Alcyonium Octocorals: Potential Source of Diverse Bioactive Terpenoids
Abstract
1. Introduction
2. Terpenoids from Alcyonium
2.1. Sesquiterpenes
2.2. Diterpenes
2.3. Steroids
3. Alcyonium Terpenoids; Current State and Future Aspect
4. Conclusions
Funding
Conflicts of Interest
References
- Newman, D.J.; Cragg, G.M. Drugs and Drug Candidates from Marine Sources: An Assessment of the Current “state of Play”. Planta Med. 2016, 82, 775–789. [Google Scholar] [CrossRef] [PubMed]
- Arrieta, J.M.; Arnaud-Haond, S.; Duarte, C.M.; Gaines, S.D. What lies underneath: Conserving the oceans’ genetic resources. Proc. Natl. Acad. Sci. USA 2010, 107, 18318–18324. [Google Scholar] [CrossRef] [PubMed]
- McFadden, C.S.; Ofwegen, L.P. VAN Revisionary systematics of the endemic soft coral fauna (Octocorallia: Alcyonacea: Alcyoniina) of the Agulhas Bioregion, South Africa. Zootaxa 2017, 4363, 451–488. [Google Scholar] [CrossRef]
- WoRMS-World Register of Marine Species. Available online: http://www.marinespecies.org (accessed on 5 April 2019).
- Gage, J.D.; Tyler, P.A. Deep-Sea Biology, A Natural History of Organisms at the Deep-Sea Floor; Cambridge University Press: Cambridge, UK, 1992. [Google Scholar]
- Shang, J.; Hu, B.; Wang, J.; Zhu, F.; Kang, Y.; Li, D.; Sun, H.; Kong, D.X.; Hou, T. Cheminformatic Insight into the Differences between Terrestrial and Marine Originated Natural Products. J. Chem. Inf. Model. 2018, 58, 1182–1193. [Google Scholar] [CrossRef] [PubMed]
- Blunt, J.W.; Copp, B.R.; Keyzers, R.A.; Munro, M.H.G.; Prinsep, M.R. Marine natural products. Nat. Prod. Rep. 2017, 34, 235–294. [Google Scholar] [CrossRef]
- Núñez-Pons, L.; Carbone, M.; Vázquez, J.; Gavagnin, M.; Avila, C. Lipophilic defenses from Alcyonium soft corals of Antarctica. J. Chem. Ecol. 2013, 39, 675–685. [Google Scholar] [CrossRef] [PubMed]
- Hegazy, M.E.F.; Mohamed, T.A.; Alhammady, M.A.; Shaheen, A.M.; Reda, E.H.; Elshamy, A.I.; Aziz, M.; Paré, P.W. Molecular architecture and biomedical leads of terpenes from Red Sea marine invertebrates. Mar. Drugs 2015, 13, 3154–3181. [Google Scholar] [CrossRef]
- Choudhary, A.; Naughton, L.M.; Mont, I.; Dobson, A.D.W.; Rai, D.K. Current Status and Future Prospects of Marine Natural Products (MNPs) as Antimicrobials. Mar. Drugs 2017, 15, 272. [Google Scholar] [CrossRef]
- Kong, D.X.; Jiang, Y.Y.; Zhang, H.Y. Marine natural products as sources of novel scaffolds: Achievement and concern. Drug Discov. Today 2010, 15, 884–886. [Google Scholar] [CrossRef]
- Tripathi, V.C.; Satish, S.; Horam, S.; Raj, S.; lal, A.; Arockiaraj, J.; Pasupuleti, M.; Dikshit, D.K. Natural products from polar organisms: Structural diversity, bioactivities and potential pharmaceutical applications. Polar Sci. 2018, 18, 147–166. [Google Scholar] [CrossRef]
- Fine, M.; Cinar, M.; Voolstra, C.R.; Safa, A.; Rinkevich, B.; Laffoley, D.; Hilmi, N.; Allemand, D. Coral reefs of the Red Sea-challenges and potential solutions. Reg. Stud. Mar. Sci. 2019, 25, 100498. [Google Scholar] [CrossRef]
- Alarif, W.M.; Abdel-Lateff, A.; Alorfi, H.S.; Alburae, N.A. Alcyonacea: A Potential Source for Production of Nitrogen-Containing Metabolites. Molecules 2019, 24, 286. [Google Scholar] [CrossRef]
- Chanmethakul, T.; Chansang, H.; Watanasit, S. Soft coral (Cnidaria: Alcyonacea) distribution patterns in Thai waters. Zool. Stud. 2010, 49, 72–84. [Google Scholar]
- Mayer, A.M.S.; Glaser, K.B.; Cuevas, C.; Jacobs, R.S.; Kem, W.; Little, R.D.; McIntosh, J.M.; Newman, D.J.; Potts, B.C.; Shuster, D.E. The odyssey of marine pharmaceuticals: A current pipeline perspective. Trends Pharmacol. Sci. 2010, 31, 255–265. [Google Scholar] [CrossRef]
- König, G.M.; Kehraus, S.; Seibert, S.F.; Abdel-Lateff, A.; Müller, D. Natural products from marine organisms and their associated microbes. ChemBioChem 2006, 7, 229–238. [Google Scholar] [CrossRef]
- Faulkner, D.J. Marine pharmacology. Antonie van Leeuwenhoek. Int. J. Gen. Mol. Microbiol. 2000, 77, 135–145. [Google Scholar]
- Newman, D.J.; Cragg, G.M. Current Status of Marine-Derived Compounds as Warheads in Anti-Tumor Drug Candidates. Mar. Drugs 2017, 15, 99. [Google Scholar] [CrossRef]
- McFadden, C.; van Ofwegen, L. Molecular phylogenetic evidence supports a new family of octocorals and a new genus of Alcyoniidae (Octocorallia, Alcyonacea). Zookeys 2013, 346, 59–83. [Google Scholar] [CrossRef]
- Mcfadden, C.S.; Donahue, R.; Hadland, B.K.; Weston, R. A molecular phylogenetic analysis of reproductive trait evolution in the soft coral genus alcyonium published by: The society for the study of evolution a molecular phylogenetic analysis of reproductive trait evolution in the soft coral genus alcyonium. Evolution 2001, 55, 54–67. [Google Scholar] [CrossRef]
- Bowden, B.B.F.; Coll, J.J.C.; Tapiolas, D.M.D. Studies of Australian Soft Corals. XXX A Novel Trisnorsesquiterpene from a Cespitularia Species and the Isolation of Guaiazulene from a Small Blue Alcyonium Species. Aust. J. Chem. 1983, 36, 211–214. [Google Scholar] [CrossRef]
- Guerriero, A.; Dematté, B.; D’Ambrosio, M.; Pietra, F. (+)-Coralloidin-A and (−)-Coralloidin-B, Two New Sesquiterpenoids from the Mediterranean Alcyonacean Alcyonium coralloides. J. Nat. Prod. 1986, 49, 608–613. [Google Scholar] [CrossRef]
- D’Ambrosio, M.; Guerriero, A.; Pietra, F. Coralloidin C, D, and E: Novel Eudesmane Sesquiterpenoids from the Mediterranean Alcyonacean Alcyonium coralloides. Helv. Chim. Acta 1987, 70, 612–620. [Google Scholar]
- Pika, J.; Faulkner, D.J. Four sesquiterpenes from the South African nudibranch Leminda millecra. Tetrahedron. J. Nat. Prod. 1994, 50, 3065–3070. [Google Scholar] [CrossRef]
- McPhail, K.L.; Davies-Coleman, M.T.; Starmer, J. Sequestered chemistry of the Arminacean nudibranch Leminda millecra in Algoa Bay, South Africa. J. Nat. Prod. 2001, 64, 1183–1190. [Google Scholar] [CrossRef] [PubMed]
- Cimino, G.; De Rosa, S.; De Stefano, S.; Sodano, G. A new furanosesquiterpene from the Mediterranean Alcyonacean Alcyonum Palmatum. J. Nat. Prod. 1984, 47, 877–878. [Google Scholar] [CrossRef]
- Hooper, G.J.; Davies-Coleman, M.T. Sesquiterpene hydroquinones from the South African soft coral Alcyonium fauri. Tetrahedron Lett. 1995, 36, 3265–3268. [Google Scholar] [CrossRef]
- Palermo, J.A.; Brasco, M.F.; Spagnuolo, C.; Seldes, A.M. Illudalane sesquiterpenoids from the soft coral Alcyonium paessleri: The first natural nitrate esters. J. Org. Chem. 2000, 65, 4482–4486. [Google Scholar] [CrossRef] [PubMed]
- Rodríguez Brasco, M.F.; Seldes, A.M.; Palermo, J.A. Paesslerins A and B: Novel Tricyclic Sesquiterpenoids from the Soft Coral Alcyonium Paessleri. Org. Lett. 2001, 3, 1415–1417. [Google Scholar] [CrossRef]
- Carbone, M.; Núñez-Pons, L.; Castelluccio, F.; Avila, C.; Gavagnin, M. Illudalane Sesquiterpenoids of the Alcyopterosin Series from the Antarctic Marine Soft Coral Alcyonium grandis. J. Nat. Prod. 2009, 72, 1357–1360. [Google Scholar] [CrossRef]
- Manzo, E.; Ciavatta, M.L.; Nuzzo, G.; Gavagnin, M. Terpenoid content of the Antarctic soft coral Alcyonium antarcticum. Nat. Prod. Commun. 2009, 4, 1615–1619. [Google Scholar] [CrossRef]
- Kashman, Y.; Carmely, S.; Groweiss, A. Further Cembranoid Derivatives from the Red Sea Soft Corals Alcyonium flaccidum and Lobophytum crassum. J. Org. Chem. 1981, 46, 3592–3596. [Google Scholar] [CrossRef]
- Kinamoni, Z.; Groweiss, A.; Carmely, S.; Kashman, Y.; Loya, Y. Several new cembranoid diterpenes from three soft corals of the red sea. Tetrahedron 1983, 39, 1643–1648. [Google Scholar] [CrossRef]
- Ambrosio, M.D.; Fabbri, D.; Guerriero, A.; Pietra, F.; Chimica, I.; Trento, U. Coralloidolide A and Coralloidolide B, the First Cembranoids from a Mediterranean Organism, the Alcyonacean Alcyonium coralloides. Helv. Chim. Acta 1986, 70, 63–70. [Google Scholar] [CrossRef]
- D’Ambrosio, M.; Guerriero, A.; Pietra, F. Novel cembranolides (Coralloidolide D and E) and a 3,7-Cyclized cembranolide (Coralloidolide C) from the mediterranean coral Alcyonium coralloides. Helv. Chim. Acta 1989, 72, 1590–1596. [Google Scholar] [CrossRef]
- D’Ambrosio, M.; Guerriero, A.; Pietra, F. Coralloidolide F, the First Example of a 2,6-Cyclized Cembranolide: Isolation from the Mediterranean Alcyonacean Coral Alcyonium coralloides. Helv. Chim. Acta 1990, 73, 804–807. [Google Scholar] [CrossRef]
- Kobayashi, M.; Yasuzawa, T.; Kobayashi, Y.; Kyogoku, Y.; Kitagawa, I. Alcyonolide, a novel diterpenoid from a soft coral. Tetrahedron Lett. 1981, 22, 4445–4448. [Google Scholar] [CrossRef]
- Coll, J.C.; Kearns, P.S.; Rideout, J.A. Isolation of a novel diterpene triacetate from two soft corals of the order Alcyonacea. J. Nat. Prod. 1998, 61, 835–837. [Google Scholar] [CrossRef]
- Bowden, B.F.; Coll, J.C.; Dai, M.C. Studies of australian soft corals. XLIII the structure elucidation of a new diterpene from Alcyonium molle. Aust. J. Chem. 1989, 42, 665–673. [Google Scholar] [CrossRef]
- Su, J.; Zheng, Y.; Zeng, L.; Pordesimo, E.O.; Schmitz, F.J.; Hossain, M.B.; van der Helm, D. Patagonicol: A diterpenoid from the Chinese soft coral Alcyonium patagonicum. J. Nat. Prod. 1993, 56, 1601–1604. [Google Scholar] [CrossRef]
- Lin, Y.; Bewley, C.A.; Faulkner, D.J.J. The valdivones, anti-inflammatory diterpene esters from the South African soft coral Alcyonium valdivae. Tetrahedron 1993, 49, 7977–7984. [Google Scholar] [CrossRef]
- Zubia, E.; Spinella, A.; Giusto, G.B.; Crispinoand, A.; Cimino, G. A new diterpenoid skeleton from the Mediterranean octocoral Alcyonium palmatum: Structure of palmatol. Tetrahedron Lett. 1994, 35, 7069–7072. [Google Scholar] [CrossRef]
- Rudi, A.; Ketzinel, S.; Goldberg, I.; Stein, Z.; Kashman, Y.; Benayahu, Y.; Schleyer, M. Antheliatin and Zahavins A and B, three new cytotoxic xenicane diterpenes from two soft corals. J. Nat. Prod. 1995, 58, 1581–1586. [Google Scholar] [CrossRef]
- Missakian, M.G.; Burreson, B.J.; Scheuer, P.J. Pukalide, a furanocembranolide from the soft coral Sinularia abrupta. Tetrahedron 1975, 31, 2513–2515. [Google Scholar] [CrossRef]
- Kobayashi, M.; Kanda, F.; Damarla, S.R.; Rao, D.V.; Rao, C.B. Marine sterols. XVII. Polyhydroxysterols of the soft corals of the andaman and nicobar coasts. (2). Isolation and atructures of three 16β-hydroxy steroidal glycosides from an Alcyonium sp. soft coral. Chem. Pharm. Bull. 1990, 38, 2400–2403. [Google Scholar] [CrossRef]
- Chen, W.-C.; Sheuz, J.-H.; Fangy, L.-S.; Hux, W.-P.; Sung, P.-J. 3α,7α,12α-Triacetoxy-5β-cholanic acid, a steroid from the Formosan soft coral Alcyonium sp. (Alcyoniidae). Nat. Prod. Res. 2006, 20, 748–753. [Google Scholar] [CrossRef]
- Kobayashi, M.; Kiyota, Y.; Orito, S.; Kyogoku, Y.; Kitagawa, I. Five new steroidal glycosides, pregnedioside-A, -B, and their three monoacetates, from an Okinawan soft coral of Alcyonium sp. Tetrahedron Lett. 1984, 25, 3731–3734. [Google Scholar] [CrossRef]
- Tomono, Y.; Hirota, H.; Imahara, Y.; Fusetani, N. Four new steroids from two octocorals. J. Nat. Prod. 1999, 62, 1538–1541. [Google Scholar] [CrossRef]
- Seo, Y.; Jung, J.H.; Rho, J.-R.; Shin, J.; Song, J.-I. Isolation of novel bioactive steroids from the soft coral Alcyonium gracillimum. Tetrahedron 1995, 51, 2497–2506. [Google Scholar] [CrossRef]
