New Donor-Acceptor Stenhouse Adducts as Visible and Near Infrared Light Polymerization Photoinitiators
Abstract
1. Introduction
2. Results and Discussion
2.1. Synthesis of PP1–PP24
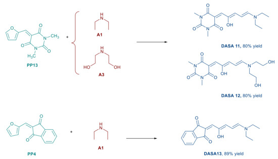
2.2. Synthesis of DASA1–DASA13 and Cyclized Structures PP25 and PP26
2.3. Photopolymerization Experiments
3. Conclusions
Supplementary Materials
Author Contributions
Funding
Acknowledgments
Conflicts of Interest
References
- Alain, V.; Blanchard-Desce, M.; Ledoux-Rak, I.; Zyss, J. Amphiphilic polyenic push–pull chromophores for nonlinear optical applications. Chem. Commun. 2000, 5, 353–354. [Google Scholar] [CrossRef]
- Fernandes, S.S.M.; Cidália, R.; Castro, M.; Pereira, A.I.; Mendes, A.; Serpa, C.; Pina, J.; Justino, L.L.G.; Burrows, H.D.; Manuela, M.; et al. Optical and photovoltaic properties of thieno[3,2-b]thiophene-based push−pull organic dyes with different anchoring groups for dye-sensitized solar cells. ACS Omega 2017, 2, 9268–9279. [Google Scholar] [CrossRef]
- Nicolas, Y.; Allama, F.; Lepeltier, M.; Massin, J.; Castet, F.; Ducasse, L.; Hirsch, L.; Boubegtiten, Z.; Jonusauskas, G.; Olivier, C.; et al. New synthetic routes towards soluble and dissymmetric triphenodioxazine dyes designed for dye-sensitized solar cells. Chem. Eur. J. 2014, 20, 3678–3688. [Google Scholar] [CrossRef]
- Xiao, P.; Dumur, F.; Bui, T.-T.; Sallenave, X.; Goubard, F.; Graff, B.; Morlet-Savary, F.; Fouassier, J.-P.; Gigmes, D.; Lalevée, J. Panchromatic photopolymerizable cationic films using indoline and squaraine dyes based photoinitiating systems. ACS Macro Lett. 2013, 2, 736–740. [Google Scholar] [CrossRef]
- Zhang, J.; Zivic, N.; Dumur, F.; Xiao, P.; Graff, B.; Gigmes, D.; Fouassier, J.-P.; Lalevée, J. A benzophenone-naphthalimide derivative as versatile photoinitiator for near UV and visible lights. J. Polym. Sci. A Polym. Chem. 2015, 53, 445–451. [Google Scholar] [CrossRef]
- Tehfe, M.-A.; Dumur, F.; Vilà, N.; Graff, B.; Mayer, C.R.; Fouassier, J.-P.; Gigmes, D.; Lalevée, J. A multicolor photoinitiator for cationic polymerization and interpenetrated polymer network synthesis: 2,7-di-tert-butyldimethyldihydropyrene. Macromol. Rapid Commun. 2013, 34, 1104–1109. [Google Scholar] [CrossRef] [PubMed]
- Xiao, P.; Dumur, F.; Thirion, D.; Fagour, S.; Vacher, A.; Sallenave, X.; Graff, B.; Fouassier, J.-P.; Gigmes, D.; Lalevée, J. Multicolor photoinitiators for radical and cationic polymerization: Mono vs. poly functional thiophene derivatives. Macromolecules 2013, 46, 6786–6793. [Google Scholar] [CrossRef]
- Xiao, P.; Frigoli, M.; Dumur, F.; Graff, B.; Gigmes, D.; Fouassier, J.-P.; Lalevée, J. Julolidine or fluorenone based push-pull dyes for polymerization upon soft polychromatic visible light or green light. Macromolecules 2014, 47, 106–112. [Google Scholar] [CrossRef]
- Tehfe, M.-A.; Dumur, F.; Graff, B.; Morlet-Savary, F.; Gigmes, D.; Fouassier, J.-P.; Lalevée, J. Push-pull (thio)barbituric acid derivatives in dye photosensitized radical and cationic polymerization reactions under 457/473 nm Laser beams or blue LEDs. Polym. Chem. 2013, 4, 3866–3875. [Google Scholar] [CrossRef]
