Abstract
Neglected tropical diseases affect the lives of a billion people worldwide. Among them, the parasitic infections caused by protozoan parasites of the Trypanosomatidae family have a huge impact on human health. Leishmaniasis, caused by Leishmania spp., is an endemic parasitic disease in over 88 countries and is closely associated with poverty. Although significant advances have been made in the treatment of leishmaniasis over the last decade, currently available chemotherapy is far from satisfactory. The lack of an approved vaccine, effective medication and significant drug resistance worldwide had led to considerable interest in discovering new, inexpensive, efficient and safe antileishmanial agents. 1,3,4-Thiadiazole rings are found in biologically active natural products and medicinally important synthetic compounds. The thiadiazole ring exhibits several specific properties: it is a bioisostere of pyrimidine or benzene rings with prevalence in biologically active compounds; the sulfur atom increases lipophilicity and combined with the mesoionic character of thiadiazoles imparts good oral absorption and good cell permeability, resulting in good bioavailability. This review presents synthetic 2-amino-1,3,4-thiadiazole derivatives with antileishmanial activity. Many reported derivatives can be considered as lead compounds for the synthesis of future agents as an alternative to the treatment of leishmaniasis.
1. The Significance of Thiadiazole Derivatives for Medicinal Chemistry
1.1. Biological Significance of Heterocyclic Compounds
Heterocyclic compounds are very common in biology. A large number of naturally occuring substances which are essential for living cells belong to the family of heterocycles. Some of them, such as amino acids, proteins, pyrimidine and purine bases of DNA, enzyme co-factors, oxygen-carrying pigment haemoglobin, photosynthesizing pigment chlorophyll, etc play a vital role in the metabolism of all living organisms and are essential for almost every stage of the biochemical processes necessary to support life [1,2]. Their biological activity is partly due to the wide range of their interactions, possibly through their heteroatoms which can act as acids or bases depending on the pH of the environment. In addition, the ability of heterocycles to engage in a wide variety of intermolecular interactions such as hydrogen bonds, metallic coordination bonds, van der Waals and hydrophobic forces, as well as their wide range of ring sizes, allow them to follow different patterns to enzyme binding and to fit into the various enzyme binding pockets structures, making them important scaffolds for drug development [2].
1.2. Thiadiazole Derivatives with Medical Significance
Nitrogen-containing heterocycles are widely distributed in Nature [3,4,5,6]. Many of these are present in plants and are known as alkaloids, some of which have been used since ancient times as medicinal agents. Thiadiazole derivatives belong to an important family of compounds having a common nitrogen-heterocyclic scaffold which is incorporated into the core structure of several natural products and medicinally significant synthetic compounds [7]. Thiadiazole is a five membered ring system containing sulphur and nitrogen atoms and occurs in four isomeric forms (e.g., 1,2,3-thiadiazole, 1,2,4-thiadiazole, 1,2,5-thiadiazole and 1,3,4-thiadiazole) (Figure 1).
Figure 1.
The isomers of the thiadiazole ring.
There are currently some marketed pharmaceutical products containing thiadiazole derivatives. Acetazolamide and methazolamide are potent carbonic anhydrase inhibitors, megazol is an antitrypanosomal agent and sulfamethizole possess antimicrobial activity. Cefazolin and cefazedone belong to the first generation of the cephalosporin family (Figure 2) [7,8,9].
Figure 2.
Drugs containing a 1,3,4-thiadiazole ring.
Timolol is a non-selective β-adrenergic blocking agent frequently used in the treatment of ocular hypertension and glaucoma. Tizanidine is an agonist of α2-adrenergic receptors, which decreases the release of excitatory adrenergic neurotransmitters from spinal cord interneurons and reduces the muscle spasticity in multiple sclerosis or spinal cord injury [8,10]. Xanomeline is a selective agonist of M1 and M4 acetylcholine receptor subtypes with antidopaminergic effects and antipsychotic-like profile, effective in schizophrenia and Alzheimer’s type dementia (Figure 3) [11,12,13].
Figure 3.
Drugs containing a 1,2,5-thiadiazole ring.
Despite the numerous studies on the biological potential of 1,2,4-thiadiazole derivatives [14,15], the only drugs containing the 1,2,4-thiadiazole ring belong to the last generations of cephalosporin antibiotics, such as cefozopran—a fourth-generation cephalosporin and ceftaroline, ceftobiprole and ceftolozane as examples of the fifth generation cephalosporins (Figure 4) [16,17,18,19].
Figure 4.
Drugs containing a 1,2,4-thiadiazole ring.
Among the thiadiazole isomers, 1,2,4-thiadiazole is the only one found in the known natural compounds. Therefore, dendrodoine—an indole alkaloid isolated from the marine tunicate Dendrodoa grossularia (Styelidae family), has been the only known 1,2,4-thiadiazole derivative for over thirty years [20,21,22]. Recently, two new alkaloids featuring the 3-amino-5-acyl-1,2,4-thiadiazole moiety, polycarpathiamine A and B, were isolated from the ascidian Polycarpa aurata (Styelidae family) [22]. In addition, a pair of enantiomers of an indole alkaloid containing dihydrothiopyran and 1,2,4-thiadiazole rings were isolated from the root extract of Isatis indigotica (Cruciferae family) (Figure 5) [23].
Figure 5.
Natural thiadiazole derivatives.
Thiadiazole is a versatile moiety and the thiadiazole derivatives have been widely studied for medical, agricultural and industrial applications such as bioactive compounds, herbicides, metal chelating agents, corrosion inhibitors, cross-linkers for polymers, etc. [1,24,25,26]. The thiadiazole moiety acts as ”hydrogen binding domain” and ”two-electron donor system”. It also acts as a bioisostere of pyrimidine, pyridazine, oxadiazole, oxazole, thiazole and benzene, and this property can increase the biological potential and lead to analogues with higher lipophilicity due to the sulfur atom which imparts improved liposolubility [9,25,26,27,28]. Among the four isomers of the thiadiazole ring, 1,3,4-thiadiazole derivatives are the most used in therapy and are most studied because of the broad spectrum of pharmacological activities, probably due to the =N–C–S– group [9,29]. Moreover, the mesoionic nature of 1,3,4-thiadiazoles which allows them to behave as masked dipoles, enables these compounds to have strong interactions with biomolecules (e.g., DNA, proteins). Despite of their internal charges, the mesoionic compounds are neutral and are able to cross cellular membranes, this fact also contributing to the good cell permeability of 1,3,4-thiadiazole derivatives [9,25,30].
1.3. Studies on the 2-Amino-1,3,4-thiadiazole Series
2-Amino-1,3,4-thiadiazole derivatives have been previously studied for potential anticancer activity [31,32,33,34,35] and some of them were introduced in clinical trials for the treatment of patients with different types of cancer [7,36,37,38,39]. Although the clinical studies have shown weak activity compared to the preliminary observations, the 2-amino-1,3,4-thiadiazole moiety proved to be a good scaffold for future anticancer agents. In addition, it has been reported that several 2-amino-1,3,4-thiadiazole derivatives exhibit promising antimicrobial activity [9]. As a continuation of our preoccupation in the field of biologically active thiadiazoles [9,40,41,42,43,44,45], the purpose of this review is to highlight the antileishmanial activity exhibited by small molecules possessing a 2-amino-1,3,4-thiadiazole moiety. This review also provides information on structure-activity relationship (SAR) studies and the mechanisms of action of some derivatives.
2. Kinetoplastea Parasites
2.1. Kinetoplastid Infections
A number of protozoan pathogens are human parasites and represent a significant threat to health causing more than one million deaths annually. They also threaten the lives of billions of people worldwide and are associated with significant morbidity and major economic impact [46,47]. According to the World Health Organization (WHO), neglected tropical diseases affect the lives of a billion people worldwide [48]. Among them, the parasitic infections caused by trypanosomatids have a huge impact on human health. Kinetoplastea is a class of flagellated parasitic protozoans, which includes clinically important human pathogens that are vectored by insects [49]. The three major human diseases resulting from kinetoplastid infections include human African trypanosomiasis (sleeping sickness) which is caused by Trypanosoma brucei gambiense and Trypanosoma brucei rhodesiense, American trypanosomiasis (Chagas disease) caused by Trypanosoma cruzi, and various forms of leishmaniasis caused by different species of Leishmania [50]. These three neglected tropical diseases account for over 60,000 human deaths per year and involve about 4 million disability-adjusted life years (DALYs) [47,48,49,51]. There are currently no vaccines against leishmaniasis and other trypanosomatid diseases. The treatment and prophylaxis depend on a limited range of drugs and many of which have become less effective due to increasing drug resistance [47,52,53]. These protozoan diseases are among the most neglected parasitic diseases in terms of drug discovery and development and the number of people affected by them [51,52].
2.2. Leishmania Parasites and Leishmaniasis
The leishmaniases are a group of tropical diseases caused by protozoan parasites of the genus Leishmania in the Trypanosomatidae family [54]. There are more than 20 Leishmania species that are transmitted to humans through the bite of infected female sandflies of the Phlebotomus genus (in the Old World) or Lutzomyia (in the New World) [55,56]. Leishmania parasites have a life cycle that includes an extracellular flagellated promastigote stage and an obligatory intracellular, non-motile amastigote stage. The elongated promastigotes propagate in the insect gut and are transmitted to mammalian hosts through the bite of sandflies. In mammalian hosts, the parasites are rapidly transformed into round non-flagellated amastigotes within mononuclear phagocytes [57,58].
Leishmaniasis is endemic in over 88 countries on four continents and is closely associated with poverty [58]. There are different forms of the disease, such as visceral leishmaniasis (VL—also known as kala-azar), post-kala-azar dermal leishmaniasis (PKDL), cutaneous leishmaniasis (CL) and mucocutaneous leishmaniasis (MCL). Cutaneous leishmaniasis is the most common form, while the visceral leishmaniasis is the most severe form and can be fatal if untreated [56,59]. About 0.7–1.2 million new cases of cutaneous leishmaniasis and 50,000–90,000 new cases of visceral leishmaniasis are reported every year [59,60]. Leishmaniases remain as major diseases in much of tropical and subtropical countries, where 310 million people are at risk and 12 million people are infected [53,60].
