Anti-Inflammatory Activity of Some Characteristic Constituents from the Vine Stems of Spatholobus suberectus
Abstract
:1. Introduction
2. Results and Discussion
2.1. Extraction and Isolation
2.2. ECD Calculation
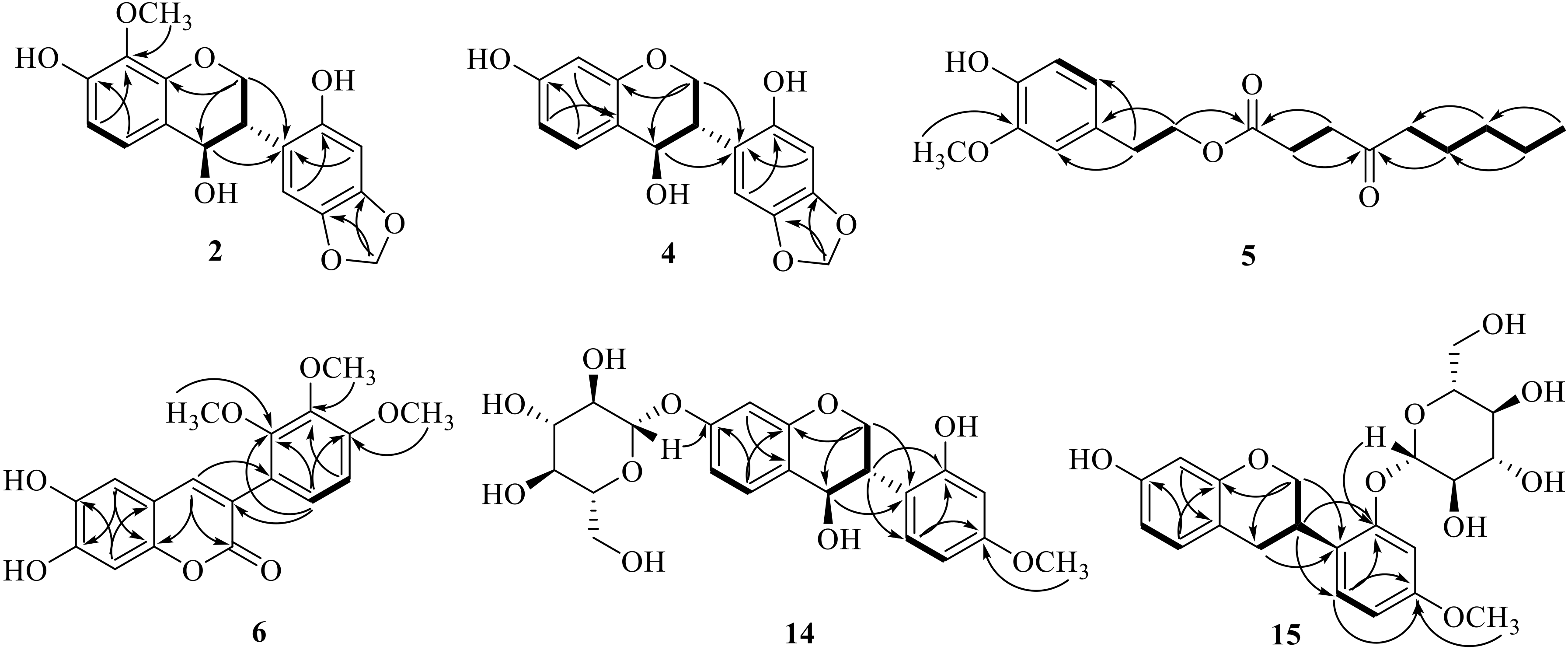
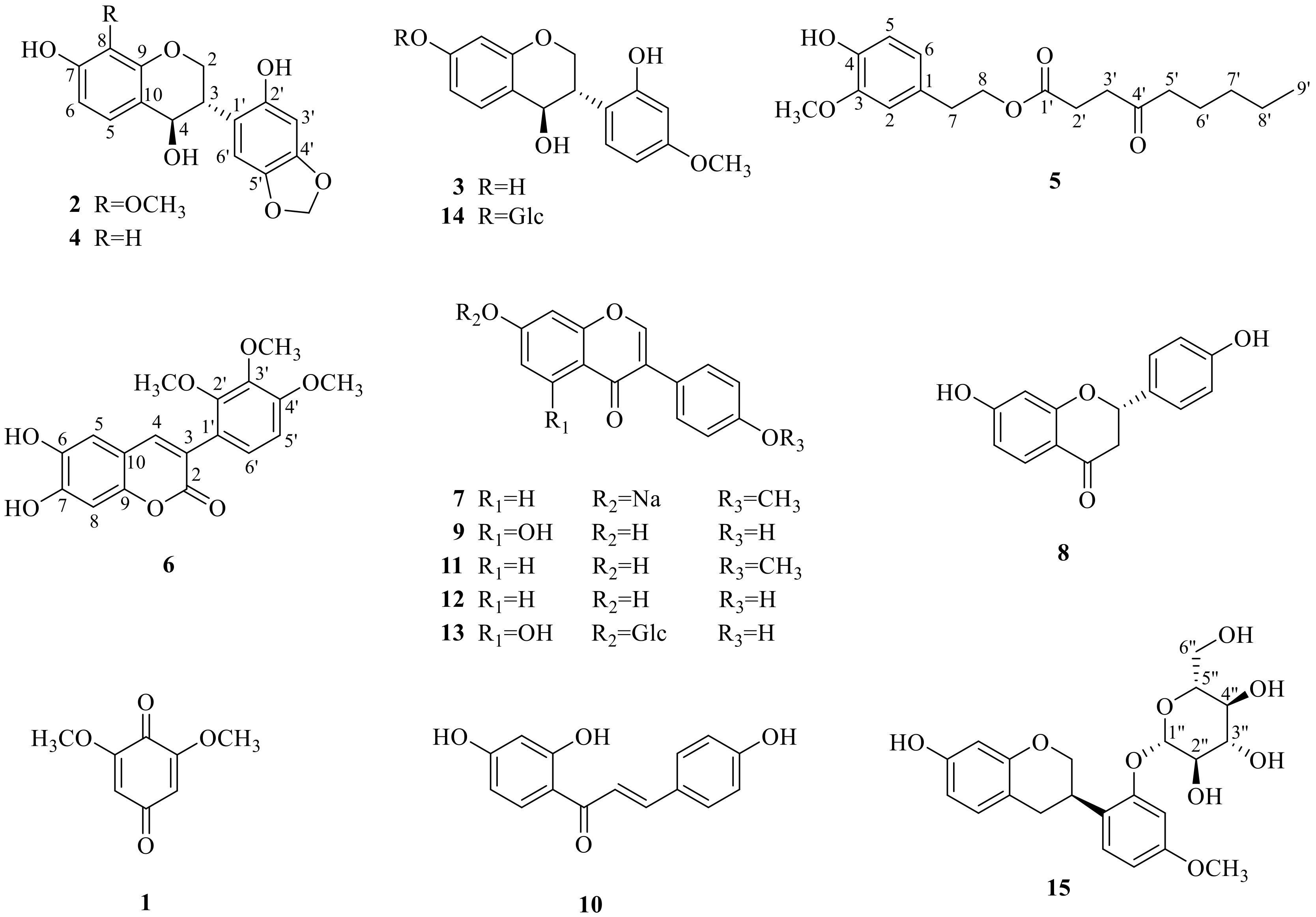
2.3. Structural Elucidation of Isolated Compounds 1–15
2.4. Activity of Inhibiting NO Overproduction
2.5. Analysis of Messenger RNA (mRNA) Expression Levels of Inflammatory Factors
3. Experimental Section
3.1. General Experimental Procedures
3.2. Plant Material
3.3. Biological Study
3.3.1. Cytotoxicity Assay
3.3.2. NO Inhibition Assay
3.3.3. qPCR Assay
3.3.4. Statistical Analysis
4. Conclusions
Author Contributions
Funding
Conflicts of Interest
References
- Chinese Pharmacopoeia Commission. Pharmacopoeia of the People’s Republic of China; China Medical Science and Technology Press: Beijing, China, 2015; Volume I, p. 194. [Google Scholar]
- Chen, S.R.; Wang, A.Q.; Lin, L.G.; Qiu, H.C.; Wang, Y.T.; Wang, Y. In vitro study on anti-hepatitis C virus activity of Spatholobus suberectus Dunn. Molecules 2016, 21, 1367. [Google Scholar] [CrossRef] [PubMed]
- Lee, B.J.; Jo, I.Y.; Bu, Y.; Park, J.W.; Maeng, S.; Kang, H.; Jang, W.; Hwang, D.S.; Lee, W.; Min, K.; et al. Antiplatelet effects of Spatholobus suberectus via inhibition of the glycoprotein IIb/IIIa receptor. J. Ethnopharmacol. 2011, 134, 460–467. [Google Scholar] [CrossRef] [PubMed]
- Lu, S.L.; Wu, B.Y.; Chong, X.Z.; Yan, P.; Zhan, R.T.; Zhang, S.R. Effect of ethanol extracts from Caulis Spatholobi on blood lipid and their antioxidation in hyperlipemia rats. J. Guangzhou Univ. Tradit. Chin. Med. 2017, 34, 387–390. [Google Scholar]
- Ravipati, A.S.; Zhang, L.; Koyyalamudi, S.R.; Jeong, S.C.; Reddy, N.; Bartlett, J.; Smith, P.T.; Shanmugam, K.; Münch, G.; Wu, M.J.; et al. Antioxidant and anti-inflammatory activities of selected Chinese medicinal plants and their relation with antioxidant content. BMC Complement Altern. Med. 2012, 12, 173. [Google Scholar] [CrossRef] [PubMed]