- Xiao, P.; Dumur, F.; Graff, B.; Vidal, L.; Gigmes, D.; Fouassier, J.-P.; Lalevée, J. Structural effects in the indanedione skeleton for the design of low intensity 300-500 nm light sensitive initiators. Macromolecules 2014, 47, 26–34. [Google Scholar] [CrossRef]
- Xiao, P.; Dumur, F.; Tehfe, M.-A.; Gigmes, D.; Fouassier, J.-P.; Lalevée, J. Red-light-induced cationic photopolymerization: Perylene derivatives as efficient photoinitiators. Macromol. Rapid Commun. 2013, 34, 1452–1458. [Google Scholar] [CrossRef] [PubMed]
- Wu, T.; Liu, G.; Zhao, J.; Hidaka, H.; Serpone, N. Photoassisted degradation of dye pollutants. v. self-photosensitized oxidative transformation of rhodamine b under visible light irradiation in aqueous TiO2 dispersions. J. Phys. Chem. B 1998, 102, 5845–5851. [Google Scholar] [CrossRef]
- Bures, F. Fundamental aspects of property tuning in push–pull molecules. RSC Adv. 2014, 4, 58826–58851. [Google Scholar] [CrossRef]
- Bekere, L.; Larina, N.; Lokshin, V.; Ellern, A.; Sigalov, M.; Khodorkovsky, V. A new class of spirocyclic photochromes reacting with light of both UV and visible ranges. New J. Chem. 2016, 40, 6554–6558. [Google Scholar] [CrossRef]
- Bandara, H.M.D.; Burdette, S.C. Photoisomerization in different classes of azobenzene. Chem. Soc. Rev. 2012, 41, 1809–1825. [Google Scholar] [CrossRef]
- Irie, M.; Fukaminato, T.; Matsuda, K.; Kobatake, S. Photochromism of Diarylethene Molecules and Crystals: Memories, Switches, and Actuators. Chem. Rev. 2014, 114, 12174–12277. [Google Scholar] [CrossRef]
- Broman, S.L.; Petersen, M.Å.; Tortzen, C.G.; Kadziola, A.; Kilså, K.; Nielsen, M.B. Arylethynyl derivatives of the dihydroazulene/vinylheptafulvene photo/thermoswitch: Tuning the switching event. J. Am. Chem. Soc. 2010, 132, 9165–9174. [Google Scholar] [CrossRef]
- Minkin, V.I. Photo-, thermo-, solvato-, and electrochromic spiroheterocyclic compounds. Chem. Rev. 2004, 104, 2751–2776. [Google Scholar] [CrossRef]
- Helmy, S.; Oh, S.; Leibfarth, F.A.; Hawker, C.J.; Read de Alaniz, J. Design and synthesis of donor−acceptor Stenhouse adducts: A visible light photoswitch derived from furfural. J. Org. Chem. 2014, 79, 11316–11329. [Google Scholar] [CrossRef]
- Lerch, M.M.; Szymanski, W.; Feringa, B.L. The (photo)chemistry of Stenhouse photoswitches: Guiding principles and system design. Chem. Soc. Rev. 2018, 47, 1910–1937. [Google Scholar] [CrossRef]
- Qian, H.; Pramanik, S.; Aprahamian, I. PhotochromicHydrazone switches with extremely long thermal half-lives. J. Am. Chem. Soc. 2017, 139, 9140–9143. [Google Scholar] [CrossRef] [PubMed]
- Li, Q.; Qian, H.; Shao, B.; Hughes, R.P.; Aprahamian, I. Building strain with large macrocycles and using it to tune the thermal half-lives of hydrazone photochromes. J. Am. Chem. Soc. 2018, 140, 11829–11835. [Google Scholar] [CrossRef] [PubMed]
- Shao, B.; Baroncini, M.; Qian, H.; Bussotti, L.; Di Donato, M.; Credi, A.; Aprahamian, I. Solution and solid-state emission toggling of a photochromic hydrazone. J. Am. Chem. Soc. 2018, 140, 12323–12327. [Google Scholar] [CrossRef] [PubMed]