Leishmania amazonensis has been associated to all clinical forms of leishmaniasis. Leishmania major, Leishmania tropica, Leishmania aethiopica and Leishmania mexicana are associated with cutaneous leishmaniasis. Mucocutaneous leishmaniasis is caused by Leishmania braziliensis, while the visceral leishmaniasis is caused by three related species or subspecies: Leishmania donovani, Leishmania donovani infantum and Leishmania donovani chagasi which form the Leishmania donovani complex [26,61]. These protozoan parasites produce a systemic and life-threatening infection by infecting reticuloendothelial cells and macrophages in all organs. The infection may be subclinical, but clinical disease is fatal if untreated [57]. There is a recent increase in leishmaniasis spreading due to the high cost of drugs and coinfection with human immunodeficiency virus (HIV) [53,57].
2.3. Current Pharmacotherapy for Leishmaniasis
The classical treatment of leishmaniasis is limited to toxic, high price or poorly tolerated drugs, such as pentavalent antimonial derivatives (sodium stibogluconate—Pentostam, N-methyl- glucamine antimoniate—Glucantime), pentamidine and amphotericin B. Liposomal amphotericin B, paromomycin and miltefosine are active drugs against leishmaniasis that have arisen via repurposing [47]. Edelfosine, ilmofosine, sitamaquine, and some plants products also proved clinically important antileishmanial activity [54].
The pentavalent antimonial derivatives are antimony-carbohydrate complexes and have been used for all clinical forms of leishmaniasis for more than 70 years [62,63]. The mechanism of action of pentavalent antimonials has remained essentially unknown. Evidence suggests that pentavalent antimony Sb(V) is a prodrug which is reduced in vivo into trivalent antimony Sb(III) [63,64]. Sb(III) is the active/toxic form that exhibits antileishmanial activity. This reduction can occur in macrophages as well as in Leishmania parasites. It seems that amastigotes can reduce Sb(V), while promastigotes cannot, making amastigotes more sensitive to Sb(V) [65]. The reduction of Sb(V) to Sb(III) is favored by slightly elevated temperature and acidic pH. This suggests that Sb(V) drugs may act as a molecular carrier releasing the active Sb(III) form in the acidic intracellular compartments where the Leishmania parasites reside [64,65]. The antileishmanial activity of Sb(III) involves multiple pathways, such as: interaction with thiol metabolism of parasites resulting in deoxyribonucleic acid (DNA) fragmentation; inhibition of Leishmania type I DNA topoisomerase which promote adenosine triphosphate (ATP) and guanosine triphosphate (GTP) depletion resulting in the reduction or depletion of parasites energy; promotion the production of proinflammatory cytokines that can increase the release of reactive oxygen species [63].
Even though pentavalent antimonial drugs are still the first-line medication in several developing countries, they have several limitations due to the toxicity of Sb(III) [64]. These drugs require daily parenteral administration which causes local pain. Systemic side effects such as hepatotoxicity, nephrotoxicity, pancreatitis, cardiac toxicity, myalgia, abdominal colic, nausea, vomiting, diarrhea are common during treatment [63,64]. In addition, the development of drug resistance decreases the effectiveness of these compounds [63,64,65]. The use of pentamidine is limited due to toxicity and drug resistance [47].
Conventional amphotericin B has replaced antimonial drugs and is highly effective against antimonial-resistant VL, although it is toxic and requires slow parenteral administration [47,62,63]. Amphotericin B is an antimycotic polyene macrolide that binds to the ergosterol in the cell membrane leading to parasite membrane disruption [62] and alteration of membrane permeability, followed by cell death [65]. Due to its poor aqueous solubility, low acid stability and low intestinal absorption, its use is restricted to slow intravenous infusion [62,63,65]. Its mechanism of action is also responsible for its toxicity. Amphotericin B can form complexes with membrane sterols (e.g., ergosterol in Leishmania cell membrane and cholesterol in mammalian cell membrane) resulting in cell damage [63]. Therefore, amphotericin B can cause serious side effects including nephrotoxicity, thrombophlebitis and myocarditis [47,65]. Liposomal amphotericin B was approved in 1997 [47,63]. Incorporation of amphotericin B into lipidic systems has improved its antimicrobial efficacy and reduced its toxicity. The liposomal amphotericin B accumulates in macrophages and therefore become a good treatment for leishmaniasis. However, the high cost of this drug is a serious limitation in many regions [47,62,63].
Paromomycin is an aminoglycoside antibiotic with broad-spectrum against Gram-positive and Gram-negative bacteria. The antileishmanial activity of paromomycin was discovered in the 1960s [47]. Paromomycin binds to the 30S ribosomal subunit, resulting in inhibition of protein synthesis [47,62]. The mechanism of antileishmanial activity of paromomycin is not very clear. Some studies suggest that cationic paromomycin binds to the negatively charged leishmanial glycocalyx and lipophosphoglycan, a major component of the Leishmania promastigotic cell surface [65]. Due to low oral bioavailability and rapid clearance, paromomycin requires frequent parenteral administration causing nephrotoxicity, ototoxicity and hepatotoxicity [65]. In addition, the susceptibility of Leishmania spp. to paromomycin is geographically variable [62]. Therefore, paromomycin remains an option for the treatment of leishmaniasis [47].
Miltefosine, the phosphorylcholine ester of hexadecanol, is the only drug available for oral treatment of leishmaniasis [47,65]. Miltefosine was originally developed as an anticancer agent for local treatment of cutaneous metastases of breast cancer and other types of tumors. Its study was discontinued due to dose-limiting gastrointestinal side effects [47]. However, miltefosine was reinvestigated and is the most recent antileishmanial drug. Although its mechanism of action is not clearly understood, there is some evidence that it targets parasitic enzymes such as mitochondrial cytochrome C oxydase and glycosomal alkyl-specific acyl-CoA acyltransferase. Miltefosine causes disturbances in ether-lipid metabolism, glycosylphosphatidylinositol anchor biosynthesis and signal transduction in Leishmania [63]. Oral administration is a particularly attractive quality of miltefosine [63]. However, its use might be limited by high cost and adverse effects such as gastrointestinal toxicity, nephrotoxicity, increased levels of hepatic enzymes and teratogenity [47,62,63].
New potent, low-cost and orally available medicines are needed to improve the condition of patients and to control the parasites responsible for parasitic diseases. The development of antileishmanial drugs has been accelerated in recent years through the establishment of the World Health Organization’s Program for Neglected Tropical Diseases [47].
3. Antileishmanial Activity Associated with 2-Amino-1,3,4-thiadiazole System
3.1. The Significance of Hydroxyl, Oxyalkyl and Aminoalkyl Side Chains for Antileishmanial Activity
The antileishmanial properties of amino-1,3,4-thiadiazole derivatives have been reported and several mechanisms of action have been postulated [57,60,66,67,68]. Thus, Al-Qahtani et al. [57] have reported several analogs such as 1–3, having a 1,4-dihydroxyphenyl or 1,4-dimethoxyphenyl group attached to the 1,3,4-thiadiazole ring. The proliferation screening of L. donovani promastigotes has shown that the compounds have a very promising in vitro antileishmanial effect, even at concentrations as low as 50 μM. It has been observed that the activity increased at higher concentrations (100, 200 and 400 μM), when all the tested compounds exhibited an inhibitory potency comparable to that of amphotericin B. The microscopic observation revealed that the promastigotes were non-motile when were incubated with the test compounds. 2-[(5-Phenyl- amino)-1,3,4-thiadiazol-2-yl]benzene-1,4-diol (1) was the most active derivative at each concentration. The authors suggested that the 1,4-dihydroxyphenyl and 1,4-dimethoxyphenyl groups might be involved in the mechanism of action of these derivatives. Due to the ability of these groups to form free radicals, these compounds could permeate the cell membrane and damage the nucleic acids, proteins or other important molecules for the parasites survival. In addition, the affinity of 1,3,4-thiadiazole derivatives for the sulphydryl groups of enzymes or proteins is known. Thus, the inactivation of parasitic enzymes or proteins that have cysteine residues following the thiadiazole attack may be another mechanism of action that deserves attention [57].

The significance of hydroxyl and methoxy groups for the antileishmanial activity of some synthetic compounds can be also suggested from the studies made by Tahghighi et al. [52,60]. Among the 5-(5-nitrofuran-2-yl)-1,3,4-thiadiazol-2-amines 4–15 and 5-(5-nitrothiophen-2-yl)-1,3,4- thiadiazol-2-amines 16–25, the most active derivatives possess a hydroxypropyl and a methoxypropyl moiety, respectively, in the side chain (derivatives 19 and 20—the half maximal inhibitory concentration IC50 values of 3 μM compared to the reference drugs, glucantime—IC50 value of 68.44 mM and fluconazole—IC50 value of 941.1 μM against promastigote form of L. major) (Table 1) [52].
Table 1.
Structural details, IC50 values and CC50 values of compounds 4–25.

The activity against amastigote form of L. major has also been investigated (in murine peritoneal macrophage) for compounds showing a good activity against promastigotes (IC50 values < 45 μM) and all tested compounds have shown significant activity. The most active derivatives against promastigotes, 19 and 20, were also the most effective compounds against amastigotes. The derivatives 19 and 20 significantly reduced the number of intracellular amastigotes per macrophage (the mean number of amastigotes/macrophage after treatment with derivative 19 or 20 for 24 h ≈ 0.6–0.7), the percentage of macrophage infectivity (≈35–40%) and infectivity index (infectivity index of macrophages cultured for 24 h in the presence of derivatives 19 and 20, respectively < 30) compared to the control group (the mean number of amastigotes/macrophage ≈ 1.7; the percentage of infected macrophages ≈ 75%; the infectivity index of macrophages ≈ 130). In addition, the compound 7 (IC50 value of 21 μM) has also been ranked among the most effective derivatives against amastigotes in terms of the percentage of macrophage infectivity (≈35%) and infectivity index (infectivity index < 30) [52].