- Fu, Y.F.; Jiang, L.H.; Zhao, W.D.; Xi-Nan, M.; Huang, S.Q.; Yang, J.; Hu, T.J.; Chen, H.L. Immunomodulatory and antioxidant effects of total flavonoids of Spatholobus suberectus Dunn on PCV2 infected mice. Sci. Rep. 2017, 7, 8676. [Google Scholar] [CrossRef] [PubMed]
- Chen, H.L.; Yang, J.; Fu, Y.F.; Meng, X.N.; Zhao, W.D.; Hu, T.J. Effect of total flavonoids of Spatholobus suberectus Dunn on PCV2 induced oxidative stress in RAW264.7 cells. BMC Complement Altern. Med. 2017, 17, 244. [Google Scholar] [CrossRef]
- Do, M.H.; Hur, J.; Choi, J.; Kim, Y.; Park, H.Y.; Ha, S.K. Spatholobus suberectus ameliorates diabetes-induced renal damage by suppressing advanced glycation end products in db/db mice. Int. J. Mol. Sci. 2018, 19, 2774. [Google Scholar] [CrossRef]
- Li, H.; Ji, G.Y.; Wang, Y.Q.; Deng, Y.X.; Lin, F.Y.; Jiang, Z.Q. Effect of genistein on cholesterol metabolism and expressions of gene or protein involved in SREBP-2 pathway in HepG2 cells. South Chin. J. Prev. Med. 2014, 40, 114–118. [Google Scholar]
- Kim, H.Y.; Kim, A.R.; Seo, H.S.; Baik, J.E.; Ahn, K.B.; Yun, C.H.; Han, S.H. Lipoproteins in Streptococcus gordonii are critical in the infection and inflammatory responses. Mol. Immunol. 2018, 101, 574–584. [Google Scholar] [CrossRef]
- Tocmo, R.; Parkin, K. S-Alk(en)ylmercaptocysteine suppresses LPS-induced pro-inflammatory responses in murine macrophages through inhibition of NF-kappaB pathway and modulation of thiol redox status. Free Radic. Biol. Med. 2018, 129, 548–558. [Google Scholar] [CrossRef]
- Kang, S.S.; Sim, J.R.; Yun, C.H.; Han, S.H. Lipoteichoic acids as a major virulence factor causing inflammatory responses via Toll-like receptor 2. Arch. Pharm. Res. 2016, 39, 1519–1529. [Google Scholar] [CrossRef] [PubMed]
- Shen, C.Y.; Jiang, J.G.; Shi, M.M.; Yang, H.L.; Wei, H.; Zhu, W. Comparison of the effects and inhibitory pathways of the constituents from Gynostemma pentaphyllum against LPS-induced inflammatory response. J. Agric. Food Chem. 2018, 66, 11337–11346. [Google Scholar] [CrossRef] [PubMed]