- Moran, M.J.; Magrini, M.; Walba, D.M.; Aprahamian, I. Driving a liquid crystal phase transition using a photochromic hydrazone. J. Am. Chem. Soc. 2018, 140, 13623–13627. [Google Scholar] [CrossRef] [PubMed]
- Su, X.; Lessing, T.; Aprahamian, I. The importance of the rotor in hydrazone-based molecular switches. Beilstein J. Org. Chem. 2012, 8, 872–876. [Google Scholar] [CrossRef]
- Ray, D.; Foy, J.T.; Hughes, R.P.; Aprahamian, I. A switching cascade of hydrazone-based rotary switches through coordination-coupled proton relays. Nat. Chem. 2012, 4, 757–762. [Google Scholar] [CrossRef]
- Foy, J.T.; Ray, D.; Aprahamian, I. Regulating signal enhancement with coordination-coupled deprotonation of a hydrazone switch. Chem. Sci. 2015, 6, 209–213. [Google Scholar] [CrossRef]
- Tatum, L.; Foy, J.T.; Aprahamian, I. Waste management of chemically activated switches: Using a photoacid to eliminate accumulation of side products. J. Am. Chem. Soc. 2014, 136, 17438–17441. [Google Scholar] [CrossRef]
- Qian, H.; Aprahamian, I. An emissive and pH switchable hydrazone-based hydrogel. Chem. Commun. 2015, 51, 11158–11161. [Google Scholar] [CrossRef]
- Pramanik, S.; Aprahamian, I. Hydrazone switch-based negative feedback loop. J. Am. Chem. Soc. 2016, 138, 15142–15145. [Google Scholar] [CrossRef]
- Aprahamian, I. Hydrazone Switches and Things in Between. Chem. Commun. 2017, 53, 6674–6684. [Google Scholar] [CrossRef] [PubMed]
- Ryabchun, A.; Li, Q.; Lancia, F.; Aprahamian, I.; Katsonis, N. Shape-persistent actuators from hydrazone photoswitches. J. Am. Chem. Soc. 2019, 141, 1196–1200. [Google Scholar] [CrossRef] [PubMed]
- Shao, B.; Qian, H.; Li, Q.; Aprahamian, I. Structure property analysis of the solution and solid-state properties of bistable photochromic hydrazones. J. Am. Chem. Soc. 2019, 141, 8364–8371. [Google Scholar] [CrossRef] [PubMed]
- Jia, S.; Tan, A.; Hawley, A.; Graham, B.; Boyd, B.J. Visible light-triggered cargo release from donor acceptor Stenhouse adduct (DASA)-doped lyotropic liquid crystalline nanoparticles. J. Colloid Interface Sci. 2019, 548, 151–159. [Google Scholar] [CrossRef] [PubMed]
- Jia, S.; Fong, W.-K.; Graham, B.; Boyd, B.J. Photoswitchable molecules in long-wavelength light-responsive drug delivery: From molecular design to applications. Chem. Mater. 2018, 30, 2873–2887. [Google Scholar] [CrossRef]
- Jia, S.; Du, J.D.; Hawley, A.; Fong, W.-K.; Graham, B.; Boyd, B.J. Investigation of donor−acceptor Stenhouse adducts as new visible wavelength-responsive switching elements for lipid-based liquid crystalline systems. Langmuir 2017, 33, 2215–2221. [Google Scholar] [CrossRef]
- Chen, Q.; Diaz, Y.J.; Hawker, M.C.; Martinez, M.R.; Zhang, S.X.-A.; Hawker, C.J.; Read de Alaniz, J. Stable activated furan and donor−acceptor Stenhouse adduct polymer conjugates as chemical and thermal sensors. Macromolecules 2019, 52, 4370–4375. [Google Scholar] [CrossRef]
- Cai, Y.-D.; Chen, T.-Y.; Chen, X.Q.; Bao, X. Multiresponsive donor−acceptor Stenhouse adduct: Opportunities arise from a diamine donor. Org. Lett. 2019, 21, 7445–7449. [Google Scholar] [CrossRef]