In vitro antileishmanial experiments against both promastigote and amastigote forms of L. major, followed by structure-activity relationship studies, revealed that an acyclic amine at C-2 position of 1,3,4-thiadiazole ring connected to a distal hydrophilic atom (O or N) in the side chain has major role in the biological activity. Hence, compounds bearing a simple alkyl side chain (e.g., methyl, ethyl, c-propyl) were less potent compared to oxyalkyl and aminoalkyl derivatives. SAR studies showed that potent compounds possess an aliphatic chain of 2–4 carbons between two heteroatoms (nitrogen-oxygen and nitrogen-nitrogen, respectively) in the side chain. It can be concluded that the insertion of oxygen or nitrogen into the alkyl side chain improves antileishmanial activity [52].
3.2. The Significance of a Supplementary Heterocycle for the Antileishmanial Activity
The studies made by Tahghighi et al. [52,60] also offered some information about the significance of the heterocycle linked to the C-5 position of the 1,3,4-thiadiazole ring. The 5-nitrofurans 4, 5 and 6 bearing small alkyl side chains exhibited some antileishmanial activity (IC50 values of 50–55 μM), while the corresponding 5-nitrothiophene derivatives 16, 17 and 18 were less active (IC50 values of 64–98 μM). Concerning the oxyalkyl and aminoalkyl derivatives, the results were generally better for the 5-nitrofuran derivatives 4–15 (e.g., compounds 7–13 and 15). These studies confirmed that better antiinfective properties are exhibited by the compounds having a 5-nitrofuryl moiety, even though there are some exceptions. Thus, the most active derivatives 19 and 20 belong to the 5-nitrothiophene series. The hydroxypropyl derivative 19 was six times more potent than its 5-nitrofuran analog 8, while the derivative 24 was three times more potent than its 5-nitrofuran analog 14.
In vitro cytotoxicity determined against the mouse peritoneal macrophages for compounds exhibiting good antipromastigote activity (IC50 values < 45 μM) showed macrophage toxicity for many derivatives (cytotoxic concentration for 50% inhibition CC50 values < 100 μM). There are derivatives, such as 7, 11, 15 and 25 which showed a low level of toxicity (CC50 values > 100 μM) or even tolerable toxicity to mouse peritoneal macrophages (derivatives 10, 13 and 23, CC50 values > 80 μM). The most active derivatives 19 and 20 showed toxicity against macrophage. However, these compounds showed the highest selectivity index (SI = CC50/IC50, SI values of 14.05 and 12.60, respectively). Interesting results were obtained for compound 15 which showed the lowest cytotoxicity (IC50 value of 33 μM, CC50 value of 367.65 μM and SI value of 11.14) (Table 1) [52].
As the biological studies have shown, the antileishmanial activity is also maintained when the distal nitrogen is included in heteroaromatic rings such as 1,2,3-triazole or pyridine [52,69]. In the series of N-[(1-benzyl-1H-1,2,3-triazol-4-yl)methyl]-5-(5-nitrofuran-2-yl)-1,3,4-thiadiazol-2-amines 26–34 which were evaluated for their in vitro antileishmanial activity against promastigote (extracellular parasite) and amastigote (intramacrophage parasite) forms of L. major, 4-methylbenzyl analog 32 was the most potent compound (IC50 value of 12.2 μM) [69].

C-2 amine in these compounds is also acyclic, but 1,2,3-triazole ring acts as a nitrogen- containing heterocycle in the distal position. The unsubstituted benzyl derivative 26 showed good activity (IC50 value of 19.6 μM) and introduction of different substituents on the benzyl group slightly increased or even decreased the biological activity. Significant activity (IC50 values < 20 μM) was exhibited by halogenated derivatives having 2-halo-substitutions (e.g., derivatives 27, 29, 33, 34) (Table 2) [69].
Table 2.
Details and IC50 values of compounds 26–34.
The compounds exhibiting a good antipromastigote activity (IC50 values < 25 μM) were also evaluated for their activity against amastigote form of L. major in murine peritoneal macrophage. All tested compounds showed a significant antiamastigote activity. Compound 32, the most active derivative against promastigotes, was also the most effective compound against amastigotes. The derivative 32 significantly decreased the number of intracellular amastigotes per macrophage (the mean number of amastigotes/macrophage after treatment with derivative 32 for 24 h ≈ 0.7), the percentage of macrophage infectivity (≈33%) and infectivity index (≈25) compared to the control group (the mean number of amastigotes/macrophage ≈ 2.1; the percentage of infected macrophages ≈ 77%; the infectivity index of macrophages ≈ 160) [69].
The replacement of the 1,2,3-triazole ring in the side chain with pyridine was well-tolerated. The in vitro antileishmanial studies showed good activity for pyridine-3-yl derivative 35 (IC50 value of 26 μM, CC50 value of 41.72 μM) and pyridine-2-yl derivative 36 (IC50 value of 36 μM, CC50 value of 111.71 μM) [52]. These results demonstrate that C-2 acyclic amine substituents have a high flexibility for chemical modifications and they determine the biological potency of the derivatives. The flexibility and conformational adaptation provided by this side chain can be another explanation for the biological activity of these compounds. By adding suitable substituents to the C-2 acyclic amine of 1,3,4-thiadiazole ring, the pharmacological and physicochemical properties of these compounds could be optimized [52,60,69].

3.3. Mesoionic Derivatives of 2-amino-1,3,4-thiadiazole Moiety
Mesoionic compounds are a special class of heterocycles that have provided many derivatives with a wide range of biological activities, including anti-inflammatory, analgesic, antibacterial, antifungal or antitumor activities [67]. Some mesoionic derivatives of the 1,3,4-thiadiazolium-2-aminide class such as 37–45 inhibited the in vitro growth of promastigote and amastigote forms of L. amazonensis [67]. All the compounds were more effective against the extracellular stage of the parasites (promastigote) compared to intracellular stage (amastigote). The authors found a few compounds (e.g., derivatives 37, 43 and 44—IC50 values of 0.47–0.52 μM) as active as the reference drug, pentamidine (IC50 value of 0.46 μM). Among the studied compounds, the most active against promastigote forms were the alkoxy derivatives 4-methoxy 38 and 3-methoxy 42 with IC50 values of 0.17 μM and 0.04 μM, respectively. Concerning the amastigote forms, the most active compounds were the halogenated derivatives 4-fluor 39 and 3-bromo 44 with IC50 values of 5.37 μM and 5.48 μM, respectively compared to pentamidine (IC50 value of 118 μM) (Table 3) [67].
Table 3.
Details, IC50 values, ED50 values and TD50 values of compounds 37–45 [61,67].

A major difference in the sensitivity of both life stages of L. amazonensis was observed for all tested compounds. The high sensitivity of promastigotes compared to amastigotes can suggest the different mechanisms in the antileishmanial activity. It seems that inhibition depends on the differences between the promastigotes and amastigotes surface structure. In addition, the electronic and lipophilic parameters of the derivatives as well as the pH value of the experimental medium can influence the biological activity [67].
Furthermore, the effectiveness of mesoionic derivatives 37–45 against L. braziliensis and L. chagasi was investigated. The general activity profile of the compounds showed that the biological activity was influenced by the type of the group attached to the 3- and 4-position of the 5-cinnamoyl-1,3,4-thiadiazole nucleus. Particular differences in their median effective dose (ED50) values were observed. Thus, the derivatives bearing electron-donating groups such as methoxy (derivatives 38 and 42) exhibited very potent activity against one species (L. amazonensis), while the derivatives bearing electron-withdrawing groups such as halogen (derivatives 39, 40, 41, 43) exhibited very potent or potent activity among the three species (L. amazonensis, L. braziliensis and L. chagasi) compared to pentamidine (ED50 value of 23.64 μM for L. amazonensis, 64.18 μM for L. braziliensis and 27.5 μM for L. chagasi).
The idea of developing a single effective drug against all forms of leishmaniasis seems unfeasible. Among the halogens, the fluorine is the strongest electron-withdrawing element and the derivative 39 was the most active compound against two species of Leishmania (IC50 values of 5.37 μM against L. amazonensis amastigotes and ED50 value of 3.42 μM against L. chagasi, respectively). The cytotoxic effect of these compounds was investigated on mouse peritoneal macrophages and expressed by the median toxic dose (TD50), showing greater safety compared to pentamidine for many of the studied derivatives. The compounds 39, 40, 41 and 43 exhibited high in vitro leishmanicidal activity combined with lower toxicity and therefore these compounds could be promising scaffolds to develop new therapeutic strategies for leishmaniasis treatment (Table 3) [61].
Additionally, in vivo studies made in the mouse L. amazonensis cutaneous infection model showed that the 4-methoxy derivative 38 exhibited comparable activity to the reference drug, meglumine antimoniate [70]. The derivative 38 was more effective than the non-substituted derivative 37. Thus, mice infected with L. amazonensis promastigotes (1.2 × 106) were treated with derivative 37 (24 mg/kg/day), derivative 38 (22 mg/kg/day) and meglumine antimoniate (100 mg/kg/day with 28 mg pentavalent antimonial), respectively, by a subcutaneous route. Treatment started in the fourth week after infection and continued for four weeks. Progression of the lesions was monitored until the week 12th post infection by measurement of footpad swelling. At the end of drug administration (week eight), there was a slight difference between the groups of mice treated with test compounds (lesion size ≈ 2 mm) or meglumine antimoniate (lesion size ≈ 2 mm) and untreated infected mice (lesion size ≈ 3.5 mm). At the 10th week post infection, there was an increased difference in footpad swelling between the mice treated with the test compound 38 (derivative 38, lesion size ≈ 3 mm; derivative 37, lesion size ≈ 6 mm) or meglumine antimoniate (lesion size ≈ 4 mm) and untreated infected mice (lesion size ≈ 7 mm), respectively. At the 12th week post infection, the results showed significantly differences between the groups of mice treated with test compounds (derivative 38, lesion size ≈ 6 mm; derivative 37, lesion size ≈ 9 mm) or meglumine antimoniate (lesion size ≈ 7 mm) and untreated infected mice (lesion size ≈ 14 mm), respectively [70]. The authors concluded that no significant differences in lesion size were observed in the groups treated with mesoionic compounds or meglumine antimoniate [70].