- Xu, J.; Wang, M.; Sun, X.; Ren, Q.; Cao, X.; Li, S.; Su, G.; Tuerhong, M.; Lee, D.; Ohizumi, Y.; et al. Bioactive terpenoids from Salvia plebeia: Structures, NO inhibitory activities, and interactions with iNOS. J. Nat. Prod. 2016, 79, 2924–2932. [Google Scholar] [CrossRef] [PubMed]
- Jang, J.; Jung, Y.; Chae, S.; Bae, T.; Kim, S.M.; Shim, Y.J.; Chung, S.I.; Yoon, Y. XAV939, a Wnt/beta-catenin pathway modulator, has inhibitory effects on LPS-induced inflammatory response. Immunopharmacol. Immunotoxicol. 2019, 41, 394–402. [Google Scholar] [CrossRef] [PubMed]
- Guo, X.D.; An, L.K.; Xu, D.; Ma, L.; Gu, L.Q. The chemical constituents of Heliicteres angustifolia Linn. Acta Scinetiarum Nat. Univ. Sunyatseni 2003, 42, 52–55. [Google Scholar]
- Tang, R.N.; Qu, X.B.; Guan, S.H.; Xu, P.P.; Shi, Y.Y.; Guo, D.A. Chemical constituents of Spatholobus suberectus. Chin. J. Nat. Med. 2012, 10, 32–35. [Google Scholar] [CrossRef]
- Zheng, Y.; Liu, H.; Bai, Y.J.; Ma, Y.M.; Zhao, Y.Y. Five flavonoids from Spatholobus suberectus. Chin. J. Chin. Mater. Med. 2008, 33, 152–154. [Google Scholar]
- Wu, S.; Xu, W.; Yang, X.W. Studies on biotransformation of chemical constituents of Tongmai formula by human intestinal flora. Chin. J. Chin. Mater. Med. 2013, 38, 3510–3519. [Google Scholar]
- Wang, Q.H.; Wang, X.L.; Ao, W.L.J.; Dai, N.Y.T.; Na, R.C.K.T. Chemical constituents of roots of Astragalus membranaceus (Fisch.) Bge. var. mongholicus (Bge) Hsiao. Chin. Pharm. J. 2014, 49, 357–359. [Google Scholar]
- Wang, K.H.; Zhang, Y.T.; Yang, X.W.; Xu, W.; Zhang, P.; Gong, Y.; Liu, N.F. Chemical constituents from Fukeqianjin formula. Chin. J. Chin. Mater. Med. 2018, 43, 2300–2312. [Google Scholar]
- Ganapaty, S.; Pannakal, S.T.; Srilakshmi, G.V.K.; Lakshmi, P.; Waterman, P.G.; Brun, R. Pumilanol, an antiprotozoal isoflavanol from Tephrosia pumila. Phytochem. Lett. 2008, 1, 175–178. [Google Scholar] [CrossRef]
- Won, D.; Shin, B.K.; Kang, S.; Hur, H.G.; Kim, M.; Han, J. Absolute configurations of isoflavan-4-ol stereoisomers. Bioorg. Med. Chem. Lett. 2008, 18, 1952–1957. [Google Scholar] [CrossRef] [PubMed]