- Ruzicka, L. The isoprene rule and the biogenesis of terpenic compounds. Experientia 1953, 9, 357–367. [Google Scholar] [CrossRef]
- Blunt, J.W.; Copp, B.R.; Munro, M.H.G.; Northcote, P.T.; Prinsep, M.R. Marine natural products. Nat. Prod. Rep. 2005, 22, 15–61. [Google Scholar] [CrossRef]
- Fraga, B.M. Natural sesquiterpenoids. Nat. Prod. Rep. 2005, 22, 465–486. [Google Scholar] [CrossRef]
- Hanson, J.R. The sesterterpenoids. Nat. Prod. Rep. 1996, 3, 529–535. [Google Scholar] [CrossRef]
- Coll, J.C.; Bowden, B.F.; Tapiolas, D.M.; Willis, R.H.; Djura, P.; Streamer, M.; Trott, L. The terpenoid chemistry of soft corals and its implications. Tetrahedron 1985, 41, 1085–1092. [Google Scholar] [CrossRef]
- Hay, M.E.; Fenical, W. Marine plant–herbivore interactions: The ecology of chemical defense. Ann. Rev. Ecol. Syst. 1988, 19, 111–145. [Google Scholar] [CrossRef]
- Minale, L.; Iorizzi, M.; Palagiano, E.; Riccio, R. Steroid and triterpenoid oligogylcosides of marine origin. Adv. Exp. Med. Biol. 1996, 404, 335–356. [Google Scholar] [PubMed]
- Djerassi, C. Recent studies in the marine sterol field. Pure Appl. Chem. 1981, 53, 873–890. [Google Scholar] [CrossRef]
- Hanson, J.R. Diterpenoids. Nat. Prod. Rep. 2005, 22, 594–602. [Google Scholar] [CrossRef] [PubMed]
- Pennock, J.F. Terpenoids in marine invertebrates. Int. Rev. Biochem. 1977, 14, 153–213. [Google Scholar]
- Andersen, R.J.; De Silva, E.D.; Dumdei, E.J.; Northcote, P.T.; Pathirana, C.; Tischler, M. Terpenoids from selected marine invertebrates. In Recent Advances in Phytochemistry; Towers, G.H.N., Stafford, H.A., Eds.; Plenum Press: New York, NY, USA, 1990; Volume 24, pp. 265–282. [Google Scholar]
- Bakus, G.J.; Targett, N.M.; Schulte, B. Chemical ecology of marine organisms: An overview. J. Chem. Ecol. 1986, 12, 951–987. [Google Scholar] [CrossRef] [PubMed]
- Hay, M.E. Marine chemical ecology: What’s known and what’s next? J. Exp. Mar. Biol. Ecol. 1996, 200, 103–134. [Google Scholar] [CrossRef]
- Connolly, J.D.; Hill, R.A. Triterpenoids. Nat. Prod. Rep. 2005, 22, 487–503. [Google Scholar] [CrossRef]
- Paul, V.J.; Puglisi, M.P. Chemical mediation of interactions among marine organisms. Nat. Prod. Rep. 2004, 21, 189–209. [Google Scholar] [CrossRef]
- Coll, J.C. The chemistry and chemical ecology of octocorals (Coelenterata, Anthozoa, Octocorallia). Chem. Rev. 1992, 92, 613–631. [Google Scholar]
- Fusetani, N. Biofouling and antifouling. Nat. Prod. Rep. 2004, 21, 94–104. [Google Scholar] [CrossRef]
- McClintock, J.B.; Baker, B.J. A review of the chemical ecology of Antarctic marine invertebrates. Am. Zool. 1997, 37, 329–342. [Google Scholar] [CrossRef]
- Proksch, P. Defensive roles for secondary metabolites from marine sponges and sponge-feeding nudibranchs. Toxicon 1994, 32, 639–655. [Google Scholar] [CrossRef]
- Zubair, M.; Alarif, W.M.; Al-Footy, K.O.; PH, M.; Aly, M.; Basaif, S.; Al-Lihaibi, S.; Ayyad, S.-E. New antimicrobial biscembrane hydrocarbon and cembranoid diterpenes from the soft coral Sarcophyton trocheliophorum. Turk. J. Chem. 2016, 40, 385–392. [Google Scholar] [CrossRef]
- Welford, A.J.; Collins, I. The 2,11-cyclized cembranoids: Cladiellins, asbestinins, and briarellins (period 1998–2010). J. Nat. Prod. 2011, 74, 2318–2328. [Google Scholar] [CrossRef]
- Hsiao, T.-H.; Sung, C.-S.; Lan, Y.-H.; Wang, Y.-C.; Lu, M.-C.; Wen, Z.-H.; Wu, Y.-C.; Sung, P.-J. New Anti-Inflammatory Cembranes from the Cultured Soft Coral Nephthea columnaris. Mar. Drugs 2015, 13, 3443–3453. [Google Scholar] [CrossRef]
- Hsiao, T.-H.; Cheng, C.-H.; Wu, T.-Y.; Lu, M.-C.; Chen, W.-F.; Wen, Z.-H.; Dai, C.-F.; Wu, Y.-C.; Sung, P.-J. New Cembranoid Diterpenes from the Cultured Octocoral Nephthea columnaris. Molecules 2015, 20, 13205–13215. [Google Scholar] [CrossRef]
- Huang, H.-W.; Tang, J.-Y.; Ou-Yang, F.; Wang, H.-R.; Guan, P.-Y.; Huang, C.-Y.; Chen, C.-Y.; Hou, M.-F.; Sheu, J.-H.; Chang, H.-W. Sinularin Selectively Kills Breast Cancer Cells Showing G2/M Arrest, Apoptosis, and Oxidative DNA Damage. Molecules 2018, 23, 849. [Google Scholar] [CrossRef]
- Noah, C.-A.; Wu, W.-T.; Dai, G.-F.; Su, J.-H.; Liu, C.-I.; Su, T.-R.; Wu, Y.-J. Flaccidoxide-13-Acetate Extracted from the Soft Coral Cladiella kashmani Reduces Human Bladder Cancer Cell Migration and Invasion through Reducing Activation of the FAK/PI3K/AKT/mTOR Signaling Pathway. Molecules 2018, 23, 58. [Google Scholar] [CrossRef]
- Lee, Y.-S.; Duh, T.-H.; Siao, S.-S.; Chang, R.-C.; Wang, S.-K.; Duh, C.-Y. New Cytotoxic Terpenoids from Soft Corals Nephthea chabroli and Paralemnalia thyrsoides. Mar. Drugs 2017, 15, 392. [Google Scholar] [CrossRef]
- Wu, J.; Xi, Y.; Huang, L.; Li, G.; Mao, Q.; Fang, C.; Shan, T.; Jiang, W.; Zhao, M.; He, W.; et al. A Steroid-Type Antioxidant Targeting the Keap1/Nrf2/ARE Signaling Pathway from the Soft Coral Dendronephthya gigantea. J. Nat. Prod. 2018, 81, 2567–2575. [Google Scholar] [CrossRef]
- Wu, Q.; Li, H.; Yang, M.; Jia, A.-Q.; Guo, Y.-W. Two new cembrane-type diterpenoids from the xisha soft coral Lemnalia flava. Fitoterapia 2019, in press. [Google Scholar] [CrossRef]
- Zhang, Q.; Liang, L.-F.; Miao, Z.-H.; Wu, B.; Guo, Y.-W. Cytotoxic polyhydroxylated steroids from the South China Sea soft coral Lobophytum sp. Steroids 2019, 141, 76–80. [Google Scholar] [CrossRef]
- Zhang, Q.; Li, X.-W.; Yao, L.-G.; Wu, B.; Guo, Y.-W. Three new capnosane-type diterpenoids from the South China Sea soft coral Lobophytum sp. Fitoterapia 2019, 133, 70–74. [Google Scholar] [CrossRef]
- Wu, Q.; Li, X.-W.; Li, H.; Yao, L.-G.; Tang, W.; Miao, Z.-H.; Wang, H.; Guo, Y.-W. Bioactive polyoxygenated cembranoids from a novel Hainan chemotype of the soft coral Sinularia flexibilis. Bioorg. Med. Chem. Lett. 2019, 29, 185–188. [Google Scholar] [CrossRef]












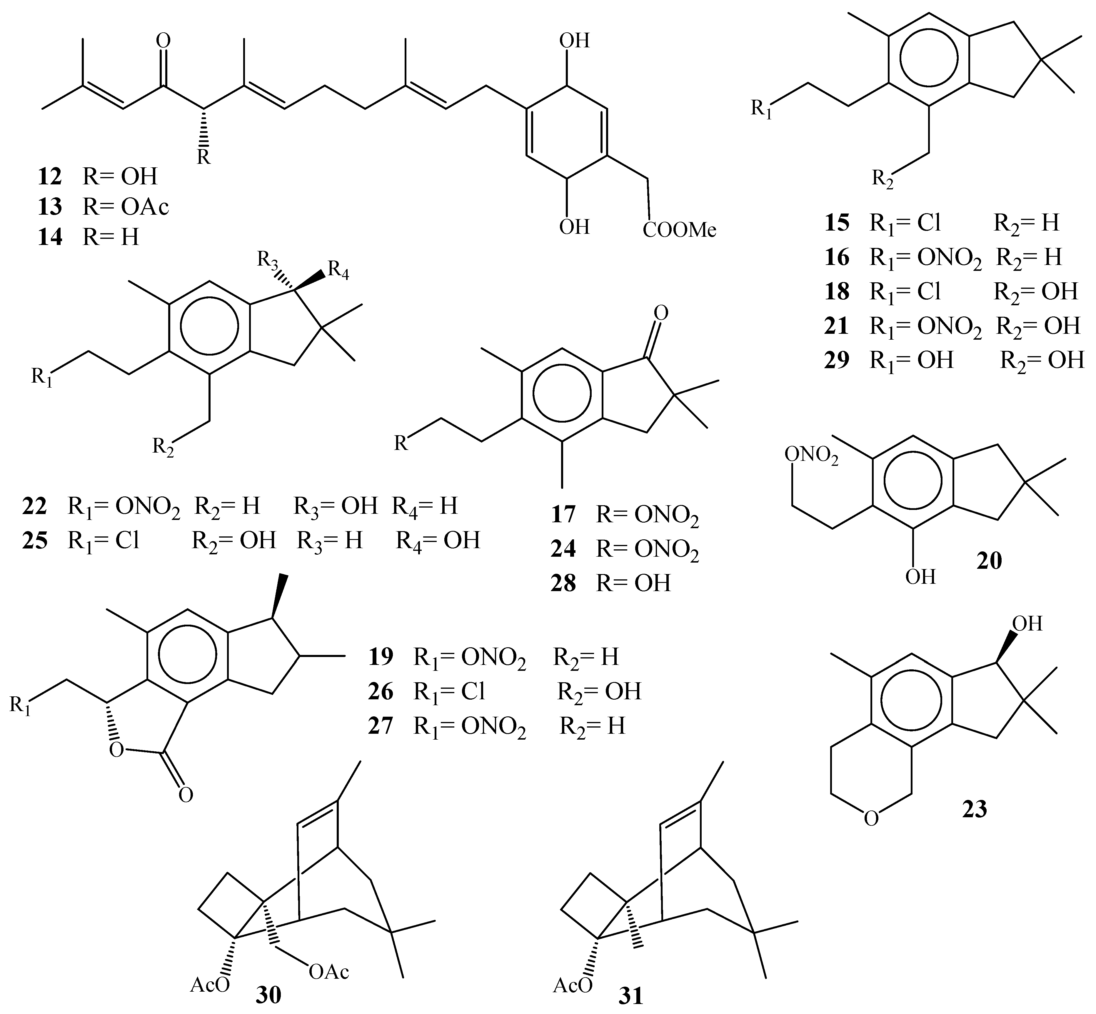
| Cpd. No. | Cpd. Name | Species | Biological Effects | Class of Cpd | Ref. No. |
|---|---|---|---|---|---|
| 1 | Guaiazulene | Alcyonium sp. | - | Guaiazulene | [22] |
| 2 | (+)-Coralloidin-A | A. coralloides | - | Eudesmane sesquiterpene | [23,24] |
| 3 | (−)-Coralloidin- B | - | Bicyclogermacrane | ||
| 4–6 | Coralloidin C, D and E | - | Eudesmane sesquiterpene | ||
| 7–8 | Millecrone A and B | A. foliatum and A. valdiviae | Antifungal | Aphanmalane sesqui. Aromadendrane sesqui. | [25] |
| 9–10 | Millecrol A and B | Antimicrobial | Aphanmal sesqui. Cadinane sesqui. | [26] | |
| 11 | Furanosesquiterpenoid | A. palmatum | Antifeedant | Furanosesquiterpene | [27] |
| 12 | Rietone | A. fauri | Anti-HIV | Triprenylhydroquinone | [28] |
| 13 | 8′-Acetoxyrietoneand | ||||
| 14 | 8′-Desoxyrietone | ||||
| 15–29 | Alcyopterosins A-O | A. paessleri | Cytotoxic | Illudalane Sesquiterpene | [29] |
| 30–31 | Paesslerins A and B | A. paessleri | - | Paesslerane sesquiterpene | [30] |
| 32 | 4,12-Bis-n-butanoylalcyopterosin O, | A. grandis | Antifeedant | Illudalane Sesquiterpene | [31] |
| 33 | 13-Acetoxy-12-acetylalcyopterosin D | ||||
| 34 | 4,12-Bis(acetyl) alcyopterosin O | ||||
| 35 | 12-Acetyl-13-n-butanoxyalcyopterosin D | ||||
| 36 | 12-Acetyl-4-n-butanoylalcyopterosin O | ||||
| 37 | 12-Acetylalcyopterosin D | ||||
| 38 | 12-n-Butanoylalcyopterosin D | ||||
| 39 | 13-Hydroxy alcyopterosin and | ||||
| 40 | Alcyopterosin P | ||||
| 41 | Alcyonicene | A. antarcticum | Feeding-deterrence and ichthyotoxic | Bulgarane sesquiterpene | [32] |
| 42 | Deacetoxyalcyonicene | - | |||
| 43 | Flaccidoxide | A. flaccidum | - | Cembrane diterpene | [33] |
| 44 | Cembrene-C | ||||
| 45 | Sarcophytol B | ||||
| 46 | Alcyonol-A | A. utinomii | [34] | ||
| 47 | Alcyonol-B | ||||
| 48 | Alcyonol-C | ||||
| 49–54 | Coralloidolide (A–F) | A. coralloides | Cembrane diterpene | [35,36,37] | |
| 55 | Alcyonolide | Alcyonium sp. | Xenicin diterpene | [38] | |
| 56 | Alcyonolide-5 | [39] | |||
| 57 | (lS,2R,3S,4R,5R,6S,8E,llS,l2R,13S,14S)-3-Acetoxy-2,12-dibutanoyloxycladiell-8-ene-4,Il-diol | A. molle | Cladiellin diterpene | [40] | |
| 58 | Patagonicol | A. patagonicum | Eunicellin diterpene | [41] | |
| 59 | Valdivone A | A. valdivae | Anti-inflammatory | Eunicellin diterpene | [42] |
| 60 | Valdivone B | ||||
| 61 | 4-O-Methyl valdivone A | - | |||
| 62 | 4-O-Methyl valdivone B | - | |||
| 63 | Dihydrovaldivone A | ||||
| 64 | Palmatol | A. palmatum | Prenylbicyclogermacrane | [43] | |
| 65–66 | Zahavin A, and zahavin B | A. aureum | Cytotoxic | Xenicane diterpene | [44] |
| 67 | Pukalide | A. antarticum | Feeding-deterrence | Cembrane diterpene | [45] |
| 68 | Gorgosterol | A. molle | - | Gorgosterol | [40] |
| 69 | 24-Methylenecholest-5-ene-3β,16β-diol-3-O-α-l-fucoside | Alcyonium sp. | Campestane | [46] | |
| 70 | 24-Methylenecholest-5-ene-3β,7β,16β-triol-3-O-α-l-fucopyranoside | ||||
| 71 | 24-Methylenecholest-5-ene-3β,7α,16β-triol-3-O-α-l-fucopyranoside | ||||
| 72 | 3β,7β-Dihydroxy-24-methylenecholesterol | ||||
| 73 | 3α,7α,12α-Triacetoxy-5β-cholanic acid | Cholestane | [47] | ||
| 74 | Pregnedioside-A | Alcyonium sp. | Pregnane | [48] | |
| 75 | 4′-O-Acetyl-pregnedioside-A | ||||
| 76 | 3′-O-Acetyl-pregnedioside-A | ||||
| 77 | Pregnedioside-B | ||||
| 78 | 4′-O-Acetyl-pregnedioside | ||||
| 79 | 3-Methoxy-19-norpregna-1,3,5(10),20-tetraene | A. gracillimum | Antifoulants | Pregnane | [49] |
| 80 | 3-(4-O-Acetyl-6-deoxy-β-galactopyranosyloxy)-19-nor-pregna-1,3,5(10),20-tetraene | ||||
| 81 | 22,23-Dihydroxycholesta-1,24-dien-3-one | Cholestane | |||
| 82 | methyl Methyl-3-oxochola-1,4,22-trien-24-oate | ||||
| 83 | 24-Methylenecholest 4-ene-3β,6β-diol | A. patagonicum | Cytotoxic | Campestane | [41] |
| 84 | Pregnenolone | A. antarticum | - | Pregnane | [32] |
| 85 | Pregnenolone-3-acetate | ||||
| 86 | Furospirostan | A. gracillimum | Cholestane | [50] | |
| 87–88 | Cholestane derivative with hemiketal functionality | Cytotoxic | |||
| 89 | Steroid with unusual dihydropyran ring | - | |||
| 90 | Ketosteroidal derivatives | ||||
| 91 | Pregnadienone | Pregnane | |||
| 92 | Pregnenone | - |
© 2019 by the authors. Licensee MDPI, Basel, Switzerland. This article is an open access article distributed under the terms and conditions of the Creative Commons Attribution (CC BY) license (http://creativecommons.org/licenses/by/4.0/).
Share and Cite
Abdel-Lateff, A.; Alarif, W.M.; Alburae, N.A.; Algandaby, M.M. Alcyonium Octocorals: Potential Source of Diverse Bioactive Terpenoids. Molecules 2019, 24, 1370. https://doi.org/10.3390/molecules24071370
Abdel-Lateff A, Alarif WM, Alburae NA, Algandaby MM. Alcyonium Octocorals: Potential Source of Diverse Bioactive Terpenoids. Molecules. 2019; 24(7):1370. https://doi.org/10.3390/molecules24071370
Chicago/Turabian StyleAbdel-Lateff, Ahmed, Walied Mohamed Alarif, Najla Ali Alburae, and Mardi Mohamed Algandaby. 2019. "Alcyonium Octocorals: Potential Source of Diverse Bioactive Terpenoids" Molecules 24, no. 7: 1370. https://doi.org/10.3390/molecules24071370
APA StyleAbdel-Lateff, A., Alarif, W. M., Alburae, N. A., & Algandaby, M. M. (2019). Alcyonium Octocorals: Potential Source of Diverse Bioactive Terpenoids. Molecules, 24(7), 1370. https://doi.org/10.3390/molecules24071370