The animals were killed at the end of the experiment. The popliteal lymph nodes and spleens were removed, treated with mesoionic derivatives 37 and 38 and meglumine antimoniate, respectively, and the number of parasites was estimated by the limiting-dilution technique. The number of parasites in both lymph nodes and spleens of animals treated with mesoionic derivatives or meglumine antimoniate were significantly reduced compared to those of untreated control animals. In both cases, the reduction in the number of parasites after treatment with mesoionic derivatives was greater than that observed after meglumine antimoniate treatment (i.e., the number of parasites/mg tissue of lymph node in untreated animals ≈ 13,000, the number of parasites/mg tissue of lymph node in animals treated with meglumine antimoniate ≈ 3000, the number of parasites/mg tissue of lymph node in animals treated with mesoionic derivatives 37 or 38 < 1000, respectively) [70]. This suggests that there is a control of infection progression and the dissemination is limited. No apparent hepatic or renal toxicity following the treatment with mesoionic compounds was observed as evidenced by normal level of aspartate aminotransferase (AST) (i.e., 51 for untreated mice, 53 for mice treated with derivative 38 and 48 for mice treated with derivative 37), alanine aminotransferase (ALT) (i.e., 52 for untreated mice, 57 for mice treated with derivative 38 and 58 for mice treated with derivative 37) and creatinine concentrations (2.81 for untreated mice, 2.56 for mice treated with derivative 38, 2.84 for mice treated with derivative 37) [70]. It is difficult to determine whether in vitro activity of a compound will correlate with its in vivo activity because many factors such as bioavailability, toxicity and drug metabolism may influence the animal model. Fortunately in this case, the potent in vitro activity of compound 38 was in good agreement with its in vivo activity against L. amazonensis [61].
3.4. 2-Amino-1,3,4-thiadiazole Derivatives as Parasite Enzyme Inhibitors
3.4.1. Nitric Oxide Synthase Inhibitors
The healing of leishmaniasis appears to be dependent on the development of an effective immune response that activates macrophages to produce reactive nitrogen and oxygen metabolites to kill intracellular amastigotes. Imiquimod, which is an immunomodulator, proved to be a good adjunct to CL therapy [71]. Depending on their activation state, macrophages can either host or kill Leishmania. Inducible synthesis of nitric oxide (NO) and the presence of an oxidative burst are of crucial importance for the killing of parasites [71,72]. Experiments have revealed that NO-stimulated production by activated macrophages is the key factor in killing Leishmania intracellular parasites [71].
The chemistry of mesoionic rings, which allows them to behave as masked dipoles, has been an extensively researched area since the late 1950s. They possess a betaine-like character with a partial positive charge on the heterocyclic ring which is balanced by a negative charge located on an exocyclic atom. The large separation between the charged regions leads to large dipole moments. This structure with well-separated regions of positive and negative charge associated with a polyheteroatomic system, suggest a high probability of strong interaction with biomolecules such as DNA and proteins. Moreover, the overall neutral character of these compounds enables them to cross biological membranes [70,73,74]. It is known that some classes of mesoionic compounds such as sydnones, sydnonimines and oxatriazoles possess in vivo NO-releasing properties and their leishmanicidal mechanism of action seems to be via activation of macrophages. Several parasites are highly sensitive to NO and its derivatives. The thiadiazolium compounds are not NO donors but are capable to induce NO production in macrophage cultures resulting in killing or control of Leishmania parasites [61,74]. The function of NO in the leishmanicidal activity of activated macrophages has been demonstrated both in vitro and in vivo [75,76,77,78].
The experiments with the mesoionic derivatives showed a significant increase in NO production in lymph node cell culture supernatants of infected mice after treatment with derivative 38 (≈6 μM nitrite) compared to meglumine antimoniate (≈3.2 μM) and untreated mice (≈3.5 μM nitrite) [70]. NO production was assayed by measuring the nitrite concentrations present in the supernatant of the lymph node culture. These results might suggest that mesoionic compounds could activate the mechanisms that positively influence the host’s ability to remove the parasites from infected cells and to control the parasites dissemination [70]. On the other hand, there is evidence that Leishmania spp. can produce NO from L-arginine and the NO-L. amazonensis pathway is involved in the host-cell/parasite interaction. In vitro experiments to find intracellular targets of antileishmanial drugs revealed that mesoionic derivatives can decrease the NO production of the parasite. Thus, the methoxy derivatives 38 and 42, which have been shown to be cytotoxic to L. amazonensis, reduced from 70 to 90% of the NO production of parasites and acted on a soluble nitric oxide synthase (NOS) purified from L. amazonensis promastigotes and axenic amastigotes. The reference drug, pentamidine isethionate, was able to inhibit only 2% of NO production [70,74].
The mesoionic 1,3,4-thiadiazolium derivatives 46–48, tested on promastigotes and axenic amastigotes of L. amazonensis, were more effective against axenic amastigotes (X = H, OCH3 and NO2 and IC50 values of 9.5, 13 and 5.5 μM, respectively) compared to pentamidine (IC50 value of 118 μM). A low toxicity (~10%) to mouse peritoneal macrophage was observed compared to pentamidine (49%). In an attempt to define a potential molecular target, the activities of NOS and arginase of the parasites treated with the mesoionic derivatives were evaluated. Arginase hydrolyzes L-arginine to L-ornithine and urea and it favors parasite growth. L-Arginine plays a central role in the biosynthesis of various products. Thus, L-arginine is involved in the production of both NO, mediated by NOS, and L-ornithine, mediated by arginase. Since NO in micromolar concentration is cytotoxic for microbial organisms, it can be seen that NOS and arginase pathways have opposite biological effects. All derivatives were able to inhibit the parasite NOS, the nitro-derivative 48 being the most active (28% inhibition of the NADPH consumption by NOS from promastigotes and 41% inhibition of the NADPH consumption by NOS purified from axenic amastigotes). In comparison, pentamidine was able to inhibit about 15% of NADPH consumption by NOS purified from parasite. Arginase activity from both stages of the parasite was measured using urea production. None of the investigated compounds were able to inhibit the arginase activity of axenic amastigotes. When tested with promastigotes, only the unsubstituted derivative 46 inhibited arginase activity. Thus, the derivatives 46 and 48 may be used as prototype molecules for the development of new therapeutic agents with high efficacy and low cytotoxicity [79].

However, further studies to elucidate the mechanism of action of mesoionic compounds and to identify new targets for defending organisms against Leishmania infection are needed [66,74]. Indeed, many recent studies emphasized the significance of metabolic pathways that are both essential for parasite survival and absent within the host. These include the research focused on the importance of trypanothione pathway for the survival and infectivity of parasites [58,80,81].
3.4.2. Inhibitors of Trypanothione Reductase/Tryparedoxin/Tryparedoxin Peroxidase System
Thiol-dependent redox metabolism is one of the unique metabolic features that distinguishes trypanosomatids from humans and provides reliable molecular targets for the selective development of drugs. An example of genetic features of trypanosomatids is the lack of genes encoding glutathione reductase (GR) and thioredoxin reductase, the main enzymes in the redox systems of most living organisms (i.e., the glutathione/glutaredoxin system and the thioredoxin system). Trypanosomatids are based, in turn, on trypanothione and flavoenzyme trypanothione reductase to support intracellular redox homeostasis [82]. Trypanothione (bis(glutathionyl)- spermidine, TS2—oxidized form of trypanothione, T(SH)2—reduced form of trypanothione) is an essential molecule for modulating oxidative stress in parasites. Trypanothione synthesis is catalyzed by two key enzymes: trypanothione synthetase (TryS) and trypanothione reductase (TryR). TryS is responsible for the synthesis of trypanothione from one molecule of spermidine and two molecules of glutathione using the energy provided by two ATP molecules. TryR maintains trypanothione in its reduced form T(SH)2 using NADPH as cofactor. NADPH can be supplied by the oxidative phase of the pentose phosphate pathway via glucose 6-phosphate dehydrogenase [58,82]. Reduced form of trypanothione T(SH)2 is used by the tryparedoxin/tryparedoxin peroxidase system (TXN/TXNPx) to reduce hydrogen peroxide, alkyl-hydroperoxide and other reactive oxygen species produced by the macrophage. The T(SH)2/TryR/TXN/TXNPx system replaces many of the antioxidant and metabolic functions of glutathione GSH/glutathione reductase GR and thioredoxin/thioredoxin reductase systems present in mammals (Figure 6) [80,81,83].
Figure 6.
Glutathione and trypanothione-based redox systems in mammals and Leishmania spp. parasites. GSSG: glutathione disulfide, ROOH: alkyl-hydroperoxide, ONOOH: peroxynitrite, ROH: alcohol, NO2: nitrite (adapted from [81,82]).
It has been shown that TryR, TryS and TXN/TXNPx are essential for the survival of parasites by protecting them against oxidative stress [58]. The enzymes of the trypanothione pathway are absent in humans but essential for parasite survival, therefore they are considered among the best targets for the discovery of antileishmanial drugs [80]. The enzyme trypanothione reductase TryR was described in 1985 [84] and is a validated drug target in trypanosomatid diseases [73]. Thus, in order to investigate the mechanism of action, the mesoionic derivatives 37, 38, 42 and 45 studied before were evaluated to determine their effect on TryR activity. Three species of Leishmania were selected: L. amazonensis, L. braziliensis, and L. infantum. Among the studied compounds, only the nitro-derivative 45 exhibited enzyme inhibition in extracts from cultures of parasites. At a concentration of 1 μM, the nitro-derivative 45 was able to inhibit 76% of NADPH consumption by TryR in L. amazonensis extracts, 70% in L. infantum and 69.5% in L. braziliensis compared with the control. The enzyme kinetics determined with LiTryR demonstrated a non-competitive inhibition profile with IC50 value of 1.63 μM. These results indicate that TryR could be a molecular target for the derivative 45. Molecular docking studies have indicated that these mesoionic compounds could effectively fit into the substrate binding site together with the substrate molecule [73]. The derivative 45 was also active on L. amazonensis promastigotes with IC50 value of 1 μM [67].

