Preparation of 1-Hydroxy-2,5-hexanedione from HMF by the Combination of Commercial Pd/C and Acetic Acid
Abstract
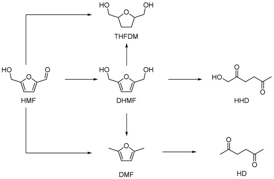
1. Introduction
2. Results and Discussion
2.1. The Role of Acetic Acid
2.2. The Influence of Temperature and H2 Pressure
2.3. Yield of HHD from Highly Concentrated HMF
2.4. Reusable Performance
2.5. Characterization
3. Materials and Methods
3.1. Materials
3.2. Characterization
3.3. Catalytic Reactions
3.4. Product Analysis
4. Conclusions
Author Contributions
Funding
Conflicts of Interest
References
- Besson, M.; Gallezot, P.; Pinel, C. Conversion of biomass into chemicals over metal catalysts. Chem. Rev. 2014, 114, 1827–1870. [Google Scholar] [CrossRef]
- Corma, A.; Iborra, S.; Velty, A. Chemical routes for the transformation of biomass into chemicals. Chem. Rev. 2007, 107, 2411–2502. [Google Scholar] [CrossRef]
- Mika, L.T.; Cséfalvay, E.; Németh, Á. Catalytic conversion of carbohydrates to initial platform chemicals: Chemistry and sustainability. Chem. Rev. 2017, 118, 506–613. [Google Scholar] [CrossRef] [PubMed]
- Zhou, D.; Shen, D.; Lu, W.; Song, T.; Wang, M.; Feng, H.; Shentu, J.; Long, Y. Production of 5-hydroxymethylfurfural from chitin biomass: A review. Molecules 2020, 25, 541. [Google Scholar] [CrossRef] [PubMed]
- Zhang, J.; Das, A.; Assary, R.S.; Curtiss, L.A.; Weitz, E. A combined experimental and computational study of the mechanism of fructose dehydration to 5-hydroxymethylfurfural in dimethylsulfoxide using Amberlyst 70, PO43−/niobic acid, or sulfuric acid catalysts. Appl. Catal. B Environ. 2016, 181, 874–887. [Google Scholar] [CrossRef]
- Yu, I.K.M.; Tsang, D.C.W. Conversion of biomass to hydroxymethylfurfural: A review of catalytic systems and underlying mechanisms. Bioresour. Technol. 2017, 238, 716–732. [Google Scholar] [CrossRef] [PubMed]
- Antonetti, C.; Raspolli Galletti, A.M.; Fulignati, S.; Licursi, D. Amberlyst A-70: A surprisingly active catalyst for the MW-assisted dehydration of fructose and inulin to HMF in water. Catal. Commun. 2017, 97, 146–150. [Google Scholar] [CrossRef]
- Zhao, J.; Zhou, C.; He, C.; Dai, Y.; Jia, X.; Yang, Y. Efficient dehydration of fructose to 5-hydroxymethylfurfural over sulfonated carbon sphere solid acid catalysts. Catal. Today 2016, 264, 123–130. [Google Scholar] [CrossRef]
- Bodachivskyi, I.; Kuzhiumparambil, U.; Williams, D.B.G. Acid-catalysed conversion of carbohydrates into furan-type molecules in zinc chloride hydrate. ChemPlusChem 2019, 84, 352–357. [Google Scholar] [CrossRef]
- Bodachivskyi, I.; Kuzhiumparambil, U.; Williams, D.B.G. Acid-catalyzed conversion of carbohydrates into value-added small molecules in aqueous media and ionic liquids. ChemSusChem 2018, 11, 642–660. [Google Scholar] [CrossRef]
- Liu, B.; Zhang, Z. One-pot conversion of carbohydrates into furan derivatives via furfural and 5-hydroxylmethylfurfural as intermediates. ChemSusChem 2016, 9, 2015–2036. [Google Scholar] [CrossRef]
- Fan, W.; Verrier, C.; Queneau, Y.; Popowycz, F. 5-Hydroxymethylfurfural (HMF) in organic synthesis: A review of its recent applications towards fine chemicals. Curr. Org. Synth. 2019, 16, 583–614. [Google Scholar] [CrossRef]
