Effects of Maltodextrins on the Kinetics of Lycopene and Chlorogenic Acid Degradation in Dried Tomato
Abstract
1. Introduction
2. Results and Discussion
2.1. Matrix Composition and Hygroscopicity
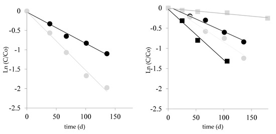
2.2. Kinetics of Lycopene Degradation
2.3. Kinetics of Chlorogenic Acid Degradation
2.4. Overview of Degradation Phenomena in the Water and Oil Compartments
3. Materials and Methods
3.1. Preparation of Tomato Pulp Powder
3.2. Storage Study
3.3. Moisture Content and aw
3.4. Titratable Acidity
3.5. Soluble and Insoluble Fiber, Protein, Fat, and Ash
3.6. HPLC Equipment
3.7. Lycopene
3.8. Chlorogenic Acid
3.9. Statistical Analysis
4. Conclusions
Author Contributions
Funding
Acknowledgments
Conflicts of Interest
References
- Mordente, A.; Guantario, B.; Meucci, E.; Silvestrini, A.; Lombardi, E.; Martorana, G.E.; Giardina, B.; Bohm, V. Lycopene and cardiovascular diseases: An update. Curr. Med. Chem. 2011, 18, 1146–1163. [Google Scholar] [CrossRef]
- Scarmo, S.; Cartmel, B.; Lin, H.; Leffell, D.J.; Welch, E.; Bhosale, P.; Bernstein, P.S.; Mayne, S.T. Significant correlations of dermal total carotenoids and dermal lycopene with their respective plasma levels in healthy adults. Arch. Biochem. Biophys. 2010, 504, 34–39. [Google Scholar] [CrossRef] [PubMed]
- Shanbhag, V.K. Lycopene in cancer therapy. J. Pharm. Bioallied Sci. 2016, 8, 170–171. [Google Scholar] [CrossRef] [PubMed]
- Denniss, S.G.; Haffner, T.D.; Kroetsch, J.T.; Davidson, S.R.; Rush, J.W.; Hughson, R.L. Effect of short-term lycopene supplementation and postprandial dyslipidemia on plasma antioxidants and biomarkers of endothelial health in young, healthy individuals. Vasc. Health Risk Manag. 2008, 4, 213–222. [Google Scholar] [CrossRef]
- Kristal, A.R.; Till, C.; Platz, E.A.; Song, X.; King, I.B.; Neuhouser, M.L.; Ambrosone, C.B.; Thompson, I.M. Serum lycopene concentration and prostate cancer risk: Results from the Prostate Cancer Prevention Trial. Cancer Epidemiol. Biomark. Prev. 2011, 20, 638–646. [Google Scholar] [CrossRef] [PubMed]
- Di Mascio, P.; Kaiser, S.; Sies, H. Lycopene as the most efficient biological carotenoid singlet oxygen quencher. Arch. Biochem. Biophys. 1989, 274, 532–538. [Google Scholar] [CrossRef]
- Rao, A.V.; Agarwal, S. Bioavailability and in vivo antioxidant properties of lycopene from tomato products and their possible role in the prevention of cancer. Nutr. Cancer 1998, 31, 199–203. [Google Scholar] [CrossRef] [PubMed]
- Tang, X.; Yang, X.; Peng, Y.; Lin, J. Protective effects of lycopene against H2O2-induced oxidative injury and apoptosis in human endothelial cells. Cardiovasc. Drug. Ther. 2009, 23, 439–448. [Google Scholar] [CrossRef]
- Clifford, M.N. Diet-derived phenols in plasma and tissue and their implications for health. Planta Med. 2004, 70, 1103–1114. [Google Scholar] [CrossRef]
- Mehta, D.; Sharma, N.; Bansal, V.; Sangwan, R.S.; Yadav, S.K. Impact of ultrasonication, ultraviolet and atmospheric cold plasma processing on quality parameters of tomato-based beverage in comparison with thermal processing. Innov. Food Sci. Emerg. Technol. 2019, 52, 343–349. [Google Scholar] [CrossRef]
- Lavelli, V.; Hippeli, S.; Dornisch, K.; Peri, C.; Elstner, E.F. Properties of tomato powders as additives for food fortification and stabilization. J. Agric. Food Chem. 2001, 49, 2037–2042. [Google Scholar] [CrossRef] [PubMed]
- Story, E.N.; Kopec, R.E.; Schwartz, S.J.; Harris, G.K. An update on the health effects of tomato lycopene. Ann. Rev. Food Sci. Technol. 2010, 1, 189–210. [Google Scholar] [CrossRef] [PubMed]
- Lavelli, V.; Torresani, M.C. Modelling the stability of lycopene-rich by-products of tomato processing. Food Chem. 2011, 125, 529–535. [Google Scholar] [CrossRef]
- de Souza, V.B.; Fujita, A.; Thomazini, M.; da Silva, E.R.; Lucon, J.F.; Genovese, M.I.; Favaro-Trindade, C.S. Functional properties and stability of spray-dried pigments from Bordo grape (Vitis labrusca) winemaking pomace. Food Chem. 2014, 164, 380–386. [Google Scholar] [CrossRef]
- Goula, A.M.; Adamopoulos, K.G. Effect of maltodextrin addition during spray drying of tomato pulp in dehumidified air: I. Drying kinetics and product recovery. Dry Technol. 2008, 26, 714–725. [Google Scholar] [CrossRef]
- Sramek, M.; Schweiggert, R.M.; van Kampen, A.; Carle, R.; Kohlus, R. Preparation of high-grade powders from tomato paste using a vacuum foam drying method. J. Food Sci. 2015, 80, E1755–E1762. [Google Scholar] [CrossRef]
- Ahmed, I.; Qazi, I.M.; Jamal, S. Developments in osmotic dehydration technique for the preservation of fruits and vegetables. Innov. Food Sci. Emerg. Technol. 2016, 34, 29–43. [Google Scholar] [CrossRef]
- Correa, J.L.G.; Ernesto, D.B.; de Mendonca, K.S. Pulsed vacuum osmotic dehydration of tomatoes: Sodium incorporation reduction and kinetics modeling. LWT Food Sci. Technol. 2016, 71, 17–24. [Google Scholar] [CrossRef]
- Lavelli, V.; Sri Harsha, P.S.C.; Spigno, G. Modelling the stability of maltodextrin-encapsulated grape skin phenolics used as a new ingredient in apple puree. Food Chem. 2016, 209, 323–331. [Google Scholar] [CrossRef]
- Robert, P.; Carlsson, R.M.; Romero, N.; Masson, L. Stability of spray-dried encapsulated carotenoid pigments from rosa mosqueta (Rosa rubiginosa) oleoresin. J. Am. Oil Chem. Soc. 2003, 80, 1115–1120. [Google Scholar] [CrossRef]
- Souza, A.L.R.; Hidalgo-Chavez, D.W.; Pontes, S.M.; Gomes, F.S.; Cabral, L.M.C.; Tonon, R.V. Microencapsulation by spray drying of a lycopene-rich tomato concentrate: Characterization and stability. LWT Food Sci. Technol. 2018, 91, 286–292. [Google Scholar] [CrossRef]
- Lavelli, V.; Kerr, W.; Harsha, P.S.C.S. Phytochemical stability in dried tomato pulp powder and peel as affected by moisture properties. J. Agric. Food Chem. 2013, 61, 700–707. [Google Scholar] [CrossRef] [PubMed]
- Lavelli, V.; Sri Harsha, P.S.C.; Laureati, M.; Pagliarini, E. Degradation kinetics of encapsulated grape skin phenolics and micronized grape skins in various water activity environments and criteria to develop wide-ranging and tailor-made food applications. Inn. Food Sci. Emerg. Technol. 2017, 39, 156–164. [Google Scholar] [CrossRef]
- Galanakis, C.M. (Ed.) Food Waste Recovery: Processing Technologies and Industrial Techniques; Elsevier Inc.: London, UK, 2015. [Google Scholar]
- Xu, S.; Pegg, R.B.; Kerr, W.L. Effect of processing methods on the quality of tomato products. Food Bioprocess Technol. 2016, 9, 91–100. [Google Scholar] [CrossRef]
- Boon, C.S.; McClements, D.J.; Weiss, J.; Decker, E.A. Role of Iron and Hydroperoxides in the Degradation of Lycopene in Oil-in-Water Emulsions. J. Agric. Food Chem. 2009, 57, 2993–2998. [Google Scholar] [CrossRef] [PubMed]
- Chiu, Y.T.; Chiu, C.P.; Chien, J.T.; Ho, G.H.; Yang, J.; Chen, B.H. Encapsulation of lycopene extract from tomato pulp waste with gelatin and poly(gamma-glutamic acid) as carrier. J. Agric. Food Chem. 2007, 55, 5123–5130. [Google Scholar] [CrossRef] [PubMed]
- Xue, F.; Li, C.; Liu, Y.L.; Zhu, X.W.; Pan, S.Y.; Wang, L.F. Encapsulation of tomato oleoresin with zein prepared from corn gluten meal. J. Food Eng. 2013, 119, 439–445. [Google Scholar] [CrossRef]
- Rocha, G.A.; Favaro-Trindade, C.S.; Grosso, C.R.F. Microencapsulation of lycopene by spray drying: Characterization, stability and application of microcapsules. Food Bioprod. Process. 2012, 90, 37–42. [Google Scholar] [CrossRef]
- Lavelli, V.; Kerr, W. Apple pomace is a good matrix for phytochemical retention. J. Agric. Food Chem. 2012, 60, 5660–5666. [Google Scholar] [CrossRef]
- Basanta, M.F.; Rojas, A.M.; Martinefski, M.R.; Tripodi, V.P.; De’Nobili, M.D.; Fissore, E.N. Cherry (Prunus avium) phenolic compounds for antioxidant preservation at food interfaces. J. Food Eng. 2018, 239, 15–25. [Google Scholar] [CrossRef]
- Ballesteros, L.F.; Ramirez, M.J.; Orrego, C.E.; Teixeira, J.A.; Mussatto, S.I. Encapsulation of antioxidant phenolic compounds extracted from spent coffee grounds by freeze-drying and spray-drying using different coating materials. Food Chem. 2017, 237, 623–631. [Google Scholar] [CrossRef]
- Laksmana, F.L.; Kok, P.J.A.H.; Frijlink, H.W.; Vromans, H.; Maarschalk, K.V. Gas permeation related to the moisture sorption in films of glassy hydrophilic polymers. J. Appl. Polym. Sci. 2010, 116, 3310–3317. [Google Scholar] [CrossRef]
- Prado, S.M.; Buera, M.P.; Elizalde, B.E. Structural collapse prevents β-carotene loss in a supercooled polymeric matrix. J. Agric. Food Chem. 2006, 54, 79–85. [Google Scholar] [CrossRef]
- Harnkarnsujarit, N.; Charoenrein, S.; Roos, Y.H. Microstructure formation of maltodextrin and sugar matrices in freeze-dried systems. Carbohydr. Polym. 2012, 88, 734–742. [Google Scholar] [CrossRef]
- Adhikari, B.; Howes, T.; Bhandari, B.R.; Troung, V. Effect of addition of maltodextrin on drying kinetics and stickiness of sugar and acid-rich foods during convective drying: Experiments and modelling. J. Food Eng. 2004, 62, 53–68. [Google Scholar] [CrossRef]
- Sauid, S.M.; Murthy, V.V.P.S. Effect of palm oil on oxygen transfer in a stirred tank bioreactor. J. Appl. Sci. 2010, 10, 2745–2747. [Google Scholar] [CrossRef]
- Cuvelier, M.E.; Soto, P.; Courtois, F.; Broyart, B.; Bonazzi, C. Oxygen solubility measured in aqueous or oily media by a method using a non-invasive sensor. Food Control 2017, 73, 1466–1473. [Google Scholar] [CrossRef]
- Yeum, K.J.; Russell, R.M.; Krinsky, N.I.; Aldini, G. Biomarkers of antioxidant capacity in the hydrophilic and lipophilic compartments of human plasma. Arch. Biochem. Biophys. 2004, 430, 97–103. [Google Scholar] [CrossRef]
- Marinova, E.M.; Toneva, A.; Yanishlieva, N. Comparison of the antioxidative properties of caffeic and chlorogenic acids. Food Chem. 2009, 114, 1498–1502. [Google Scholar] [CrossRef]
- AOAC. Official Methods of Analysis, 15th ed.; Association of Official Analytical Chemists: Washington, DC, USA, 1990. [Google Scholar]


= oxygen,
= water; Lyc = lycopene, Ax = hydrophilic antioxidant, LH = unsaturated fatty acid, L° and LOO° = radicals, LOOH = peroxide. At aw below Mo, MD could enhance oxygen binding due to decreased hydrophilicity of the matrix and larger pore sizes, thus increasing lycopene degradation rate. At aw well above Mo, MD could encapsulate the hydrophilic antioxidants thus hampering lycopene regeneration.
= oxygen,
= water; Lyc = lycopene, Ax = hydrophilic antioxidant, LH = unsaturated fatty acid, L° and LOO° = radicals, LOOH = peroxide. At aw below Mo, MD could enhance oxygen binding due to decreased hydrophilicity of the matrix and larger pore sizes, thus increasing lycopene degradation rate. At aw well above Mo, MD could encapsulate the hydrophilic antioxidants thus hampering lycopene regeneration.
| Quality Index | Percent Content |
|---|---|
| moisture | 8.6 ± 0.2 |
| protein | 8.8 ± 0.9 |
| fat | 1.9 ± 0.2 |
| insoluble dietary fiber | 15.7 ± 1.2 |
| soluble dietary fiber | 2.7 ± 0.4 |
| glucose + fructose | 34.0 ± 1.6 |
| ash | 6.4 ± 0.5 |
| titratable acidity | 0.20 ± 0.01 |
| Matrix | Co | T | t | aw | k × 103 | t1/2 | Ref. |
|---|---|---|---|---|---|---|---|
| Tomato peel, freeze-dried | 7390 ± 70 | 30 | 139 | 0.17 | 19 ± 1.2 | 41 | Lavelli et al. [13] |
| 0.22 | 10 ± 1.5 | 63 | |||||
| 0.32 | 9.0 ± 1.1 | 81 | |||||
| 0.56 | 5.0 ± 0.8 | 115 | |||||
| Tomato concentrate + MD, spray-dried | 494 ± 10 | 25 | 28 | nd | 57.6 | 12 | Souza et al. [21] |
| Tomato pomace extract + poly-γ-glutamic, freeze-dried | 134.2 ± 2.3 | 35 | 30 | nd | 24.7 | 28 | Chiu et al. [27] |
| Tomato oleoresin + zein, spray-dried | nd | 25 | 18 | nd | 63.6 | 10.9 | Xue et al. [28] |
| Lycopene in oil +modified starch, spray-dried | 5000 | 25 | 78 | nd | nd | >78 | Rocha et al. [29] |
| Tomato pulp powder, freeze-dried | 2465 ± 20 | 30 | 139 | 0.17 | 8.1 cd ± 0.5 | 86 | 1 This study |
| 0.22 | 7.7 cd ± 0.5 | 90 | |||||
| 0.32 | 5.8 a ± 0.2 | 119 | |||||
| 0.56 | 6.2 ab ± 0.3 | 111 | |||||
| Tomato pulp powder + MD, freeze-dried | 2184 ± 20 | 30 | 139 | 0.17 | 15.0 e ± 0.8 | 46 | 1 This study |
| 0.22 | 7.0 bc ± 0.9 | 99 | |||||
| 0.32 | 7.6 c ± 0.6 | 91 | |||||
| 0.56 | 8.8 d ± 1.2 | 79 |
| Matrix | Co | T | t | aw | k × 103 | t1/2 | Ref. |
|---|---|---|---|---|---|---|---|
| Apple pulp powder | 1050 ± 20 | 30 | 30 | 0.56 | 2.0 | 347 | Lavelli et al. [30] |
| Low-methoxyl-pectin film | 10.0 ± 0.6 | 25 | 215 | 0.58 | 3.7 ± 0.6 | 186 | Basanta et al. [31] |
| Tomato pulp powder, freeze-dried | 104 ± 18 | 30 | 106 | 0.17 | n.s. | This study | |
| 0.22 | n.s. | ||||||
| 0.32 | n.s. | ||||||
| 0.56 | 12 ± 1 | 58 | |||||
| Tomato pulp powder +MD, freeze-dried | 171 ± 3 | 30 | 106 | 0.17 | n.s. | This study | |
| 0.22 | n.s. | ||||||
| 0.32 | n.s. | ||||||
| 0.56 | 1.3 ± 0.2 | 533 |
© 2019 by the authors. Licensee MDPI, Basel, Switzerland. This article is an open access article distributed under the terms and conditions of the Creative Commons Attribution (CC BY) license (http://creativecommons.org/licenses/by/4.0/).
Share and Cite
Sri Harsha, P.S.C.; Lavelli, V. Effects of Maltodextrins on the Kinetics of Lycopene and Chlorogenic Acid Degradation in Dried Tomato. Molecules 2019, 24, 1042. https://doi.org/10.3390/molecules24061042
Sri Harsha PSC, Lavelli V. Effects of Maltodextrins on the Kinetics of Lycopene and Chlorogenic Acid Degradation in Dried Tomato. Molecules. 2019; 24(6):1042. https://doi.org/10.3390/molecules24061042
Chicago/Turabian StyleSri Harsha, Pedapati S.C., and Vera Lavelli. 2019. "Effects of Maltodextrins on the Kinetics of Lycopene and Chlorogenic Acid Degradation in Dried Tomato" Molecules 24, no. 6: 1042. https://doi.org/10.3390/molecules24061042
APA StyleSri Harsha, P. S. C., & Lavelli, V. (2019). Effects of Maltodextrins on the Kinetics of Lycopene and Chlorogenic Acid Degradation in Dried Tomato. Molecules, 24(6), 1042. https://doi.org/10.3390/molecules24061042

