Ketoprofen-Based Ionic Liquids: Synthesis and Interactions with Bovine Serum Albumin
Abstract
1. Introduction
2. Results
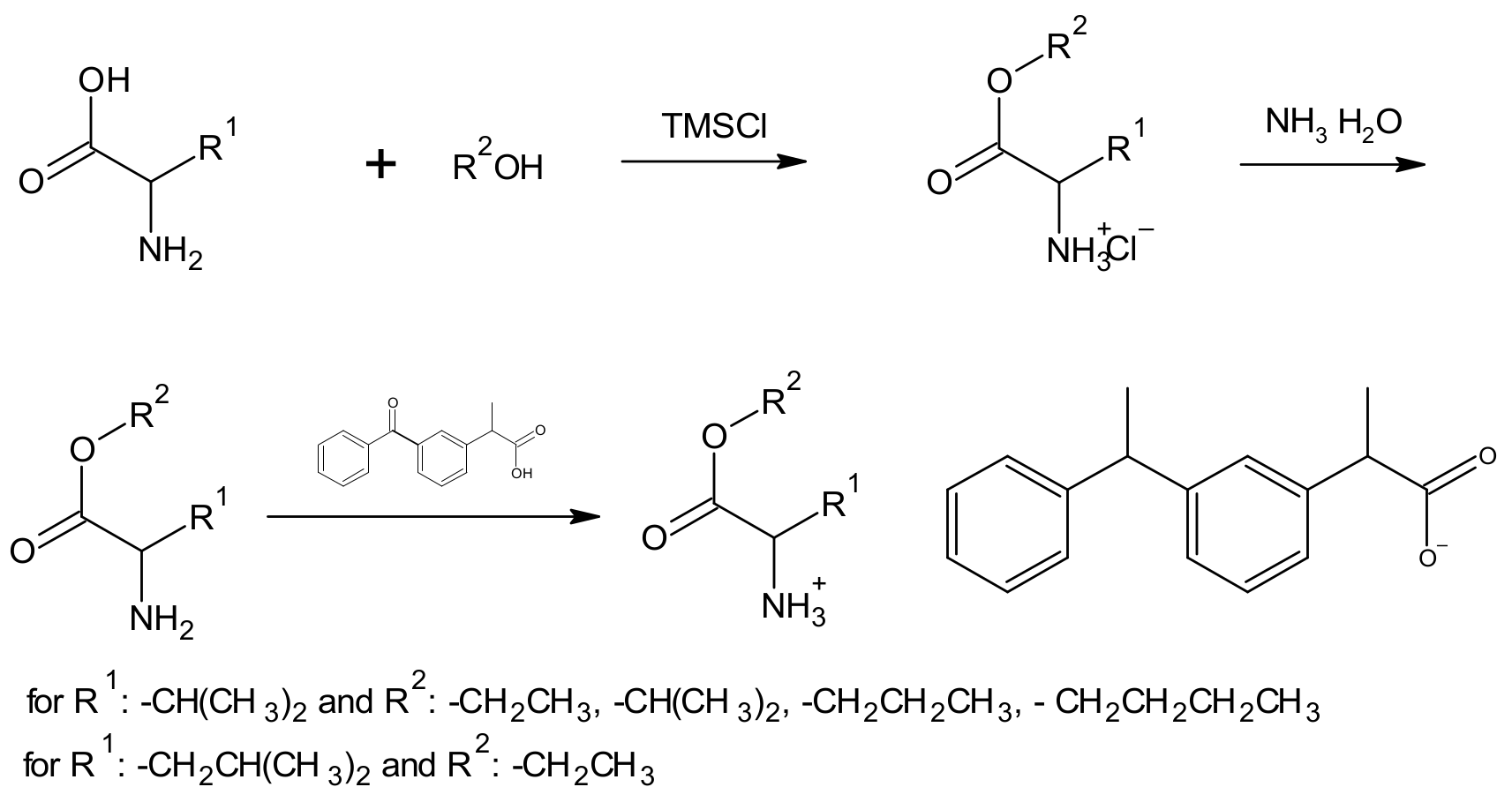
2.1. Synthesis of the Amino-Acid Ester-Ketoprofenate
2.2. Binding Constants and Binding Sites for the Interactions of Bovine Serum Albumin (BSA) with the Ketoprofen-Based Ionic Liquids (ILs)
2.3. Changes in the Secondary Structure of BSA upon Binding of the Ketoprofen-Based ILs
2.4. Cytotoxicity of the Ketoprofen-Based ILs on Murine Macrophages
3. Materials and Methods
3.1. Materials
3.2. Synthesis of the Ketoprofen Amino Acid Alkyl-Esters [AAOR][KETO]
3.3. Characterization of the Ketoprofen Amino Acid Alkyl-Esters [AAOR][KETO]
3.3.1. [l-LeuOEt][KETO]—l-Leucine Ethyl Ester Ketoprofenate
3.3.2. [l-ValOEt][KETO]—l-Valine Ethyl Ester Ketoprofenate
3.3.3. [l-ValOiPr][KETO]—l-Valine Isopropyl Ester Ketoprofenate
3.3.4. [l-ValOPr][KETO]—l-Valine Propyl Ester Ketoprofenate
3.3.5. [l-ValOBu][KETO]—l-Valine Butyl Ester Ketoprofenate
3.3.6. Ketoprofen
3.4. Fluorescence Quenching Measurements
3.5. Fourier Transformed Infrared Spectroscopy
3.6. Cell Cultures Conditions
3.7. Cell Viability Assay
4. Conclusions
Supplementary Materials
Author Contributions
Funding
Conflicts of Interest
References
- Welton, T. Ionic liquids: A brief history. Biophys. Rev. 2018, 10, 691–706. [Google Scholar] [CrossRef] [PubMed]
- Egorova, K.S.; Gordeev, E.G.; Ananikov, V.P. Biological activity of ionic liquids and their application in pharmaceutics and medicine. Chem. Rev. 2017, 117, 7132–7189. [Google Scholar] [CrossRef] [PubMed]
- Adawiyah, N.; Moniruzzaman, M.; Hawatulaila, S.; Goto, M. Ionic liquids as a potential tool for drug delivery systems. Med. Chem. Commun. 2016, 7, 1881–1897. [Google Scholar] [CrossRef]
- Marrucho, I.M.; Branco, L.C.; Rebelo, L.P.N. Ionic liquids in pharmaceutical applications. Annu. Rev. Chem. Biomol. Eng. 2014, 5, 527–546. [Google Scholar] [CrossRef] [PubMed]
- Zhou, Z.; Liu, C.; Wan, X.; Fang, L. Development of a w/o emulsion using ionic liquid strategy for transdermal delivery of anti-aging component α-lipoic acid: Mechanism of different ionic liquids on skin retention and efficacy evaluation. Eur. J. Pharm. Sci. 2020, 141, 105042. [Google Scholar] [CrossRef] [PubMed]