- Cho, H.; Chung, B.; Kim, C.K.; Oh, D.C.; Oh, K.B.; Shin, J. Spatholobus suberectus Dunn. constituents inhibit sortase A and Staphylococcus aureus cell clumping to fibrinogen. Arch. Pharmacal Res. 2017, 40, 518–523. [Google Scholar] [CrossRef] [PubMed]
- Danis, O.; Demir, S.; Gunduz, C.; Alparslan, M.M.; Altun, S.; Yuce-Dursun, B. Synthesis of selected 3- and 4-arylcoumarin derivatives and evaluation as potent antioxidants. Res. Chem. Intermed. 2016, 42, 6061–6077. [Google Scholar] [CrossRef]
- Hatano, T.; Takagi, M.; Ito, H.; Yoshida, T. Acylated flavonoid glycosides and accompanying phenolics from licorice. Phytochemistry 1998, 47, 287–293. [Google Scholar] [CrossRef]
- Chen, H.C.; Lee, J.K.; Yip, T.; Sernia, C.; Lavidis, N.A.; Spiers, J.G. Sub-acute restraint stress progressively increases oxidative/nitrosative stress and inflammatory markers while transiently upregulating antioxidant gene expression in the rat hippocampus. Free Radic. Biol. Med. 2019, 130, 446–457. [Google Scholar] [CrossRef]
- Cheong, S.H.; Yang, H.W.; Ko, E.Y.; Ahn, G.; Lee, W.; Kim, D.; Jeon, Y.J.; Kim, K.N. Anti-inflammatory effects of trans-1,3-diphenyl-2,3-epoxypropane-1-one in zebrafish embryos in vivo model. Fish Shellfish Immunol. 2016, 50, 16–20. [Google Scholar] [CrossRef]
- Abdallah, H.M.I.; Elshamy, A.I.; El Gendy, A.E.G.; Abd El-Gawad, A.M.; Omer, E.A.; De Leo, M.; Pistelli, L. Anti-inflammatory, antipyretic, and antinociceptive effects of a Cressa cretica aqueous extract. Planta Med. 2017, 83, 1313–1320. [Google Scholar] [CrossRef]
- Nalamachu, S.; Wortmann, R. Role of indomethacin in acute pain and inflammation management: A review of the literature. Postgrad. Med. 2014, 126, 92–97. [Google Scholar] [CrossRef]
- Rotelli, A.E.; Guardia, T.; Juarez, A.O.; de la Rocha, N.E.; Pelzer, L.E. Comparative study of flavonoids in experimental models of inflammation. Pharmacol. Res. 2003, 48, 601–606. [Google Scholar] [CrossRef]
- Scherliess, R. The MTT assay as tool to evaluate and compare excipient toxicity in vitro on respiratory epithelial cells. Int. J. Pharm. 2011, 411, 98–105. [Google Scholar] [CrossRef] [PubMed]
- Deng, G.G.; Wei, W.; Yang, X.W.; Zhang, Y.B.; Xu, W.; Gong, N.B.; Lu, Y.; Wang, F.F. New coumarins from the roots of Angelica dahurica var. formosana cv. Chuanbaizhi and their inhibition on NO production in LPS-activated RAW264.7 cells. Fitoterapia 2015, 101, 194–200. [Google Scholar] [PubMed]
- Cianciulli, A.; Calvello, R.; Porro, C.; Trotta, T.; Salvatore, R.; Panaro, M.A. PI3k/Akt signalling pathway plays a crucial role in the anti-inflammatory effects of curcumin in LPS-activated microglia. Int. Immunopharmacol. 2016, 36, 282–290. [Google Scholar] [CrossRef] [PubMed]
- Wu, X.W.; Wei, W.; Yang, X.W.; Zhang, Y.B.; Xu, W.; Yang, Y.F.; Zhong, G.Y.; Liu, H.N.; Yang, S.L. Anti-inflammatory phenolic acid esters from the roots and rhizomes of Notopterygium incisium and their permeability in the human Caco-2 monolayer cell model. Molecules 2017, 22, 935. [Google Scholar] [CrossRef] [PubMed]
- Weng, Z.M.; Wang, P.; Ge, G.B.; Dai, Z.R.; Wu, D.C.; Zou, L.W.; Dou, T.Y.; Zhang, T.Y.; Yang, L.; Hou, J. Structure-activity relationships of flavonoids as natural inhibitors against E. coli beta-glucuronidase. Food Chem. Toxicol. 2017, 109, 975–983. [Google Scholar] [CrossRef]
- Lago, J.H.; Toledo-Arruda, A.C.; Mernak, M.; Barrosa, K.H.; Martins, M.A.; Tiberio, I.F.; Prado, C.M. Structure-activity association of flavonoids in lung diseases. Molecules 2014, 19, 3570–3595. [Google Scholar] [CrossRef]
- Wu, J.; Liu, K.; Shi, X.H. The anti-inflammatory activity of several flavonoids isolated from Murraya paniculata on murine macrophage cell line and gastric epithelial cell (GES-1). Pharm. Biol. 2016, 54, 868–881. [Google Scholar] [CrossRef]
Sample Availability: Samples of the compounds are not available from the authors. |





| No. | 2 | 4 | ||
|---|---|---|---|---|
| δH (J in Hz) | δC (mult.) a | δH (J in Hz) | δC (mult.) a | |
| 2 | 3.61, t (9.7) 4.29, dd (9.7, 3.5) | 66.1 (CH2) | 3.60, t (10.0) 4.22, dd (10.0, 3.7) | 65.9 (CH2) |
| 3 | 3.56, ddd (9.7, 7.0, 3.5) | 39.4 (CH) | 3.55, m | 39.9 (CH) |
| 4 | 5.52, d (7.0) | 77.9 (CH) | 5.50, d (6.8) | 78.2 (CH) |
| 5 | 6.99, d (8.5) | 125.7 (CH) | 7.24, d (8.4) | 132.2 (CH) |
| 6 | 6.55, d (8.5) | 110.1 (CH) | 6.47, dd (8.4, 2.4) | 109.9 (CH) |
| 7 | – | 151.3 (C) | – | 158.9 (C) |
| 8 | – | 135.8 (C) | 6.27, d (2.4) | 103.0 (CH) |
| 9 | – | 149.7 (C) | – | 156.5 (C) |
| 10 | – | 112.5 (C) | – | 111.4 (C) |
| 1′ | – | 118.5 (C) | – | 118.6 (C) |
| 2′ | – | 153.9 (C) | – | 153.9 (C) |
| 3′ | 6.52, s | 93.3 (CH) | 6.52, s | 93.4 (CH) |
| 4′ | – | 147.6 (C) | – | 147.6 (C) |
| 5′ | – | 141.2 (C) | – | 141.2 (C) |
| 6′ | 6.97, s | 105.5 (CH) | 6.96, s | 105.5 (CH) |
| 3-OCH3 | 3.66, s | 60.2 (CH3) | – | – |
| -OCH2O- | 5.91, d (0.9); 5.95, d (0.9) | 101.2 (CH2) | 5.91, d (0.7); 5.94, d (0.7) | 101.2 (CH2) |
| No. | 5 | No. | 6 | ||
|---|---|---|---|---|---|
| δH (J in Hz) | δC (mult.) a | δH (J in Hz) | δC (mult.) a | ||
| 1 | – | 128.6 (C) | 2 | – | 160.5 (C) |
| 2 | 6.80, d (1.9) | 113.2 (CH) | 3 | – | 121.4 (C) |
| 3 | – | 147.6 (C) | 4 | 7.78, s | 142.0 (CH) |
| 4 | – | 145.3 (C) | 5 | 7.24, s | 109.7 (CH) |
| 5 | 6.69, d (8.0) | 115.5 (CH) | 6 | – | 151.0 (C) |
| 6 | 6.60, dd (8.0, 1.9) | 121.1 (CH) | 7 | – | 145.5 (C) |
| 7 | 2.74, t (7.0) | 36.7 (CH2) | 8 | 6.81, s | 102.6 (CH) |
| 8 | 4.13, t (7.0) | 65.0 (CH2) | 9 | – | 149.1 (C) |
| 1′ | – | 172.4 (C) | 10 | – | 111.2 (C) |
| 2′ | 2.44, t (6.7) | 27.8 (CH2) | 1′ | – | 120.6 (C) |
| 3′ | 2.66, t (6.7) | 34.1 (CH2) | 2′ | – | 145.5 (C) |
| 4′ | – | 209.1 (C) | 3′ | – | 140.8 (C) |
| 5′ | 2.39, t (7.4) | 41.8 (CH2) | 4′ | – | 151.8 (C) |
| 6′ | 1.45, m | 23.1 (CH2) | 5′ | 6.64, d (8.6) | 111.4 (CH) |
| 7′ | 1.25, m | 30.9 (CH2) | 6′ | 6.86, d (8.6) | 125.2 (CH) |
| 8′ | 1.25, m | 22.1 (CH2) | 2′-OCH3 | 3.71, s | 60.6 (CH3) |
| 9′ | 0.85, t (7.1) | 14.0 (CH3) | 3′-OCH3 | 3.77, s | 60.2 (CH3) |
| 3-OCH3 | 3.74, s | 55.7 (CH3) | 4′-OCH3 | 3.82, s | 56.2 (CH3) |
| No. | 14 | 15 | ||
|---|---|---|---|---|
| δH (J in Hz) | δC (mult.) a | δH (J in Hz) | δC (mult.) a | |
| 2 | 3.64, dd (9.8, 15.9)4.29, dd (9.2, 9.8) | 66.1 (CH2) | 3.92, t (10.2)4.12, br d (10.2) | 69.6 (CH2) |
| 3 | 3.66, ddd (6.4, 9.2, 15.9) | 39.4 (CH) | 3.35, m | 30.9 (CH) |
| 4 | 5.61, d (6.4) | 77.9 (CH) | 2.76, dd (15.6, 5.0)2.90, dd (15.6, 10.6) | 30.0 (CH2) |
| 5 | 7.39, d (8.6) | 132.1 (CH) | 6.87, d (8.5) | 130.3 (CH) |
| 6 | 6.72, dd (2.2, 8.6) | 110.6 (CH) | 6.29, dd (8.5, 2.4) | 108.1 (CH) |
| 7 | – | 158.6 (C) | – | 156.6 (C) |
| 8 | 6.56, d (2.2) | 104.2 (CH) | 6.19, d (2.4) | 102.8 (CH) |
| 9 | – | 156.4 (C) | – | 154.9 (C) |
| 10 | – | 114.3 (C) | – | 113.1 (C) |
| 1′ | – | 119.4 (C) | – | 122.4 (C) |
| 2′ | – | 160.4 (C) | – | 156.3 (C) |
| 3′ | 6.43, d (2.1) | 96.5 (CH) | 6.76, d (2.4) | 102.0 (CH) |
| 4′ | – | 160.7 (C) | – | 159.2 (C) |
| 5′ | 6.45, dd (2.1, 8.1) | 106.3 (CH) | 6.55, dd (8.6, 2.4) | 107.3 (CH) |
| 6′ | 7.26, d (8.1) | 125.3 (CH) | 7.07, d (8.6) | 127.9 (CH) |
| 1″ | 4.84, d (7.7) | 100.5 (CH) | 4.84, d (7.2) | 101.3 (CH) |
| 2″ | 3.22, m | 73.3 (CH) | 3.26, m | 73.6 (CH) |
| 3″ | 3.25, m | 76.7 (CH) | 3.27, m | 77.0 (CH) |
| 4″ | 3.14, m | 69.8 (CH) | 3.15, m | 70.2 (CH) |
| 5″ | 3.34, m | 77.2 (CH) | 3.35, m | 77.5 (CH) |
| 6″ | 3.67, m | 60.8 (CH2) | 3.73, m | 61.1 (CH2) |
| 3.44, m | 3.46, m | |||
| 4′-OCH3 | 3.70, s | 55.4 (CH3) | 3.72, s | 55.3 (CH3) |
| Compounds | CC50 (μM) | IC50 (μM) | SI a |
|---|---|---|---|
| 1 | 26.23 ± 1.26 | 5.69 ± 0.28 ** ▲▲▲ | 4.61 |
| 2 | >200 b | 46.26 ± 5.83 | >4.32 |
| 3 | >200 | 35.41 ± 2.92 ▲ | >5.65 |
| 4 | 300.455 ± 11.98 | 40.05 ± 6.94 ▲ | 7.50 |
| 5 | >200 | 45.87 ± 4.76 | >4.36 |
| 6 | 702.91 ± 56.35 | 28.33 ± 6.44 ▲ | 24.81 |
| 7 | 335.09 ± 3.02 | 22.75 ± 0.55 ▲▲ | 14.73 |
| 8 | 314.68 ± 8.19 | 16.34 ± 4.45 ▲▲▲ | 19.25 |
| 9 | 3557.01 ± 925.86 | 16.87 ± 3.39 ▲▲▲ | 210.84 |
| 10 | 133.44 ± 2.11 | 6.78 ± 0.59 ** ▲▲▲ | 19.68 |
| 11 | 103.14 ± 9.56 | 21.11 ± 4.80 ▲▲ | 4.88 |
| 12 | 413.21 ± 3.075 | 35.49 ± 2.69 ▲▲ | 11.64 |
| 13 | >200 | 36.43 ± 2.47 ▲ | 5.49 |