- Tehfe, M.-A.; Dumur, F.; Graff, B.; Gigmes, D.; Fouassier, J.-P.; Lalevée, J. Green light induced cationic ring opening polymerization reactions: Perylene-3,4:9,10-bis(dicarboximide) as efficient photosensitizers. Macromol. Chem. Phys. 2013, 214, 1052–1060. [Google Scholar] [CrossRef]
- Al Mousawi, A.; Kermagoret, A.; Versace, D.-L.; Toufaily, J.; Hamieh, T.; Graff, B.; Dumur, F.; Gigmes, D.; Fouassier, J.-P.; Lalevée, J. Copper photoredox catalysts for polymerization upon near UV or visible light: Structure/reactivity/ efficiency relationships and use in LED projector 3D printing resins. Polym. Chem. 2017, 8, 568–580. [Google Scholar] [CrossRef]
- Tehfe, M.-A.; Gigmes, D.; Dumur, F.; Morlet-Savary, F.; Graff, B.; Lalevée, J.; Fouassier, J.-P. Cationic photosensitive formulations based on silyl radical chemistry for green and red diode laser exposures. Polym. Chem. 2012, 3, 1899–1902. [Google Scholar] [CrossRef]
- Dumur, F.; Gigmes, D.; Fouassier, J.-P.; Lalevée, J. Organic Electronics: An El Dorado in the quest of new photoCatalysts as photoinitiators of polymerization. Acc. Chem. Res. 2016, 49, 1980–1989. [Google Scholar] [CrossRef] [PubMed]
- Xiao, P.; Zhang, J.; Dumur, F.; Tehfe, M.-A.; Morlet-Savary, F.; Graff, B.; Gigmes, D.; Fouassier, J.-P.; Lalevée, J. Photoinitiating systems: Recent progress in visible light induced cationic and radical photopolymerization reactions under soft conditions. Prog. Polym. Sci. 2015, 41, 32–66. [Google Scholar] [CrossRef]
- Bonardi, A.-H.; Morlet-Savary, F.; Grant, T.M.; Dumur, F.; Noirbent, G.; Gigmes, D.; Lessard, B.H.; Fouassier, J.-P.; Lalevée, J. High performance near infrared (NIR) photoinitiating systems operating under low light intensity and in presence of oxygen. Macromolecules 2018, 51, 1314–1324. [Google Scholar] [CrossRef]
- Hemmer, J.R.; Page, Z.A.; Clark, K.D.; Stricker, F.; Dolinski, N.D.; Hawker, C.J.; Read de Alaniz, J. Controlling dark equilibria and enhancing donor–acceptor stenhouse adduct photoswitching properties through carbon acid design. J. Am. Chem. Soc. 2018, 140, 10425–10429. [Google Scholar] [CrossRef]
- Rifaie-Graham, O.; Ulrich, S.; Galensowske, N.F.B.; Balog, S.; Chami, M.; Rentsch, D.; Hemmer, J.R.; Read de Alaniz, J.; Boesel, L.F.; Bruns, N. wavelength-selective light-responsive DASA-functionalized polymersome nanoreactors. J. Am. Chem. Soc. 2018, 140, 8027–8036. [Google Scholar] [CrossRef]
- Lerch, M.M.; Di Donato, M.; Laurent, A.D.; Medved’, M.; Iagatti, A.; Bussotti, L.; Lapini, A.; Buma, W.J.; Foggi, P.; Szymanski, W.; et al. Solvent effects on the actinic step of donor–acceptor Stenhouse adduct photoswitching. Angew. Chem. Int. Ed. 2018, 57, 8063–8068. [Google Scholar] [CrossRef]
- Mallo, N.; Foley, E.D.; Iranmanesh, H.; Kennedy, A.D.W.; Luis, E.T.; Ho, J.; Harper, J.B.; Beves, J.E. Structure-Function Relationships of Donor-Acceptor Stenhouse Adduct Photochromic Switches. Chem. Sci. 2018, 9, 8242–8252. [Google Scholar]
- Matsushima, H.; Hait, S.; Li, Q.; Zhou, H.; Shirai, M.; Hoyle, C.E. Non-extractable photoinitiators based on thiol-functionalized benzophenones and thioxanthones. Eur. Polym. J. 2010, 46, 1278–1287. [Google Scholar] [CrossRef]
