Novel Antiretroviral Structures from Marine Organisms
Abstract
1. Introduction
2. Marine Compounds in the Treatment of HIV/AIDS
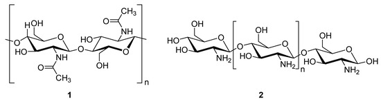
2.1. Chitosan and Its Derivatives
2.2. Sulfated Polysaccharides
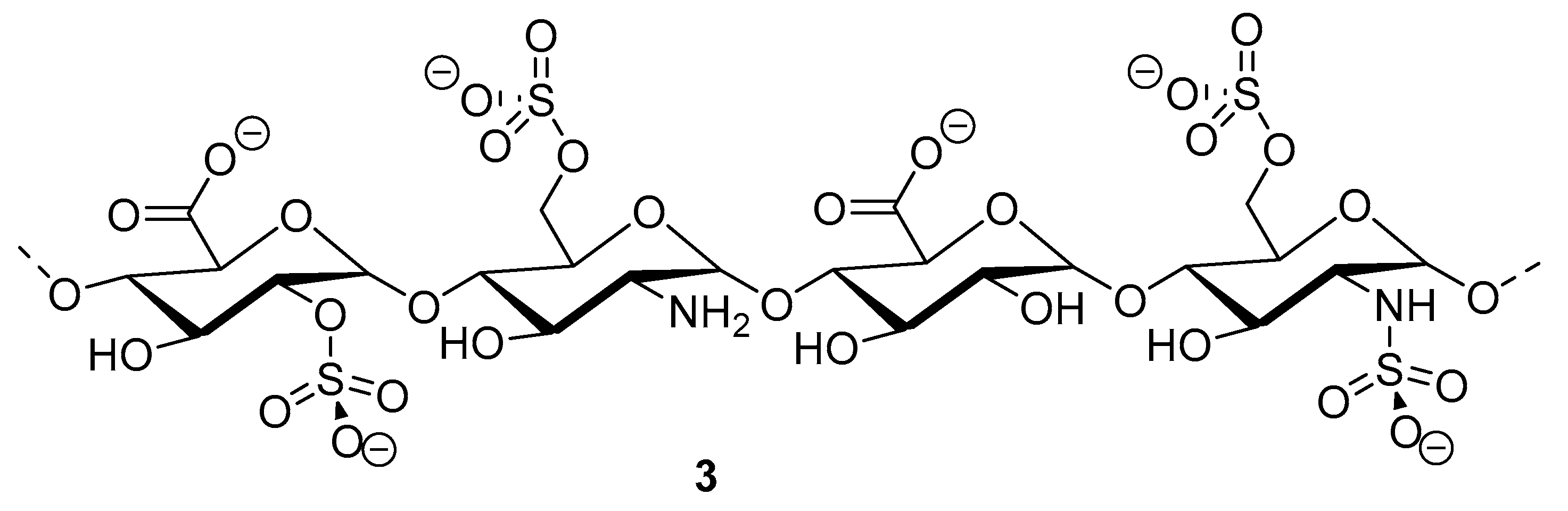
2.2.1. Heparan Sulfate
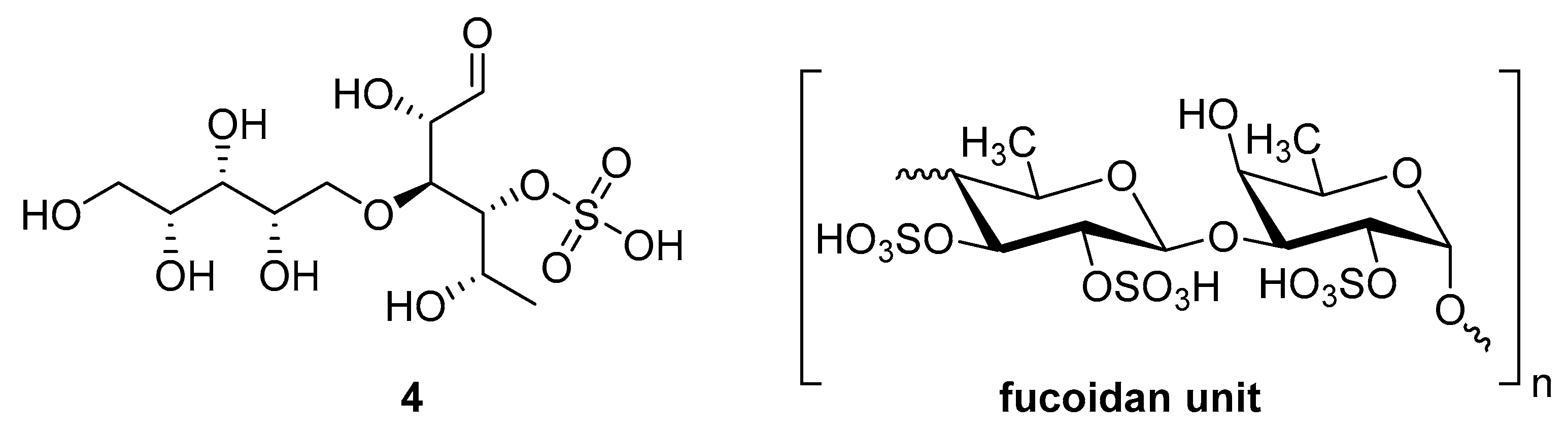
2.2.2. Fucose Containing SP
2.2.3. Fucoidans
2.3. Lectins
2.4. Peptides
2.5. Alkaloids
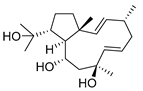
2.6. Diterpenes
2.7. Phlorotannins and Xanthones
2.8. Fish Oil as an Adjuvant to HAART Therapy
2.9. Others
3. Future Directions in the Anti-HIV Marine Drug Development
Author Contributions
Funding
Conflicts of Interest
References
- AVERT. Symptoms and Stages of HIV Infection. Available online: https://www.avert.org/about-hiv-aids/symptoms-stages (accessed on 12 April 2019).
- HIV/AIDS. Available online: https://www.who.int/news-room/fact-sheets/detail/hiv-aids (accessed on 12 April 2019).
- Li, G.; Piampongsant, S.; Faria, N.R.; Voet, A.; Pineda-Peña, A.-C.; Khouri, R.; Lemey, P.; Vandamme, A.-M.; Theys, K. An integrated map of HIV genome-wide variation from a population perspective. Retrovirology 2015, 12, 18. [Google Scholar] [CrossRef] [PubMed]
- Saphire, A.C.S.; Bobardt, M.D.; Zhang, Z.; David, G.; Gallay, P.A. Syndecans Serve as Attachment Receptors for Human Immunodeficiency Virus Type 1 on Macrophages. J. Virol. 2001, 75, 9187–9200. [Google Scholar] [CrossRef] [PubMed]
- Arthos, J.; Cicala, C.; Martinelli, E.; Macleod, K.; Van Ryk, D.; Wei, D.; Xiao, Z.; Veenstra, T.D.; Conrad, T.P.; Lempicki, R.A.; et al. HIV-1 envelope protein binds to and signals through integrin α4β7, the gut mucosal homing receptor for peripheral T cells. Nat. Immunol. 2008, 9, 301–309. [Google Scholar] [CrossRef] [PubMed]
- Cicala, C.; Martinelli, E.; McNally, J.P.; Goode, D.J.; Gopaul, R.; Hiatt, J.; Jelicic, K.; Kottilil, S.; Macleod, K.; O’Shea, A.; et al. The integrin α4β7 forms a complex with cell-surface CD4 and defines a T-cell subset that is highly susceptible to infection by HIV-1. PNAS 2009, 106, 20877–20882. [Google Scholar] [CrossRef] [PubMed]
- Geijtenbeek, T.B.; Kwon, D.S.; Torensma, R.; van Vliet, S.J.; van Duijnhoven, G.C.; Middel, J.; Cornelissen, I.L.; Nottet, H.S.; KewalRamani, V.N.; Littman, D.R.; et al. DC-SIGN, a dendritic cell-specific HIV-1-binding protein that enhances trans-infection of T cells. Cell 2000, 100, 587–597. [Google Scholar] [CrossRef]
- Orloff, G.M.; Orloff, S.L.; Kennedy, M.S.; Maddon, P.J.; McDougal, J.S. Penetration of CD4 T cells by HIV-1. The CD4 receptor does not internalize with HIV, and CD4-related signal transduction events are not required for entry. J. Immunol. 1991, 146, 2578–2587. [Google Scholar] [PubMed]
- Maddon, P.J.; Dalgleish, A.G.; McDougal, J.S.; Clapham, P.R.; Weiss, R.A.; Axel, R. The T4 gene encodes the AIDS virus receptor and is expressed in the immune system and the brain. Cell 1986, 47, 333–348. [Google Scholar] [CrossRef]
- McDougal, J.; Kennedy, M.; Sligh, J.; Cort, S.; Mawle, A.; Nicholson, J. Binding of HTLV-III/LAV to T4+ T cells by a complex of the 110K viral protein and the T4 molecule. Science 1986, 231, 382–385. [Google Scholar] [CrossRef]
- Alkhatib, G. The biology of CCR5 and CXCR4. Curr. Opin. HIV AIDS 2009, 4, 96–103. [Google Scholar] [CrossRef]
- Okoye, A.A.; Picker, L.J. CD4(+) T-cell depletion in HIV infection: Mechanisms of immunological failure. Immunol. Rev. 2013, 254, 54–64. [Google Scholar] [CrossRef]
- Schrager, L.K.; D’Souza, M.P. Cellular and anatomical reservoirs of HIV-1 in patients receiving potent antiretroviral combination therapy. JAMA 1998, 280, 67–71. [Google Scholar] [CrossRef] [PubMed]
- Berkhout, B.; Eggink, D.; Sanders, R.W. Is there a future for antiviral fusion inhibitors? Curr. Opin. Virol. 2012, 2, 50–59. [Google Scholar] [CrossRef] [PubMed]
- Greenberg, M.L.; Cammack, N. Resistance to enfuvirtide, the first HIV fusion inhibitor. J. Antimicrob. Chemother. 2004, 54, 333–340. [Google Scholar] [CrossRef] [PubMed]
- Baldwin, C.E.; Sanders, R.W.; Deng, Y.; Jurriaans, S.; Lange, J.M.; Lu, M.; Berkhout, B. Emergence of a drug-dependent human immunodeficiency virus type 1 variant during therapy with the T20 fusion inhibitor. J. Virol. 2004, 78, 12428–12437. [Google Scholar] [CrossRef] [PubMed]
- Rimsky, L.T.; Shugars, D.C.; Matthews, T.J. Determinants of human immunodeficiency virus type 1 resistance to gp41-derived inhibitory peptides. J. Virol. 1998, 72, 986–993. [Google Scholar] [PubMed]
- Abner, E.; Jordan, A. HIV “shock and kill” therapy: In need of revision. Antiviral Res. 2019, 166, 19–34. [Google Scholar] [CrossRef]
- Hütter, G.; Nowak, D.; Mossner, M.; Ganepola, S.; Müßig, A.; Allers, K.; Schneider, T.; Hofmann, J.; Kücherer, C.; Blau, O.; et al. Long-Term Control of HIV by CCR5 Delta32/Delta32 Stem-Cell Transplantation. N. Engl. J. Med. 2009, 360, 692–698. [Google Scholar] [CrossRef] [PubMed]
- Ananworanich, J.; Robb, M.L. The transient HIV remission in the Mississippi baby: Why is this good news? J. Int. AIDS Soc. 2014, 17, 19859. [Google Scholar] [CrossRef]
- The Lancet HIV. Like London buses, two putative cure cases arrive at once. Lancet HIV 2019, 6, e205. [Google Scholar] [CrossRef]
- Newman, D.J.; Cragg, G.M. Natural Products as Sources of New Drugs from 1981 to 2014. J. Nat. Prod. 2016, 79, 629–661. [Google Scholar] [CrossRef]
- Erakovic Haber, V.; Spaventi, R. Discovery and Development of Novel Drugs. In Progress in Molecular and Subcellular Biology; Springer: Cham, Switzerland, 2017; Volume 55, pp. 91–104. [Google Scholar]
- Blunt, J.W.; Copp, B.R.; Hu, W.-P.; Munro, M.H.G.; Northcote, P.T.; Prinsep, M.R. Marine natural products. Nat. Prod. Rep. 2009, 26, 170. [Google Scholar] [CrossRef] [PubMed]
- Mori, T.; O’Keefe, B.R.; Sowder, R.C.; Bringans, S.; Gardella, R.; Berg, S.; Cochran, P.; Turpin, J.A.; Buckheit, R.W.; McMahon, J.B.; et al. Isolation and Characterization of Griffithsin, a Novel HIV-inactivating Protein, from the Red Alga Griffithsia sp. J. Biol. Chem. 2005, 280, 9345–9353. [Google Scholar] [CrossRef] [PubMed]
- Xue, J.; Gao, Y.; Hoorelbeke, B.; Kagiampakis, I.; Zhao, B.; Demeler, B.; Balzarini, J.; Liwang, P.J. The role of individual carbohydrate-binding sites in the function of the potent anti-HIV lectin griffithsin. Mol. Pharm. 2012, 9, 2613–2625. [Google Scholar] [CrossRef] [PubMed]