| 14 | 718.30 ± 110.98 | 122.56 ± 9.92 | 5.86 |
| 15 | 396.85 | >200 | <1.98 |
| l-NIL | >200 | 19.08 ± 1.18 | >10.48 |
| IND | 633.45 ± 75.12 | 55.44 ± 3.71 | 11.43 |
| Gene | Forward (5’–3’) | Reverse (5’–3’) |
|---|---|---|
| β-Actin | GGCTGTATTCCCCTCCATCG | CCAGTTGGTAACAATGCCATGT |
| IL-6 | TAGTCCTTCCTACCCCAATTTCC | TTGGTCCTTAGCCACTCCTTC |
| IL-1β | TCAGGCAGGCAGTATCACTC | AGCTCATATGGGTCCGACAG |
| TNF-α | ATGGCCTCCCTCTCATCAGT | TGGTTTGCTACGACGTGGG |
| iNOS | TCCATGACTCCCAGCACA | CCATCTCCTGCATTTCTTCC |
| COX-2 | GGCGCAGTTTATGTTGTCTGT | CAAGACAGATCATAAGCGAGGA |
© 2019 by the authors. Licensee MDPI, Basel, Switzerland. This article is an open access article distributed under the terms and conditions of the Creative Commons Attribution (CC BY) license (http://creativecommons.org/licenses/by/4.0/).
Share and Cite
Liu, X.-Y.; Zhang, Y.-B.; Yang, X.-W.; Yang, Y.-F.; Xu, W.; Zhao, W.; Peng, K.-F.; Gong, Y.; Liu, N.-F.; Zhang, P. Anti-Inflammatory Activity of Some Characteristic Constituents from the Vine Stems of Spatholobus suberectus. Molecules 2019, 24, 3750. https://doi.org/10.3390/molecules24203750
Liu X-Y, Zhang Y-B, Yang X-W, Yang Y-F, Xu W, Zhao W, Peng K-F, Gong Y, Liu N-F, Zhang P. Anti-Inflammatory Activity of Some Characteristic Constituents from the Vine Stems of Spatholobus suberectus. Molecules. 2019; 24(20):3750. https://doi.org/10.3390/molecules24203750
Chicago/Turabian StyleLiu, Xiao-Yan, You-Bo Zhang, Xiu-Wei Yang, Yan-Fang Yang, Wei Xu, Wei Zhao, Kai-Feng Peng, Yun Gong, Ni-Fu Liu, and Peng Zhang. 2019. "Anti-Inflammatory Activity of Some Characteristic Constituents from the Vine Stems of Spatholobus suberectus" Molecules 24, no. 20: 3750. https://doi.org/10.3390/molecules24203750
APA StyleLiu, X.-Y., Zhang, Y.-B., Yang, X.-W., Yang, Y.-F., Xu, W., Zhao, W., Peng, K.-F., Gong, Y., Liu, N.-F., & Zhang, P. (2019). Anti-Inflammatory Activity of Some Characteristic Constituents from the Vine Stems of Spatholobus suberectus. Molecules, 24(20), 3750. https://doi.org/10.3390/molecules24203750
