Using Raman Spectroscopy as a Fast Tool to Classify and Analyze Bulgarian Wines—A Feasibility Study
Abstract
1. Introduction
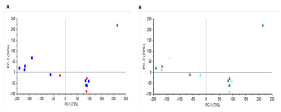
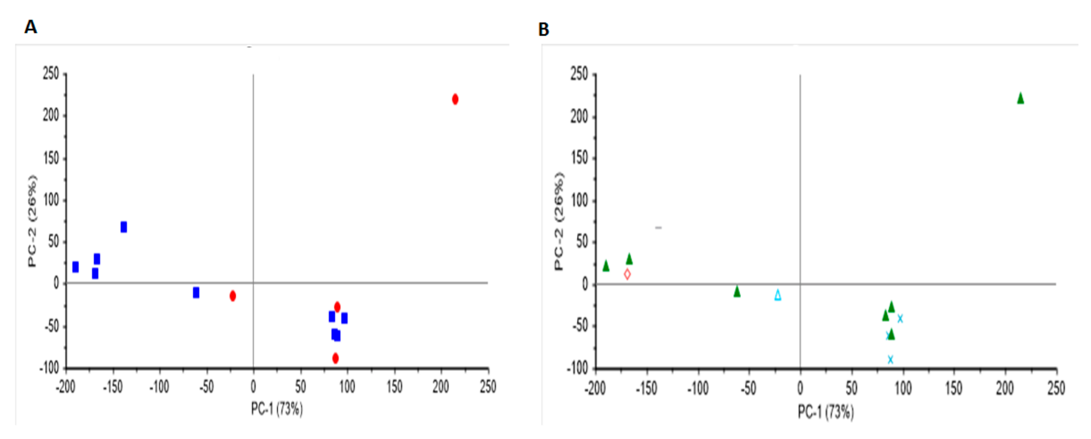
2. Results and Discussion
3. Materials and Methods
3.1. Wine Samples
3.2. Chemical Analyses
3.3. Raman Spectroscopy
3.4. Statistical and Multivariate Data Analysis
4. Conclusions
Author Contributions
Funding
Conflicts of Interest
References
- Cozzolino, D.; Kwiatkowski, M.J.; Dambergs, R.G.; Cynkar, W.U.; Janik, L.J.; Skouroumounis, G.; Gishen, M. Analysis of elements in wine using near infrared spectroscopy and partial least squares regression. Talanta 2008, 74, 711–716. [Google Scholar] [CrossRef] [PubMed]
- Schulz, H. Qualitative and Quantitative FT-Raman Analysis of Plants. In Optical Spectroscopy and Computational Methods in Biology and Medicine; Baranska, M., Ed.; Springer: Dordrecht, The Netherlands, 2014; pp. 253–278. [Google Scholar] [CrossRef]
- Dambergs, R.G.; Gishen, M.; Cozzolino, D. A review of the state of the art, limitations and perspectives of infrared spectroscopy for the analysis of wine grapes, must and grape-vine tissue. Appl. Spectroscopy Rev. 2015, 50, 261–278. [Google Scholar] [CrossRef]
- Guggenbichler, W.; Huck, C.W.; Kobler, A.; Popp, M.; Bonn, G.K. Near Infrared Spectroscopy, Cluster and Multivariate Analysis–Contributions to Wine Analysis. J. Food Agric. Environ. 2006, 4, 98–106. [Google Scholar]
- Cozzolino, D. Metabolomics in grape and wine: Definition, current status and future prospects. Food Anal. Methods 2016, 9, 2986–2997. [Google Scholar] [CrossRef]
- Wang, Q.; Li, Z.; Ma, Z.; Si, G. Quantitative Analysis of Multiple Components in Wine Fermentation using Raman Spectroscopy. Adv. J. Food Sci. Technol. 2015, 9, 13–18. [Google Scholar] [CrossRef]
- Numata, Y.; Iida, Y.; Tanaka, H. Quantitative analysis of alcohol–water binary solutions using Raman spectroscopy. J. Quant. Spectrosc. Radiat. Transf. 2011, 112, 1043–1049. [Google Scholar] [CrossRef]
- Martin, C.; Bruneel, J.-L.; Castet, F.; Fritsch, A.; Teissedre, P.-L.; Jourdes, M.; Guillaume, F. Spectroscopic and theoretical investigations of phenolic acids in white wines. Food Chem. 2017, 221, 568–575. [Google Scholar] [CrossRef]
- Mandrile, L.; Zeppa, G.; Giovannozzi, A.M.; Rossi, A.M. Controlling protected designation of origin of wine by Raman spectroscopy. Food Chem. 2016, 211, 260–267. [Google Scholar] [CrossRef]
- Wu, Z.; Xu, E.; Long, J.; Pan, X.; Xu, X.; Jin, Z.; Jiao, A. Comparison between ATR-IR, Raman, concatenated ATR-IR and Raman spectroscopy for the determination of total antioxidant capacity and total phenolic content of Chinese rice wine. Food Chem. 2016, 194, 671–679. [Google Scholar] [CrossRef]
- Zaffino, C.; Russo, B.; Bruni, S. Surface-enhanced Raman scattering (SERS) study of anthocyanidins. Spectrochim. Acta Part A Mol. Biomol. Spectrosc. 2015, 149, 41–47. [Google Scholar] [CrossRef]
- Yanev, Y.; Kostadinov, K.N.; Fodor-Csányi, P.; Chapkanova, G. 14C measurements in Bulgarian and Hungarian wines from 1986. J. RadioAnal. Nucl. Chem. Lett. 1989, 137, 167–172. [Google Scholar] [CrossRef]