- Huang, X.; Jin, W.; Griffin, G.E.; Shattock, R.J.; Hu, Q. Removal of two high-mannose N-linked glycans on gp120 renders human immunodeficiency virus 1 largely resistant to the carbohydrate-binding agent griffithsin. J. Gen. Virol. 2011, 92, 2367–2373. [Google Scholar] [CrossRef] [PubMed]
- Xue, J.; Hoorelbeke, B.; Kagiampakis, I.; Demeler, B.; Balzarini, J.; Liwang, P.J. The griffithsin dimer is required for high-potency inhibition of HIV-1: Evidence for manipulation of the structure of gp120 as part of the griffithsin dimer mechanism. Antimicrob. Agents Chemother. 2013, 57, 3976–3989. [Google Scholar] [CrossRef] [PubMed]
- Gerwick, W.H.; Moore, B.S. Lessons from the Past and Charting the Future of Marine Natural Products Drug Discovery and Chemical Biology. Chem. Biol. 2012, 19, 85–98. [Google Scholar] [CrossRef] [PubMed]
- Martins, A.; Vieira, H.; Gaspar, H.; Santos, S.; Martins, A.; Vieira, H.; Gaspar, H.; Santos, S. Marketed Marine Natural Products in the Pharmaceutical and Cosmeceutical Industries: Tips for Success. Mar. Drugs 2014, 12, 1066–1101. [Google Scholar] [CrossRef] [PubMed]
- Karagozlu, M.Z.; Karadeniz, F.; Kim, S.-K. Anti-HIV activities of novel synthetic peptide conjugated chitosan oligomers. Int. J. Biol. Macromol. 2014, 66, 260–266. [Google Scholar] [CrossRef] [PubMed]
- Ramana, L.N.; Sharma, S.; Sethuraman, S.; Ranga, U.; Krishnan, U.M. Evaluation of chitosan nanoformulations as potent anti-HIV therapeutic systems. Biochim. Biophys. Acta 2014, 1840, 476–484. [Google Scholar] [CrossRef]
- Shohani, S.; Mondanizadeh, M.; Abdoli, A.; Khansarinejad, B.; Salimi-Asl, M.; Ardestani, M.; Ghanbari, M.; Haj, M.; Zabihollahi, R. Trimethyl Chitosan Improves Anti-HIV Effects of Atripla as a New Nanoformulated Drug. Curr. HIV Res. 2017, 15, 56–65. [Google Scholar] [CrossRef]
- Cheung, R.C.F.; Ng, T.B.; Wong, J.H.; Chan, W.Y. Chitosan: An Update on Potential Biomedical and Pharmaceutical Applications. Mar. Drugs 2015, 13, 5156–5186. [Google Scholar] [CrossRef] [PubMed]
- Wijesekara, I.; Pangestuti, R.; Kim, S.-K. Biological activities and potential health benefits of sulfated polysaccharides derived from marine algae. Carbohydr. Polym. 2011, 84, 14–21. [Google Scholar] [CrossRef]
- Jiao, G.; Yu, G.; Zhang, J.; Ewart, H.S. Chemical structures and bioactivities of sulfated polysaccharides from marine algae. Mar. Drugs 2011, 9, 196–223. [Google Scholar] [CrossRef] [PubMed]
- Gupta, S.; Abu-Ghannam, N. Recent developments in the application of seaweeds or seaweed extracts as a means for enhancing the safety and quality attributes of foods. Innov. Food Sci. Emerg. Technol. 2011, 12, 600–609. [Google Scholar] [CrossRef]
- Aquino, R.S.; Grativol, C.; Mourão, P.A.S. Rising from the Sea: Correlations between Sulfated Polysaccharides and Salinity in Plants. PLoS ONE 2011, 6, e18862. [Google Scholar] [CrossRef]
- Torode, T.A.; Marcus, S.E.; Jam, M.; Tonon, T.; Blackburn, R.S.; Hervé, C.; Knox, J.P. Monoclonal Antibodies Directed to Fucoidan Preparations from Brown Algae. PLoS One 2015, 10, e0118366. [Google Scholar] [CrossRef] [PubMed]
- Deniaud-Bouët, E.; Kervarec, N.; Michel, G.; Tonon, T.; Kloareg, B.; Hervé, C. Chemical and enzymatic fractionation of cell walls from Fucales: Insights into the structure of the extracellular matrix of brown algae. Ann. Bot. 2014, 114, 1203–1216. [Google Scholar] [CrossRef]
- Adhikari, U.; Mateu, C.G.; Chattopadhyay, K.; Pujol, C.A.; Damonte, E.B.; Ray, B. Structure and antiviral activity of sulfated fucans from Stoechospermum marginatum. Phytochemistry 2006, 67, 2474–2482. [Google Scholar] [CrossRef]
- Zhang, H.; Wang, J.-Q.; Nie, S.-P.; Wang, Y.-X.; Cui, S.W.; Xie, M.-Y. Sulfated modification, characterization and property of a water-insoluble polysaccharide from Ganoderma atrum. Int. J. Biol. Macromol. 2015, 79, 248–255. [Google Scholar] [CrossRef]
- Witvrouw, M.; De Clercq, E. Sulfated polysaccharides extracted from sea algae as potential antiviral drugs. Gen. Pharmacol. 1997, 29, 497–511. [Google Scholar] [CrossRef]
- Meiyu, G.; Fuchuan, L.; Xianliang, X.; Jing, L.; Zuowei, Y.; Huashi, G. The potential molecular targets of marine sulfated polymannuroguluronate interfering with HIV-1 entry. Interaction between SPMG and HIV-1 rgp120 and CD4 molecule. Antiviral Res. 2003, 59, 127–135. [Google Scholar] [CrossRef]
- Damonte, E.B.; Matulewicz, M.C.; Cerezo, A.S. Sulfated seaweed polysaccharides as antiviral agents. Curr. Med. Chem. 2004, 11, 2399–2419. [Google Scholar] [CrossRef] [PubMed]
- Witvrouw, M.; Schols, D.; Andrei, G.; Snoeck, R.; Ikeda, S.; Pauwels, R.; Van Schepdael, A.; Arnout, J.; Claes, P.; Desmyter, J.; et al. New Polyacetal Polysulphate Active against Human Immunodeficiency Virus and other Enveloped Viruses. Antivir. Chem. Chemother. 1992, 3, 351–360. [Google Scholar] [CrossRef]
- Parish, C.R.; Jakobsen, K.B.; Coombe, D.R.; Bacic, A. Isolation and characterization of cell adhesion molecules from the marine sponge, Ophlitaspongia tenuis. Biochim. Biophys. Acta 1991, 1073, 56–64. [Google Scholar] [CrossRef]
- Lynch, G.; Low, L.; Li, S.; Sloane, A.; Adams, S.; Parish, C.; Kemp, B.; Cunningham, A.L. Sulfated polyanions prevent HIV infection of lymphocytes by disruption of the CD4-gp120 interaction, but do not inhibit monocyte infection. J. Leukoc. Biol. 1994, 56, 266–272. [Google Scholar] [CrossRef] [PubMed]
- Talyshinsky, M.M.; Souprun, Y.Y.; Huleihel, M.M. Anti-viral activity of red microalgal polysaccharides against retroviruses. Cancer Cell Int. 2002, 2, 8. [Google Scholar] [CrossRef] [PubMed]
- Gerenčer, M.; Turecek, P.L.; Kistner, O.; Mitterer, A.; Savidis-Dacho, H.; Barrett, N.P. In vitro and in vivo anti-retroviral activity of the substance purified from the aqueous extract of Chelidonium majus L. Antiviral Res. 2006, 72, 153–156. [Google Scholar] [CrossRef]
- Neyts, J.; Snoeck, R.; Schols, D.; Balzarini, J.; Esko, J.D.; Van Schepdael, A.; De Clercq, E. Sulfated polymers inhibit the interaction of human cytomegalovirus with cell surface heparan sulfate. Virology 1992, 189, 48–58. [Google Scholar] [CrossRef]
- Vidhyanandhini, R.; Saravanan, R.; Vairamani, S.; Shanmugam, A. The anticoagulant activity and structural characterization of fractionated and purified glycosaminoglycans from venerid clam Meretrix casta (Chemnitz). J. Liq. Chromatogr. Relat. Technol. 2014, 37, 917–929. [Google Scholar] [CrossRef]
- Li, P.; Sheng, J.; Liu, Y.; Li, J.; Liu, J.; Wang, F. Heparosan-Derived Heparan Sulfate/Heparin-Like Compounds: One Kind of Potential Therapeutic Agents. Med. Res. Rev. 2013, 33, 665–692. [Google Scholar] [CrossRef]
- Ahmadi, A.; Zorofchian Moghadamtousi, S.; Abubakar, S.; Zandi, K. Antiviral Potential of Algae Polysaccharides Isolated from Marine Sources: A Review. Biomed. Res. Int. 2015, 2015, 1–10. [Google Scholar] [CrossRef] [PubMed]
- Rabanal, M.; Ponce, N.M.A.; Navarro, D.A.; Gómez, R.M.; Stortz, C.A. The system of fucoidans from the brown seaweed Dictyota dichotoma: Chemical analysis and antiviral activity. Carbohydr. Polym. 2014, 101, 804–811. [Google Scholar] [CrossRef] [PubMed]
- Thuy, T.T.T.; Ly, B.M.; Van, T.T.T.; Van Quang, N.; Tu, H.C.; Zheng, Y.; Seguin-Devaux, C.; Mi, B.; Ai, U. Anti-HIV activity of fucoidans from three brown seaweed species. Carbohydr. Polym. 2015, 115, 122–128. [Google Scholar] [CrossRef] [PubMed]
- Hoshino, T.; Hayashi, T.; Hayashi, K.; Hamada, J.; Lee, J.B.; Sankawa, U. An antivirally active sulfated polysaccharide from Sargassum horneri (TURNER) C. AGARDH. Biol. Pharm. Bull. 1998, 21, 730–734. [Google Scholar] [CrossRef] [PubMed]
- Schaeffer, D.J.; Krylov, V.S. Anti-HIV Activity of Extracts and Compounds from Algae and Cyanobacteria. Ecotoxicol. Environ. Saf. 2000, 45, 208–227. [Google Scholar] [CrossRef] [PubMed]
- Ueno, M.; Nogawa, M.; Siddiqui, R.; Watashi, K.; Wakita, T.; Kato, N.; Ikeda, M.; Okimura, T.; Isaka, S.; Oda, T.; et al. Acidic polysaccharides isolated from marine algae inhibit the early step of viral infection. Int. J. Biol. Macromol. 2019, 124, 282–290. [Google Scholar] [CrossRef]
- Huang, N.; Wu, M.-Y.; Zheng, C.-B.; Zhu, L.; Zhao, J.-H.; Zheng, Y.-T. The depolymerized fucosylated chondroitin sulfate from sea cucumber potently inhibits HIV replication via interfering with virus entry. Carbohydr. Res. 2013, 380, 64–69. [Google Scholar] [CrossRef] [PubMed]
- Lian, W.; Wu, M.; Huang, N.; Gao, N.; Xiao, C.; Li, Z.; Zhang, Z.; Zheng, Y.; Peng, W.; Zhao, J. Anti-HIV-1 activity and structure–activity-relationship study of a fucosylated glycosaminoglycan from an echinoderm by targeting the conserved CD4 induced epitope. Biochim. Biophys. Acta 2013, 1830, 4681–4691. [Google Scholar] [CrossRef]
- Pirrone, V.; Wigdahl, B.; Krebs, F.C. The rise and fall of polyanionic inhibitors of the human immunodeficiency virus type 1. Antiviral Res. 2011, 90, 168–182. [Google Scholar] [CrossRef]
- Torode, T.A.; Siméon, A.; Marcus, S.E.; Jam, M.; Le Moigne, M.-A.; Duffieux, D.; Knox, J.P.; Hervé, C. Dynamics of cell wall assembly during early embryogenesis in the brown alga Fucus. J. Exp. Bot. 2016, 67, 6089–6100. [Google Scholar] [CrossRef]
- Raimundo, S.C.; Avci, U.; Hopper, C.; Pattathil, S.; Hahn, M.G.; Popper, Z.A. Immunolocalization of cell wall carbohydrate epitopes in seaweeds: Presence of land plant epitopes in Fucus vesiculosus L. (Phaeophyceae). Planta 2016, 243, 337–354. [Google Scholar] [CrossRef] [PubMed]
- Andrade, L.R.; Leal, R.N.; Noseda, M.; Duarte, M.E.R.; Pereira, M.S.; Mourão, P.A.S.; Farina, M.; Amado Filho, G.M. Brown algae overproduce cell wall polysaccharides as a protection mechanism against the heavy metal toxicity. Mar. Pollut. Bull. 2010, 60, 1482–1488. [Google Scholar] [CrossRef]
- Zvyagintseva, T.N.; Shevchenko, N.M.; Chizhov, A.O.; Krupnova, T.N.; Sundukova, E.V.; Isakov, V.V. Water-soluble polysaccharides of some far-eastern brown seaweeds. Distribution, structure, and their dependence on the developmental conditions. J. Exp. Mar. Bio. Ecol. 2003, 294, 1–13. [Google Scholar] [CrossRef]
- Mak, W.; Hamid, N.; Liu, T.; Lu, J.; White, W.L. Fucoidan from New Zealand Undaria pinnatifida: Monthly variations and determination of antioxidant activities. Carbohydr. Polym. 2013, 95, 606–614. [Google Scholar] [CrossRef] [PubMed]
- Fletcher, H.R.; Biller, P.; Ross, A.B.; Adams, J.M.M. The seasonal variation of fucoidan within three species of brown macroalgae. Algal Res. 2017, 22, 79–86. [Google Scholar] [CrossRef]
- Stengel, D.B.; Connan, S.; Popper, Z.A. Algal chemodiversity and bioactivity: Sources of natural variability and implications for commercial application. Biotechnol. Adv. 2011, 29, 483–501. [Google Scholar] [CrossRef]
- Fitton, J.H.; Stringer, D.N.; Karpiniec, S.S. Therapies from Fucoidan: An Update. Mar. Drugs 2015, 13, 5920–5946. [Google Scholar] [CrossRef]
- Astronomo, R.D.; Burton, D.R. Carbohydrate vaccines: Developing sweet solutions to sticky situations? Nat. Rev. Drug Discov. 2010, 9, 308–324. [Google Scholar] [CrossRef]
- Wang, Y.; Ye, X.-S.; Zhang, L.-H. Oligosaccharide assembly by one-pot multi-step strategy. Org. Biomol. Chem. 2007, 5, 2189. [Google Scholar] [CrossRef]
- Astronomo, R.D.; Lee, H.-K.; Scanlan, C.N.; Pantophlet, R.; Huang, C.-Y.; Wilson, I.A.; Blixt, O.; Dwek, R.A.; Wong, C.-H.; Burton, D.R. A Glycoconjugate Antigen Based on the Recognition Motif of a Broadly Neutralizing Human Immunodeficiency Virus Antibody, 2G12, Is Immunogenic but Elicits Antibodies Unable To Bind to the Self Glycans of gp120. J. Virol. 2008, 82, 6359–6368. [Google Scholar] [CrossRef]
- Luallen, R.J.; Lin, J.; Fu, H.; Cai, K.K.; Agrawal, C.; Mboudjeka, I.; Lee, F.-H.; Montefiori, D.; Smith, D.F.; Doms, R.W.; et al. An Engineered Saccharomyces cerevisiae Strain Binds the Broadly Neutralizing Human Immunodeficiency Virus Type 1 Antibody 2G12 and Elicits Mannose-Specific gp120-Binding Antibodies. J. Virol. 2008, 82, 6447–6457. [Google Scholar] [CrossRef] [PubMed][Green Version]
- Dunlop, D.C.; Ulrich, A.; Appelmelk, B.J.; Burton, D.R.; Dwek, R.A.; Zitzmann, N.; Scanlan, C.N. Antigenic mimicry of the HIV envelope by AIDS-associated pathogens. AIDS 2008, 22, 2214–2217. [Google Scholar] [CrossRef] [PubMed]
- Joyce, J.G.; Krauss, I.J.; Song, H.C.; Opalka, D.W.; Grimm, K.M.; Nahas, D.D.; Esser, M.T.; Hrin, R.; Feng, M.; Dudkin, V.Y.; et al. An oligosaccharide-based HIV-1 2G12 mimotope vaccine induces carbohydrate-specific antibodies that fail to neutralize HIV-1 virions. PNAS 2008, 105, 15684–15689. [Google Scholar] [CrossRef] [PubMed]
- Astronomo, R.D.; Kaltgrad, E.; Udit, A.K.; Wang, S.-K.; Doores, K.J.; Huang, C.-Y.; Pantophlet, R.; Paulson, J.C.; Wong, C.-H.; Finn, M.G.; et al. Defining Criteria for Oligomannose Immunogens for HIV Using Icosahedral Virus Capsid Scaffolds. Chem. Biol. 2010, 17, 357–370. [Google Scholar] [CrossRef] [PubMed]
- Wang, S.-K.; Liang, P.-H.; Astronomo, R.D.; Hsu, T.-L.; Hsieh, S.-L.; Burton, D.R.; Wong, C.-H. Targeting the carbohydrates on HIV-1: Interaction of oligomannose dendrons with human monoclonal antibody 2G12 and DC-SIGN. PNAS 2008, 105, 3690–3695. [Google Scholar] [CrossRef] [PubMed]
- Wang, L.-X. Toward oligosaccharide- and glycopeptide-based HIV vaccines. Curr. Opin. Drug Discov. Devel. 2006, 9, 194–206. [Google Scholar] [PubMed]
- Kumar, K.K.; Reddy, G.S.; Reddy, B.; Shekar, P.C.; Sumanthi, J.; Chandra, K.I.P. Biological role of lectins: A review. J. Orofac. Sci. 2012, 4, 20. [Google Scholar] [CrossRef]
- Balzarini, J. Inhibition of HIV entry by carbohydrate-binding proteins. Antiviral Res. 2006, 71, 237–247. [Google Scholar] [CrossRef]
- Balzarini, J.; Neyts, J.; Schols, D.; Hosoya, M.; Van Damme, E.; Peumans, W.; De Clercq, E. The mannose-specific plant lectins from Cymbidium hybrid and Epipactis helleborine and the (N-acetylglucosamine)n-specific plant lectin from Urtica dioica are potent and selective inhibitors of human immunodeficiency virus and cytomegalovirus replication. Antiviral Res. 1992, 18, 191–207. [Google Scholar] [CrossRef]
- Hansen, J.E.; Nielsen, C.M.; Nielsen, C.; Heegaard, P.; Mathiesen, L.R.; Nielsen, J.O. Correlation between carbohydrate structures on the envelope glycoprotein gp120 of HIV-1 and HIV-2 and syncytium inhibition with lectins. AIDS 1989, 3, 635–641. [Google Scholar] [CrossRef]
- Sato, T.; Hori, K. Cloning, expression, and characterization of a novel anti-HIV lectin from the cultured cyanobacterium, Oscillatoria agardhii. Fish. Sci. 2009, 75, 743–753. [Google Scholar] [CrossRef]
- Akkouh, O.; Ng, T.B.; Singh, S.S.; Yin, C.; Dan, X.; Chan, Y.S.; Pan, W.; Cheung, R.C.F. Lectins with anti-HIV activity: A review. Molecules 2015, 20, 648–668. [Google Scholar] [CrossRef] [PubMed]
- Gogineni, V.; Schinazi, R.F.; Hamann, M.T. Role of Marine Natural Products in the Genesis of Antiviral Agents. Chem. Rev. 2015, 115, 9655–9706. [Google Scholar] [CrossRef] [PubMed]
- Hirayama, M.; Shibata, H.; Imamura, K.; Sakaguchi, T.; Hori, K. High-Mannose Specific Lectin and Its Recombinants from a Carrageenophyta Kappaphycus alvarezii Represent a Potent Anti-HIV Activity Through High-Affinity Binding to the Viral Envelope Glycoprotein gp120. Mar. Biotechnol. 2016, 18, 144–160. [Google Scholar] [CrossRef] [PubMed]
- Vo, T.-S.; Kim, S.-K. Potential Anti-HIV Agents from Marine Resources: An Overview. Mar. Drugs 2010, 8, 2871–2892. [Google Scholar] [CrossRef] [PubMed]
- Cheung, R.C.F.; Ng, T.B.; Wong, J.H. Marine Peptides: Bioactivities and Applications. Mar. Drugs 2015, 13, 4006–4043. [Google Scholar] [CrossRef] [PubMed]
- Qaralleh, H. Chemical and bioactive diversities of marine sponge Neopetrosia. Bangladesh J. Pharmacol. 2016, 11, 433. [Google Scholar] [CrossRef]
- ANEIROS, A.; GARATEIX, A. Bioactive peptides from marine sources: Pharmacological properties and isolation procedures. J. Chromatogr. B 2004, 803, 41–53. [Google Scholar] [CrossRef]
- Shin, H.J.; Rashid, M.A.; Cartner, L.K.; Bokesch, H.R.; Wilson, J.A.; McMahon, J.B.; Gustafson, K.R. Stellettapeptins A and B, HIV-inhibitory cyclic depsipeptides from the marine sponge Stelletta sp. Tetrahedron Lett. 2015, 56, 4215–4219. [Google Scholar] [CrossRef]
- Wildeman;Gomez-Archila, L.G.; Galeano, E.; Martínez, A.; Castrillón, F.J.D.; Rugeles, M.T. Bromotyrosine Derivatives from Marine Sponges Inhibit the HIV-1 Replication in Vitro. Vitae 2014, 21, 114–125. [Google Scholar]
- Jang, I.S.; Park, S.J. Hydroxyproline-containing collagen peptide derived from the skin of the Alaska pollack inhibits HIV-1 infection. Mol. Med. Rep. 2016, 14, 5489–5494. [Google Scholar] [CrossRef] [PubMed]
- Jang, I.-S.; Park, S.J. A Spirulina maxima-derived peptide inhibits HIV-1 infection in a human T cell line MT4. Fish. Aquat. Sci. 2016, 19, 37. [Google Scholar] [CrossRef]
- Zhou, X.; Fang, W.; Tan, S.; Lin, X.; Xun, T.; Yang, B.; Liu, S.; Liu, Y. Aspernigrins with anti-HIV-1 activities from the marine-derived fungus Aspergillus niger SCSIO Jcsw6F30. Bioorg. Med. Chem. Lett. 2016, 26, 361–365. [Google Scholar] [CrossRef] [PubMed]
- Niu, S.; Liu, D.; Shao, Z.; Proksch, P.; Lin, W. Eutypellazines A–M, thiodiketopiperazine-type alkaloids from deep sea derived fungus Eutypella sp. MCCC 3A00281. RSC Adv. 2017, 7, 33580–33590. [Google Scholar] [CrossRef]
- O’Rourke, A.; Kremb, S.; Bader, T.; Helfer, M.; Schmitt-Kopplin, P.; Gerwick, W.; Brack-Werner, R.; Voolstra, C. Alkaloids from the Sponge Stylissa carteri Present Prospective Scaffolds for the Inhibition of Human Immunodeficiency Virus 1 (HIV-1). Mar. Drugs 2016, 14, 28. [Google Scholar] [CrossRef] [PubMed]
- Yu, H.-B.; Yang, F.; Sun, F.; Li, J.; Jiao, W.-H.; Gan, J.-H.; Hu, W.-Z.; Lin, H.-W. Aaptamine derivatives with antifungal and anti-HIV-1 activities from the South China Sea sponge Aaptos aaptos. Mar. Drugs 2014, 12, 6003–6013. [Google Scholar] [CrossRef] [PubMed]
- Tietjen, I.; Williams, D.E.; Read, S.; Kuang, X.T.; Mwimanzi, P.; Wilhelm, E.; Markle, T.; Kinloch, N.N.; Naphen, C.N.; Tenney, K.; et al. Inhibition of NF-κB-dependent HIV-1 replication by the marine natural product bengamide A. Antiviral Res. 2018, 152, 94–103. [Google Scholar] [CrossRef] [PubMed]
- Ma, X.; Li, L.; Zhu, T.; Ba, M.; Li, G.; Gu, Q.; Guo, Y.; Li, D. Phenylspirodrimanes with Anti-HIV Activity from the Sponge-Derived Fungus Stachybotrys chartarum MXH-X73. J. Nat. Prod. 2013, 76, 2298–2306. [Google Scholar] [CrossRef] [PubMed]
- Pardo-Vargas, A.; de Barcelos Oliveira, I.; Stephens, P.; Cirne-Santos, C.; de Palmer Paixão, I.; Ramos, F.; Jiménez, C.; Rodríguez, J.; Resende, J.; Teixeira, V.; et al. Dolabelladienols A–C, New Diterpenes Isolated from Brazilian Brown Alga Dictyota pfaffii. Mar. Drugs 2014, 12, 4247–4259. [Google Scholar] [CrossRef]
- de Souza Barros, C.; Cirne-Santos, C.C.; Garrido, V.; Barcelos, I.; Stephens, P.R.S.; Giongo, V.; Teixeira, V.L.; de Palmer Paixão, I.C.N. Anti-HIV-1 activity of compounds derived from marine alga Canistrocarpus cervicornis. J. Appl. Phycol. 2016, 28, 2523–2527. [Google Scholar] [CrossRef]
- Stephens, P.R.S.; Cirne-Santos, C.C.; de Souza Barros, C.; Teixeira, V.L.; Carneiro, L.A.D.; Amorim, L.; dos, S.C.; Ocampo, J.S.P.; Castello-Branco, L.R.R.; de Palmer Paixão, I.C.N. Diterpene from marine brown alga Dictyota friabilis as a potential microbicide against HIV-1 in tissue explants. J. Appl. Phycol. 2017, 29, 775–780. [Google Scholar] [CrossRef]
- Miceli, L.; Teixeira, V.; Castro, H.; Rodrigues, C.; Mello, J.; Albuquerque, M.; Cabral, L.; de Brito, M.; de Souza, A.; Miceli, L.A.; et al. Molecular Docking Studies of Marine Diterpenes as Inhibitors of Wild-Type and Mutants HIV-1 Reverse Transcriptase. Mar. Drugs 2013, 11, 4127–4143. [Google Scholar] [CrossRef] [PubMed]
- Pardo-Vargas, A.; Ramos, F.A.; Cirne-Santos, C.C.; Stephens, P.R.; Paixão, I.C.P.; Teixeira, V.L.; Castellanos, L. Semi-synthesis of oxygenated dolabellane diterpenes with highly in vitro anti-HIV-1 activity. Bioorg. Med. Chem. Lett. 2014, 24, 4381–4383. [Google Scholar] [CrossRef] [PubMed]
- Karadeniz, F.; Kang, K.-H.; Park, J.W.; Park, S.-J.; Kim, S.-K. Anti-HIV-1 activity of phlorotannin derivative 8,4‴-dieckol from Korean brown alga Ecklonia cava. Biosci. Biotechnol. Biochem. 2014, 78, 1151–1158. [Google Scholar] [CrossRef] [PubMed]
- Tan, S.; Yang, B.; Liu, J.; Xun, T.; Liu, Y.; Zhou, X. Penicillixanthone A, a marine-derived dual-coreceptor antagonist as anti-HIV-1 agent. Nat. Prod. Res. 2017, 1–5. [Google Scholar] [CrossRef] [PubMed]
- He, J.; Huang, W.; Zheng, S.; Vigorito, M.; Chang, S.L. Effects of docosahexaenoic acid on locomotor activity in ethanol-treated HIV-1 transgenic rats. J. Neurovirol. 2018, 24, 88–97. [Google Scholar] [CrossRef] [PubMed]
- Mejia, E.J.; Loveridge, S.T.; Stepan, G.; Tsai, A.; Jones, G.S.; Barnes, T.; White, K.N.; Drašković, M.; Tenney, K.; Tsiang, M.; et al. Study of Marine Natural Products Including Resorcyclic Acid Lactones from Humicola fuscoatra That Reactivate Latent HIV-1 Expression in an in Vitro Model of Central Memory CD4+ T Cells. J. Nat. Prod. 2014, 77, 618–624. [Google Scholar] [CrossRef] [PubMed]
- Zhao, Y.; Liu, D.; Proksch, P.; Zhou, D.; Lin, W. Truncateols O-V, further isoprenylated cyclohexanols from the sponge-associated fungus Truncatella angustata with antiviral activities. Phytochemistry 2018, 155, 61–68. [Google Scholar] [CrossRef]
- Ahn, M.-J.; Yoon, K.-D.; Min, S.-Y.; Lee, J.S.; Kim, J.H.; Kim, T.G.; Kim, S.H.; Kim, N.-G.; Huh, H.; Kim, J. Inhibition of HIV-1 reverse transcriptase and protease by phlorotannins from the brown alga Ecklonia cava. Biol. Pharm. Bull. 2004, 27, 544–547. [Google Scholar] [CrossRef]
- Artan, M.; Li, Y.; Karadeniz, F.; Lee, S.-H.; Kim, M.-M.; Kim, S.-K. Anti-HIV-1 activity of phloroglucinol derivative, 6,6′-bieckol, from Ecklonia cava. Bioorg. Med. Chem. 2008, 16, 7921–7926. [Google Scholar] [CrossRef]
- Cardona, M.L.; Fernández, I.; Pedro, J.R.; Serrano, A. Xanthones from Hypericum reflexum. Phytochemistry 1990, 29, 3003–3006. [Google Scholar] [CrossRef]
- Negi, J.S.; Bisht, V.K.; Singh, P.; Rawat, M.S.M.; Joshi, G.P. Naturally Occurring Xanthones: Chemistry and Biology. J. Appl. Chem. 2013, 2013, 1–9. [Google Scholar] [CrossRef]
- Ahmed, M.; Husain, N.E. Managing dyslipidemia in HIV/AIDS patients: Challenges and solutions. HIV/AIDS 2014, 7, 1. [Google Scholar] [CrossRef] [PubMed]
- Vieira, A.D.S.; Silveira, G.R.M. da Effectiveness of n-3 fatty acids in the treatment of hypertriglyceridemia in HIV/AIDS patients: A meta-analysis. Cien. Saude Colet. 2017, 22, 2659–2669. [Google Scholar] [CrossRef] [PubMed][Green Version]
- Maria Jose MB, M.N.; MB, M.J.; Agudelo, M.; Yndart, A.; Vargas-Rivera, M.E. Platelets Contribute to BBB Disruption Induced by HIV and Alcohol. J. Alcohol. Drug Depend. 2015, 3, 1–6. [Google Scholar] [CrossRef]
- Flora, G.; Pu, H.; Lee, Y.W.; Ravikumar, R.; Nath, A.; Hennig, B.; Toborek, M. Proinflammatory synergism of ethanol and HIV-1 Tat protein in brain tissue. Exp. Neurol. 2005, 191, 2–12. [Google Scholar] [CrossRef] [PubMed]
- Acheampong, E.; Mukhtar, M.; Parveen, Z.; Ngoubilly, N.; Ahmad, N.; Patel, C.; Pomerantz, R.J. Ethanol strongly potentiates apoptosis induced by HIV-1 proteins in primary human brain microvascular endothelial cells. Virology 2002, 304, 222–234. [Google Scholar] [CrossRef]























| People Living with HIV in 2017 | People Newly Infected with HIV in 2017 | HIV-Related Deaths in 2017 | |
|---|---|---|---|
| total | 36.9 million (31.3–43.9 million) | 1.8 million (1.4–2.4 million) | 940,000 (670,000–1.3 million) |
| adults | 35 million (29.6–41.7 million) | 1.6 million (1.3–2.1 million) | 830 000 (590,000–1.2 million) |
| women | 18.2 million (15.6–21.4 million) | ||
| men | 16.8 million (13.9–20.4 million) | ||
| children (<15 years) | 1.8 million (1.3–2.4 million) | 180,000 (110,000–260,000) | 110,000 (63,000–160,000) |
| Neutral Sugars | |||||||
|---|---|---|---|---|---|---|---|
| Fuc | Xyl | Glu | Man | Gal | Uronic acid | SO3− | |
| ascophyllan (4) | 15.5 | 13.4 | 0.3 | 3.4 | 0.6 | 21.4 | 9.6 |
| S-fucoidan (5) | 24.8 | 1.9 | 0.8 | 1 | 3.1 | 9.6 | 22.6 |
| A-fucoidan (6) | 28.4 | 4.3 | 2.0 | 0.8 | 5.1 | 5.8 | 19.4 |
| Group | Compound | Location | Organism | Assay | Dose | Activity | Structure | Reference |
|---|---|---|---|---|---|---|---|---|
| Peptide + chitosan oligomer | QMW-COS | not disclosed a | marine byproduct | IC50—inhibition of HIV-1 induced lytic effects (cell viability assay) IC50—inhibition of HIV-1IIIB p24 antigen production (ELISA) IC50—inhibition of HIV-1RTMDR p24 antigen production (ELISA) IC50—inhibition of virus-induced luciferase activity in infected TZM-bl cells IC50—inhibition of the interaction between gp41 and CD4 (CD4-gp41 ELISA) | 48.14 µg/mL 67.35 µg/mL 81.03 µg/mL 68.13 µg/mL 39.13 µg/mL | anti-HIV-1; inhibition of the HIV entry at an early stage, blocking the fusion of HIV-1 infected cells, interference of gp41-CD4 binding | ![]() + glutamine (Q), methionine (M), tryptophan (W) | [31] |
| WMQ-COS | not discloseda | marine byproduct | IC50—Inhibition of HIV-1 induced lytic effects (cell viability assay) IC50—inhibition of HIV-1IIIB p24 antigen production (ELISA) IC50—inhibition of HIV-1RTMDR p24 antigen production (ELISA) IC50—inhibition of virus-induced luciferase activity in infected TZM-bl cells IC50—inhibition of interaction between gp41 and CD4 (CD4-gp41 ELISA) | 48.01 µg/mL 98.73 µg/mL 144.02 µg/mL 250 µg/mL 51.48 µg/ml | anti-HIV-1; inhibition of the HIV entry at an early stage | ![]() + tryptophan (W) methionine (M), glutamine (Q), | [31] | |
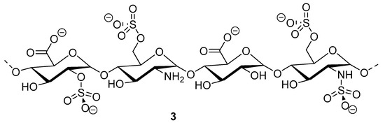
| Sulfated polysaccharides | heparan sulfate (3) | not disclosed | - | EC50—inhibition of HIV-1IIIB strain (syncytia assay) EC50—inhibition of HIV-1IIIB strain (p24 assay) EC50—inhibition of HIV-1IIIB/H9 strain (co-cultivation assay) EC50—inhibition of HIV-1RF strain (p24 assay) EC50—inhibition of HIV-1KM018 strain (p24 assay) EC50—inhibition of HIV-1TC-2 strain (p24 assay) EC50—inhibition of HIV-1A17 strain (p24 assay) EC50—inhibition of HIV-1RF/V82F/184V strain (p24 assay) EC50—inhibition of HIV-1L10R/M461/L63P/V82T/184V strain (p24 assay) EC50—inhibition of HIV-1CBL-20 strain (syncytia assay) EC50—inhibition of HIV-1ROD strain (syncytia assay) | 0.24 µg/mL 0.73 µg/mL 4.26 µg/mL 1.14 µg/mL 23.75 µg/mL 31.86 µg/mL 1.09 µg/mL 0.95 µg/mL 1.12 µg/mL 71.76 µg/mL97.63 µg/ml | anti-HIV-1; electrostatic interactions with basic amino acid residues of Tat | ![]() | [53] |
| fucose containing | Nha Trang bay, Vietnam | Sargassum mcclurei, Sargassum polycystum, and Turbinara Ornate brown seaweeds | U373-CD4-CXCR4 cells 211 infected with pseudotype viral IC50—inhibition (FSP crude extract)-(p24 ELISA) IC50—inhibition (FTO crude extract)-(p24 ELISA) IC50—inhibition (FSM crude extract)-(p24 ELISA) | 0.34 µg/mL 0.39 µg/mL 0.96 µg/mL | anti-HIV-1; inhibition of the early phase of infection, by blocking the virus attachment and entry into the host cells | [56] | ||
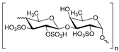
| ascophyllan (4) | not disclosed | different sources | IC50—inhibition of HIV-1R9-real-time PCR | 1.3 µg/mL | anti-HIV-1; early step of HIV-1 (R9 and JR-Fl) infection; inhibition of VSV-G-pseudotyped HIV-1 infection in HeLa cells | ![]() | [59] | |
| fucoidan S (5) fucoidan A (6) | not disclosed | different sources | IC50—inhibition of HIV-1R9-real-time PCR (fucoidan S) IC50—inhibition of HIV-1R9-real-time PCR (fucoidan A) | 0.3 µg/mL 0.6 µg/ml | anti-HIV-1; early step of HIV-1 (R9 and JR-Fl) infection; inhibition of VSV-G-pseudotyped HIV-1 infection in HeLa cells | ![]() | [59] | |
| chondroitin sulfate (7) | not disclosed | EC50—HIV-1 p24 detection-PBMC assay-inhibition of HIV-1IIIB, HIV-1L10R/M46I/L63P/V82T/I84V, HIV-1A17, HIV-1RF, and HIV-1RF/V82F/184V strains | 0.01–0.08 μM | anti-HIV-1; inhibition of HIV-1 replication; inhibition of the HIV-1 entry | ![]() | [61] | ||
| Lectins | KAA-1 | not disclosed | red alga Kappaphycus alvarezii | IC50—neutralization assay in Jurkat cells (median tissue culture infectious dose (TCID50) method using Jurkat cells) | 9.2 nM | anti-HIV-1; inhibition of the HIV-1 entry | [87] | |
| KAA-2 | not disclosed | red alga Kappaphycus alvarezii | IC50—neutralization assay in Jurkat cells (median tissue culture infectious dose (TCID50) method using Jurkat cells) | 7.3 nM | anti-HIV-1; inhibition of the HIV-1 entry | [87] | ||
| Peptides | stellettapeptin A (8) | north-western Australia | marine sponge Stelletta sp. | EC50—inhibition of the cytotoxic effect upon HIV-1 infection | 23 nm | anti-HIV-1; cytopathic effect of HIV-1 infection | ![]() | [92] |
| stellettapeptin B (9) | north-western Australia | marine sponge Stelletta sp. | EC50—inhibition of the cytotoxic effect upon HIV-1 infection | 27 nm | anti-HIV-1; cytopathic effect of HIV-1 infection | ![]() | [92] | |
| Bromotyrosine derivatives | aeroplysinin-1 (10) | Colombia | marine sponge Verongula rigida | % of inhibition of HIV-1 replication by flow cytometry % of reverse transcription inhibition (qPCR analysis of late transcripts) % of nuclear import inhibition (qPCR analysis of 2-LTR transcript) % of HIV entry inhibition (viral infectivity assay) | 74% of inhibition at 20 µM 48% of inhibition at 10 µM 67% of inhibition at 10 µM dose dependent manner 2–20% | anti-HIV-1; inhibition of HIV-1 replication, RT, nuclear import and entry | ![]() | [93] |
| 3,5-dibromo-N,N,N,O-tetramethyl Tyraminium (13) | Colombia | marine sponge Verongula rigida | % of HIV entry inhibition (viral infectivity assay) | dose depended manner 14–30% | anti-HIV-1; inhibition of HIV-1 entry | ![]() | [93] | |
| 19-deoxy fistularin 3 (15) | Colombia | marine sponge Verongula rigida | % of reverse transcription inhibition (qPCR analysis of early transcripts) % of reverse transcription inhibition (qPCR analysis of late transcripts) % of nuclear import inhibition (qPCR analysis of 2-LTR transcript) | 35% inhibition at 20 µM 11% inhibition at 20 µM 62% inhibition at 20 µM | anti-HIV-1; inhibition of HIV-1 replication, RT, nuclear import | ![]() | [93] | |
| purealidin B (16) | Colombia | marine sponge Verongula rigida | % of inhibition of HIV-1 replication by flow cytometry % of reverse transcription inhibition (qPCR analysis of early transcripts) % of reverse transcription inhibition (qPCR analysis of late transcripts) % of nuclear import inhibition (qPCR analysis of 2-LTR transcript) % of HIV entry inhibition (viral infectivity assay) | 57% of inhibition at 80 µM58% of inhibition at 20 µM 34% of inhibition at 20 µM 66% of inhibition at 20 µM dose depended manner 2–11% | anti-HIV-1; inhibition of HIV-1 replication, RT, nuclear import and entry | ![]() | [93] | |
| fistularin 3 (17) | Colombia | marine sponge Verongula rigida | % of reverse transcription inhibition (qPCR analysis of late transcripts) % of nuclear import inhibition (qPCR analysis of 2-LTR transcript) % of HIV entry inhibition (viral infectivity assay) | 24% of inhibition at 5 µM, 47% of inhibition at 10 µM, dose depended manner 11–13% | anti-HIV-1; inhibition of, HIV-1 RT, nuclear import and HIV-1 entry | ![]() | [93] | |
| 3-bromo- 5-hydroxy-O-methyltyrosine (18) | Colombia | marine sponge Aiolochroia crassa | % of inhibition of HIV-1 replication by flow cytometry % of reverse transcription inhibition (qPCR analysis of early transcripts) % of reverse transcription inhibition (qPCR analysis of late transcripts) % of nuclear import inhibition (qPCR analysis of 2-LTR transcript) % of HIV entry inhibition (viral infectivity assay) | 47% of inhibition at 80 µM, 54% of inhibition at 160 µM, 50% of inhibition at 40 µM, 73% of inhibition at 80 µM, dose depended manner 2–12% | anti-HIV-1; inhibition of HIV-1 replication, RT, nuclear import and entry | ![]() | [93] | |
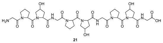
| Peptides | APCHP (21) | not disclosed | Alaska pollack | EC50—against anti-HIV-1 induced cell lysis (MTT assay) EC50—HIV-1-induced RT activation in MT-4 cells EC50—against p24 production (western blot) | 459 µM (0.403 mg/mL) 374 µM (0.327 mg/mL) 405 µM (0.356 mg/mL) | anti-HIV-1; inhibition of induced syncytia formation by interference of HIV fusion inhibition of cell lysis, RT activity and production of p24 antigen | ![]() | [94] |
| SM-peptide | not disclosed | Spirulina maxima | IC50—protective activity on HIV-1-induced cell lysis-MTT assay % of RT Inhibition in HIV-1-infected cells (reverse transcriptase assay kit) % of HIV-1 p24 antigen production (p24 antigen production assay) | 0.691 mM (0.475 mg/mL) 90% inhibition at 1.093 mM (0.75 mg/mL) 95% of inhibition at 1.093 mM (0.75 mg/mL) | anti-HIV-1; inhibition of the HIV-1 RT activity and p24 antigen production | Leu-Asp-Ala-Val-Asn-Arg | [95] | |
| Alkaloids | aspernigrin C (22) | Yongxing Island, South China Sea Yongxing Island, South China Sea | marine fungus Aspergillus niger SCSIO Jcw6F30 isolated from marine alga Sargassum sp. | IC50—inhibitory effects on infection by CCR5-tropic HIV-1 SF162 in TZM-bl cells | 4.7 μM | anti-HIV-1 | ![]() | [96] |
| malformin C (23) | Yongxing Island, South China Sea Yongxing Island, South China Sea | marine fungus Aspergillus niger SCSIO Jcw6F30 isolated from marine alga Sargassum sp. | IC50—inhibitory effects on infection by CCR5-tropic HIV-1 SF162 in TZM-bl cells | 1.4 μM | anti-HIV-1 | ![]() | [96] | |
| eutypellazine E (24) | South Atlantic Ocean | deep-sea sediment fungus Eutypella sp. MCCC 3A00281 | IC50—anti-HIV bioassay-pNL4.3.Env-.Luc co-transfected 293T cells | 3.2 μM | anti-HIV-1; inhibitory effects against HIV-1 replication | ![]() | [97] | |
| eutypellazine J (25) | South Atlantic Ocean | deep-sea sediment fungus Eutypella sp. MCCC 3A00281 | IC50—anti-HIV bioassay-pNL4.3.Env-.Luc co-transfected 293T cells reactivation activity-In vitro latent HIV reactivating assay-flow cytometry-based screening | 4.9 μM 80 μM | anti-HIV-1; inhibitory effects against HIV-1 replication, latency reactivating agent | ![]() | [97] | |
| debromo- hymenialdisine (26) | Coral reefs in the Red Sea | S. carteri sponge extract | % of reduction of HIV-1 replication-cell-based assay | 30% of inhibition at 13 μM | anti-HIV 1; decrease the transcription of the HIV-1, abrogate the G2-checkpoint of the cell cycle | ![]() | [98] | |
| Hymenialdisine (27) | Coral reefs in the Red Sea | S. carteri sponge extract | % of reduction of HIV-1 replication-cell-based assay | <40% of inhibition at 3.1 µM | anti-HIV 1; decrease the transcription of the HIV-1, abrogate the G2-checkpoint of the cell cycle | ![]() | [98] | |
| Oroidin (28) | Coral reefs in the Red Sea | S. carteri sponge extract | % of inhibition - HIV-1 RT biochemical assay % of reduction of HIV-1 replication-cell-based assay | 90% of inhibition at >25 μM 50% of inhibition at 50 μM | anti-HIV-1; inhibition of HIV-1 RT, reduction of HIV-1 replication | ![]() | [98] | |
| 3-(phenetyl amino) demethyl(oxy) aaptamine (29) | Woody Island (Yongxing, Hainan, China) and Seven Connected Islets in the South China Sea | A. aptos sponge extract | % of inhibition against HIV-1 replication-anti-HIV-1 activity assay-cell-based VSVG/HIV-1 pseudotyping system | 88% of inhibition at 10 μM | anti-HIV-1; inhibitory effects against HIV-1 replication | ![]() | [99] | |
| 3-(isopentyl amino) demethyl(oxy) aaptamine (30) | Woody Island (Yongxing, Hainan, China) and Seven Connected Islets in the South China Sea | A. aptos sponge extract | % of inhibition against HIV-1 replication-anti-HIV-1 activity assay-cell-based VSVG/HIV-1 pseudotyping system | 72.3% of inhibition at 10 μM | anti-HIV-1; inhibitory effects against HIV-1 replication | ![]() | [99] | |
| bengamide A (31) | not disclosed | screening of previously isolated compounds (originally isolated from the sponge Jaspis cf. coriacea) | EC50—multi-cycle viral replication assay % inhibition of p24Gag production-of PBMC assay-p24Gag was quantified by ELISA EC50—inhibition of LTR promoter-driven gene expression-LTR-based reporter assays | 0.015 μM >90% of inhibition at 0.3 μM 0.17 μM | anti-HIV-1; inhibition of NF-κB-mediated retroviral gene expression | ![]() | [100] | |
| haliclony- cyclamine A + B (32) | not disclosed | screening of previously isolated compounds | EC50—multi-cycle viral replication assay | 3.8 μM | anti-HIV-1; inhibitory effects against HIV-1 replication | ![]() | [100] | |
| keramamine C (33) | not disclosed | screening of previously isolated compounds | EC5—multi-cycle viral replication assay | 3.4 μM | anti-HIV-1; inhibitory effects against HIV-1 replication | ![]() | [100] | |
| stachybotrin D (34) | Xisha Island, China | sponge Xestospongia testudinaris | EC50—inhibitory Effects on Wild-Type and NNRTI-Resistant HIV-1 Replication: EC50—inhibition of VSVG/HIV-1wt EC50—inhibition of VSVG/HIV-1RT-K103N EC50—inhibition of VSVG/HIV-1RT-L100I,K103N EC50—inhibition of VSVG/HIV-1RT-K103N,V108I EC50—inhibition of VSVG/HIV-1RT-K103N,G190A EC50—inhibition of VSVG/HIV-1RT-K103N,P225H | 8.4 μM 7.0 μM 23.8 μM 13.3 μM 14.2 μM 6.2 μM | anti-HIV-1; HIV-1 RT inhibition (inhibitory effects on wild type and five NNRTI-resistant HIV-1 strains) | ![]() | [101] | |
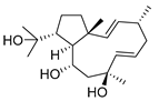
| Diterpenes | dolabelladienol A (35) | Atol das Rocas, in Northeast Brazil | brown alga Dictyota pfaffii | EC50—inhibition of the cytopathic effect of HIV-1-MT-2 cells—MTT method | 2.9 μM | anti-HIV-1; - inhibition of the cytopathic effect of HIV-1 | ![]() | [102] |
| dolabelladienol B (36) | Atol das Rocas, in Northeast Brazil | brown alga Dictyota pfaffii | EC50—inhibition of the cytopathic effect of HIV-1-MT-2 cells—MTT method | 4.1 μM | anti-HIV-1; - inhibition of the cytopathic effect of HIV-1 | ![]() | [102] | |
| dolastane (38) | Praia do Velho, Angra dos Reis, in the south of Rio de Janeiro State, Brazil | brown alga Canistrocarpus cervicornis | EC50—inhibition of HIV-1 replication-CXCR4-tropic HIV-1–MTT method | 0.35 μM | anti-HIV-1; inhibition of HIV-1 replication, potent effect on HIV-1 infectivity | ![]() | [103] | |
| dolastane (39) | Praia do Velho, Angra dos Reis, in the south of Rio de Janeiro State, Brazil | brown alga Canistrocarpus cervicornis | EC50—inhibition of HIV-1 replication-CXCR4-tropic HIV-1–MTT method | 0.794 μM | anti-HIV-1; inhibition of HIV-1 replication, potent effect on HIV-1 infectivity | ![]() | [103] | |
| secodolastane diterpene (40) | Praia do Velho, Angra dos Reis, in the south of Rio de Janeiro State, Brazil | brown alga Canistrocarpus cervicornis | EC50—inhibition of HIV-1 replication-CXCR4-tropic HIV-1–MTT method | 3.67 μM | anti-HIV-1; inhibition of HIV-1 replication | ![]() | [103] | |
| 8,10,18-trihydroxy-2,6-dolabelladiene (41) | Atol das Rocas reef, Brazil | brown alga Dictyota friabilis | EC50—inhibition of the cytopathic effect of HIV-1-MT-2 cells—MTT method | 6.16 μM | anti-HIV-1; inhibition of the cytopathic effect of HIV-1 | ![]() | [104,105] | |
| oxygenated dolabellane (42) | Santa Marta Bay (Colombian Caribbean Sea | octocoral Eunicea laciniata | EC50—inhibition of HIV-1-Inhibition of the cytopathic effect of HIV-1-MT-2 cells—MTT method | 3.9 μM | anti-HIV-1; inhibition of the cytopathic effect of HIV-1 | ![]() | [106] | |
| oxygenated dolabellane (43) | Santa Marta Bay (Colombian Caribbean Sea | octocoral Eunicea laciniata | EC50—inhibition of the cytopathic effect of HIV-1-MT-2 cells—MTT method | 0.73 μM | anti-HIV-1; inhibition of the cytopathic effect of HIV-1 | ![]() | [106] | |
| oxygenated dolabellane (44) | Santa Marta Bay (Colombian Caribbean Sea | octocoral Eunicea laciniata | EC50—inhibition of HIV-1-Inhibition of the cytopathic effect of HIV-1-MT-2 cells–MTT method | 0.69 μM | anti-HIV-1; inhibition of the cytopathic effect of HIV-1 | ![]() | [106] | |
| 8,4′′′-dieckol (45) | not disclosed | brown alga, Ecklonia cava | Inhibition of syncytia formation on C8166 cells (HIV-1IIIB, HIV-1RF and HIV-1LAI)-inverted microscope Inhibition of the cytopathic effect of HIV-1-C8166 cells—MTT method | Inhibition in dose-depended manner * Cell viability was more than 90% dose-dependent inhibition | anti-HIV-1; inhibition of the cytopathic effects of HIV-1: inhibition of syncytia formation, lytic effects, inhibition of viral p24 antigen production, HIV-1 entry inhibition and RT inhibition | ![]() | [107] | |
| Effect on p24 antigen production-p24 antigen capture ELISA and immunoblast analysis RT activity assay—commercial fluorescence RT assay kit | Inhibited 91% activity of HIV-1IIIB RT and approximat ely 80% for rest of the HIV-1 strains tested, HIV-1RTMDR1 strain was inhibited at a ratio of 76.1% | |||||||
| Inhibition of HIV-1 replication-Luciferase gene reporter assay | At the highest concentration, inhibition was more than 80% for all viral strains except for RTMDR1 (76.33%) | |||||||
| penicilli- xanthone A (46) | not disclosed | from the jellyfish-derived fungus Aspergillus fumigates | IC50—inhibition of PXA on infection by CCR5-tropic HIV-1 in TZM-bl cells IC50—inhibition of PXA on infection by CXCR4-tropic HIV-1 in TZM-bl cells | 0.36 μM 0.26 μM | anti-HIV-1; inhibition of infection against CCR5-tropic HIV-1 SF162 and CXCR4-tropic HIV-1 NL4-3 | ![]() | [108] | |
| docosahexanoic acid (48) | not disclosed | In vivo study on male rat models-Male F344 (control) and HIV-1Tg rats | anti-HIV-1; neuroprotective effect on neuroinflammations induced by ethanol (in the presence of HIV viral proteins) | ![]() | [109] | |||
| Phlorotannins and xanthones | radicicol (49) | Tutuila, American Samoa | H. fuscoatra | EC50—In Vitro Model of HIV-1 Latency-high-throughput primary cell-based HIV-1 latency assay | 9.1 µM | anti-HIV-1; reactivation of latent viral loads in CD4+ T-cells | ![]() | [110] |
| pochonin B (50) | Tutuila, American Samoa | H. fuscoatra | EC50—In Vitro Model of HIV-1 Latency-high-throughput primary cell-based HIV-1 latency assay | 39.6 µM | anti-HIV-1; reactivation of latent viral loads in CD4+ T-cells | ![]() | [110] | |
| Auxiliary therapy to HAART therapy—fish oil | pochonin C (51) | Tutuila, American Samoa | H. fuscoatra | EC50—In Vitro Model of HIV-1 Latency-high-throughput primary cell-based HIV-1 latency assay | 6.3 µM | anti-HIV-1; reactivation of latent viral loads in CD4+ T-cells | ![]() | [110] |
| Others | truncateol O (52) | Yongxing Island, Hainan Province of China | sponge-associated fungus Truncatella angustata | IC50—Anti-HIV bioassays-VSV-G pseudotyped HIV-1–Luciferase assay system | 39 µM | anti-HIV-1; inhibition of the HIV replication | ![]() | [111] |
| truncateol P (53) | Yongxing Island, Hainan Province of China | sponge-associated fungus Truncatella angustata | IC50—Anti-HIV bioassays-VSV-G pseudotyped HIV-1–Luciferase assay system | 16.1 µM | anti-HIV-1; inhibition of the HIV replication | ![]() | [111] |
© 2019 by the authors. Licensee MDPI, Basel, Switzerland. This article is an open access article distributed under the terms and conditions of the Creative Commons Attribution (CC BY) license (http://creativecommons.org/licenses/by/4.0/).
Share and Cite
Wittine, K.; Saftić, L.; Peršurić, Ž.; Kraljević Pavelić, S. Novel Antiretroviral Structures from Marine Organisms. Molecules 2019, 24, 3486. https://doi.org/10.3390/molecules24193486
Wittine K, Saftić L, Peršurić Ž, Kraljević Pavelić S. Novel Antiretroviral Structures from Marine Organisms. Molecules. 2019; 24(19):3486. https://doi.org/10.3390/molecules24193486
Chicago/Turabian StyleWittine, Karlo, Lara Saftić, Željka Peršurić, and Sandra Kraljević Pavelić. 2019. "Novel Antiretroviral Structures from Marine Organisms" Molecules 24, no. 19: 3486. https://doi.org/10.3390/molecules24193486
APA StyleWittine, K., Saftić, L., Peršurić, Ž., & Kraljević Pavelić, S. (2019). Novel Antiretroviral Structures from Marine Organisms. Molecules, 24(19), 3486. https://doi.org/10.3390/molecules24193486














































