 1644 (s) | 1529 (s) | 640 (m) |
| 1666 * | 1532 * | 647 * |
| APH | 1 | |
|---|---|---|
| Chemical formula | C17H23N3O2 | C18H19Cl5CuN3O |
| Formula weight | 301.38 | 534.15 |
| Crystal system | monoclinic | Triclinic |
| Space group | P21/c | Pī |
| Z | 8 | 2 |
| a (Å) | 38.328(3) | 6.4038(13) |
| b (Å) | 6.9156(5) | 9.676(3) |
| c (Å) | 11.9183(12) | 18.706(4) |
| α(°) | 90 | 76.86(2) |
| β (°) | 95.099(10) | 86.369(17) |
| γ (°) | 90 | 81.46(2) |
| V (Å3) | 3146.6(5) | 1115.7(5) |
| Density (Mg/m3) | 1.272 | 1.590 |
| Absorption coefficient (mm−1) | 0.085 | 1.592 |
| F(000) | 1296.0 | 540.0 |
| 2Ѳ Range for data collection (°) | 5.89–50.05 | 6.44–50.1 |
| Reflections collected | 13,020 | 6883 |
| Independent reflections (Rint) | 5557 (0.0673) | 3948 (0.0352) |
| Goodness-of-fit, F2 | 1.052 | 1.035 |
| R indices (all data) | R1 = 0.1943; wR2 = 0.2330 | R1 = 0.0878; wR2 = 0.1373 |
| Final R indices [I > 2σ(I)] | R1 = 0.0893; wR2 = 0.1733 | R1 = 0.0584; wR2 = 0.13173 |
| Largest difference in peak and hole (e Å−3) | 0.23 and −0.25 | 0.60 and −0.65 |
| , | ||
| Bond Distances | |||
|---|---|---|---|
| Cu1–Cl2 | 2.460(2) 2.231 * 2.228 ** | Cu1–Cl1 | 2.212(2) 2.198 * 2.198 ** |
| Cu1–N2 | 1.967(4) 2.136 * 2.159 ** | Cu1–O1 | 2.065(4) 2.948 * 2.955 ** |
| Cu1–N1 | 2.026(5) 2.122 * 2.131 ** | N3–N2 | 1.364(6) 1.348 * 1.341 ** |
| N3–C8 | 1.346(7) 1.399 * 1.398 ** | N1–C6 | 1.328(7) 1.329 * 1.328 ** |
| N1–C2 | 1.349(6) 1.348 * 1.346 ** | C8–O1 | 1.239(6) 1.210 * 1.207 ** |
| Angles | |||
| Cl1–Cu1–Cl2 | 101.79(6) 106.34 * 106.69 ** | N2–Cu1–Cl2 | 96.26(14) 92.46 * 92.47 ** |
| N2–Cu1–Cl1 | 161.85(14) 158.44 * 158.26 ** | N2–Cu1–O1 | 77.12(16) 60.53 * 60.32 ** |
| N2–Cu1–N1 | 78.52(16) 76.32 * 75.79 ** | O1–Cu1–Cl2 | 94.45(13) 83.88 * 83.19 ** |
| O1–Cu1–Cl1 | 99.42(11) 110.23 * 110.95 ** | N1–Cu1–Cl2 | 104.39(14) 132.76 * 133.24 ** |
| N1–Cu1–Cl1 | 98.58(13) 97.46 * 97.30 ** | N1–Cu1–O1 | 150.58(16) 125.15 * 124.71 ** |
| Compound No | Concentration (µM) | MCF7 | T47D | MDA-MB-231 | PC3 | DU145 | Caco-2 |
|---|---|---|---|---|---|---|---|
| APH | 12.5 | 2.66 ± 0.20 | 5.39 ± 0.46 | 5.90 ± 2.12 | 15.82 ± 6.67 | 24.15 ± 0.94 | 17.17 ± 1.50 |
| 50 | 13.68 ± 1.87 | 21.98 ± 3.66 | 22.76 ± 3.01 | 19.99 ± 0.53 | 46.39 ± 2.78 | 43.62 ± 1.39 | |
| 1 | 12.5 | 15.33 ± 0.58 | 28.32 ± 1.40 | 32.24 ± 3.84 | 56.74 ± 4.52 | 25.30 ± 3.96 | 65.06 ± 1.37 |
| 50 | 93.30 ± 1.20 | 88.60 ± 1.17 | 88.60 ± 1.17 | 89.88 ± 0.39 | 89.85 ± 0.73 | 87.06 ± 1.57 | |
| 2 | 12.5 | 33.34 ± 4.60 | 22.64 ± 5.04 | 30.78 ± 1.87 | 40.67 ± 1.32 | 49.19 ± 2.98 | 74.89 ± 1.58 |
| 50 | 89.35 ± 1.22 | 86.03 ± 0.99 | 84.52 ± 2.54 | 88.60 ± 0.44 | 87.78 ± 1.32 | 85.22 ± 0.65 | |
| 3 | 12.5 | 17.32 ± 1.63 | 11.33 ± 1.84 | 18.43 ± 2.01 | 32.78 ± 2.63 | 30.28 ± 3.93 | 15.90 ± 1.87 |
| 50 | 37.29 ± 2.71 | 28.99 ± 4.34 | 44.78 ± 2.10 | 62.47 ± 0.14 | 61.71 ± 2.09 | 64.28 ± 2.78 | |
| 4 | 12.5 | 6.86 ± 3.40 | 7.21 ± 3.66 | 8.62 ± 1.49 | 10.76 ± 1.02 | 28.87 ± 3.87 | 20.39 ± 5.74 |
| 50 | 64.83 ± 1.18 | 25.26 ± 7.97 | 32.31 ± 1.95 | 84.93 ± 0.53 | 71.62 ± 1.46 | 60.32 ± 1.43 | |
| Doxorubicin | 12.5 | 63.43 ± 1.34 | 47.81 ± 4.18 | 65.68 ± 0.12 | 63.99 ± 0.46 | 53.53 ± 1.41 | 35.41 ± 2.16 |
| 50 | 72.23 ± 1.08 | 54.58 ± 2.23 | 71.52 ± 1.18 | 67.61 ± 0.47 | 52.12 ± 2.12 | 41.06 ± 3.21 |
| Bond Distances | |||
|---|---|---|---|
| C2–C7 | 1.462(7) | C2–N1 | 1.339(6) |
| C2–C3 | 1.401(6) | N2–C7 | 1.271(6) |
| N2–N3 | 1.384(5) | N3A–C8A | 1.358(6) |
| N3–C8 | 1.338(6) | C2A–C3A | 1.362(7) |
| N1–C6 | 1.341(6) | C8A–O1A | 1.215(5) |
| C8–C9 | 1.521(7) | N3A–N2A | 1.363(5) |
| C8–O1 | 1.229(6) | N2A–N3A | 1.362(6) |
| Angles | |||
| C8–N3–N2 | 117.6(4) | O1–C8–N3 | 122.3(5) |
| C7–N2–N3 | 116.6(5) | O1–C8–C9 | 119.4(5) |
| N1–C2–C7 | 115.0(5) | O1A–C8A–C9A | 121.1(5) |
| O1A–C8A–N3A | 121.4(5) | C7A–N2A–N3A | 118.0(4) |
| Donor-H…Acceptor | D-H | H…A | D…A | D-H…A | |
|---|---|---|---|---|---|
| N3A-H3A…O2W | x,1/2 − y,1/2 + z | 0.86 | 2.07 | 2.8697(3) | 155 |
| N3-H3…O1W | x, 3/2 − y,1/2 + z | 0.86 | 2.05 | 2.8557(3) | 156 |
| O1W-H1WA…N1 | x, 3/2 − y,1/2 + z | 0.85 | 2.06 | 2.8669(3) | 158 |
| O2W-H2WA…N1A | x,1/2 + y,1/2 − z | 0.70 | 2.38(6) | 2.8799(3) | 156 |
| O2W-H2WB…O1A | 0.85 | 2.07(7) | 2.8943(3) | 124 | |
| O1W-H1WB…O1 | 0.85 | 2.07(6) | 2.9175(8) | 176 |
© 2020 by the authors. Licensee MDPI, Basel, Switzerland. This article is an open access article distributed under the terms and conditions of the Creative Commons Attribution (CC BY) license (http://creativecommons.org/licenses/by/4.0/).
Share and Cite
Shehadi, I.A.; Delmani, F.-A.; Jaber, A.M.; Hammad, H.; AlDamen, M.A.; Al-Qawasmeh, R.A.; Khanfar, M.A. Synthesis, Characterization and Biological Evaluation of Metal Adamantyl 2-Pyridylhydrazone Complexes. Molecules 2020, 25, 2530. https://doi.org/10.3390/molecules25112530
Shehadi IA, Delmani F-A, Jaber AM, Hammad H, AlDamen MA, Al-Qawasmeh RA, Khanfar MA. Synthesis, Characterization and Biological Evaluation of Metal Adamantyl 2-Pyridylhydrazone Complexes. Molecules. 2020; 25(11):2530. https://doi.org/10.3390/molecules25112530
Chicago/Turabian StyleShehadi, Ihsan A., Fatima-Azzahra Delmani, Areej M. Jaber, Hana Hammad, Murad A. AlDamen, Raed A. Al-Qawasmeh, and Monther A. Khanfar. 2020. "Synthesis, Characterization and Biological Evaluation of Metal Adamantyl 2-Pyridylhydrazone Complexes" Molecules 25, no. 11: 2530. https://doi.org/10.3390/molecules25112530
APA StyleShehadi, I. A., Delmani, F.-A., Jaber, A. M., Hammad, H., AlDamen, M. A., Al-Qawasmeh, R. A., & Khanfar, M. A. (2020). Synthesis, Characterization and Biological Evaluation of Metal Adamantyl 2-Pyridylhydrazone Complexes. Molecules, 25(11), 2530. https://doi.org/10.3390/molecules25112530