- Tsanova-Savova, S.; Dimov, S.; Ribarova, F. Anthocyanins and Color Variables of Bulgarian Aged Red Wines. J. Food Comp. Anal. 2002, 15, 647–654. [Google Scholar] [CrossRef]
- Jakubec, P.; Bancirova, M.; Halouzka, V.; Lojek, A.; Ciz, M.; Denev, P.; Cibicek, N.; Vacek, J.; Vostalova, J.; Ulrichova, J.; et al. Electrochemical Sensing of Total Antioxidant Capacity and Polyphenol Content in Wine Samples Using Amperometry Online-Coupled with Microdialysis. J. Agric. Food Chem. 2012, 60, 7836–7843. [Google Scholar] [CrossRef] [PubMed]
- Tsanova-Savova, S.; Ribarova, F. Free and Conjugated Myricetin, Quercetin, and Kaempferol in Bulgarian Red Wines. J. Food Comp. Anal. 2002, 15, 639–645. [Google Scholar] [CrossRef]
- Angelov, L.; Stalev, B. Study on the quality of wines produced from ‘Syrah’ and ‘Tempranillo’ cultivars planted in two microregions in Southern Bulgaria. Folia Horticulturae 2011, 23, 49–53. [Google Scholar] [CrossRef]
- Bambalov, G.K.; Tzvetanov, O.S.; Bambalov, K.G. The effect of storage on some characteristics of yeasts used for sparkling wines. J. Wine Res. 1995, 6, 123–132. [Google Scholar] [CrossRef]
- Martin, C.; Bruneel, J.L.; Guyon, F.; Médina, B.; Jourdes, M.; Teissedre, P.L.; Guillaume, F. Raman spectroscopy of white wines. Food Chem. 2015, 181, 235–240. [Google Scholar] [CrossRef]
- Santos, C.A.T.; Páscoa, R.N.M.J.; Sarraguça, M.C.; Porto, P.A.L.S.; Cerdeira, A.L.; González-Sáiz, J.M.; Lopes, J.A. Merging vibrational spectroscopic data for wine classification according to the geographic origin. Food Res. Int. 2017, 102, 504–510. [Google Scholar] [CrossRef]
- Teixeira Dos Santos, C.A.; Páscoa, R.N.M.J.; Porto, P.A.L.S.; Cerdeira, A.L.; González-Sáiz, J.M.; Pizarro, C.; Lopes, J.A. Raman spectroscopy for wine analyses: A comparison with near and mid infrared spectroscopy. Talanta 2018, 186, 306–314. [Google Scholar] [CrossRef]
- Magdas, D.A.; Guyon, F.; Feher, I.; Pinzaru, S.C. Wine discrimination based on chemometric analysis of untargeted markers using FT-Raman spectroscopy. Food Control 2018, 85, 385–391. [Google Scholar] [CrossRef]
- Smith, G.J.; Markham, K.R. Tautomerism of flavonol glucosides: Relevance to plant UV protection and flower colour. J. Photochem. Photobiol. 1998, 118, 99–105. [Google Scholar] [CrossRef]
- Bonin, J.; Robert, M. Photoinduced Proton-Coupled Electron Transfers in Biorelevant Phenolic Systems. Photochem. Photobiol. 2011, 87, 1190–1203. [Google Scholar] [CrossRef] [PubMed]
- Gallego, A.; Guesalaga, A.; Bordeu, E.; Gonzalez, A. Rapid measurement of phenolic compounds in red wine using Raman spectroscopy. IEEE Trans. Instrum. Meas. 2011, 60, 507–512. [Google Scholar] [CrossRef]
- Singleton, V.L.; Rossi, J.A. Colorimetry of Total Phenolics with Phosphomolybdic-Phosphotungstic Acid Reagents. Am. J. Enol. Vitic. 1965, 16, 144–158. [Google Scholar]
- Compendium of International Methods of Wine and Must Analysis, 2015 ed.; International Organisation of Vine and Wine: Paris, France, 2014.