- Maneewattanapinyo, P.; Yeesamun, A.; Watthana, F.; Panrat, K.; Pichayakorn, W.; Suksaeree, J. Controlled release of lidocaine–diclofenac ionic liquid drug from freeze-thawed gelatin/poly(vinyl alcohol) transdermal patches. AAPS Pharm. Sci. Tech. 2019, 20, 322. [Google Scholar] [CrossRef]
- Rzemieniecki, T.; Gwiazdowska, D.; Rybak, K.; Materna, K.; Juś, K.; Pernak, J. Synthesis, properties, and antimicrobial activity of 1-alkyl-4-hydroxy-1-methylpiperidinium ionic liquids with mandelate anion. ACS Sustain. Chem. Eng. 2019, 7, 15053–15063. [Google Scholar] [CrossRef]
- Garcia, I.M.; Ferreira, C.J.; de Souza, V.S.; Castelo, V.; Leitune, B.; Samuel, S.M.W.; de Souza Balbinot, G.; de Souza da Motta, A.; Visioli, F.; Scholten, J.D.; et al. Ionic liquid as antibacterial agent for an experimental orthodontic adhesive. Dent. Mat. 2019, 35, 1155–1165. [Google Scholar] [CrossRef]
- Bourakadi, K.E.; Merghoub, N.; Hicham, G.; Mekhzoum, M.E.M.; Essassi, E.M.; Qaiss, A.E.K.; Bouhfid, R. Synthesis, characterization and in vitro antiproliferative evaluation of ionic liquids based on alkyl-substituted thiabendazolium. J. Mol. Liq. 2019, 282, 63–69. [Google Scholar] [CrossRef]
- Guncheva, M. Ionic Liquids for Anticancer Application. In Encyclopedia of Ionic Liquids; Zhang, S., Ed.; Springer: Singapore, 2019. [Google Scholar]
- Hough, W.L.; Rogers, R.D. Ionic liquids then and now: From solvents to materials to active pharmaceutical ingredients. Bull. Chem. Soc. Jpn. 2007, 80, 2262–2269. [Google Scholar] [CrossRef]
- Fernandez-Stefanuto, V.; Tojo, E. New active pharmaceutical ingredient-ionic liquids (API-ILs) derived from indomethacin and mebendazole. Proceedings 2019, 9, 5781. [Google Scholar] [CrossRef]
- Shamshina, J.L.; Barber, P.S.; Rogers, R.D. Ionic liquids in drug delivery. Expert Opin.on Drug Deliv. 2013, 10, 1367–1381. [Google Scholar] [CrossRef] [PubMed]
- Frizzo, C.P.; Wust, K.; Tier, A.Z.; Beck, T.S.; Rodrigues, L.V.; Vaucher, R.A.; Bolzan, L.P.S.; Terra Soares, F.; Martins, M.A.P. Novel ibuprofenate- and docusate-based ionic liquids: Emergence of antimicrobial activity. RSC Adv. 2016, 6, 100476–100486. [Google Scholar] [CrossRef]
- Bica, K.; Rodrıguez, H.; Gurau, G.; Cojocaru, O.A.; Riisager, A.; Fehrmannd, R.; Rogers, R.D. Pharmaceutically active ionic liquids with solids handling, enhanced thermal stability, and fast release. Chem. Commun. 2012, 48, 5422–5424. [Google Scholar] [CrossRef]