- Wu, Q.; Liao, W.; Xiong, Y.; Yang, J.; Li, Z.; Tang, H. Silicone-thioxanthone: A multifunctionalized visible light photoinitiator with an ability to modify the cured polymers. Polymers 2019, 11, 695. [Google Scholar] [CrossRef]
- Dai, M.; Xiao, P.; Nie, J. Synthesis and photopolymerization kinetics of a photoinitiator containing in-chain benzophenone and amine structure. Front. Mater. Sci. China 2008, 2, 194–199. [Google Scholar] [CrossRef]
- Wu, Q.; Wang, X.; Xiong, Y.; Yang, J.; Tang, H. Thioxanthone based one-component polymerizable visible light photoinitiator for free radical polymerization. RSC Adv. 2016, 6, 66098–66107. [Google Scholar] [CrossRef]
- Horner, K.E.; Karadakov, P.B. Chemical bonding and aromaticity in furan, pyrrole, and thiophene: A magnetic shielding study. J. Org. Chem. 2013, 78, 8037–8043. [Google Scholar] [CrossRef] [PubMed]
- Najmidin, K.; Kerim, A.; Abdirishit, P.; Kalam, H.; Tawar, T. A comparative study of the aromaticity of pyrrole, furan, thiophene, and their aza-derivatives. J. Mol. Model. 2013, 19, 3529–3535. [Google Scholar] [CrossRef]
- Cordell, F.R.; Boggs, J.E. Structure and degree of aromatic character in furan, pyrrole, and thiophene. J. Mol. Struct. THEOCHEM 1981, 85, 163–178. [Google Scholar] [CrossRef]
- Landmesser, T.; Linden, A.; Hansen, H.-J. A novel route to 1-substituted 3-(dialkylamino)-9-oxo-9H-indeno[2,1-c]-pyridine-4-carbonitriles. Helv. Chim. Acta 2008, 91, 265–284. [Google Scholar] [CrossRef]
- Pigot, C.; Noirbent, G.; Peralta, S.; Duval, S.; Nechab, M.; Gigmes, D.; Dumur, F. Unprecedented nucleophilic attack of piperidine on the electron acceptor during the synthesis of push-pull dyes by a Knoevenagel reaction. Helv. Chim. Acta 2019, 102, e1900229. [Google Scholar] [CrossRef]
- Pigot, C.; Noirbent, G.; Peralta, S.; Duval, S.; Bui, T.-T.; Aubert, P.-H.; Nechab, M.; Gigmes, D.; Dumur, F. New push-pull dyes based on 2-(3-oxo-2,3-dihydro-1H-cyclopenta[b]naph-thalen-1-ylidene)malononitrile: An amine-directed synthesis. Dyes Pigments 2020, 175, 108182. [Google Scholar] [CrossRef]
- Sun, K.; Pigot, C.; Chen, H.; Nechab, M.; Gigmes, D.; Morlet-Savary, F.; Graff, B.; Liu, S.; Xiao, P.; Dumur, F.; et al. Free radical photopolymerization and 3d printing using newly developed dyes: Indane-1,3-dione and 1H-cyclopentanaphthalene-1,3-dione derivatives as photoinitiators in three-component systems. Catalysts 2020, 10, 463. [Google Scholar] [CrossRef]
- Xiao, P.; Dumur, F.; Graff, B.; Gigmes, D.; Fouassier, J.-P.; Lalevée, J. Variations on the benzophenone skeleton: Novel high-performance blue light sensitive photoinitiating systems. Macromolecules 2013, 46, 7661–7667. [Google Scholar] [CrossRef]
- Bonardi, A.-H.; Bonardi, F.; Morlet-Savary, F.; Dietlin, C.; Noirbent, G.; Grant, T.M.; Fouassier, J.-P.; Dumur, F.; Lessard, B.H.; Gigmes, D.; et al. Photoinduced thermal polymerization reactions. Macromolecules 2018, 51, 8808–8820. [Google Scholar] [CrossRef]