- Somers, T.C.; Ziemelis, G. Spectral evaluation of total phenolic components inVitis vinifera: Grapes and wines. J. Sci. Food Agric. 1985, 36, 1275–1284. [Google Scholar] [CrossRef]
- Ribéreau-Gayon, P.; Stonestreet, E. Le dosage des anthocyanes dans le vin rouge [Determination of anthocyanins in red wine]. Bull. Soc. Chim. Fr. 1965, 9, 2649–2652. [Google Scholar] [PubMed]
- Pompei, C.; Peri, C. Determination of catechins in wines. Vitis 1971, 9, 312–316. [Google Scholar]
- Cozzolino, D.; Liu, L.; Cynkar, W.U.; Dambergs, R.G.; Janik, L.; Colby, C.B.; Gishen, M. Effect of temperature variation on the visible and near infrared spectra of wine and the consequences on the partial least square calibrations developed to measure chemical composition. Anal. Chim. Acta 2007, 588, 224–230. [Google Scholar] [CrossRef]
- Cozzolino, D.; Dambergs, R.; Janik, L.; Cynkar, W.; Gishen, M. Review: Analysis of grapes and wine by near infrared spectroscopy. J. Near Infrared Spectrosc. 2006, 14, 279–289. [Google Scholar] [CrossRef]
Sample Availability: Samples of the compounds not available from the authors. |





| Wine Sample | Total Phenols* mg/dm3 Gallic Acid | Total Phenols** mg/dm3 Catechin Equivalents | Phenolic Acids** mg/dm3 Caffeic Equivalents | Index of Total Phenols a.u. | |||||||
| Avg | SD | CV | Avg | SD | CV | Avg | SD | CV | Avg | ||
| Red Wines | |||||||||||
| 1 | Pinot Noir3 | 2110.3 | 32.0 | 1.5 | 2614.1 | 7.9 | 0.3 | 217.1 | 0.0 | 0.0 | 44.6 |
| 2 | Pinot Noir3 | 2325.8 | 7.3 | 0.3 | 3262.5 | 17.8 | 0.5 | 239.8 | 0.5 | 0.2 | 51 |
| 3 | Merlot3 | 2352.8 | 7.3 | 0.3 | 3324.4 | 13.6 | 0.4 | 258.5 | 0.5 | 0.2 | 51.2 |
| 4 | Cabernet Sauvignon3 | 1796.0 | 26.4 | 1.5 | 2803.5 | 5.2 | 0.2 | 217.7 | 0.5 | 0.2 | 41.6 |
| 5 | Cabernet Franc3 | 1957.6 | 7.3 | 0.4 | 2661.4 | 28.4 | 1.1 | 238.1 | 0.5 | 0.2 | 52.5 |
| 6 | Syrah3 | 1787.0 | 26.4 | 1.5 | 2934.6 | 5.2 | 0.2 | 271.5 | 0.0 | 0.0 | 41.7 |
| 7 | Marselan3 | 1876.8 | 19.4 | 1.0 | 2967.4 | 7.9 | 0.3 | 302.6 | 0.0 | 0.0 | 44.3 |
| 8 | Egiodola3 | 2505.4 | 33.6 | 1.3 | 3564.9 | 18.6 | 0.5 | 259.0 | 0.9 | 0.4 | 55.1 |
| 9 | Merlot4 | 2029.5 | 7.3 | 0.4 | 3022.1 | 10.7 | 0.4 | 242.0 | 0.5 | 0.2 | 47.2 |
| 10 | Cabernet Sauvignon4 | 2747.9 | 48.1 | 1.7 | 3910.9 | 8.9 | 0.2 | 290.7 | 0.0 | 0.0 | 57.5 |
| 11 | Cabernet Sauvignon5 | 2685.0 | 7.3 | 0.3 | 3677.8 | 3.0 | 0.1 | 266.4 | 0.0 | 0.0 | 55.3 |
| 12 | Syrah5 | 1679.3 | 14.7 | 0.9 | 2625.0 | 7.9 | 0.3 | 243.7 | 0.5 | 0.2 | 41.6 |
| 13 | Cabernet Franc6 | 2469.5 | 57.3 | 2.3 | 3655.9 | 18.6 | 0.5 | 327.5 | 1.7 | 0.5 | 55.1 |
| 14 | Syrah6 | 2568.3 | 12.7 | 0.5 | 3994.7 | 13.6 | 0.3 | 330.9 | 0.9 | 0.3 | 62.2 |
| 15 | Cabernet Sauvignon7 | 2720.9 | 7.3 | 0.3 | 3346.3 | 7.9 | 0.2 | 215.4 | 0.5 | 0.2 | 53.6 |
| 16 | Cabernet Sauvignon10 | 2972.4 | 0.0 | 0.0 | 4111.3 | 22.5 | 0.5 | 273.7 | 0.9 | 0.3 | 62.8 |
| 17 | Merlot10 | 2334.8 | 60.0 | 2.6 | 3317.1 | 7.9 | 0.2 | 247.7 | 0.9 | 0.4 | 49.1 |
| 18 | Melnik 5511 | 3080.1 | 14.7 | 0.5 | 4369.9 | 5.9 | 0.1 | 250.5 | 0.5 | 0.2 | 63.5 |
| 19 | Shiroka Melnishka Loza12 | 1849.9 | 58.2 | 3.1 | 584.9 | 3.0 | 0.5 | 114.1 | 0.5 | 0.4 | 11.1 |
| White Wines | |||||||||||
| 20 | Sauvignon Blanc1 | 269.4 | 5.7 | 2.1 | 406.4 | 10.7 | 2.6 | 53.0 | 0.9 | 1.7 | 7.5 |
| 21 | Chardonnay1 | 318.8 | 1.3 | 0.4 | 384.6 | 3.0 | 0.8 | 57.5 | 0.5 | 0.8 | 9 |
| 22 | Muscat Ottonel2 | 251.4 | 6.3 | 2.5 | 206.1 | 7.9 | 3.8 | 33.7 | 0.5 | 1.4 | 6.5 |
| 23 | Sauvignon Blanc3 | 273.9 | 0.7 | 0.3 | 333.6 | 10.7 | 3.2 | 55.8 | 0.8 | 1.4 | 7.8 |
| 24 | Chardonnay3 | 366.4 | 3.2 | 0.9 | 435.6 | 10.7 | 2.5 | 76.2 | 0.9 | 1.2 | 9.6 |
| 25 | Chardonnay3 | 332.3 | 0.7 | 0.2 | 380.9 | 10.7 | 2.8 | 64.3 | 0.5 | 0.7 | 9.3 |
| 26 | Chardonnay3 | 368.2 | 3.2 | 0.9 | 486.6 | 7.9 | 1.6 | 79.0 | 0.0 | 0.0 | 10.5 |
| 27 | Chardonnay3 | 371.8 | 2.9 | 0.8 | 446.5 | 3.0 | 0.7 | 79.0 | 0.5 | 0.6 | 10 |
| 28 | Viognier3 | 337.6 | 3.8 | 1.1 | 351.8 | 13.6 | 3.9 | 50.7 | 0.9 | 1.8 | 8.2 |
| 29 | Muscat Blanc à Petits Grains5 | 336.8 | 2.9 | 0.9 | 548.5 | 7.9 | 1.4 | 105.0 | 0.5 | 0.4 | 10.8 |
| 30 | Chardonnay5 | 229.9 | 0.7 | 0.3 | 355.4 | 13.0 | 3.6 | 47.3 | 1.2 | 2.6 | 8 |
| 31 | Sauvignon Blanc6 | 238.0 | 5.7 | 2.4 | 282.6 | 3.0 | 1.1 | 54.1 | 0.5 | 0.9 | 8.2 |
| 32 | Chardonnay6 | 327.8 | 1.3 | 0.4 | 453.8 | 5.2 | 1.1 | 46.2 | 0.5 | 1.0 | 9.1 |
| Wine Sample | Flavonoid mg/dm3 Catechin Equivalents | Anthocyanins mg/dm3 Anthocyanins | Catechins mg/dm3 (±) Catechin | ||||||||