- Santos, M.M.; Raposo, L.R.; Carrera, G.V.S.M.; Costa, A.; Dionísio, M.; Baptista, P.V.; Fernandes, A.R.; Branco, L.C. Ionic liquids and salts from ibuprofen as promising innovative formulations of an old drug. Chem. Med. Chem. 2019, 14, 907–911. [Google Scholar] [CrossRef]
- Theoduloz, C.; Delporte, C.; Valenzuela-Barra, G.; Silva, X.; Cádiz, S.; Bustamante, F.; Pertino, M.W.; Schmeda-Hirschmann, G. Topical anti-inflammatory activity of new hybrid molecules of terpenes and synthetic drugs. Molecules 2015, 20, 11219–11235. [Google Scholar] [CrossRef]
- Azevedo, A.M.O.; Costa, S.P.F.; Dias, A.F.V.; Marques, A.H.O.; Pinto, P.C.A.G.; Bica, K.; Ressmann, A.K.; Passos, M.L.C.; Araújo, R.T.S.; Reis, S.; et al. Anti-inflammatory choline based ionic liquids: Insights into their lipophilicity, solubility and toxicity parameters. J. Mol. Liq. 2017, 232, 20–26. [Google Scholar] [CrossRef]
- Spinella, R.; Sawhney, R.; Jalan, R. Albumin in chronic liver disease: Structure, functions and therapeutic implications. Hepatol. Int. 2016, 10, 124–132. [Google Scholar] [CrossRef]
- Zhu, J.L.; He, J.; He, H.; Tan, S.H.; He, X.M.; Pham-Huy, C.; Li, L. Study on the interaction between ketoprofen and bovine serum albumin by molecular simulation and spectroscopic methods. Spectroscopy 2011, 26, 337–348. [Google Scholar] [CrossRef]
- Moshikur, R.; Chowdhury, R.; Wakabayashi, R.; Tahara, Y.; Moniruzzaman, M.; Goto, M. Characterization and cytotoxicity evaluation of biocompatible amino acid esters used to convert salicylic acid into ionic liquids. Int. J. Pharm. 2018, 546, 31–38. [Google Scholar] [CrossRef]
- Koleva, B.; Kolev, T.; Spiteller, M. Spectroscopic analysis and structural elucidation of small peptides—Experimental and theoretical tools. In Advances in Chemistry Research; Taylor, J.C., Ed.; Nova Science Publishers Inc.: New York, NY, USA, 2010; Volume 3, pp. 675–755. [Google Scholar]
- Roeges, N.P. A Guide to the Complete Interpretation of Infrared Spectra of Organic Structures; Wiley: Hoboken, NJ, USA, 1994. [Google Scholar]
- Rehman, N.; Khalid, M.; Bhatti, M.H.; Yunus, U.; Braga, A.A.C.; Ahmed, F.; Ali Mashhadi, S.M.; Tahir, M.N. Schiff base of isoniazid and ketoprofen: Synthesis, X-ray crystallographic, spectroscopic, antioxidant, and computational studies. Turk. J. Chem. 2018, 42, 639–651. [Google Scholar]