- Kang, P.-L.; Shang, C.; Liu, Z.-P. Glucose to 5-hydroxymethylfurfural: Origin of site-selectivity resolved by machine learning based reaction sampling. J. Am. Chem. Soc. 2019, 141, 20525–20536. [Google Scholar] [CrossRef]
- Menegazzo, F.; Ghedini, E.; Signoretto, M. 5-hydroxymethylfurfural (HMF) production from real biomasses. Molecules 2018, 23, 2201. [Google Scholar] [CrossRef]
- Chambon, F.; Rataboul, F.; Pinel, C.; Cabiac, A.; Guillon, E.; Essayem, N. Cellulose hydrothermal conversion promoted by heterogeneous Brønsted and Lewis acids: Remarkable efficiency of solid Lewis acids to produce lactic acid. Appl. Catal. B Environ. 2011, 105, 171–181. [Google Scholar] [CrossRef]
- Kang, S.; Fu, J.; Zhang, G. From lignocellulosic biomass to levulinic acid: A review on acid-catalyzed hydrolysis. Renew. Sustain. Energy Rev. 2018, 94, 340–362. [Google Scholar] [CrossRef]
- Tallarico, S.; Costanzo, P.; Bonacci, S.; Macario, A.; Di Gioia, M.L.; Nardi, M.; Procopio, A.; Oliverio, M. Combined Ultrasound/Microwave Chemocatalytic Method for Selective Conversion of Cellulose into Lactic Acid. Sci. Rep. 2019, 9, 18858. [Google Scholar] [CrossRef]
- Esteves, L.M.; Brijaldo, M.H.; Oliveira, E.G.; Martinez, J.J.; Rojas, H.; Caytuero, A.; Passos, F.B. Effect of support on selective 5-hydroxymethylfurfural hydrogenation towards 2,5-dimethylfuran over copper catalysts. Fuel 2020, 270, 117524. [Google Scholar] [CrossRef]
- Yang, F.; Mao, J.; Li, S.; Yin, J.; Zhou, J.; Liu, W. Cobalt–graphene nanomaterial as an efficient catalyst for selective hydrogenation of 5-hydroxymethylfurfural into 2,5-dimethylfuran. Catal. Sci. Technol. 2019, 9, 1329–1333. [Google Scholar] [CrossRef]
- Han, W.; Tang, M.; Li, J.; Li, X.; Wang, J.; Zhou, L.; Yang, Y.; Wang, Y.; Ge, H. Selective hydrogenolysis of 5-hydroxymethylfurfural to 2,5-dimethylfuran catalyzed by ordered mesoporous alumina supported nickel-molybdenum sulfide catalysts. Appl. Catal. B Environ. 2020, 268, 118748. [Google Scholar] [CrossRef]
- Chen, S.; Ciotonea, C.; Vigier, K.D.O.; Jérôme, F.; Wojcieszak, R.; Dumeignil, F.; Marceau, E.; Royer, S. Hydroconversion of 5-hydroxymethylfurfural to 2,5-dimethylfuran and 2,5-dimethyltetrahydrofuran over non-promoted Ni/SBA-15. ChemCatChem 2020, 12, 2050–2059. [Google Scholar] [CrossRef]
- Hu, L.; Dai, X.; Li, N.; Tang, X.; Jiang, Y. Highly selective hydrogenation of biomass-derived 5-hydroxymethylfurfural into 2,5-bis(hydroxymethyl)furan over an acid-base bifunctional hafnium-based coordination polymer catalyst. Sustain. Energ. Fuels 2019, 3, 1033–1041. [Google Scholar] [CrossRef]
- Elsayed, I.; Jackson, M.A.; Hassan, E.B. Hydrogen-free catalytic reduction of biomass-derived 5-hydroxymethylfurfural into 2,5-bis(hydroxymethyl)furan using copper-iron oxides bimetallic nanocatalyst. ACS Sustain. Chem. Eng. 2020, 8, 1774–1785. [Google Scholar] [CrossRef]
- Wu, Z.; Shi, L.; Yu, X.; Zhang, S.; Chen, G. Co-immobilization of tri-enzymes for the conversion of hydroxymethylfurfural to 2,5-diformylfuran. Molecules 2020, 24, 3648. [Google Scholar] [CrossRef]
