Silibinin Downregulates the NF-κB Pathway and NLRP1/NLRP3 Inflammasomes in Monocytes from Pregnant Women with Preeclampsia
Abstract
1. Introduction
2. Results
2.1. Clinical Characteristics
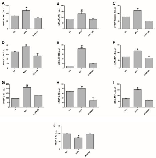
2.2. Gene Expression in Monocytes Cultured with MSU or SB
2.3. Determination of NF-κB in Monocyte Nuclear Extracts
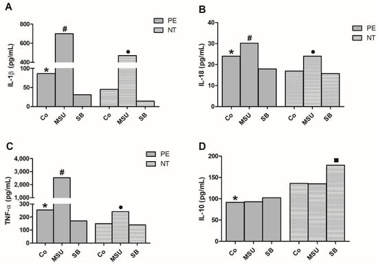
2.4. Cytokine Production by Monocytes from Pregnant Women
2.5. Analysis of the Expression of NF-κB Pathway in Monocytes
2.6. Gene Expression in THP-1 Cells Cultured with MSU or SB
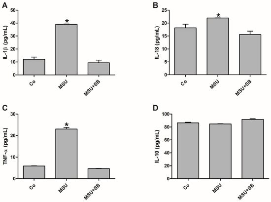
2.7. Cytokine Production by THP-1 cells Cultured with MSU and/or SB
2.8. Inflammasomes Protein Componentes in THP-1 Cells Cultured with MSU and/or SB
3. Discussion
4. Materials and Methods
4.1. Subjects
4.2. Blood Sampling
4.3. Monocyte Cultures
4.4. THP-1 Cell culture
4.5. Nuclear Extraction of Monocytes
4.6. Determination of p65NF-κB Activity
4.7. Cytokine Determinations
4.8. Expression of Transcripts Related to Inflammation
4.9. Expression of Intracytoplasmic Factors and TLR4 Receptor in Monocytes
4.10. Evaluation of Proteins Related to Inflammasomes in THP-1 Cells
4.11. Statistical Analysis
Author Contributions
Funding
Conflicts of Interest
References
- Dixit, N.; Baboota, S.; Kohli, K.; Ahmad, S.; Ali, J. Sylimarin: A review of pharmacological aspects and bioavailabity enhacement approaches. Indian J. Pharmacol. 2007, 39, 172–179. [Google Scholar] [CrossRef]
- Abenavoli, L.; Izzo, A.A.; Milić, N.; Cicala, C.; Santini, A.; Capasso, R. Milk thistle (Silybum marianum): A concise overview on its chemistry, pharmacological, and nutraceutical uses in liver diseases. Phytother. Res. 2018, 32, 2202–2213. [Google Scholar] [CrossRef] [PubMed]
- Bannwart, C.F.; Nakaira-Takahagi, E.; Golim, M.A.; Medeiros, L.T.L.; Romão, M.; Weel, I.C.; Peraçoli, M.T. Downregulation of nuclear factor kappa B (NF-κB) pathway by silibinin in human monocytes challenged with Paracoccidioides brasiliensis. Life Sci. 2010, 86, 880–886. [Google Scholar] [CrossRef] [PubMed]
- Bannwart, C.F.; Peraçoli, J.C.; Nakaira-Takahagi, E.; Peraçoli, M.T. Inhibitory effect of silibinin on tumour necrosis factor-alpha and hydrogen peroxide production by human monocytes. Nat. Prod. Res. 2010, 24, 1747–1757. [Google Scholar] [CrossRef]
- Manna, S.K.; Mukhopadhyay, A.; Van, N.T.; Aggarwal, B.B. Silymarin suppress TNF-induced activation of NF-kB, c-Jun N-terminal kinase, and apoptosis. J. Immunol. 1999, 163, 6800–6809. [Google Scholar]
- Esmaeil, N.; Anaraki, S.B.; Gharagozloo, M.; Moayedi, B. Silymarin impacts on immune system as an immunomodulator: One key for many locks. Int. Immunopharmacol. 2017, 50, 194–201. [Google Scholar] [CrossRef]
- Sibai, B.; Dekker, G.; Kupferminc, M. Pre-eclampsia. Lancet 2005, 365, 785–799. [Google Scholar] [CrossRef]
- Ghulmiyyah, L.; Sibai, B. Maternal mortality from preeclampsia/eclampsia. Semin. Perinatol. 2012, 36, 56–59. [Google Scholar] [CrossRef]