- Ossowicz, P.; Janus, E.; Schroeder, G.; Rozwadowski, Z. Spectroscopic studies of amino acid ionic liquid-supported Schiff bases. Molecules 2013, 18, 4986–5004. [Google Scholar] [CrossRef] [PubMed]
- Ribeiro, R.; Pinto, P.C.A.G.; Azevedo, A.M.O.; Bica, K.; Ressmann, A.K.; Reis, S.; Saraiva, M.L.M.F.S. Automated evaluation of protein binding affinity of anti-inflammatory choline based ionic liquids. Talanta 2016, 150, 20–26. [Google Scholar] [CrossRef] [PubMed]
- Martin, K.; Nõges, J.; Haav, K.; Kadam, S.A.; Pung, A.; Leito, I. Exploring selectivity of 22 acyclic urea-, carbazole- and indolocarbazole-based receptors towards 11 monocarboxylates. Eur. J. Org. Chem. 2017, 2017, 5231–5237. [Google Scholar] [CrossRef]
- Greaves, T.L.; Drummond, C.J. Protic ionic liquids: Evolving structure−property relationships and expanding applications. Chem. Rev. 2015, 115, 11379–11448. [Google Scholar] [CrossRef] [PubMed]
- Reichardt, C.; Welton, T. Solvents and Solvent Effects in Organic Chemistry, 4th ed.; Wiley-VCH: Weinheim, Germany, 2011. [Google Scholar]
- Furniss, B.S.; Hannaford, A.J.; Smith, P.W.J.; Tatchell, A.R. Vogel’s Textbook of Practical Organic Chemistry, 5th ed.; Longman Group UK Ltd.: London, UK, 1989. [Google Scholar]
- Castagna, R.; Donini, S.; Colnago, P.; Serafini, A.; Parisini, E.; Bertarelli, C. Biohybrid electrospun membrane for the filtration of ketoprofen drug from water. ACS Omega 2019, 4, 13270–13278. [Google Scholar] [CrossRef] [PubMed]
- Lacowicz, J. Principles of Fluorescence Spectroscopy, 3rd ed.; Springer: New York, NY, USA, 2011. [Google Scholar]
- Bi, S.; Yan, L.; Sun, Y.; Zhang, H. Investigation of ketoprofen binding to human serum albumin by spectral methods. Spectrochim. Acta A 2011, 78, 410–414. [Google Scholar] [CrossRef]
- Kong, J.; Yu, S. Fourier transform infrared spectroscopic analysis of protein secondary structures. Acta Biochim. Biophys. Sin. 2007, 39, 549–559. [Google Scholar] [CrossRef]
- Jackson, M.; Mantsch, H.H. The use and misuse of FTIR spectroscopy in the determination of protein structure. Crit. Rev. Biochem. Mol. Biol. 1995, 30, 95–120. [Google Scholar] [CrossRef]
- Majorek, K.A.; Porebski, P.J.; Dayal, A.; Zimmerman, M.D.; Jablonska, K.; Stewart, A.J.; Chruszcz, M.; Minor, W. Structural and immunologic characterization of bovine, horse, and rabbit serum albumins. Mol. Immunol. 2012, 52, 174–182. [Google Scholar] [CrossRef]
- Alhazmi, H. FTIR spectroscopy for the identification of binding sites and measurements of the binding interactions of important metal ions with bovine serum albumin. Sci. Pharm. 2019, 87, 5. [Google Scholar] [CrossRef]
- Furukawa, S.; Hattori, G.; Sakai, S.; Kamiya, N. Highly efficient and low toxic skin penetrants composed of amino acid ionic liquids. RSC Adv. 2016, 6, 87753–87755. [Google Scholar] [CrossRef]










| Compound | Colour | Tm (°C) | Tonset (°C) | [α]λT | [M]λT |
|---|---|---|---|---|---|
| [l-LeuOEt][KETO] | white | 94.23 | 95.7 | +7.739 | 32.002 |
| [l-ValOEt][KETO] | white | 63.55 | 100.4 | +4.679 | +18.690 |
| [l-ValOiPr][KETO] | white | 58.59 | 69.4 | +8.083 | +33.426 |
| [l-ValOPr][KETO] | white | 60.09 | 52.3 | +5.455 | +22.559 |
| [l-ValOBu][KETO] | white | 58.75 | 101.1 | +4.167 | +17.819 |
| KETO | white | 92.17 | 265.4 | 0 | 0 |
| Compound | Water (63.1) | Ethanol (51.9) | Chloroform (39.1) | Ethyl-Acetate (38.1) | Diethyl-Ether (34.5) | Toluene (33.9) | n-Hexane (31.0) |
|---|---|---|---|---|---|---|---|
| [l-LeuOEt][KETO] | − | +/− | +/− | − | − | + | − |
| [l-ValOEt][KETO] | − | + | + | − | +/− | − | − |
| [l-ValOiPr][KETO] | − | + | +/− | − | + | + | − |
| [l-ValOPr][KETO] | − | + | + | + | +/− | + | − |
| [l-ValOBu][KETO] | − | + | + | − | − | + | − |
| KETO | − | + | + | +/− | + | − | − |
| Compound | Ksv (104, L mol−1) | kq (1012, L mol−1 s−1) | R |
|---|---|---|---|
| [l-LeuOEt][KETO] | 8.3 | 8.3 | 0.9900 |
| [l-ValOEt][KETO] | 6.3 | 6.3 | 0.9948 |
| [l-ValOiPr][KETO] | 7.1 | 7.1 | 0.9981 |
| [l-ValOPr][KETO] | 7.1 | 7.1 | 0.9958 |
| [l-ValOBu][KETO] | 7.3 | 7.3 | 0.9969 |
| KETO | 8.4 | 8.4 | 0.9953 |
| Compound | KA (105, L mol−1) | N | R |
|---|---|---|---|
| [l-LeuOEt][KETO] | 7.1 | 1.2 | 0.9972 |
| [l-ValOEt][KETO] | 8.2 | 1.2 | 0.9934 |
| [l-ValOiPr][KETO] | 1.5 | 1.1 | 0.9985 |
| [l-ValOPr][KETO] | 2.3 | 1.1 | 0.9924 |
| [l-ValOBu][KETO] | 7.5 | 1.2 | 0.9988 |
| KETO | 2.6 | 1.1 | 0.9954 |
| System | Ro (nm) | EFRET | ro (nm) |
|---|---|---|---|
| BSA-[l-LeuOEt][KETO] | 3.30 | 0.0246 | 6.14 |
| BSA-[l-ValOEt][KETO] | 3.43 | 0.1830 | 4.68 |
| BSA-[l-ValOiPr][KETO] | 3.38 | 0.0625 | 5.42 |
| BSA-[l-ValOPr][KETO] | 3.46 | 0.1770 | 4.74 |
| BSA-[l-ValOBu][KETO] | 3.32 | 0.0520 | 5.48 |
| BSA-KETO | 3.37 | 0.0630 | 5.40 |