- Martínez-Vargas, D.X.; Rivera De La Rosa, J.; Sandoval-Rangel, L.; Guzmán-Mar, J.L.; Garza-Navarro, M.A.; Lucio-Ortiz, C.J.; De Haro-Del Río, D.A. 5-Hydroxymethylfurfural catalytic oxidation under mild conditions by Co (II), Fe (III) and Cu (II) Salen complexes supported on SBA-15: Synthesis, characterization and activity. Appl. Catal. A Gen. 2017, 547, 132–145. [Google Scholar] [CrossRef]
- Lolli, A.; Maslova, V.; Bonincontro, D.; Basile, F.; Ortelli, S.; Albonetti, S. Selective oxidation of HMF via catalytic and photocatalytic processes using metal-supported catalysts. Molecules 2018, 23, 2792. [Google Scholar] [CrossRef]
- Zhang, Z.; Huber, G.W. Catalytic oxidation of carbohydrates into organic acids and furan chemicals. Chem. Soc. Rev. 2018, 47, 1351–1390. [Google Scholar] [CrossRef]
- Neațu, F.; Marin, R.S.; Florea, M.; Petrea, N.; Pavel, O.D.; Pârvulescu, V.I. Selective oxidation of 5-hydroxymethyl furfural over non-precious metal heterogeneous catalysts. Appl. Catal. B Environ. 2016, 180, 751–757. [Google Scholar] [CrossRef]
- Zhang, Z.; Deng, K. Recent Advances in the catalytic synthesis of 2,5-furandicarboxylic acid and its derivatives. ACS Catal. 2015, 5, 6529–6544. [Google Scholar] [CrossRef]
- Wang, M.; Ma, J.; Liu, H.; Luo, N.; Zhao, Z.; Wang, F. Sustainable productions of organic acids and their derivatives from biomass via selective oxidative cleavage of C–C bond. ACS Catal. 2018, 8, 2129–2165. [Google Scholar] [CrossRef]
- Han, X.; Li, C.; Guo, Y.; Liu, X.; Zhang, Y.; Wang, Y. N-doped carbon supported Pt catalyst for base-free oxidation of 5-hydroxymethylfurfural to 2,5-furandicarboxylic acid. Appl. Catal. A Gen. 2016, 526, 1–8. [Google Scholar] [CrossRef]
- Duan, Y.; Zheng, M.; Li, D.; Deng, D.; Ma, L.-F.; Yang, Y. Conversion of HMF to methyl cyclopentenolone by the Pd/Nb2O5 and Ca-Al catalysts via two-steps procedure. Green Chem. 2017, 19, 5103–5113. [Google Scholar] [CrossRef]
- Zhang, S.; Ma, H.; Sun, Y.; Luo, Y.; Liu, X.; Zhang, M.; Gao, J.; Xu, J. Catalytic selective hydrogenation and rearrangement of 5-hydroxymethylfurfural to 3-hydroxymethyl-cyclopentone over a bimetallic nickel-copper catalyst in water. Green Chem. 2019, 21, 1702–1709. [Google Scholar] [CrossRef]
- Ohyama, J.; Ohira, Y.; Satsuma, A. Hydrogenative ring-rearrangement of biomass derived 5-(hydroxymethyl)furfural to 3-(hydroxymethyl)cyclopentanol using combination catalyst systems of Pt/SiO2 and lanthanoid oxides. Catal. Sci. Technol. 2017, 7, 2947–2953. [Google Scholar] [CrossRef]
- Xu, Y.-J.; Shi, J.; Wu, W.-P.; Zhu, R.; Li, X.-L.; Deng, J.; Fu, Y. Effect of Cp*iridium(III) complex and acid co-catalyst on conversion of furfural compounds to cyclopentanones or straight chain ketones. Appl. Catal. A-Gen. 2017, 543, 266–273. [Google Scholar] [CrossRef]
- Wozniak, B.; Spannenberg, A.; Li, Y.; Hinze, S.; de Vries, J.G. Cyclopentanone derivatives from 5-Hydroxymethylfurfural via 1-hydroxyhexane-2,5-dione as intermediate. Chem. Sus. Chem 2018, 11, 356–359. [Google Scholar] [CrossRef]
- Ramos, R.; Grigoropoulos, A.; Perret, N.; Zanella, M.; Katsoulidis, A.P.; Manning, T.D.; Claridge, J.B.; Rosseinsky, M.J. Selective conversion of 5-hydroxymethylfurfural to cyclopentanone derivatives over Cu-Al2O3 and Co-Al2O3 catalysts in water. Green Chem. 2017, 19, 1701–1713. [Google Scholar] [CrossRef]
- Ohyama, J.; Kanao, R.; Ohira, Y.; Satsuma, A. The effect of heterogeneous acid–base catalysis on conversion of 5-hydroxymethylfurfural into a cyclopentanone derivative. Green Chem. 2016, 18, 676–680. [Google Scholar] [CrossRef]
- Gupta, K.; Tyagi, D.; Dwivedi, A.D.; Mobin, S.M.; Singh, S.K. Catalytic transformation of bio-derived furans to valuable ketoacids and diketones by water-soluble ruthenium catalysts. Green Chem. 2015, 17, 4618–4627. [Google Scholar] [CrossRef]
- Liu, F.; Audemar, M.; De Oliveira Vigier, K.; Clacens, J.-M.; De Campo, F.; Jérôme, F. Combination of Pd/C and Amberlyst-15 in a single reactor for the acid/hydrogenating catalytic conversion of carbohydrates to 5-hydroxy-2,5-hexanedione. Green Chem. 2014, 16, 4110–4114. [Google Scholar] [CrossRef]
- Ren, D.; Song, Z.; Li, L.; Liu, Y.; Jin, F.; Huo, Z. Production of 2,5-hexanedione and 3-methyl-2-cyclopenten-1-one from 5-hydroxymethylfurfural. Green Chem. 2016, 18, 3075–3081. [Google Scholar] [CrossRef]
- Buntara, T.; Noel, S.; Phua, P.H.; Melian-Cabrera, I.; de Vries, J.G.; Heeres, H.J. Caprolactam from renewable resources: Catalytic conversion of 5-hydroxymethylfurfural into caprolactone. Angew. Chem. Int. Ed. 2011, 50, 7083–7087. [Google Scholar] [CrossRef] [PubMed]
- Li, K.; Zhou, F.; Liu, X.; Ma, H.; Deng, J.; Xu, G.; Zhang, Y. Hydrodeoxygenation of lignocellulose-derived oxygenates to diesel or jet fuel range alkanes under mild conditions. Catal. Sci. Technol. 2020, 10, 1151–1160. [Google Scholar] [CrossRef]
- Che, P.; Lu, F.; Nie, X.; Huang, Y.; Yang, Y.; Wang, F.; Xu, J. Hydrogen bond distinction and activation upon catalytic etherification of hydroxyl compounds. Chem. Commun. 2015, 51, 1077–1080. [Google Scholar] [CrossRef] [PubMed]
- Yang, Y.; Du, Z.; Ma, J.; Lu, F.; Zhang, J.; Xu, J. Biphasic catalytic conversion of fructose by continuous hydrogenation of HMF over a hydrophobic ruthenium catalyst. ChemSusChem 2014, 7, 1352–1356. [Google Scholar] [CrossRef] [PubMed]
- Liu, A.; Liu, B.; Wang, Y.; Ren, R.; Zhang, Z. Efficient one-pot synthesis of 5-ethoxymethylfurfural from fructose catalyzed by heteropolyacid supported on K-10 clay. Fuel 2014, 117, 68–73. [Google Scholar] [CrossRef]
- Karve, V.V.; Sun, D.T.; Trukhina, O.; Yang, S.; Oveisi, E.; Luterbacher, J.; Queen, W.L. Efficient reductive amination of HMF with well dispersed Pd nanoparticles immobilized in a porous MOF/polymer composite. Green Chem. 2020, 22, 368–378. [Google Scholar] [CrossRef]
- Schiavo, V.; Descotes, G.; Mentech, J. Catalytic-hydrogenation of 5-hydroxymethylfurfural in aqueous-medium. Bull. Soc. Chim. Fr. 1991, 5, 704–711. [Google Scholar]
- Zhu, M.-M.; Du, X.-L.; Zhao, Y.; Mei, B.-B.; Zhang, Q.; Sun, F.-F.; Jiang, Z.; Liu, Y.-M.; He, H.-Y.; Cao, Y. Ring-opening transformation of 5-hydroxymethylfurfural using a golden single-atomic-site palladium catalyst. ACS Catal. 2019, 9, 6212–6222. [Google Scholar] [CrossRef]
- Xu, Z.; Yan, P.; Xu, W.; Liu, X.; Xia, Z.; Chung, B.; Jia, S.; Zhang, Z.C. Hydrogenation/hydrolytic ring opening of 5-HMF by Cp*-iridium(III) half-sandwich complexes for bioketones synthesis. ACS Catal. 2015, 5, 788–792. [Google Scholar] [CrossRef]
- Wozniak, B.; Tin, S.; de Vries, J.G. Bio-based building blocks from 5-hydroxymethylfurfural via 1-hydroxyhexane-2,5-dione as intermediate. Chem. Sci. 2019, 10, 6024–6034. [Google Scholar] [CrossRef]
- Liu, F.; Audemar, M.; De Oliveira Vigier, K.; Clacens, J.M.; De Campo, F.; Jerome, F. Palladium/carbon dioxide cooperative catalysis for the production of diketone derivatives from carbohydrates. ChemSusChem 2014, 7, 2089–2093. [Google Scholar] [CrossRef] [PubMed]
- Wu, W.P.; Xu, Y.J.; Zhu, R.; Cui, M.S.; Li, X.L.; Deng, J.; Fu, Y. Selective conversion of 5-hydroxymethylfuraldehyde using Cp*Ir catalysts in aqueous formate buffer solution. ChemSusChem 2016, 9, 1209–1215. [Google Scholar] [CrossRef] [PubMed]
- Xu, Z.; Yan, P.; Zhang, Z.C. Advance in the hydrogentaion of 5-hydroxymethylfurfural to produce 1-hydroxyhexane-2,5-dione. Chin. J. Org. Chem. 2017, 37, 40–46. [Google Scholar] [CrossRef]
- Ramos, R.; Grigoropoulos, A.; Griffiths, B.L.; Katsoulidis, A.P.; Zanella, M.; Manning, T.D.; Blanc, F.; Claridge, J.B.; Rosseinsky, M.J. Selective conversion of 5-hydroxymethylfurfural to diketone derivatives over Beta zeolite-supported Pd catalysts in water. J. Catal. 2019, 375, 224–233. [Google Scholar] [CrossRef]
- Fujita, S.; Nakajima, K.; Yamasaki, J.; Mizugaki, T.; Jitsukawa, K.; Mitsudome, T. Unique catalysis of nickel phosphide nanoparticles to promote the selective transformation of biofuranic aldehydes into diketones in water. ACS Catal. 2020, 10, 4216–4267. [Google Scholar] [CrossRef]
- Yang, Y.; Xie, Y.; Deng, D.; Li, D.; Zheng, M.; Duan, Y. Highly selective conversion of HMF to 1-hydroxy-2,5-hexanedione on Pd/MIL-101(Cr). ChemistrySelect 2019, 4, 11165–11171. [Google Scholar] [CrossRef]
- Brun, M.; Berthet, A.; Bertolini, J.C. XPS, AES and Auger parameter of Pd and PdO. J. Electron. Spectrosc. Relat. Phenom. 1999, 104, 55–60. [Google Scholar] [CrossRef]
- Duan, Y.; Zheng, M.; Li, D.; Deng, D.; Wu, C.; Yang, Y. Synthesis of Pd/SBA-15 catalyst employing surface-bonded vinyl as a reductant and its application in the hydrogenation of nitroarenes. RSC Adv. 2017, 7, 3443–3449. [Google Scholar] [CrossRef]
- Yang, Y.; Xie, Y.; Zhang, J.; Li, D.; Deng, D.; Duan, Y. Fabrication of Pd/SiO2 with controllable wettability for enhanced catalytic hydrogenation activity at ambient H2 pressure. ChemCatChem 2019, 11, 5430–5434. [Google Scholar] [CrossRef]
- Yang, Y.; Deng, D.; Sui, D.; Xie, Y.; Li, D.; Duan, Y. Facile preparation of Pd/UiO-66-v for the conversion of furfuryl alcohol to tetrahydrofurfuryl alcohol under mild conditions in water. Nanomaterials 2019, 9, 1698. [Google Scholar] [CrossRef] [PubMed]
Sample Availability: Samples of the compounds 1-hydroxy-2,5-hexanedione are available from the authors. |









| Entry | AcOH (mg) | AcOH (wt%) | Conversion (%) | HHD Yield (%) | Distribution of Products (%) | |||
|---|---|---|---|---|---|---|---|---|
| HD | HHD | THFDM | DHMF | |||||
| 1 | 0 | 0 | 95(4) | 17(5) | 4(3) | 18(6) | 16(1) | 56(1) |
| 2 | 30 | 1.4 | 97(3) | 64(5) | 8(2) | 66(4) | 14(2) | 2(1) |
| 3 | 60 | 2.7 | 92(3) | 65(3) | 12(3) | 71(4) | 5(2) | 1(1) |
| 4 | 90 | 4.1 | 85(5) | 57(6) | 11(2) | 67(3) | 8(2) | 1(1) |
| 5 | 120 | 5.3 | 93(1) | 60(6) | 13(5) | 64(6) | 1(1) | 2(2) |
| 6 | 150 | 6.6 | 94(1) | 60(4) | 13(4) | 64(4) | 3(1) | 2(2) |
| 7 b | 2000 | 100 | 31(6) | 7(1) | 9(4) | 24(4) | 21(6) | 12(5) |
| Entry | Temperature (K) | Conversion (%) | HHD Yield (%) | Distribution of Products (%) | |||
|---|---|---|---|---|---|---|---|
| HD | HHD | THFDM | DHMF | ||||
| 1 | 353 | 96(3) | 24(4) | 2(0) | 25(4) | 18(2) | 39(5) |
| 2 | 363 | 96(4) | 28(2) | 6(3) | 30(3) | 42(4) | 8(1) |
| 3 | 373 | 95(5) | 51(1) | 9(2) | 53(2) | 30(2) | 2(2) |
| 4 | 383 | 96(3) | 61(5) | 7(2) | 63(4) | 15(1) | 5(2) |
| 5 | 393 | 92(3) | 65(3) | 12(3) | 71(4) | 5(2) | 1(1) |
| 6 | 403 | 90(4) | 57(5) | 13(4) | 63(3) | 8(3) | 1(1) |
| 7 | 413 | 86(1) | 58(2) | 14(1) | 67(1) | 4(3) | 2(1) |
| Entry | HMF (mmol) | HMF (wt%) | Conversion (%) | HHD Yield (%) | Distribution of Products (%) | |||
|---|---|---|---|---|---|---|---|---|
| HD | HHD | THFDM | DHMF | |||||
| 1 | 0.5 | 3.1 | 96(4) | 57(6) | 13(2) | 59(5) | 1(1) | 13(1) |
| 2 | 1.0 | 5.9 | 92(3) | 65(3) | 12(3) | 71(4) | 5(2) | 1(1) |
| 3 | 1.5 | 8.6 | 85(3) | 59(1) | 10(1) | 69(2) | 2(1) | 5(1) |
| 4 | 2.0 | 11.2 | 86(3) | 58(2) | 6(2) | 67(2) | 4(3) | 2(1) |
| 5 | 2.5 | 13.6 | 61(4) | 42(2) | 4(3) | 69(3) | 4(2) | 3(1) |
| 6 | 3.0 | 15.9 | 62(7) | 40(6) | 5(3) | 65(5) | 3(2) | 6(3) |
| 7 | 3.5 | 18.1 | 54(5) | 32(5) | 7(5) | 60(3) | 3(3) | 21(4) |
© 2020 by the authors. Licensee MDPI, Basel, Switzerland. This article is an open access article distributed under the terms and conditions of the Creative Commons Attribution (CC BY) license (http://creativecommons.org/licenses/by/4.0/).
Share and Cite
Yang, Y.; Yang, D.; Zhang, C.; Zheng, M.; Duan, Y. Preparation of 1-Hydroxy-2,5-hexanedione from HMF by the Combination of Commercial Pd/C and Acetic Acid. Molecules 2020, 25, 2475. https://doi.org/10.3390/molecules25112475
Yang Y, Yang D, Zhang C, Zheng M, Duan Y. Preparation of 1-Hydroxy-2,5-hexanedione from HMF by the Combination of Commercial Pd/C and Acetic Acid. Molecules. 2020; 25(11):2475. https://doi.org/10.3390/molecules25112475
Chicago/Turabian StyleYang, Yanliang, Dexi Yang, Chi Zhang, Min Zheng, and Ying Duan. 2020. "Preparation of 1-Hydroxy-2,5-hexanedione from HMF by the Combination of Commercial Pd/C and Acetic Acid" Molecules 25, no. 11: 2475. https://doi.org/10.3390/molecules25112475
APA StyleYang, Y., Yang, D., Zhang, C., Zheng, M., & Duan, Y. (2020). Preparation of 1-Hydroxy-2,5-hexanedione from HMF by the Combination of Commercial Pd/C and Acetic Acid. Molecules, 25(11), 2475. https://doi.org/10.3390/molecules25112475
