Preparation and Application of Bioshell Calcium Oxide (BiSCaO) Nanoparticle-Dispersions with Bactericidal Activity
Abstract
1. Introduction
2. Results
2.1. BiSCaO Dispersion and Suspension with H3PO4, Na3PO4, Na2HPO4, and NaH2PO4
2.2. SEM Image of Dry BiSCaO-6 Powder and Nanoparticles in BiSCaO-6 Dispersions Formed by Adding H3PO4, Na3PO4, Na2HPO4, or NaH2PO4
2.3. Deodorization of Contaminated Minced Pork by BiSCaO Dispersions
2.4. Microbicidal Efficacy of BiSCaO Dispersions
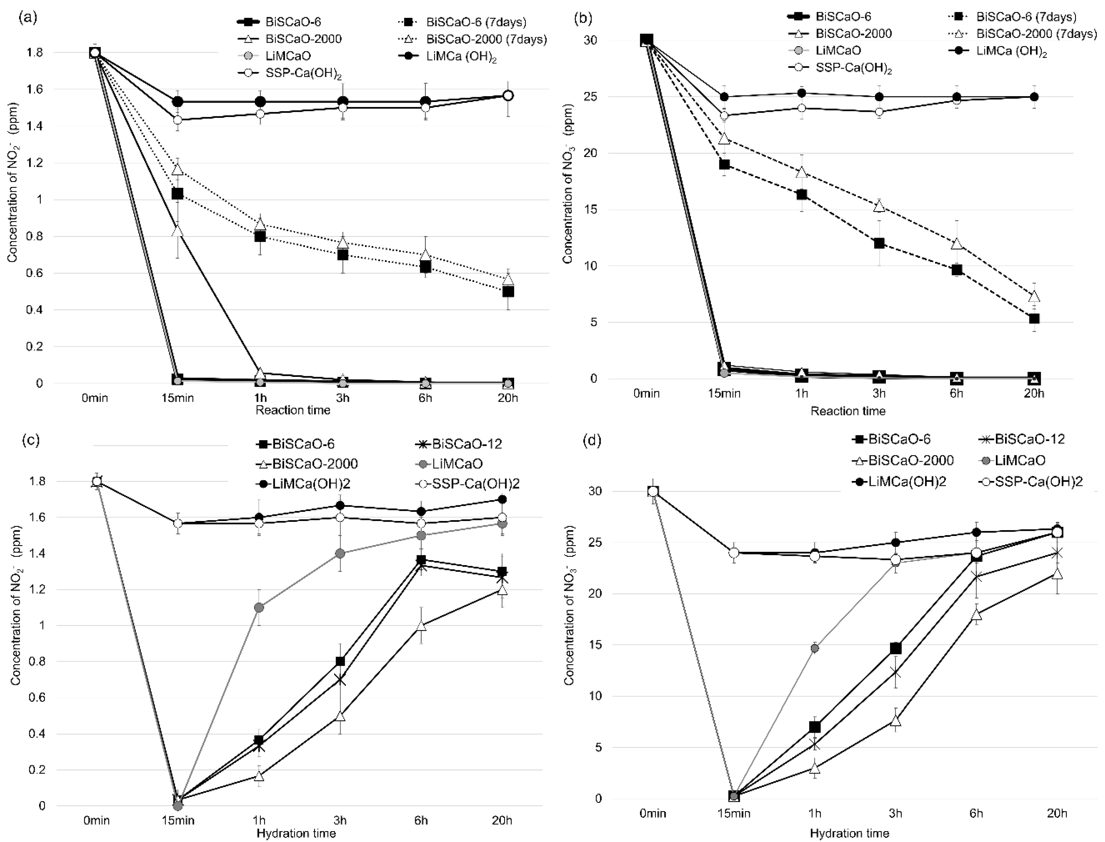
2.5. Reduction of Aqueous NO2 and NO3 by BiSCaO
3. Discussion
4. Materials and Methods
4.1. BiSCaO and LiMCaO Powders
4.2. BiSCaO Water Suspensions and Dispersions with H3PO4, Na3PO4, Na2HPO4 or NaH2PO4
4.3. Nanoparticles in BiSCaO Dispersions Formed Using H3PO4, Na3PO4, Na2HPO4 or NaH2PO4
4.4. Deodorization Activity of BiSCaO Dispersions
4.5. Microbicidal Efficacy of BiSCaO-Dispersions
4.6. Reduction of Aqueous NO2 and NO3 by BiSCaO
5. Conclusions
Author Contributions
Funding
Acknowledgments
Conflicts of Interest
References
- Singh, J.; Dutta, T.; Kim, K.-H.; Rawat, M.; Samddar, P.; Kumar, P. ‘Green’ synthesis of metals and their oxide nanoparticles: Applications for environmental remediation. J. Nanobiotechnol. 2018, 16, 84. [Google Scholar] [CrossRef] [PubMed]
- Nations, S.; Wages, M.; Canas, J.E.; Maul, J.; Theodorakis, C.; Cobb, G.P. Acute effects of Fe2O3, TiO2, ZnO and CuO nanomaterials on xenopuslaevis. Chemosphere 2011, 83, 1053–1061. [Google Scholar] [CrossRef] [PubMed]
- Mori, Y.; Tagawa, T.; Fujita, M.; Kuno, T.; Suzuki, S.; Matsui, T.; Ishihara, M. Simple and environmentally friendly preparation and size control of silver nanoparticles using an inhomogeneous system with silver-containing glass powder. J. Nanopart. Res. 2011, 13, 2799–2806. [Google Scholar] [CrossRef]
- Nguyen, V.Q.; Ishihara, M.; Kinoda, J.; Hattori, H.; Nakamura, S.; Ono, T.; Miyahira, Y.; Matsui, T. Development of antimicrobial biomaterials produced from chitin-nanofiber sheet/silver nanoparticle composites. J. Nanobiotechnol. 2014, 12, 49. [Google Scholar] [CrossRef] [PubMed]
- Tan, J.; He, Q.; Pentz, J.T.; Peng, C.; Yang, X.; Tsai, M.-H.; Chen, Y.; Ratcliff, W.C.; Jiang, L. Copper oxide nanoparticles promote the evolution of multicellularity in yeast. Nanotoxicology 2019, 13, 597–605. [Google Scholar] [CrossRef] [PubMed]
- Singha, P.; Workman, C.D.; Pant, J.; Hopkins, S.P.; Handa, H. Zinc-oxide nanoparticles act catalytically and synergistically with nitric oxide donors to enhance antimicrobial efficacy. J. Biomed. Mater. Res. Part A 2019, 107, 1425–1433. [Google Scholar] [CrossRef]
- Priyanka, K.P.; Sukirtha, T.H.; Balakrishna, K.M.; Varghese, T. Microbicidal activity of TiO2 nanoparticles synthesized by sol-gel methods. IET Nanobiotechnol. 2016, 10, 81–86. [Google Scholar] [CrossRef]
- Sawai, J.; Yoshikawa, T. Quantitative evaluation of antifungal activity of metallic oxide powders (MgO, CaO and ZnO) by an indirect conductimetric assay. J. Appl. Microbiol. 2004, 96, 803–809. [Google Scholar] [CrossRef]
- Roy, A.; Gauri, S.S.; Bhattacharya, M.; Bhattacharya, J. Antimicrobial activity of CaO nanoparticles. J. Biomed. Nanotechnol. 2013, 9, 1570–1578. [Google Scholar] [CrossRef]
- Faheem, M.; Khan-Sulehria, A.Q.; Mahadevan, K.M. A study on the synthesis, characterization and photocatalytic activity of CaO nanoparticle against some selected azo-dyes. Ind. J. Appl. Res. 2015, 5, 361–365. [Google Scholar]
- Madhusudhana, K.; Yogendra, K.; Mahadevan, K.M. Decolorization of Coralene Dark Red 2B azo-dye using Calcium Oxide nanoparticle as an adsorbent. Int. J. Res. Chem. Environ. 2012, 2, 21–25. [Google Scholar]
- Kubo, M.; Ohshima, Y.; Irie, F.; Kikuchi, M.; Sawai, J. Disinfection Treatment of Heated Scallop-Shell Powder on Biofilm of Escherichia coli ATCC 25922 Surrogated for E. coli O157:H7. J. Biomater. Nanobiotechnol. 2013, 4, 10–19. [Google Scholar] [CrossRef]
- Kinoda, J.; Ishihara, M.; Hattori, H.; Nakamura, S.; Fukuda, K.; Yokoe, H. Cytotoxicity of Silver Nanoparticle and Chitin-Nanofiber Sheet Composites Caused by Oxidative Stress. Nanomaterials 2016, 6, 189. [Google Scholar] [CrossRef] [PubMed]
- Ishihara, M.; Nguyen, V.Q.; Mori, Y.; Nakamura, S.; Hattori, H. Adsorption of Silver Nanoparticles onto Different Surface Structures of Chitin/Chitosan and Correlations with Antimicrobial Activities. Int. J. Mol. Sci. 2015, 16, 13973–13988. [Google Scholar] [CrossRef] [PubMed]
- Kuku, G.; Culha, M. Investigating the origins of toxic response in TiO2 nanoparticle-treated cells. Nanomaterials 2017, 7, 83. [Google Scholar] [CrossRef] [PubMed]
- Wiercinski, F.J. Calcium, An overview-1989. Biol. Bull. 1989, 176, 195–217. [Google Scholar] [CrossRef]
- Liu, F.J.; Chou, K.S.; Huang, Y.K. A novel method to make regenerable core-shell calcium-based sorbants. J. Environ. Manag. 2006, 79, 51–56. [Google Scholar] [CrossRef]
- Sawai, J. Antimicrobial Characteristics of Heated Scallop Shell Powder and Its Application. Biocontrol Sci. 2011, 16, 95–102. [Google Scholar] [CrossRef]
- Watanabe, T.; Fujimoto, R.; Sawai, J.; Kikuchi, M.; Yahata, S.; Satoh, S. Antibacterial Characteristics of Heated Scallop-Shell Nano-Particles. Biocontrol Sci. 2014, 19, 93–97. [Google Scholar] [CrossRef]
- Thammakarn, C.; Satoh, K.; Suguro, A.; Hakim, H.; Ruenphet, S.; Takehara, K. Inactivation of Avian Influenza Virus, Newcastle Disease Virus and Goose Parvovirus Using Solution of Nano-Sized Scallop Shell Powder. J. Vet. Med. Sci. 2014, 76, 1277–1280. [Google Scholar] [CrossRef]
- Sawai, J.; Miyoshi, H.; Kojima, H. Sporicidal kinetics of Baccillus subtilis spores by heated scallop shell powder. J. Food Prot. 2003, 66, 1482–1485. [Google Scholar] [CrossRef] [PubMed]
- Xing, R.; Qin, Y.; Guan, X.; Liu, S.; Yu, H.; Li, P. Comparison of antifungal activities of scallop shell, oyster shell and their pyrolyzed products. Egypt. J. Aquat. Res. 2013, 39, 83–90. [Google Scholar] [CrossRef]
- Sawai, J.; Nagasawa, K.; Kikuchi, M. ability of heated acallop-shell powder to disinfect staphylococcus aureus biofilm. Food Sci. Technol. Res. 2013, 19, 561–568. [Google Scholar] [CrossRef]
- Shimamura, N.; Irie, F.; Yamakawa, T.; Kikuchi, M.; Sawai, J. Heated Scallop-Shell Powder Treatment for Deactivation and Removal of Listeria sp. Biofilm Formed at a Low Temperature. Biocontrol Sci. 2015, 20, 153–157. [Google Scholar] [CrossRef] [PubMed]
- Sato, Y.; Ishihara, M.; Nakamura, S.; Fukuda, K.; Kuwabara, M.; Takayama, T.; Hiruma, S.; Murakami, K.; Fujita, M.; Yokoe, H. Comparison of various disinfectants on bactericidal activity under organic matter contaminated water. Biocontrol Sci. 2019, in press. [Google Scholar] [CrossRef]
- Ishihara, M.; Murakami, K.; Fukuda, K.; Nakamura, S.; Kuwabara, M.; Hattori, H.; Fujita, M.; Kiyosawa, T.; Yokoe, H. Stability of Weakly Acidic Hypochlorous Acid Solution with Microbicidal Activity. Biocontrol Sci. 2017, 22, 223–227. [Google Scholar] [CrossRef]
- Fukuda, K.; Ishihara, M.; Murakami, K.; Nakamura, S.; Sato, Y.; Kuwabara, M.; Fujita, M.; Kiyosawa, T.; Yokoe, H. Cleaning technique using high-velocity steam-air micromist jet spray. J. Med. Eng. Technol. 2017, 41, 522–528. [Google Scholar] [CrossRef] [PubMed]
- Takada, T.; Furusaki, A.; Tanaka, Y. Formaldehyde reduction with scallop shell powders fired at high temperatures: Identification of the effective ingredient. Biomed. Mater. Eng. 2009, 19, 187–192. [Google Scholar] [PubMed]
- Hewitt, C.J.; Bellara, S.R.; Andreani, A.; Nebe-Von-Caron, G.; McFarlane, C.M. An evaluation of the anti-bacterial action of ceramic powder slurries using multi-parameter flow cytometry. Biotechnol. Lett. 2001, 23, 667–675. [Google Scholar] [CrossRef]
- Krishnamoorthy, K.; Manivannan, G.; Kim, S.J.; Jeyasubramanian, K.; Premanathan, M. Antibacterial activity of MgO nanoparticles based on lipid peroxidation by oxygen vacancy. J. Nanopart. Res. 2012, 14, 1–10. [Google Scholar] [CrossRef]
- Berger, T.; Sterrer, M.; Stankic, S.; Bernardi, J.; Diwald, O.; Knözinger, E. Trapping of photogenerated charges in oxide nanoparticles. Mater. Sci. Eng. C 2005, 25, 664–668. [Google Scholar] [CrossRef]
- Sterrer, M.; Diwald, O.; Knözinger, E. Vacancies and Electron Deficient Surface Anions on the Surface of MgO Nanoparticles. J. Phys. Chem. B 2000, 104, 3601–3607. [Google Scholar] [CrossRef]
- Bae, H.; Ahmad, T.; Rhee, I.; Chang, Y.; Jin, S.U.; Hong, S. Carbon-coated iron oxide nanoparticles as contrast agents in magnetic resonance imaging. Nanoscale Res. Lett. 2012, 5, 44. [Google Scholar] [CrossRef] [PubMed]
- Kim, K.M.; Choi, M.H.; Lee, J.K.; Jeong, J.; Kim, Y.R.; Kim, M.K.; Paek, S.M.; Oh, J.M. Physicochemical properties of surface charge-modified ZnO nanoparticles with different particle sizes. Int. J. Nanomed. 2014, 9, 41–56. [Google Scholar]
- Sato, Y.; Ishihara, M.; Fukuda, K.; Nakamura, S.; Murakami, K.; Fujita, M.; Yokoe, H. Behavior of nitrate nitorogen and nitrite nitrogen in drinking waters. Biocontrol Sci. 2018, 23, 139–143. [Google Scholar] [CrossRef] [PubMed]







| H3PO4 | pH | 12.53 | 12 | 10.53 | 8.97 | 7.92 | 6.86 | 5.98 |
| Dispersion (%) | 0 | 100 | 0 | 0 | 0 | 0 | 0 | |
| Flocculation (%) | 0 | 0 | 20 | 17 | 16 | 15 | 15 | |
| Form | Only precipitation | Dispersion without precipitation and flocculation | Layer separation with flocculation | Layer separation with flocculation | Layer separation with flocculation | Layer separation with flocculation | Layer separation with flocculation | |
| HCl | pH | 12.53 | 12.12 | 10.42 | 8.6 | 7.56 | 6.97 | 6.1 |
| Dispersion or Flocculation (%) | 0 | 0 | 0 | 0 | 0 | 0 | 0 | |
| Form | Only precipitation | Only precipitation | Solution | Solution | Solution | Solution | Solution | |
| H2SO4 | pH | 12.53 | 12 | 10.42 | 8.97 | 7.95 | 6.89 | 5.95 |
| Dispersion or Flocculation (%) | 0 | 0 | 0 | 0 | 0 | 0 | 0 | |
| Form | Only precipitation | Only precipitation | Solution | Solution | Solution | Solution | Solution |
| 0 | 0.04 | 0.12 | 0.2 | 0.28 | ||
|---|---|---|---|---|---|---|
| Na3PO4 | pH | 12.55 | 12.55 | 12.55 | 12.25 | 12.1 |
| Layer sepa-ration with flocculation (%) | 0 | 0 | 0 | 4 | 11 | |
| Form | Only precipitation | Dispersion with precipitation | Dispersion | Dispersion with flocculation | Only flocculation | |
| Na2HPO4 | pH | 12.55 | 12.53 | 12.5 | 12 | 11.95 |
| Layer sepa-ration with flocculation (%) | 0 | 0 | 0 | 3 | 18 | |
| Form | Only precipitation | Dispersion with precipitation | Dispersion | Dispersion with flocculation | Only flocculation | |
| NaH2PO4 | pH | 12.55 | 12.49 | 12.45 | 12.05 | 11.65 |
| Layer sepa-ration with flocculation (%) | 0 | 0 | 0 | 3 | 18 | |
| Form | Only precipitation | Dispersion with precipitation | Dispersion | Dispersion with flocculation | Only flocculation |
| