Synthesis and Antimicrobial Evaluation of Novel Pyrazolopyrimidines Incorporated with Mono- and Diphenylsulfonyl Groups
Abstract
1. Introduction
2. Results and Discussion
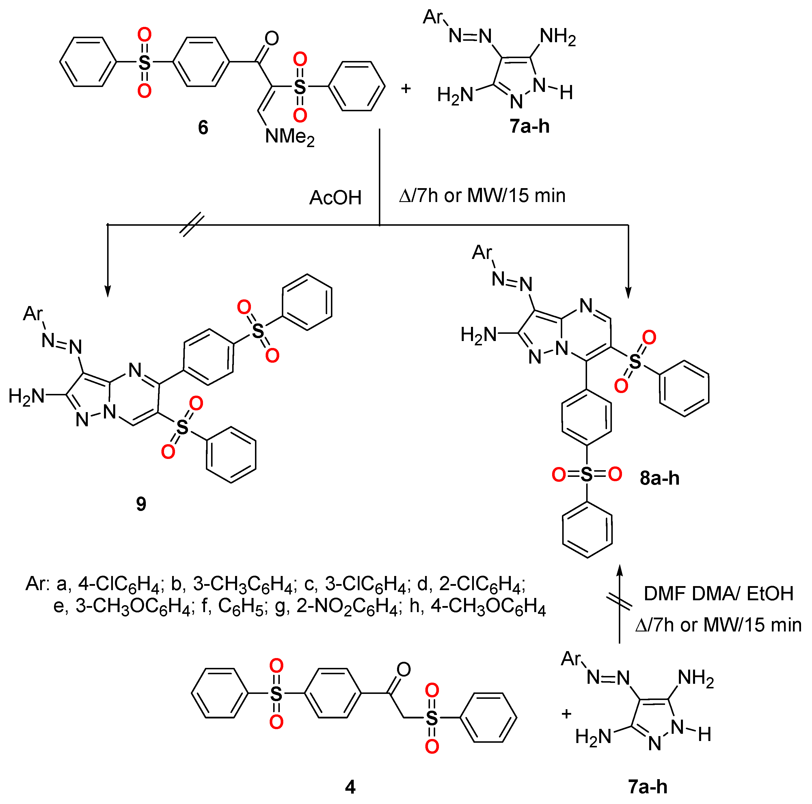
Chemistry
3. Antimicrobial Activity
3.1. General
3.2. Synthesis of 1-(4-benzenesulfonyl-phenyl)-2-bromo-ethanone (3)
3.2.1. Method A: Thermal Method
3.2.2. Method B: Microwaves Method
3.3. Synthesis of 2-benzenesulfonyl-1-(4-benzenesulfonyl-phenyl)-ethanone (4)
3.3.1. Method A: Thermal Method
3.3.2. Method B: Microwaves Method
3.4. Synthesis of 2-benzenesulfonyl-1-(4-benzenesulfonyl-phenyl)-3-dimethylamino-propenone (6) and 1-(4-benzenesulfonyl-phenyl)-3-dimethylamino-propenone (12)
3.4.1. Method A: Thermal Method
3.4.2. Method B: Microwaves Method
3.5. Synthesis of 2-benzenesulfonyl-1-(4-benzenesulfonyl-phenyl)-3-ethoxy-propenone (11)
3.6. Synthesis of pyrazolo[1,5-a]pyrimidine derivatives 8a–h and 13a–h
3.6.1. Thermal Methods
3.6.2. Microwaves Methods
3.7. Biological Methods
Antimicrobial Activity Test
4. Conclusions
Author Contributions
Funding
Conflicts of Interest
References
- Novinson, T.; Bhooshan, B.; Okabe, T.; Revankar, G.R.; Robins, R.K.; Senga, K.; Wilson, H.R. Novel heterocyclic nitrofurfural hydrazones. In vivo antitrypanosomal activity. J. Med. Chem. 1976, 19, 512–516. [Google Scholar] [CrossRef]
- Fraley, M.E.; Rubino, R.S.; Hoffman, W.F.; Hambaugh, S.R.; Arrington, K.L.; Hungate, R.W.; Bilodeau, M.T.; Tebben, A.J.; Rutledge, R.Z.; Kendall, R.L.; et al. Optimization of a pyrazolo [1,5-a]pyrimidine class of KDR kinase inhibitors: Improvements in physical properties enhance cellular activity and pharmacokinetics. Bioorg. Med. Chem. Lett. 2002, 12, 3537–3541. [Google Scholar] [CrossRef]
- Selleri, S.; Bruni, F.; Costagli, C.; Costanzo, A.; Guerrini, G.; Ciciani, G.; Gratteri, P.; Besnard, F.; Costa, B.; Montali, M.; et al. A novel selective GABAA a1 receptor agonist displaying sedative and anxiolytic-like properties in rodents. J. Med. Chem. 2005, 48, 6756–6760. [Google Scholar] [CrossRef]
- Selleri, S.; Bruni, F.; Costagli, C.; Costanzo, A.; Guerrini, G.; Ciciani, G.; Costa, B.; Martini, C. 2-Arylpyrazolo[1,5-a]pyrimidin-3-yl acetamides. New potent and selective peripheral benzodiazepine receptor ligands. Bioorg. Med. Chem. 2001, 9, 2661–2671. [Google Scholar] [CrossRef]
- Novinson, T.; Hanson, R.; Dimmitt, M.K.; Simon, L.N.; Robins, R.K.; O’Brien, D.E. 3-Substituted 5,7-dimethylpyrazolo[1,5-a]pyrimidines, 3′5′-cyclic AMP phosphor-diesterase inhibitors. J. Med. Chem. 1974, 17, 645–648. [Google Scholar] [CrossRef] [PubMed]
- Suzuki, M.; Iwasaki, H.; Fujikawa, Y.; Sakashita, M.; Kitahara, M.; Sakoda, R. Synthesis and biological evaluations of condensed pyridine and condensed pyrimidine-based HMG-CoA reductase inhibitors. Bioorg. Med. Chem. Lett. 2001, 11, 1285–1288. [Google Scholar] [CrossRef]
- Almansa, C.; De Arriba, A.F.; Cavalcanti, F.L.; Gomez, L.A.; Miralles, A.; Merlos, M.; Garcia-Rafanell, J.; Forn, J. Synthesis and SAR of a new series of COX-2-selective inhibitors: Pyrazolo[1,5-a]pyrimidines. J. Med. Chem. 2001, 44, 350–361. [Google Scholar] [CrossRef]
- Hwang, J.Y.; Windisch, M.P.; Jo, S.; Kim, K.; Kong, S.; Kim, H.C.; Kim, S.; Kim, H.; Lee, M.E.; Kim, Y.; et al. Discovery and characterization of a novel 7-aminopyrazolo[1,5-a]pyrimidine analog as a potent hepatitis C virus inhibitor. Bioorg. Med. Chem. Lett. 2012, 22, 7297–7301. [Google Scholar] [CrossRef] [PubMed]
- Ivachtchenko, A.V.; Dmitriev, D.E.; Golovina, E.S.; Kadieva, M.G.; Koryakova, A.G.; Kysil, V.M.; Mitkin, O.D.; Okun, I.M.; Tkachenko, S.E.; Vorobiev, A.A. (3-Phenylsulfonylcycloalkano[e and d]pyrazolo[1,5-a]pyrimidin-2-yl)amines: Potent and selective antagonists of the serotonin 5-HT6 receptor. J. Med. Chem. 2010, 53, 5186–5196. [Google Scholar] [CrossRef] [PubMed]
- Xu, J.; Liu, H.; Li, G.; He, Y.; Ding, R.; Wang, X.; Feng, M.; Zhang, S.; Chen, Y.; Li, S.; et al. Synthesis and biological evaluation of 7-(2-chlorophenyl- amino)-5-((2-[18F]fluoro-ethyoxy)methyl)pyrazolo[1,5-a]pyrimidine-3-carbonitrile as PET tumor imaging agent. Z. Naturforsch. B. Chem. Sci. 2012, 67, 827–834. [Google Scholar] [CrossRef]
- Hanan, E.J.; Abbema, A.V.; Barrett, K.; Blair, W.S.; Blaney, J.; Chang, C.; Eigenbrot, C.; Flynn, S.; Gibbons, P.; Hurley, C.A.; et al. Discovery of potent and selective pyrazolopyrimidine Janus kinase 2 inhibitors. J. Med. Chem. 2012, 55, 10090–10107. [Google Scholar] [CrossRef] [PubMed]
- Saito, T.; Obitsu, T.; Kondo, T.; Matsui, T.; Nagao, Y.; Kusumi, K.; Matsumura, N.; Ueno, S.; Kishi, A.; Katsumata, S.; et al. 6,7-Dihydro-5H-cyclopenta[d]pyrazolo[1,5-a]pyrimidines and their derivatives as novel corticotropin-releasing factor 1 receptor antagonists. Bioorg. Med. Chem. 2011, 19, 5432–5445. [Google Scholar] [CrossRef] [PubMed]
- Tian, Y.; Du, D.; Rai, D.; Wang, L.; Liu, H.; Zhan, P.; Clercq, C.; Pannecouque, E.D.; Liu, X. Fused heterocyclic compounds bearing bridgehead nitrogen as potent HIV-1 NNRTIs. Part 1: Design, synthesis and biological evaluation of novel 5,7-disubstituted pyrazolo[1,5-a]pyrimidine derivatives. Bioorg. Med. Chem. 2014, 22, 2052–2059. [Google Scholar] [CrossRef] [PubMed]