However, TryR has structural similarity to human glutathione reductase GR, which can make it difficult to design selective derivatives against this enzyme [58]. Under these conditions, TryS remains the most promising target since it is a low-abundance, essential enzyme in Leishmania with no human homologs [83]. The importance of TryS activity for the viability of the parasites has been demonstrated in vitro and in vivo by genetic and pharmacological methods on T. brucei brucei and L. infantum [82]. A kinetic model of trypanothione T(SH)2 metabolism in T. cruzi predicted that in order to diminish the T(SH)2 synthesis by 50%, it is necessary either to inhibit TryS by 63% or more than 98% of TryR. It seems that moderate inhibition of TryS might be a promising target in drug development. Instead, highly potent and specific TryR inhibitors are needed to affect the antioxidant capabilities of the parasites [85]. In addition, TryS has several advantages as a molecular target candidate in drug development: it is encoded by a single copy gene, the TryS structure of L. major has been elucidated, TryS has been shown to provide metabolic control to the trypanothione pathway in T. cruzi and kinetic information is available for multiple TryS [82,85,86,87,88].
3.4.3. Pteridine Reductase-1 Inhibitors
Scientific works in the field of antiparasitic therapy has demonstrated that inhibition of enzymes involved in the parasites life cycle, such as dihydrofolate reductase (DHFR), thymidylate synthase (TS) and pteridine reductase (PTR1) should provide effective treatment. Even if DHFR inhibitors (antifolates) can severely affect DNA replication resulting in cell death, they are not currently used in the antiparasitic therapy mainly because of the PTR1 activity of the target organisms. PTR1 is a dehydrogenase/reductase that is able of effecting successive reductions of both conjugated (folate) and unconjugated (biopterin) pterins [68]. Leishmania protozoan parasites are auxotrophic for both folates and unconjugated pteridines. Leishmania saves these metabolites from their mammalian hosts and insect vectors through several transporters. Within the parasite, folates are reduced by a bifunctional DHFR-TS enzyme and by PTR1 [89]. On the other hand, biopterin taken from the host is sequentially reduced to dihydrobiopterin (H2B) and tetrahydrobiopterin (H4B) by PTR1 [90]. Genetic studies on L. major have demonstrated that PTR1 is essential for the growth of parasitic promastigotes. In the case of Leishmania mutants lacking the PTR1 enzyme, the growth of promastigotes in culture is not possible unless supplementary of H2B or H4B is added. These mutants gave more infectious parasites that produced larger lesions when injected into mice. This indicates that Leishmania mutants lacking the PTR1 enzyme are viable in vivo, probably due to abundant H4B in host macrophages and consequently that PTR1 alone is not a drug target in L. major [90,91].
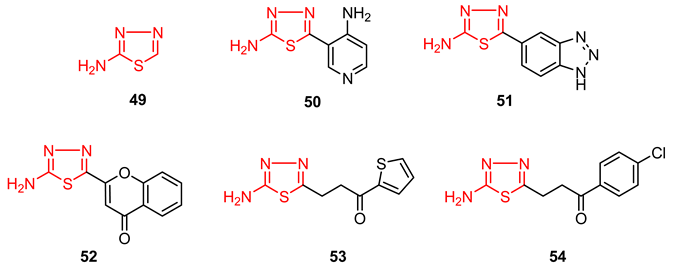
Previous studies have shown that simultaneous inhibition of parasitic DHFR and TS ensures the parasites survival through PTR1 overexpression [92,93]. The amplification of PTR1 in Leishmania spp. is one of several mechanisms by which parasites acquire resistance to antifolate drugs [90]. Since PTR1 can act on a broader range of substrates, this suggests that simultaneous inhibition of parasitic DHFR and PTR1 could result in the death of parasites [92,93]. Ferrari et al. [68] made a virtual screening combined with experimental studies to identify L. major PTR1 (LmPTR1) inhibitors as potential antiparasitic agents. A virtual calculated ternary complex of LmPTR1-NADPH-2-amino-1,3,4-thiadiazole showed the ligand to be involved in multiple interactions. Based on this model, the 5 position of 2-amino-1,3,4-thiadiazole scaffold has huge potency to bind different types of substituents. Taking into account the inhibitory activity of 2-amino-1,3,4-thiadiazole 49 against LmPTR1 (IC50 value of 5600 μM), different 2-amino-5-R-1,3,4-thiadiazole derivatives were synthesized. The compounds were tested against L. major enzymes—LmPTR1 and LmDHFR, and against the human DHFR (hDHFR) [68].
The derivatives 49–54 showed competitive inhibition of LmPTR1 with IC50 values between 22 and 309 μM (IC50 values: 50—31 μM; 51—309 μM; 52—22 μM; 53—29 μM; 54—89 μM). All compounds were more active compared to 2-amino-1,3,4-thiadiazole 46. The screening of LmDHFR inhibition revealed that these derivatives have low or no specificity for LmDHFR. Only two derivatives, 52 and 53 inhibited LmDHFR with IC50 values of 1300 μM and 139 μM, respectively. Fortunately only one derivative, 53, exhibited an inhibitory activity against hDHFR (IC50 value of 300 μM). From these results it can be concluded that this class of derivatives are selective LmPTR1 inhibitors [68].

The selected compounds 50–54, both as single agents and in combination with pyrimethamine—5-(4-chlorophenyl)-6-ethyl pyrimidine-2,4-diamine, were also studied for their inhibitory activity against the promastigotes of L. mexicana and L. major. As single agents, the compounds were inactive or moderately active on parasites growth (e.g., derivatives 51, 52 and 53 exhibited a moderate effect on L. major promastigotes with an inhibition rate of 14.9% to 24.0% at a concentration of 50 μg/mL). Pyrimethamine is a known DHFR inhibitor used as antimalarial drug and with no activity in leishmaniasis. However, the combination of 1,3,4-thiadiazole derivatives 50–54 with pyrimethamine resulted in the growth inhibition of both L. mexicana (growth inhibition in the range 65–85%) and L. major (growth inhibition in the range 59–85%) promastigotes. The best results were obtained for the combination of 30 μg/mL of pyrimethamine with 50 μg/mL of compound 50 (85% inhibition of growth of L. mexicana promastigotes) and 30 μg/mL of pyrimethamine with 50 μg/mL of compound 52 (85% inhibition of growth of L. major promastigotes). In addition, compound 50 exhibited a very low toxicity against the human fibroblasts MRC-5 (10% inhibition of growth of MRC-5 cells at 100 μg/mL), suggesting a better safety profile compared to other studied compounds. These results show that selective LmPTR1 inhibitors alone do not exhibit antiparasitic activity and suggest that the combination of DHFR inhibitors with PTR1 inhibitors might be an effective treatment for leishmaniasis and possibly other parasitic diseases [68].
4. Conclusions
Leishmaniasis is a serious public health problem in developing countries of tropical and subtropical areas and in economically disadvantaged regions [46,59]. Tourism, business travel and immigration have led to the spreading of leishmaniasis in the industrialized world among populations that are not immune to these parasites [59]. Although significant advances have been made in the treatment of leishmaniasis over the last decade, the available antileishmanial drugs require long-term treatment, high cost and cause serious side effects due to toxicity [70]. The antileishmaniasis therapy remains a major unmet medical need, particularly for people with a weak immune system and lack of financial resources. Early diagnosis and access to safe medicines increase the chances of treatment and survival of affected people [59]. The lack of an authorized vaccine, together with a lack of effective medication and a significant drug resistance worldwide, has made it imperative to research for new, inexpensive, efficient and safe antileishmanial drugs [47,60]. Thiadiazole is a versatile moiety and the thiadiazole derivatives have been widely studied for medical, agricultural and industrial applications. Literature surveys report the antileishmanial properties of 2-amino-1,3,4-thiadiazole derivatives and SAR studies have shown the structural units that are important for pharmacological activity. In addition, a good solution to avoid drug resistance could be the development of new drugs with new mechanisms of action. A new strategy that could be used to combat leishmanial infections is the targeting of enzymes that are essential for the survival of parasites and several candidates with 2-amino-1,3,4-thiadiazole skeleton are identified as parasitic enzymes inhibitors. Although further studies are needed to confirm the quality of 2-amino-1,3,4-thiadiazole derivatives as a new class of antileishmanial agents, these results open new ways for the development of therapeutic approaches to manage leishmanial infections by novel technologies.
Funding
This research received no external funding.
Conflicts of Interest
The author declares no conflict of interest.
References
- Shukla, P.K.; Verma, A.; Mishra, P. Significance of nitrogen heterocyclic nuclei in the search of pharmacological active compounds. In New Perspective in Agricultural and Human Health; Shukla, R.P., Mishra, R.S., Tripathi, A.D., Yadav, A.K., Tiwari, M., Mishra, R.R., Eds.; Bharti Publication: New Delhi, India, 2017; pp. 100–126. [Google Scholar]
- Pearce, S. The importance of heterocyclic compounds in anti-cancer drug design. DDW 2017, Summer 2017, 66–70. Available online: https://www.ddw-online.com/therapeutics/p320375-the-importance-of -heterocyclic-compounds-in-anti-cancer-drug-design.html (accessed on 17 January 2019).
- Diaba, F.; Montiel, J.A.; Serban, G.; Bonjoch, J. Synthesis of normorphans through an efficient intramolecular carbamoylation of ketones. Org. Lett. 2015, 17, 3860–3863. [Google Scholar] [CrossRef] [PubMed]
- Serban, G.; Abe, H.; Takeuchi, Y. Synthetic studies of substituted pyridine aldehydes as intermediates for the synthesis of toddaquinoline, its derivatives and other natural products. Heterocycles 2011, 83, 1989–2000. [Google Scholar] [CrossRef]
- Serban, G.; Abe, H.; Takeuchi, Y.; Harayama, T. A new approach to the benzopyridoxepine core by metal mediated intramolecular biaryl ether formation. Heterocycles 2008, 75, 2949–2958. [Google Scholar] [CrossRef]
- Serban, G.; Shigeta, Y.; Nishioka, H.; Abe, H.; Takeuchi, Y.; Harayama, T. Studies toward the synthesis of toddaquinoline by intramolecular cyclization. Heterocycles 2007, 71, 1623–1630. [Google Scholar] [CrossRef]
- Dawood, K.M.; Farghaly, T.A. Thiadiazole inhibitors: A patent review. Expert Opin. Ther. Pat. 2017, 27, 477–505. [Google Scholar] [CrossRef] [PubMed]
- Haider, S.; Alam, M.S.; Hamid, H. 1,3,4-Thiadiazoles: A potent multi targeted pharmacological scaffold. Eur. J. Med. Chem. 2015, 92, 156–177. [Google Scholar] [CrossRef]
- Serban, G.; Stanasel, O.; Serban, E.; Bota, S. 2-Amino-1,3,4-thiadiazole as a potential scaffold for promising antimicrobial agents. Drug Des. Dev. Ther. 2018, 12, 1545–1566. [Google Scholar] [CrossRef] [PubMed]
- Liu, S. Adrenergic agents. In Wilson and Gisvold’s Textbook of Organic Medicinal and Pharmaceutical Chemistry, 12th ed.; Beale, J.M., Jr., Block, J.H., Eds.; Lippincott Williams and Wilkins, Wolters Kluwer: Philadelphia, PA, USA, 2011; Chapter 16; p. 538. [Google Scholar]
- Shekhar, A.; Potter, W.Z.; Lightfoot, J.; Lienemann, J.; Dube, S.; Mallinckrodt, C.; Bymaster, F.P.; McKinzie, D.L.; Felder, C.C. Selective muscarinic receptor agonist xanomeline as a novel treatment approach for schizophrenia. Am. J. Psychiatry 2008, 165, 1033–1039. [Google Scholar] [CrossRef] [PubMed]
- Mirza, N.R.; Peters, D.; Sparks, R.G. Xanomeline and the antipsychotic potential of muscarinic receptor subtype selective agonists. CNS Drug Rev. 2003, 9, 158–186. [Google Scholar] [CrossRef]
- Karuna Announces First Patient Dosed in Phase 2 Study of Lead Product Candidate KarXT for the Treatment of Schizophrenia, 15 October 2018. Available online: https://www.businesswire.com/news/ home/20181014005040/en/Karuna-Announces-Patient-Dosed-Phase-2-Study (accessed on 18 January 2019).
- Proshin, A.N.; Serkov, I.V.; Bachurin, S.O. 5-Amino-1,2,4-thiadiazole derivatives. European Patent Application, EP 2 628 734 A2, 21 August 2013. [Google Scholar]
- Pandeya, S.N.; Yadav, M.K. Synthesis and in-vivo analgesic activity of 1,2,4-thiadiazole derivatives. Int. J. ChemTech Res. 2012, 4, 618–624. [Google Scholar]
- Zalewski, P.; Skibinski, R.; Szymanowska-Powalowska, D.; Piotrowska, H.; Bednarski, W.; Cielecka-Piontek, J. Radiolytic studies of cefozopran hydrochloride in the solid state. Electron. J. Biotechnol. 2017, 25, 28–32. [Google Scholar] [CrossRef]
- Long, T.E.; Williams, J.T. Cephalosporins currently in early clinical trials for the treatment of bacterial infections. Expert Opin. Investig. Drugs 2014, 23, 1–13. [Google Scholar] [CrossRef] [PubMed]
- Kanafani, Z.A.; Corey, G.R. Ceftaroline: A cephalosporin with expanded Gram-positive activity. Future Microbiol. 2009, 4, 25–33. [Google Scholar] [CrossRef] [PubMed]
- Scheeren, T.W.L. Ceftobiprole medocaril in the treatment of hospital-acquired pneumonia. Future Microbiol. 2015, 10, 1913–1928. [Google Scholar] [CrossRef] [PubMed]
- Davison, E.K.; Sperry, J. Synthesis of the 1,2,4-thiadiazole alkaloids polycarpathiamines A and B. Org. Chem. Front. 2016, 3, 38–42. [Google Scholar] [CrossRef]
- Heitz, S.; Durgeat, M.; Guyot, M.; Brassy, C.; Bachet, B. Nouveau derive indolique du thiadiazole-1,2,4, isole d’un tunicier (Dendrodoagrossularia). Tetrahedron Lett. 1980, 21, 1457–1458. [Google Scholar] [CrossRef]
- Pham, C.D.; Weber, H.; Hartmann, R.; Wray, V.; Lin, W.; Lai, D.; Proksch, P. New cytotoxic 1,2,4-thiadiazole alkaloids from the ascidian Polycarpaaurata. Org. Lett. 2013, 15, 2230–2233. [Google Scholar] [CrossRef]
- Chen, M.; Lin, S.; Li, L.; Zhu, C.; Wang, X.; Wang, Y.; Jiang, B.; Wang, S.; Li, Y.; Jiang, J.; et al. Enantiomers of an indole alkaloid containing unusual dihydrothiopyran and 1,2,4-thiadiazole rings from the root of Isatisindigotica. Org. Lett. 2012, 14, 5668–5671. [Google Scholar] [CrossRef]
- Hipler, F.; Winter, M.; Fischer, R.A. N-H···S hydrogen bonding in 2-mercapto-5-methyl-1,3,4-thiadiazole. Synthesis and crystal structures of mercapto functionalized 1,3,4-thiadiazoles. J. Mol. Struct. 2003, 658, 179–191. [Google Scholar] [CrossRef]
- Li, Y.; Geng, J.; Liu, Y.; Yu, S.; Zhao, G. Thiadiazole—A promising structure in Medicinal Chemistry. ChemMedChem 2013, 8, 27–41. [Google Scholar] [CrossRef] [PubMed]
- Hu, Y.; Li, C.Y.; Wang, X.M.; Yang, Y.H.; Zhu, H.L. 1,3,4-Thiadiazole: Synthesis, reactions and applications in medicinal, agricultural, and materials chemistry. Chem. Rev. 2014, 114, 5572–5610. [Google Scholar] [CrossRef]
- Bhuva, H.; Sahu, D.; Shah, B.N.; Modi, D.C.; Patel, M.B. Biological profile of thiadiazole. Pharmacologyonline 2011, 1, 528–543. [Google Scholar]
- Wermuth, C.G.; Aldous, D.; Raboisson, P.; Rognan, D. The Practice of Medicinal Chemistry, 4th ed.; Academic Press: Cambridge, MA, USA; Elsevier: London, UK, 2015; p. 196. [Google Scholar]
- Holla, B.S.; Poorjary, K.N.; Rao, B.S.; Shivananda, M.K. New bis-aminomercaptotriazoles and bis-triazolothiadiazoles as possible anticancer agents. Eur. J. Med. Chem. 2002, 37, 511–517. [Google Scholar] [CrossRef]
- Senff-Ribeiro, A.; Echevarria, A.; Silva, E.F.; Franco, C.R.C.; Veiga, S.S.; Oliveira, M.B.M. Cytotoxic effect of a new 1,3,4-thiadiazolium mesoionic compound (MI-D) on cell lines of human mellanoma. Br. J. Cancer 2004, 91, 297–304. [Google Scholar] [CrossRef]
- Ciotti, M.M.; Humphreys, S.R.; Venditti, J.M.; Kaplan, N.O.; Goldin, A. The antileukemic action of two thiadiazole derivatives. Cancer Res. 1960, 20, 1195–1201. [Google Scholar]
- Juszczak, M.; Matysiak, J.; Brzana, W.; Niewiadomy, A.; Rzeski, W. Evaluation of antiproliferative activity of 2-(monohalogenophenylamino)-5-(2,4-dihydroxyphenyl)-1,3,4-thiadiazoles. Arzneim. Forsch. Drug Res. 2008, 58, 353–357. [Google Scholar] [CrossRef] [PubMed]
- Matysiak, J. Evaluation of antiproliferative effect in vitro of some 2-amino-5-(2,4-dihydroxyphenyl)-1,3,4-thiadiazole derivatives. Chem. Pharm. Bull. 2006, 54, 988–991. [Google Scholar] [CrossRef] [PubMed][Green Version]
- Matysiak, J.; Opolski, A. Synthesis and antiproliferative activity of N-substituted 2-amino-5-(2,4-dihydroxyphenyl)-1,3,4-thiadiazoles. Bioorg. Med. Chem. 2006, 14, 4483–4489. [Google Scholar] [CrossRef]
- Rzeski, W.; Matysiak, J.; Kandefer-Szerszen, M. Anticancer, neuroprotective activities and computational studies of 2-amino-1,3,4-thiadiazole based compound. Bioorg. Med.Chem. 2007, 15, 3201–3207. [Google Scholar] [CrossRef]
- Asbury, R.; Blessing, J.A.; Moore, D. A phase II trial of aminothiadiazole in patients with mixed mesodermal tumors of the uterine corpus: A gynecologic oncology group study. Am. J. Clin. Oncol. 1996, 19, 400–402. [Google Scholar] [CrossRef] [PubMed]
- Elson, P.L.; Kvols, L.K.; Vogl, S.E.; Glover, D.J.; Hahn, R.G.; Trump, D.L. Phase II trials of 5-day vinblastine infusion (NSC 49842), L-alanosine (NSC153353), acivicin (NSC 163501), and aminothiadiazole (NSC 4728) in patientswith recurrent or metastatic renal cell carcinoma. Investig. New Drugs 1988, 6, 97–103. [Google Scholar] [CrossRef]
- Engstrom, P.F.; Ryan, L.M.; Falkson, G.; Haller, D.G. Phase II study of aminothiadiazole in advanced squamous cell carcinoma of the esophagus. Am. J. Clin. Oncol. 1991, 14, 33–35. [Google Scholar] [CrossRef] [PubMed]
- Locker, G.Y.; Kilton, L.; Khandekar, J.D.; Lad, T.E.; Knop, R.H.; Albain, K.; Blough, R.; French, S.; Benson, A.B. High-dose aminothiadiazole in advanced colorectal cancer. An Illinois Cancer Center phase II trial. Investig. New Drugs 1994, 12, 299–301. [Google Scholar] [CrossRef]
- Serban, G. 5-Arylamino-1,3,4-thiadiazol-2-yl acetic acid esters as intermediates for the synthesis of new bisheterocyclic compounds. Farmacia 2015, 63, 146–149. [Google Scholar]
- Horvath, T.; Serban, G.; Cuc, S. Synthesis of new 2-phenylamino-5-[(α-acylamino)-p-X-stiryl]-1,3,4-thiadiazole compounds. Farmacia 2014, 62, 422–427. [Google Scholar]
- Serban, G.; Suciu, A.; Coman, M.; Curea, E. Synthesis and physical-chemical study of some 3-(5-arylamino-1,3,4-thiadiazol-2-yl)coumarins. Farmacia 2002, 50, 50–54. [Google Scholar]
- Serban, G.; Coman, M.; Curea, E. Synthesis of some heterocyclic nitrocoumarins by Knoevenagel condensation. Farmacia 2005, 53, 78–84. [Google Scholar]
- Serban, G.; Matinca, D.; Bradea, O.; Gherman, L.; Coman, M.; Curea, E. The study of the biological activity of some heterocyclic coumarins. Farmacia 2005, 53, 91–99. [Google Scholar]
- Serban, G.; Coman, M.; Curea, E.; Proinov, L. Synthesis and description of some heterocyclic coumarins. Farmacia 2001, 49, 45–52. [Google Scholar]
- Lemke, T.L. Antiparasitic agents. In Foye’s Principles of Medicinal Chemistry, 7th ed.; Lemke, T.L., Williams, D.A., Roche, V.F., Zito, S.W., Eds.; Lippincott Williams and Wilkins, Wolters Kluwer: Baltimore, MD, USA, 2013; p. 1126. [Google Scholar]
- Andrews, K.T.; Fisher, G.; Skinner-Adams, T.S. Drug repurposing and human parasitic protozoan diseases. Int. J. Parasitol. Drugs Drug Resist. 2014, 4, 95–111. [Google Scholar] [CrossRef] [PubMed]
- World Health Organization, Department of Control of Neglected Tropical Diseases. Working to Overcome the Global Impact of Neglected Tropical Diseases: First WHO Report on Neglected Tropical Diseases; WHO Press: Geneva, Switzerland, 2010; ISBN 978 92 4 1564090. Available online: https://apps.who.int/iris/bitstream/handle/10665/44440/9789241564090_eng.pdf;jsessionid=016AB1F2B46847F532878327511591A8?sequence=1 (accessed on 25 September 2017).
- Chandler, J.A.; James, P.M. Discovery of Trypanosomatid Parasites in Globally Distributed Drosophila Species. PLoS ONE 2013, 8, e61937. [Google Scholar] [CrossRef] [PubMed]
- Linciano, P.; Dawson, A.; Poohner, I.; Costa, D.M.; Sa, M.S.; Cordeiro-da-Silva, A.; Luciani, R.; Gul, S.; Witt, G.; Ellinger, B.; et al. Exploiting the 2-amino-1,3,4-thiadiazole scaffold to inhibit Trypanosoma brucei pteridine reductase in support of early-stage drug discovery. ACS Omega 2017, 2, 5666–5683. [Google Scholar] [CrossRef] [PubMed]
- World Health Organization. Neglected Tropical Diseases. Available online: http://www.who.int/neglected_diseases/diseases/en/ (accessed on 21 July 2018).
- Tahghighi, A.; Emami, S.; Razmi, S.; Marznaki, F.R.; Ardestani, S.K.; Dastmalchi, S.; Kobarfard, F.; Shafiee, A.; Foroumadi, A. New 5-(nitroheteroaryl)-1,3,4-thiadiazoles containing acyclic amines at C-2: Synthesis and SAR study for their antileishmanial activity. J. Enzyme Inhib. Med. Chem. 2013, 28, 843–852. [Google Scholar] [CrossRef] [PubMed]
- Poorrajab, F.; Ardestani, S.K.; Emami, S.; Behrouzi-Fardmoghadam, M.; Shafiee, A.; Foroumadi, A. Nitroimidazolyl-1,3,4-thiadiazole-based anti-leishmanial agents: Synthesis and in vitro biological evaluation. Eur. J. Med. Chem. 2009, 44, 1758–1762. [Google Scholar] [CrossRef] [PubMed]
- Tiuman, T.S.; Santos, A.O.; Ueda-Nakamura, T.; Dias Filho, B.P.; Nakamura, C.V. Recent advances in leishmaniasis treatment. Int. J. Infect. Dis. 2011, 15, e525–e532. [Google Scholar] [CrossRef] [PubMed]
- World Health Organization. Leishmaniasis. Available online: http://www.who.int/mediacentre/factsheets /fs375/en/Leishmaniasis (accessed on 25 September 2017).
- World Health Organization, Department of Control of Neglected Tropical Diseases. Leishmaniasis in high-burden countries: An epidemiological update based on data reported in 2014. Wkly. Epidemiol. Rec. 2016, 91, 285–296. Available online: https://www.who.int/neglected diseases/ resources /who_wer9122/en/ (accessed on 25 September 2017).
- Al-Qahtani, A.; Siddiqui, Y.M.; Bekhit, A.A.; El-Sayed, O.A.; Aboul-Enein, H.Y.; Al-Ahdal, M.N. Inhibition of growth of Leishmania donovani promastigotes by newly synthesized 1,3,4-thiadiazole analogs. Saudi Pharm. J. 2009, 17, 227–232. [Google Scholar] [CrossRef] [PubMed]
- Nagle, A.S.; Khare, S.; Kumar, A.B.; Supek, F.; Buchynskyy, A.; Mathison, C.J.N.; Chennamaneni, N.K.; Pendem, N.; Buckner, F.S.; Gelb, M.H.; et al. Recent developments in drug discovery for leishmaniasis and human African trypanosomiasis. Chem. Rev. 2014, 114, 11305–11347. [Google Scholar] [CrossRef]
- World Health Organization. Leishmaniasis. 14 March 2018. Available online: http://www.who.int/news- room/fact-sheets/detail/leishmaniasis (accessed on 10 July 2018).
- Tahghighi, A.; Babalouei, F. Thiadiazoles: The appropriate pharmacological scaffolds with leishmanicidal and antimalarial activities: A review. Iran. J. Basic Med. Sci. 2017, 20, 613–622. [Google Scholar]
- Rodrigues, R.F.; da Silva, E.F.; Echevarria, A.; Fajardo-Bonin, R.; Amaral, V.F.; Leon, L.L.; Canto-Cavalheiro, M. A comparative study of mesoionic compounds in Leishmania sp. and toxicity evaluation. Eur. J. Med. Chem. 2007, 42, 1039–1043. [Google Scholar] [CrossRef] [PubMed]
- Cobo, F. Leishmaniasis. In Imported Infectious Diseases: TheImpact inDeveloped Countries, 1st ed.; Woodhead Publishing Elsevier: Cambridge, UK, 2014; pp. 234–236. ISBN 978-1-907568-57-2. [Google Scholar]
- Passero, L.F.D.; Laurenti, M.D.; Santos-Gomes, G.; Soares Campos, B.L.; Sartorelli, P.; Lago, J.H.G. In vivo antileishmanial activity of plant-based secondary metabolites. In Fighting Multidrug Resistance with Herbal Extracts, Essential Oils and Their Components, 1st ed.; Rai, M., Kon, K., Eds.; Academic Press: Cambridge, MA, USA; Elsevier: London, UK, 2013; pp. 96–97. [Google Scholar]
- Frezard, F.; Demicheli, C.; Da Silva, S.M.; Azevedo, E.G.; Ribeiro, R.R. Nanostructures for improved antimonial therapy of leishmaniasis. In Nano- and Microscale Drug Delivery Systems: Design and Fabrication, 1st ed.; Grumezescu, A.M., Ed.; Elsevier: Amsterdam, The Netherlands, 2017; p. 421. [Google Scholar]
- Pund, S.; Joshi, A. Nanoarchitectures for neglected tropical diseases: Challenges and state of the art. In Nano- and Microscale Drug Delivery Systems: Design andFabrication, 1st ed.; Grumezescu, A.M., Ed.; Elsevier: Amsterdam, The Netherlands, 2017; p. 449. [Google Scholar]
- Tahghighi, A.; Marznaki, F.R.; Kobarfard, F.; Dastmalchi, S.; Mojarrad, J.S.; Razmi, S.; Ardestani, S.K.; Emami, S.; Shafiee, A.; Foroumadi, A. Synthesis and antileishmanial activity of novel 5-(5-nitrofuran-2-yl)-1,3,4-thiadiazoles with piperazinyl-linked benzamidine substituents. Eur. J. Med. Chem. 2011, 46, 2602–2608. [Google Scholar] [CrossRef] [PubMed]
- Da Silva, E.F.; Canto-Cavalheiro, M.M.; Braz, V.R.; Cysne-Finkelstein, L.; Leon, L.L.; Echevarria, A. Synthesis and biological evaluation of new 1,3,4-thiadiazolium-2-phenylamine derivatives against Leishmania amazonensis promastigotes and amastigotes. Eur. J. Med. Chem. 2002, 37, 979–984. [Google Scholar] [CrossRef]
- Ferrari, S.; Morandi, F.; Motiejunas, D.; Nerini, E.; Henrich, S.; Luciani, R.; Venturelli, A.; Lazzari, S.; Calo, S.; Gupta, S.; et al. Virtual screening identification of nonfolate compounds, including a CNS drug, as antiparasitic agents inhibiting pteridine reductase. J. Med. Chem. 2011, 54, 211–221. [Google Scholar] [CrossRef] [PubMed]
- Tahghighi, A.; Razmi, S.; Mahdavi, M.; Foroumadi, P.; Ardestani, S.K.; Emami, S.; Kobarfard, F.; Dastmalchi, S.; Shafiee, A.; Foroumadi, A. Synthesis and antileishmanial activity of 5-(5-nitrofuran-2-yl)-1,3,4-thiadiazol-2-amines containing-N-[(1-benzyl-1H-1,2,3-triazol-4-yl)methyl]moieties. Eur. J. Med. Chem. 2012, 50, 124–128. [Google Scholar] [CrossRef] [PubMed]
- Rodrigues, R.F.; Charret, K.S.; da Silva, E.F.; Echevarria, A.; Amaral, V.F.; Leon, L.L.; Canto-Cavalheiro, M. Antileishmanial activity of 1,3,4-thiadiazolium-2-aminide in mice infected with Leishmania amazonensis. Antimicrob. Agents Chemother. 2009, 53, 839–842. [Google Scholar] [CrossRef] [PubMed][Green Version]
- Pourrajab, F.; Forouzannia, S.K.; Tabatabaee, S.A. Novel immunomodulatory function of 1,3,4-thiadiazole derivatives with leishmanicidal activity. J. Antimicrob. Chemother. 2012, 67, 1968–1978. [Google Scholar] [CrossRef]
- Liew, F.Y.; Wei, X.Q.; Proudfoot, L. Cytokines and nitric oxide as effector molecules against parasitic infections. Philos. Trans. R. Soc. Lond. B Biol. Sci. 1997, 352, 1311–1315. [Google Scholar] [CrossRef]
- Rodrigues, R.F.; Castro-Pinto, D.; Echevarria, A.; dos Reis, C.M.; Del Cistia, C.N.; Sant’Anna, C.M.R.; Teixeira, F.; Castro, H.; Canto-Cavalheiro, M.; Leon, L.L.; et al. Investigation of trypanothione reductase inhibitory activity by 1,3,4-thiadiazolium-2-aminide derivatives and molecular docking studies. Bioorg. Med. Chem. 2012, 20, 1760–1766. [Google Scholar] [CrossRef]
- Soares-Bezerra, R.J.; da Silva, E.F.; Echevarria, A.; Gomes-da-Silva, L.; Cysne-Finkelstein, L.; Monteiro, F.P.; Leon, L.L.; Genestra, M. Effect of mesoionic 4-phenyl-5-(cinnamoyl)-1,3,4-thiadiazolium-2-phenylamine chloride derivative salts on the activities of the nitric oxide synthase and arginase of Leishmaniaamazonensis. J. Enzyme Inhib. Med. Chem. 2008, 23, 328–333. [Google Scholar] [CrossRef][Green Version]
- Kavoosi, G.; Ardestani, S.K.; Kariminia, A.Z.; Tavakoli, Z. Production of nitric oxide by murine macrophages induced by lipophosphoglycan of Leishmania major. Korean J. Parasitol. 2006, 44, 35–41. [Google Scholar] [CrossRef] [PubMed][Green Version]
- Lemos de Souza, V.; Souza, J.A.; Silva, T.M.C.; Veras, P.S.T. Different Leishmania species determine distinct profiles of immune and histopathological responses in CBA mice. Microbes Infect. 2000, 2, 1807–1815. [Google Scholar] [CrossRef]
- Liew, F.Y.; Li, Y.; Moss, D.; Parkinson, C.; Rogers, M.V.; Moncada, S. Resistance to Leishmania majorinfection correlates with the inductionof nitric oxide synthase in murine macrophages. Eur. J. Immunol. 1991, 21, 3009–3014. [Google Scholar] [CrossRef]
- Nashleanas, M.; Scott, P. Activated T cells induce macrophages to produce NO and controle Leishmania major in the absence of tumor necrosis factor receptor p55. Infect Immun. 2000, 68, 1428–1434. [Google Scholar] [CrossRef]
- Soares-Bezerra, R.J.; Leon, L.L.; Echevarria, A.; Reis, C.M.; Gomes-Silva, L.; Agostinho, C.G.; Fernandes, R.A.; Canto-Cavalheiro, M.M.; Genestra, M.S. In vitro evaluation of 4-phenyl-5-(4′-X-phenyl)-1,3,4-thiadiazolium-2-phenylaminide chlorides and 3[N-4′-X-phenyl]-1,2,3-oxadiazolium-5-olate derivatives on nitric oxide synthase and arginase activities of Leishmania amazonensis. Exp. Parasitol. 2013. [Google Scholar] [CrossRef][Green Version]
- Colotti, G.; Baiocco, P.; Fiorillo, A.; Boffi, A.; Poser, E.; Di Chiaro, F.; Ilari, A. Structural insights into the enzymes of the trypanothione pathway: Targets forantileishmaniasis drugs. Future Med. Chem. 2013, 5, 1861–1875. [Google Scholar] [CrossRef]
- Khan, M.O.F. Trypanothione reductase: A viable chemotherapeutic target for antitrypanosomal and antileishmanial drug design. Drug Target Insights 2007, 2, 129–146. [Google Scholar] [CrossRef]
- Benitez, D.; Medeiros, A.; Fiestas, L.; Panozzo-Zenere, E.A.; Maiwald, F.; Prousis, K.C.; Roussaki, M.; Calogeropoulou, T.; Detsi, A.; Jaeger, T.; et al. Identification of novel chemical scaffolds inhibiting trypanothione synthetase from pathogenic trypanosomatids. PLoS Negl. Trop. Dis. 2016, 10, e0004617. [Google Scholar] [CrossRef] [PubMed]
- Ilari, A.; Fiorillo, A.; Genovese, I.; Colotti, G. An update on structural insights into the enzymes of the polyamine-trypanothione pathway: Targets for new drugs against leishmaniasis. Future Med. Chem. 2017, 9, 61–77. [Google Scholar] [CrossRef]
- Fairlamb, A.H.; Blackburn, P.; Ulrich, P.; Chait, B.T.; Cerami, A. Trypanothione: A novel bis(glutathionyl)spermidine cofactor for glutathione reductase in trypanosomatids. Science 1985, 227, 1485–1487. [Google Scholar] [CrossRef]
- Olin-Sandoval, V.; Gonzalez-Chavez, Z.; Berzunza-Cruz, M.; Martinez, I.; Jasso-Chavez, R.; Becker, I.; Espinoza, B.; Moreno-Sanchez, R.; Saavedra, E. Drug target validation of the trypanothione pathway enzymes through metabolic modeling. FEBS J. 2012, 279, 1811–1833. [Google Scholar] [CrossRef] [PubMed]
- Spinks, D.; Torrie, L.S.; Thompson, S.; Harrison, J.R.; Frearson, J.A.; Read, K.D.; Fairlamb, A.H.; Wyatt, P.G.; Gilbert, I.H. Design, synthesis and biological evaluation of Trypanosoma brucei trypanothione synthetase inhibitors. Chem. Med. Chem. 2012, 7, 95–106. [Google Scholar] [CrossRef]
- Sousa, A.F.; Gomes-Alves, A.G.; Benitez, D.; Comini, M.A.; Flohe, L.; Jaeger, T.; Passos, J.; Stuhlmann, F.; Tomas, A.M.; Castro, H. Genetic and chemical analyses reveal that trypanothione synthetase but not glutathionylspermidine synthetase is essential for Leishmania infantum. Free Radic. Biol. Med. 2014, 73, 229–238. [Google Scholar] [CrossRef]
- Fyfe, P.K.; Oza, S.L.; Fairlamb, A.H.; Hunter, W.N. Leishmania trypanothione synthetase-amidase structure reveals a basis for regulation of conflicting synthetic and hydrolytic activities. J. Biol. Chem. 2008, 283, 17672–17680. [Google Scholar] [CrossRef] [PubMed]
- Vickers, T.J.; Beverley, S.M. Folate metabolic pathways in Leishmania. Essays Biochem. 2011, 51, 63–80. [Google Scholar] [CrossRef]
- Sienkiewicz, N.; Ong, H.B.; Fairlamb, A.H. Trypanosoma brucei pteridine reductase 1 is essential for survival in vitro and for virulence in mice. Mol. Microbiol. 2010, 77, 658–671. [Google Scholar] [CrossRef] [PubMed]
- Ong, H.B.; Sienkiewicz, N.; Wyllie, S.; Fairlamb, A.H. Dissecting the Metabolic Roles of Pteridine Reductase 1 in Trypanosoma brucei and Leishmania major. J. Biol. Chem. 2011, 286, 10429–10438. [Google Scholar] [CrossRef] [PubMed]
- Nare, B.; Luba, J.; Hardy, L.W.; Beverley, S. New approaches to Leishmania chemotherapy: Pteridine reductase 1 (PTR1) as a target and modulator of antifolate sensitivity. Parasitology 1997, 114, S101–S110. [Google Scholar]
- Cavazzuti, A.; Paglietti, G.; Hunter, W.N.; Gamarro, F.; Piras, S.; Loriga, M.; Allecca, S.; Corona, P.; McLuskey, K.; Tulloch, L.; et al. Discovery of potent pteridine reductase inhibitors to guide antiparasite drug development. Proc. Natl. Acad. Sci. USA 2008, 105, 1448–1453. [Google Scholar] [CrossRef] [PubMed]
© 2019 by the author. Licensee MDPI, Basel, Switzerland. This article is an open access article distributed under the terms and conditions of the Creative Commons Attribution (CC BY) license (http://creativecommons.org/licenses/by/4.0/).