| Avg | SD | CV | Avg | SD | CV | Avg | SD | CV | |||
| Red Wines | |||||||||||
| 1 | Pinot Noir3 | 1682.6 | 7.9 | 0.5 | 232.4 | 1.6 | 0.7 | 930.4 | 26.9 | 2.9 | |
| 2 | Pinot Noir3 | 2233.9 | 15.9 | 0.7 | 197.5 | 0.8 | 0.4 | 1443.1 | 31.0 | 2.1 | |
| 3 | Merlot3 | 2215.6 | 11.7 | 0.5 | 240.6 | 1.1 | 0.5 | 1329.1 | 41.0 | 3.1 | |
| 4 | Cabernet Sauvignon3 | 1869.6 | 5.5 | 0.3 | 298.0 | 0.5 | 0.2 | 1025.3 | 55.9 | 5.5 | |
| 5 | Cabernet Franc3 | 1640.1 | 26.4 | 1.6 | 191.7 | 1.1 | 0.6 | 1101.3 | 41.0 | 3.7 | |
| 6 | Syrah3 | 1770.0 | 5.2 | 0.3 | 365.5 | 0.8 | 0.2 | 759.5 | 31.0 | 4.1 | |
| 7 | Marselan3 | 1669.2 | 7.9 | 0.5 | 274.7 | 1.0 | 0.3 | 512.7 | 15.5 | 3.0 | |
| 8 | Egiodola3 | 2453.6 | 14.8 | 0.6 | 303.0 | 1.4 | 0.5 | 987.4 | 41.0 | 4.2 | |
| 9 | Merlot4 | 1983.7 | 8.8 | 0.4 | 213.4 | 0.5 | 0.3 | 835.5 | 15.5 | 1.9 | |
| 10 | Cabernet Sauvignon4 | 2663.7 | 8.9 | 0.3 | 287.5 | 0.5 | 0.2 | 1424.1 | 41.0 | 2.9 | |
| 11 | Cabernet Sauvignon5 | 2535.0 | 3.0 | 0.1 | 346.5 | 1.9 | 0.5 | 1595.0 | 53.7 | 3.4 | |
| 12 | Syrah5 | 1579.3 | 6.0 | 0.4 | 328.6 | 0.6 | 0.2 | 987.4 | 26.9 | 2.7 | |
| 13 | Cabernet Franc6 | 2250.9 | 12.9 | 0.6 | 386.8 | 1.1 | 0.3 | 1746.9 | 55.9 | 3.2 | |
| 14 | Syrah6 | 2575.1 | 9.8 | 0.4 | 466.8 | 1.0 | 0.2 | 2031.7 | 41.0 | 2.0 | |
| 15 | Cabernet Sauvignon7 | 2422.1 | 9.5 | 0.4 | 284.4 | 1.4 | 0.5 | 2221.5 | 31.0 | 1.4 | |
| 16 | Cabernet Sauvignon10 | 2936.9 | 18.5 | 0.6 | 281.7 | 1.1 | 0.4 | 2316.5 | 53.7 | 2.3 | |
| 17 | Merlot10 | 2254.5 | 9.5 | 0.4 | 196.7 | 1.7 | 0.9 | 1879.8 | 41.0 | 2.2 | |
| 18 | Melnik 5511 | 3295.2 | 5.2 | 0.2 | 292.2 | 1.1 | 0.4 | 1310.1 | 55.9 | 4.3 | |
| 19 | Shiroka Melnishka Loza12 | 95.5 | 4.3 | 4.5 | 6.6 | 0.5 | 8.3 | 1898.8 | 41.0 | 2.2 | |
| White Wines | |||||||||||
| 20 | Sauvignon Blanc1 | 179.2 | 6.9 | 3.9 | 48.6 | 1.6 | 3.4 | ||||
| 21 | Chardonnay1 | 138.0 | 4.3 | 3.1 | 54.9 | 1.3 | 2.3 | ||||
| 22 | Muscat Ottonel2 | 61.5 | 6.0 | 9.8 | 57.7 | 2.7 | 4.7 | ||||
| 23 | Sauvignon Blanc3 | 94.2 | 7.5 | 7.9 | 51.6 | 2.2 | 4.3 | ||||
| 24 | Chardonnay3 | 108.8 | 6.9 | 6.4 | 57.7 | 1.1 | 1.9 | ||||
| 25 | Chardonnay3 | 105.2 | 8.8 | 8.4 | 55.4 | 2.7 | 4.9 | ||||
| 26 | Chardonnay3 | 147.7 | 7.9 | 5.3 | 67.6 | 1.1 | 1.6 | ||||