- Bonardi, A.-H.; Bonardi, F.; Dumur, F.; Gigmes, D.; Lalevée, J. Fillers as heaters for photothermal polymerization upon NIR light. Macromol. Rapid Commun. 2019, 40, 1900495. [Google Scholar] [CrossRef] [PubMed]
- Bonardi, A.-H.; Bonardi, F.; Noirbent, G.; Dumur, F.; Dietlin, C.; Gigmes, D.; Fouassier, J.-P.; Lalevée, J. Different NIR dye scaffolds for polymerization reactions under NIR light. Polym. Chem. 2019, 10, 6505–6514. [Google Scholar] [CrossRef]
- Bonardi, A.-H.; Bonardi, F.; Noirbent, G.; Dumur, F.; Gigmes, D.; Dietlin, C.; Lalevée, J. Free radical polymerization upon near-infrared light irradiation, merging photochemical and photothermal initiating methods. J. Polym. Sci. 2020, 58, 300–308. [Google Scholar] [CrossRef]
- Buckler, S.A. Autoxidation of trialkyl phosphines. J. Am. Chem. Soc. 1962, 84, 3093–3097. [Google Scholar] [CrossRef]
- Foote, C.S.; Selverstone Valentine, J.; Greenberg, A.; Liebman, J.F. Active Oxygen in Chemistry, 1st ed.; Blackie Academic & Professional: Glasgow, UK; Chapman & Hall: London, UK, 1995; pp. 55–58. [Google Scholar]
- Bouzrati, M.; Maier, M.; Fik, C.P.; Dietlin, C.; Morlet-Savary, F.; Fouassier, J.P.; Klee, J.E.; Lalevée, J. A low migration phosphine to overcome the oxygen inhibition in new high-performance photoinitiating systems for photocurable dental type resins. Polym. Int. 2017, 66, 504–511. [Google Scholar] [CrossRef]
Sample Availability: Samples of the compounds are available from the authors. |


















| Dyes | PP1 | PP2 | PP3 | PP4 | PP5 | PP6 | PP7 | PP8 |
| Reaction Yield | 85 | 92 | 89 | 72 | 84 | - | 83 | 91 |
| Dyes | PP9 | PP10 | PP11 | PP12 | PP13 | PP14 | PP15 | PP16 |
| Reaction Yield | 88 | 83 | 82 | 88 | 89 | 82 | 90 | 97 |
| Dyes | PP17 | PP18 | PP19 | PP20 | PP21 | PP22 | PP23 | PP24 |
| Reaction Yield | 86 | 85 | 87 | 87 | 84 | 81 | 88 | 79 |
© 2020 by the authors. Licensee MDPI, Basel, Switzerland. This article is an open access article distributed under the terms and conditions of the Creative Commons Attribution (CC BY) license (http://creativecommons.org/licenses/by/4.0/).
Share and Cite
Noirbent, G.; Xu, Y.; Bonardi, A.-H.; Duval, S.; Gigmes, D.; Lalevée, J.; Dumur, F. New Donor-Acceptor Stenhouse Adducts as Visible and Near Infrared Light Polymerization Photoinitiators. Molecules 2020, 25, 2317. https://doi.org/10.3390/molecules25102317
Noirbent G, Xu Y, Bonardi A-H, Duval S, Gigmes D, Lalevée J, Dumur F. New Donor-Acceptor Stenhouse Adducts as Visible and Near Infrared Light Polymerization Photoinitiators. Molecules. 2020; 25(10):2317. https://doi.org/10.3390/molecules25102317
Chicago/Turabian StyleNoirbent, Guillaume, Yangyang Xu, Aude-Héloise Bonardi, Sylvain Duval, Didier Gigmes, Jacques Lalevée, and Frédéric Dumur. 2020. "New Donor-Acceptor Stenhouse Adducts as Visible and Near Infrared Light Polymerization Photoinitiators" Molecules 25, no. 10: 2317. https://doi.org/10.3390/molecules25102317
APA StyleNoirbent, G., Xu, Y., Bonardi, A.-H., Duval, S., Gigmes, D., Lalevée, J., & Dumur, F. (2020). New Donor-Acceptor Stenhouse Adducts as Visible and Near Infrared Light Polymerization Photoinitiators. Molecules, 25(10), 2317. https://doi.org/10.3390/molecules25102317