- Ishak, C.Y.; Metwally, N.H.; Wahbi, H.I. In vitro antimicrobial and antifungal activity of pyrimidine and pyrazolo[1,5-a]pyrimidine. Int. J. Pharm. Phytopharm. Res. 2013, 2, 407–411. [Google Scholar]
- Cherukupalli, S.; Karpoormath, R.; Chandrasekaran, B.; Hampannavar, G.A.; Thapliyal, N.; Palakollu, V.N. An insight on synthetic and medicinal aspects of pyrazolo[1,5-a] pyrimidine scaffold. Eur. J. Med. Chem. 2017, 126, 298–352. [Google Scholar] [CrossRef]
- Teall, M.; Oakley, P.; Harrison, T.; Shaw, D.; Kay, E.; Elliott, J.; Gerhard, U.; Castro, J.L.; Shearman, M.; Ball, R.G.; et al. Aryl sulfones: A new class of γ-secretase inhibitors. Bioorg. Med. Chem. Lett. 2005, 15, 2685–2688. [Google Scholar] [CrossRef]
- Tfelt-Hansen, P.; De Vries, P.; Saxena, P.R. Triptans in migraine: A comparative review of pharmacology, pharmacokinetics and efficacy. Drugs 2000, 60, 1259–1287. [Google Scholar] [CrossRef]
- Chung, K.-T. Azo dyes and human health: A review. J. Environ. Sci. Health C Environ. Carcinog. Ecotoxicol. Rev. 2016, 34, 233–261. [Google Scholar] [CrossRef]
- Walker, R. Metabolism of azo group: A review of literature. Food Cosmet. Toxicol. 1970, 8, 659–676. [Google Scholar] [CrossRef]
- Moanta, A.; Radu, S. Spectroscopic analysis and antimicrobial activity of some 4-phenylazo-phenoxyacetic acids. Rev. Roum. Chem. 2009, 54, 151–156. [Google Scholar]
- Garjani, A.; Davaran, S.; Rashidi, M.; Malek, N. Protective effects of some azo derivatives of 5-aminosalicylic acid and their pegylated prodrugs on acetic acid-induced rat colitis. DARU J. Pharm. Sci. 2004, 12, 24–30. [Google Scholar]
- Concilio, S.; Sessa, L.; Petrone, A.M.; Porta, A.; Diana, R.; Iannelli, P.; Piotto, S. Structure Modification of an Active Azo-Compound as a Route to New Antimicrobial Compounds. Molecules 2017, 22, 875. [Google Scholar] [CrossRef] [PubMed]
- Sessa, L.; Concilio, S.; Iannelli, P.; De Santis, F.; Porta, A.; Piotto, S. Antimicrobial azobenzene compounds and their potential use in biomaterials. AIP Conf. Proc. 2016, 1727, 020018. [Google Scholar]
- Viegas-Junior, C.; Danuello, A.; Bolzani, V.S.; Barreiro, E.J.; Fraga, C.A.M. Molecular Hybridization: A Useful Tool in the Design of New Drug Prototypes. Curr. Med. Chem. 2007, 14, 1829–1852. [Google Scholar] [CrossRef]
- Amin, M.M.; Shaaban, M.R.; Al-Qurashi, N.T.; Mahmoud, H.K.; Farghaly, T.A. Indomethacin Analogs: Synthesis, Anti-inflammatory and Analgesic Activities of Indoline Derivatives. Mini-Rev. Med. Chem. 2018, 18, 1409–1421. [Google Scholar] [CrossRef]
- Farghaly, T.A.; Abdallah, M.A.; Masaret, G.S.; Muhammad, Z.A. New and efficient approach for synthesis of novel bioactive [1,3,4]thiadiazoles incorporated with 1,3-thiazole moiety. Eur. J. Med. Chem. 2015, 320–333. [Google Scholar] [CrossRef]
- Althagafi, I.I.; Abouzied, A.S.; Farghaly, T.A.; Al-Qurashi, N.T.; Alfaifi, M.Y.; Shaaban, M.R.; Abdel Azizd, M.R. Novel Nano-sized bis-indoline Derivatives as Antitumor Agents. J. Heterocycl. Chem. 2019, 56, 391–399. [Google Scholar] [CrossRef]
- Salem, M.E.; Darweesh, A.F.; Shaaban, M.R.; Elwahy, A.H.M. Synthesis of novel bis- and poly(hydrazinylthiazole) linked to benzofuran or benzothiazole as new hybrid molecules. Arkivoc 2019, v, 73–88. [Google Scholar] [CrossRef]
- Alsharekh, M.M.; Althagafi, I.I.; Shaaban, M.R.; Farghaly, T.A. Microwave assisted and thermal synthesis of nanosized thiazolyl-phenothiazine derivatives and their biological activities. Res. Chem. Inter. 2019, 45, 127–154. [Google Scholar] [CrossRef]
- Shaaban, M.R.; Saleh, T.S.; Farag, A.M. Synthesis and antimicrobial evaluation of novel pyrazolo [1,5-a] pyrimidine, triazolo[1,5-a] pyrimidineand pyrimido [1,2-a] benzimidazole derivatives. Heterocycles 2007, 71, 1765–1777. [Google Scholar]
- Shaaban, M.R.; Saleh, T.S.; Mayhoub, A.S.; Mansour, A.; Farag, A.M. Synthesis and analgesic/anti-inflammatory evaluation of fused heterocyclic ring systems incorporating phenylsulfonyl moiety. Bioorg. Med. Chem. 2008, 16, 6344–6452. [Google Scholar] [CrossRef] [PubMed]
- Farghaly, T.A.; Abdel Hafez, N.A.; Ragab, E.A.; Awad, H.M.; Abdalla, M.M. Synthesis, anti-HCV, antioxidant, and peroxynitrite inhibitory activity of fused benzosuberone derivatives. Eur. J. Med. Chem. 2010, 45, 492–500. [Google Scholar] [CrossRef] [PubMed]
- Bennett, P.; Donnelly, J.A.; Meaney, D.C.; Boyle, P.O. Stereochemistry of cyclopropyl ketones from the reaction of dimethylsulphoxonium methylide with 3-benzylidenechroman-4-ones. J. Chem. Soc. Perkin Trans. I 1972, 1554–1559. [Google Scholar] [CrossRef]
- Dawood, D.H.; Abbas, E.M.H.; Farghaly, T.A.; Ali, M.M.; Ibrahim, M.F. ZnO Nanoparticles catalyst in Synthesis of Bioactive Fused Pyrimidines as Anti-breast Cancer Agents Targeting VEGFR-2. Med. Chem. 2019, 15, 277–286. [Google Scholar] [CrossRef]
- Shaaban, M.R.; Saleh, T.S.; Mayhoube, A.S.; Farag, A.M. Single step synthesis of new fused pyrimidine derivatives and their evaluation as potent Aurora-A kinase inhibitors. Eur. J. Med. Chem. 2011, 46, 3690–3695. [Google Scholar] [CrossRef]
- Selleri, S.; Bruni, F.; Costagli, C.; Costanzo, A.; Guerrini, G.; Ciciani, G.; Costa, B.; Martini, C. Synthesis and BZR Affnity of Pyrazolo[1,5-a]pyrimidine Derivatives. Part 1: Study of the Structural Features for BZR Recognition. Bioorg. Med. Chem. 1999, 7, 2705–2711. [Google Scholar] [CrossRef]
Sample Availability: Samples of the compounds 8a–h and 13a–h are available from the authors. |










| Compound No. | Ar | Conventional Heating | Microwave Heating |
|---|---|---|---|
| Yield% | Yield% | ||
| 8a | 4-ClC6H4- | 77 | 95 |
| 8b | 3-CH3C6H4- | 85 | 95 |
| 8c | 3-ClC6H4- | 77 | 91 |
| 8d | 2-ClC6H4- | 78 | 90 |
| 8e | 3-CH3OC6H4- | 80 | 90 |
| 8f | C6H5- | 75 | 90 |
| 8g | 2-NO2C6H4- | 90 | 91 |
| 8h | 4-CH3OC6H4- | 95 | 95 |
| Compound No. | Ar | Conventional Heating | Microwave Heating |
|---|---|---|---|
| Yield% | Yield% | ||
| 13a | 4-ClC6H4- | 92 | 98 |
| 13b | 3-CH3C6H4- | 90 | 97 |
| 13c | 3-ClC6H4- | 90 | 94 |
| 13d | 2-ClC6H4- | 85 | 97 |
| 13e | 3-CH3O C6H4- | 90 | 93 |
| 13f | C6H5- | 80 | 90 |
| 13g | 2-NO2C6H4- | 92 | 96 |
| 13h | 4-CH3O C6H4- | 94 | 98 |
| Compound No. | Aspergillus Niger * | Geotrichum Candidum * |
|---|---|---|
| 8a | 15.5 ± 1.2 | 17.4 ± 0.72 |
| 8b | 15.2 ± 0.60 | 17.2 ± 0.63 |
| 8c | 17.6 ± 1.2 | 18.5 ± 0.63 |
| 8d | 18.3 ± 0.63 | 19.3 ± 0.58 |
| 8h | 22.4 ± 2.1 | 24.3 ± 2.1 |
| 13a | 23.1 ± 0.72 | 22.6 ± 0.72 |
| 13c | 25.1 ± 1.2 | 22.6 ± 1.2 |
| 13d | 21.4 ± 1.2 | 25.2 ± 1.2 |
| 13e | 22.3 ± 1.2 | 20.4 ± 0.58 |
| 13f | 22.6 ± 0.72 | 23.6 ± 1.20 |
| 13g | 26.3 ± 0.63 | 23.2 ± 0.63 |
| 13h | 19.2 ± 0.72 | 17.3 ± 0.72 |
| Amphotericin B | 23.3 ± 0.58 | 25.2 ± 0.72 |
| Compound No. | S. aureus | S. epidermidis | B. subtilis | S. pyogenes |
|---|---|---|---|---|
| 8a | 16.3 ± 0.63 | 15.8 ± 0.58 | 16.9 ± 0.53 | NA |
| 8b | 18.4 ± 0.85 | 15.7 ± 1.2 | 18.6 ± 0.63 | NA |
| 8c | 17.6 ± 0.63 | 16.4 ± 0.72 | 21.3 ± 0.53 | NA |
| 8d | 19.7 ± 0.58 | 18.3 ± 0.58 | 20.7 ± 1.2 | NA |
| 8h | 21.1 ± 1.2 | 20.8 ± 0.67 | 24.3 ± 0.58 | NA |
| 13a | 20.8 ± 0.43 | 20.6 ± 0.58 | 25.4 ± 0.53 | NA |
| 13c | 23.4 ± 0.63 | 21.8 ± 0.72 | 23.6 ± 0.63 | NA |
| 13d | 22.7 ± 0.63 | 22.6 ± 0.72 | 25.5 ± 0.63 | NA |
| 13e | 19.8 ± 0.63 | 16.7 ± 0.58 | 23.6 ± 0.53 | NA |
| 13f | 21.4 ± 0.58 | 17.7 ± 0.72 | 26.5 ± 0.58 | NA |
| 13g | 22.7 ± 1.2 | 22.3 ± 0.58 | 23.7 ± 0.72 | NA |
| 13h | 13.5 ± 1.2 | 15.3 ± 0.44 | 18.2 ± 0.58 | NA |
| Ampicillin | 23.7 ± 0.63 | 22.4 ± 1.2 | 32.4 ± 0.72 | 24.5 ± 0.63 |
| Compound No. | P. aeruginosa | E. coli | K. pneumoniae | S. typhimurium |
|---|---|---|---|---|
| 8a | NA | 15.6 ± 1.2 | 11.8 ± 0.44 | 18.5 ± 0.72 |
| 8b | NA | 17.5 ± 0.58 | 14.8 ± 1.2 | 16.7 ± 0.63 |
| 8c | NA | 18.7± 1.2 | 15.9 ± 1.2 | 17.4 ± 0.58 |
| 8d | NA | 18.6 ± 0.63 | 17.6 ± 0.58 | 20.2 ± 0.72 |
| 8h | NA | 23.2 ± 0.58 | 21.3 ± 0.58 | 19.8 ± 1.2 |
| 13a | NA | 22.4 ± 0.53 | 20.4 ± 0.53 | 21.6 ± 0.63 |
| 13c | NA | 24.3 ± 1.2 | 22.5 ± 1.2 | 26.3 ± 0.58 |
| 13d | NA | 25.7 ± 1.2 | 26.6 ± 1.2 | 26.2 ± 0.58 |
| 13e | NA | 19.8 ± 1.2 | 18.4 ± 0.53 | 21.1 ± 0.63 |
| 13f | NA | 23.2 ± 0.72 | 19.5 ± 0.63 | 22.5 ± 0.63 |
| 13g | NA | 25.5 ± 1.2 | 23.3 ± 1.2 | 26.6 ± 0.72 |
| 13h | NA | 19.3 ± 0.63 | 16.3 ± 0.63 | 19.3 ± 0.58 |
| Gentamicin | 22.3 ± 0.58 | 25.4 ± 1.2 | 2.6 ± 0.63 | 23.3 ± 0.58 |
| Compound No. | 13c | 13d | 13g | Reference |
|---|---|---|---|---|
| Fungi | Amphotericin B | |||
| Aspergillus niger | 3.9 | 0.98 | 1.95 | 0.98 |
| Geotrichum candidum | 7.81 | 1.95 | 3.9 | 0.49 |
| G+ Bacteria | Ampicillin | |||
| St. aureus | 3.9 | 3.9 | 15.63 | 0.98 |
| St. epidermidis | 15.63 | 7.81 | 31.25 | 1.95 |
| B. subtilis | 0.98 | 0.49 | 1.95 | 0.49 |
| St. pyogenes | NA | NA | NA | 0.49 |
| G- Bacteria | Gentamicin | |||
| P. aeruginosa | NA | NA | NA | 1.95 |
| E. coli | 3.9 | 0.49 | 3.9 | 0.49 |
| K. pneumoniae | 7.81 | 3.9 | 15.63 | 0.98 |
| S. typhimurium | 3.9 | 1.95 | 3.9 | 0.98 |
© 2019 by the authors. Licensee MDPI, Basel, Switzerland. This article is an open access article distributed under the terms and conditions of the Creative Commons Attribution (CC BY) license (http://creativecommons.org/licenses/by/4.0/).
Share and Cite
Alsaedi, A.M.R.; Farghaly, T.A.; Shaaban, M.R. Synthesis and Antimicrobial Evaluation of Novel Pyrazolopyrimidines Incorporated with Mono- and Diphenylsulfonyl Groups. Molecules 2019, 24, 4009. https://doi.org/10.3390/molecules24214009
Alsaedi AMR, Farghaly TA, Shaaban MR. Synthesis and Antimicrobial Evaluation of Novel Pyrazolopyrimidines Incorporated with Mono- and Diphenylsulfonyl Groups. Molecules. 2019; 24(21):4009. https://doi.org/10.3390/molecules24214009
Chicago/Turabian StyleAlsaedi, Amani M. R., Thoraya. A. Farghaly, and Mohamed R. Shaaban. 2019. "Synthesis and Antimicrobial Evaluation of Novel Pyrazolopyrimidines Incorporated with Mono- and Diphenylsulfonyl Groups" Molecules 24, no. 21: 4009. https://doi.org/10.3390/molecules24214009
APA StyleAlsaedi, A. M. R., Farghaly, T. A., & Shaaban, M. R. (2019). Synthesis and Antimicrobial Evaluation of Novel Pyrazolopyrimidines Incorporated with Mono- and Diphenylsulfonyl Groups. Molecules, 24(21), 4009. https://doi.org/10.3390/molecules24214009