| 27 | Chardonnay3 | 107.6 | 4.3 | 4.0 | 53.2 | 1.6 | 3.1 | ||||
| 28 | Viognier3 | 134.3 | 9.8 | 7.3 | 62.3 | 1.6 | 2.6 | ||||
| 29 | Muscat Blanc à Petits Grains5 | 97.9 | 6.0 | 6.2 | 38.7 | 1.9 | 4.8 | ||||
| 30 | Chardonnay5 | 152.5 | 9.8 | 6.4 | 42.5 | 2.2 | 5.3 | ||||
| 31 | Sauvignon Blanc6 | 50.5 | 1.0 | 2.0 | 42.5 | 1.6 | 3.9 | ||||
| 32 | Chardonnay6 | 255.7 | 3.6 | 1.4 | 33.4 | 1.2 | 3.7 | ||||
| R2 | SECV | SD | Slope | Bias | RPD | |
|---|---|---|---|---|---|---|
| Total Phenolic (FC) mg/dm3 Gallic Acid | 0.81 | 474.2 | 1048 | 0.82 | 2.27 | 2.2 |
| Total Phenolic (Sommer) mg/dm3 Catechin Equivalents | 0.87 | 526.6 | 1534 | 0.91 | 19.4 | 2.9 |
| Phenolic Acid mg/dm3 Caffeic Equivalents | 0.81 | 44.8 | 102 | 0.84 | 0.81 | 2.3 |
© 2019 by the authors. Licensee MDPI, Basel, Switzerland. This article is an open access article distributed under the terms and conditions of the Creative Commons Attribution (CC BY) license (http://creativecommons.org/licenses/by/4.0/).
Share and Cite
Deneva, V.; Bakardzhiyski, I.; Bambalov, K.; Antonova, D.; Tsobanova, D.; Bambalov, V.; Cozzolino, D.; Antonov, L. Using Raman Spectroscopy as a Fast Tool to Classify and Analyze Bulgarian Wines—A Feasibility Study. Molecules 2020, 25, 170. https://doi.org/10.3390/molecules25010170
Deneva V, Bakardzhiyski I, Bambalov K, Antonova D, Tsobanova D, Bambalov V, Cozzolino D, Antonov L. Using Raman Spectroscopy as a Fast Tool to Classify and Analyze Bulgarian Wines—A Feasibility Study. Molecules. 2020; 25(1):170. https://doi.org/10.3390/molecules25010170
Chicago/Turabian StyleDeneva, Vera, Ivan Bakardzhiyski, Krasimir Bambalov, Daniela Antonova, Diana Tsobanova, Valentin Bambalov, Daniel Cozzolino, and Liudmil Antonov. 2020. "Using Raman Spectroscopy as a Fast Tool to Classify and Analyze Bulgarian Wines—A Feasibility Study" Molecules 25, no. 1: 170. https://doi.org/10.3390/molecules25010170
APA StyleDeneva, V., Bakardzhiyski, I., Bambalov, K., Antonova, D., Tsobanova, D., Bambalov, V., Cozzolino, D., & Antonov, L. (2020). Using Raman Spectroscopy as a Fast Tool to Classify and Analyze Bulgarian Wines—A Feasibility Study. Molecules, 25(1), 170. https://doi.org/10.3390/molecules25010170