| Assignment of the Secondary Structure Components [36] | α-Helices | β-Structures | Unordered Structures | Aromatic Residues/Aggregated Strands/Antiparallel β-Sheets | ||||
|---|---|---|---|---|---|---|---|---|
| Band Position (cm−1) | Relative Area (%) | Band Position (cm−1) | Relative Area (%) | Band Position (cm−1) | Relative Area (%) | Band Position (cm−1) | Relative Area (%) | |
| native BSA | 1655 | 47.3 | 1629; 1674 | 11.6; 12.9 | 1642 | 21 | 1617 | 7.1 |
| BSA-KETO | 1655 | 46.2 | 1636; 1673 | 36.2; 12.4 | - | - | 1618 | 5.2 |
| BSA-[l-LeuOEt][KETO] | 1655 | 36.7 | 1628; 1673 | 13.5; 13.7 | 1642 | 21.5 | 1615; 1684; 1696 | 11.6; 1.9; 1.0 |
| BSA-[l-ValOEt][KETO] | 1656 | 28.8 | 1628; 1674 | 22.4; 15.0 | 1643 | 17.25 | 1607; 1698 | 14.1; 2.4 |
| BSA-[l-ValOiPr][KETO] | 1658 | 23.8 | 1626; 1638; 1674 | 15.5; 11.2; 11.8 | 1648 | 11.7 | 1604; 1605; 1687 | 2.0; 23.3; 1.0 |
| BSA-[l-ValOPr][KETO] | 1658 | 26.9 | 1631; 1673 | 19.5; 13.6 | 1646 | 29.2 | 1616 | 11.0 |
| BSA-[l-ValOBu][KETO] | 1656 | 27.8 | 1640; 1675 | 31.0; 11.8 | - | - | 1620; 1693 | 26.3; 1.0 |
© 2019 by the authors. Licensee MDPI, Basel, Switzerland. This article is an open access article distributed under the terms and conditions of the Creative Commons Attribution (CC BY) license (http://creativecommons.org/licenses/by/4.0/).
Share and Cite
Ossowicz, P.; Kardaleva, P.; Guncheva, M.; Klebeko, J.; Świątek, E.; Janus, E.; Yancheva, D.; Angelov, I. Ketoprofen-Based Ionic Liquids: Synthesis and Interactions with Bovine Serum Albumin. Molecules 2020, 25, 90. https://doi.org/10.3390/molecules25010090
Ossowicz P, Kardaleva P, Guncheva M, Klebeko J, Świątek E, Janus E, Yancheva D, Angelov I. Ketoprofen-Based Ionic Liquids: Synthesis and Interactions with Bovine Serum Albumin. Molecules. 2020; 25(1):90. https://doi.org/10.3390/molecules25010090
Chicago/Turabian StyleOssowicz, Paula, Proletina Kardaleva, Maya Guncheva, Joanna Klebeko, Ewelina Świątek, Ewa Janus, Denitsa Yancheva, and Ivan Angelov. 2020. "Ketoprofen-Based Ionic Liquids: Synthesis and Interactions with Bovine Serum Albumin" Molecules 25, no. 1: 90. https://doi.org/10.3390/molecules25010090
APA StyleOssowicz, P., Kardaleva, P., Guncheva, M., Klebeko, J., Świątek, E., Janus, E., Yancheva, D., & Angelov, I. (2020). Ketoprofen-Based Ionic Liquids: Synthesis and Interactions with Bovine Serum Albumin. Molecules, 25(1), 90. https://doi.org/10.3390/molecules25010090