- American College of Obstetricians and Gynecologists; Task Force on Hypertension in Pregnancy. Hypertension in pregnancy: Report of the American College of Obstetricians and Gynecologists’ Task Force on Hypertension in Pregnancy. Obstet. Gynecol. 2013, 122, 1122–1131. [Google Scholar]
- Tranquilli, A.L.; Dekker, G.; Magee, L.; Roberts, J.; Sibai, B.M.; Steyn, W.; Zeeman, G.G.; Brown, M.A. The classification, diagnosis and management of the hypertensive disorders of pregnancy: A revised statement from the ISSHP. Pregnancy Hypertens. 2014, 4, 97–104. [Google Scholar] [CrossRef] [PubMed]
- Mol, B.W.; Roberts, C.T.; Thangaratinam, S.; Magee, L.A.; Groot, C.G.; Hofmeyr, G.J. Pre-eclampsia. Lancet 2016, 387, 999–1011. [Google Scholar] [CrossRef]
- Luppi, P.; Deloia, J.A. Monocytes of preeclamptic women spontaneously synthesize pro-inflammatory cytokines. Clin. Immunol. 2006, 118, 268–275. [Google Scholar] [CrossRef]
- Peraçoli, J.C.; Rudge, M.V.C.; Peraçoli, M.T. Tumor necrosis fator-alpha in gestation and pueperium of women with gestational hypertension and pre-eclampsia. Am. J. Reprod Immunol. 2007, 57, 177–185. [Google Scholar] [CrossRef]
- Cristofalo, R.; Bannwart-Castro, C.F.; Magalhães, C.G.; Borges, V.T.; Peraçoli, J.C.; Witkin, S.S.; Peraçoli, M.T. Silibinin attenuates oxidative metabolism and cytokine production by monocytes from preeclamptic women. Free Radic. Res. 2013, 47, 268–275. [Google Scholar] [CrossRef]
- Peraçoli, M.T.S.; Bannwart, C.F.; Cristofalo, R.; Borges, V.T.M.; Costa, R.A.A.; Witkin, S.S.; Peraçoli, J.C. Increased reactive oxygen species and tumor necrosis factor-alpha production by monocytes are associated with elevated levels of uric acid in pre-eclamptic women. Am. J. Reprod Immunol. 2011, 66, 460–467. [Google Scholar] [CrossRef]
- Livingston, J.R.; Payne, B.; Brown, M.; Roberts, J.M.; Côté, A.M.; Magee, L.A.; von Dadelszen, P.; PIERS Study Group. Uric acid as a predictor of adverse maternal and perinatal outcomes in women hospitalized with preeclampsia. J. Obstet. Gynaecol. Can. 2014, 36, 870–877. [Google Scholar] [CrossRef]
- Zhao, J.; Zheng, D.Y.; Yang, J.M.; Wang, M.; Zhang, X.T.; Sun, L.; Yun, X.G. Maternal serum uric acid concentration is associated with the expression of tumour necrosis factor-α and intercellular adhesion molecule-1 in patients with preeclampsia. J. Hum. Hypertens. 2016, 30, 456–462. [Google Scholar] [CrossRef]
- Martinon, F.; Petrilli, V.; Mayor, A.; Tardivel, A.; Tshopp, J. Gout-associated uric acid crystals activate the NALP3 inflammasome. Nature 2006, 440, 237–241. [Google Scholar] [CrossRef]
- Kingsbury, S.R.; Conaghan, P.G.; McDermott, M. The role of the NLRP3 inflammasome in gout. J. Inflamm. Res. 2011, 4, 39–49. [Google Scholar]
- Stutz, A.; Kolbe, C.C.; Stahl, R.; Horvath, G.L.; Franklin, B.S.; van Ray, O.; Brinkschulte, R.; Geyer, M.; Meissner, F.; Latz, E. NLRP3 inflammasome assembly is regulated by phosphorylation of the pyrin domain. J. Exp. Med. 2017, 214, 1725–1736. [Google Scholar] [CrossRef]
- Schroder, K.; Tschopp, J. The inflammasomes. Cell 2010, 140, 821–832. [Google Scholar] [CrossRef]
- Jo, E.K.; Kim, J.K.; Shin, D.M.; Sasakawa, C. Molecular mechanisms regulating NLRP3 inflammasome activaction. Cell Mol. Immunol. 2016, 13, 148–159. [Google Scholar] [CrossRef]
- Giorgi, V.S.; Peraçoli, M.T.; Peraçoli, J.C.; Witkin, S.S.; Bannwart-Castro, C.F. Silibinin modulates the NF-κB pathway and pro-inflammatory cytokine production by mononuclear cells from preeclamptic women. J. Reprod. Immunol. 2012, 95, 67–72. [Google Scholar] [CrossRef] [PubMed]
- Matias, M.L.; Romão, M.; Weel, I.C.; Ribeiro, V.R.; Nunes, P.R.; Borges, V.T.; Araújo, J.P., Jr.; Peraçoli, J.C.; de Oliveira, L.; Peraçoli, M.T. Endogenous and uric acid-induced activation of NLRP3 inflammasome in pregnant women with preeclampsia. PLoS ONE 2015, 10, e0129095. [Google Scholar] [CrossRef] [PubMed]
- Souza, C.O.; Peraçoli, M.T.; Weel, I.C.; Bannwart, C.F.; Romão, M.; Nakaira-Takahagi, E.; Medeiros, L.T.; Silva, M.G.; Peraçoli, J.C. Hepatoprotective and anti-inflammatory effects of silibinin on experimental preeclampsia induced by L-NAME in rats. Life Sci. 2012, 91, 159–165. [Google Scholar] [CrossRef] [PubMed]
- Borzychowski, A.M.; Sargent, I.L.; Redman, C.W. Inflammation and pre-eclampsia. Semin. Fetal Neonatal Med. 2006, 11, 309–316. [Google Scholar] [CrossRef] [PubMed]
- Romão-Veiga, M.; Matias, M.L.; Ribeiro, V.R.; Nunes, P.R.; Borges, V.T.M.; Peraçoli, J.C.; Peraçoli, M.T.S. Induction of systemic inflammation by hyaluronan and hsp70 in women with pre-eclampsia. Cytokine 2018, 105, 23–31. [Google Scholar] [CrossRef]
- Chen, W.; Qian, L.; Wu, F.; Li, M.; Wang, H. Significance of toll-like receptor 4 signaling in peripheral blood monocytes of pre-eclamptic patients. Hypertens Pregnancy 2015, 34, 486–494. [Google Scholar] [CrossRef] [PubMed]
- Medeiros, L.T.; Peraçoli, J.C.; Bannwart-Castro, C.F.; Romão, M.; Weel, I.C.; Golim, M.A.; de Oliveira, L.G.; Kurokawa, C.S.; Borges, V.T.M.; Peraçoli, M.T. Monocytes from pregnant women with pre-eclampsia are polarized to a M1 phenotype. Am. J. Reprod. Immunol. 2014, 72, 5–13. [Google Scholar] [CrossRef]
- Khan, R.N.; Hay, D.P. A clear and present danger: Inflammasomes DAMPing down disorders of pregnancy. Hum. Reprod. Update 2015, 21, 388–405. [Google Scholar] [CrossRef]
- Peraçoli, J.C.; Bannwart-Castro, C.F.; Romão, M.; Weel, I.C.; Ribeiro, V.R.; Borges, V.T.; Rudge, M.V.; Witkin, S.S.; Peraçoli, M.T. High levels of heat shock protein 70 are associated with pro-inflammatory cytokines and may differentiate early- from late-onset preeclampsia. J. Reprod. Immunol. 2013, 100, 129–134. [Google Scholar] [CrossRef] [PubMed]
- Romão, M.; Weel, I.C.; Lifshitz, S.J.; Peraçoli, M.T.; Witkin, S. Elevated hyaluronan and extracellular matrix metalloproteinase inducer levels in women with preeclampsia. Arch. Gynecol. Obstet. 2014, 289, 575–579. [Google Scholar] [CrossRef]
- Naruse, K.; Sado, T.; Noguchi, T.; Tsunemi, T.; Yoshida, S.; Akasaka, J.; Koike, N.; Oi, H.; Kobayashi, H. Peripheral RAGE (receptor for advance glycation endproducts)-ligands in normal pregnancy and preeclampsia: Novel markers of inflammatory response. J. Reprod. Immunol. 2012, 93, 69–74. [Google Scholar] [CrossRef] [PubMed]
- Afonina, I.S.; Zhong, Z.; Karin, M.; Beyaert, R. Limiting inflammation-the negative regulation of NF-κB and the NLRP3 inflammasome. Nat. Immunol. 2017, 18, 861–869. [Google Scholar] [CrossRef]
- Striz, I.; Brabcova, E.; Kolesar, L.; Liu, X.D.; Brabcova, I.; Sekerkova, A.; Poole, J.A.; Jaresova, M.; Slavcev, A.; Rennard, S.I. Epithelial cells modulate genes associated with NF kappa B activation in co-cultured human macrophages. Immunobiology 2011, 216, 1110–1116. [Google Scholar] [CrossRef][Green Version]
- Vallabhapurapu, S.; Karin, M. Regulation and function of NF-kappaB transcription factors in the immune system. Annu. Rev. Immunol. 2009, 27, 693–733. [Google Scholar] [CrossRef]
- Moore, K.W.; de Waal Malefyt, R.; Coffman, R.L.; O’Garra, A. Interleukin-10 and the interleukin-10 receptor. Annu. Rev. Immunol. 2001, 19, 683–765. [Google Scholar] [CrossRef] [PubMed]
- Cubro, H.; Kashyap, S.; Nath, M.C.; Ackerman, A.W.; Garovic, V.D. The role of interleukin-10 in the pathophysiology of preeclampsia. Curr. Hypertens. Rep. 2018, 20, 36. [Google Scholar] [CrossRef] [PubMed]
- Kim, B.R.; Seo, H.S.; Ku, J.M.; Kim, G.J.; Jeon, C.Y.; Park, J.H.; Jang, B.H.; Park, S.J.; Shin, Y.C.; Ko, S.G. Silibinin inhibits the production of pro-inflammatory cytokines through inhibition of NF-κB signaling pathway in HMC-1 human mast cells. Inflamm. Res. 2013, 62, 941–950. [Google Scholar] [CrossRef]
- Saurai, P. Silymarin as a natural antioxidant: An overview of the current evidence and perspectives. Antioxidants 2015, 4, 204–247. [Google Scholar] [CrossRef] [PubMed]
- Zhang, B.; Wang, B.; Cao, S.; Wang, Y.; Wu, D. Silybin attenuates LPS-induced lung injury in mice by inhibiting NF-κB signaling and NLRP3 activation. Int. J. Mol. Med. 2017, 39, 1111–1118. [Google Scholar] [CrossRef]
- Zhang, B.; Xu, D.; She, L.; Wang, Z.; Yang, N.; Sun, R.; Zhang, Y.; Yan, C.; Wei, Q.; Aa, J.; et al. Silybin inhibits NLRP3 inflammasome assembly through the NAD+/SIRT2 pathway in mice with nonalcoholic fatty liver disease. FASEB J. 2018, 32, 757–767. [Google Scholar] [CrossRef]
- Li, C.Y.; Lam, K.W.; Yam, L.T. Esterases in human leukocytes. J. Histochem. Cytochem. 1973, 21, 1–12. [Google Scholar] [CrossRef]
- Lowry, O.H.; Rosebrough, N.J.; Farr, A.L.; Randall, R.J. Protein measurement with the Folin phenol reagent. J. Biol. Chem. 1951, 93, 265–275. [Google Scholar]
Sample Availability: Samples of the compounds are available from the authors. |







| Characteristics | Pregnant Women with Preeclampsia (n = 20) | NT Pregnant Women (n = 20) |
|---|---|---|
| Age (years) | 26 (17–41) | 27 (18–40) |
| Gestational age (weeks) | 34 (23–39) | 35 (23–40) |
| Systolic Blood Pressure (mmHg) | 160 * (140–200) | 110 (90–112) |
| Diastolic Blood Pressure (mmHg) | 110 * (90–120) | 69 (63–70) |
| Proteinuria (mg/24 h) | 7250 * (300–18800) | <300 |
| Uric acid (mg/dL) | 6.2 * (3.9–10.1) | 3.2 (2.3–4.7) |
| Gene | Forward Primer (5′–3′) | Reverse Primer (5′–3′) | GenBank |
|---|---|---|---|
| NLRP1 | (1728)TCCGGCTCCCATTAGACAGA(1747) | (1810)AGACCCATCCTGGCTCATCT(1791) | NM_033004.3 |
| NLRP3 | (2826)GAGGAAAAGGAAGGCCGACA(2845) | (2917)TGGCTGTTCACCAATCCATGA(2897) | NM_004895.4 |
| CASP1 | (1065)AGACATCCCACAATGGGCTC(1084) | (1172)TGAAAATCGAACCTTGCGGAAA(1151) | NM_033292.3 |
| TLR4 | (2274)TGCTTCTTGCTGGCTGCATA(2293) | (2359)CCAGTCCTCATCCTGGCTTG(2340) | NM_138554.4 |
| MYD88 | (263)GTCTCCTCCACATCCTCCCT(282) | (344)TCCGCACGTTCAAGAACAGA(325) | NM_001172567.1 |
| NFKB1 | (1072) TGCAGCAGACCAAGGAGATG(1091) | (1211) TGCATTGGGGGCTTTACTGT (1192) | NM_003998.3 |
| IL1B | (544)GAGCAACAAGTGGTGTTCTCC(564) | (653)AACACGCAGGACAGGTACAG(634) | NM_000576.2 |
| IL18 | (438)ACTGTAGAGATAATGCACCCCG(459) | (517)AGTTACAGCCATACCTCTAGGC(496) | NM_001562.3 |
| TNF | (325)GCTGCACTTTGGAGTGATCG(344) | (462)GGGTTTGCTACAACATGGGC(443) | NM_000594.3 |
| IL10 | (361)AAGACCCAGACATCAAGGCG(380) | (445)ATTCGATGACAGCGCCGTAG(426) | NM_000572.2 |
| GAPDH | (684)CGTGGAAGGACTCATGACCA(703) | (801)GGCAGGGATGATGTTCTGGA(782) | NM_002046.4 |
© 2019 by the authors. Licensee MDPI, Basel, Switzerland. This article is an open access article distributed under the terms and conditions of the Creative Commons Attribution (CC BY) license (http://creativecommons.org/licenses/by/4.0/).
Share and Cite
Matias, M.L.; Gomes, V.J.; Romao-Veiga, M.; Ribeiro, V.R.; Nunes, P.R.; Romagnoli, G.G.; Peracoli, J.C.; Peracoli, M.T.S. Silibinin Downregulates the NF-κB Pathway and NLRP1/NLRP3 Inflammasomes in Monocytes from Pregnant Women with Preeclampsia. Molecules 2019, 24, 1548. https://doi.org/10.3390/molecules24081548
Matias ML, Gomes VJ, Romao-Veiga M, Ribeiro VR, Nunes PR, Romagnoli GG, Peracoli JC, Peracoli MTS. Silibinin Downregulates the NF-κB Pathway and NLRP1/NLRP3 Inflammasomes in Monocytes from Pregnant Women with Preeclampsia. Molecules. 2019; 24(8):1548. https://doi.org/10.3390/molecules24081548
Chicago/Turabian StyleMatias, Mariana Leticia, Virginia Juliani Gomes, Mariana Romao-Veiga, Vanessa Rocha Ribeiro, Priscila Rezeck Nunes, Graziela Gorete Romagnoli, Jose Carlos Peracoli, and Maria Terezinha Serrao Peracoli. 2019. "Silibinin Downregulates the NF-κB Pathway and NLRP1/NLRP3 Inflammasomes in Monocytes from Pregnant Women with Preeclampsia" Molecules 24, no. 8: 1548. https://doi.org/10.3390/molecules24081548
APA StyleMatias, M. L., Gomes, V. J., Romao-Veiga, M., Ribeiro, V. R., Nunes, P. R., Romagnoli, G. G., Peracoli, J. C., & Peracoli, M. T. S. (2019). Silibinin Downregulates the NF-κB Pathway and NLRP1/NLRP3 Inflammasomes in Monocytes from Pregnant Women with Preeclampsia. Molecules, 24(8), 1548. https://doi.org/10.3390/molecules24081548

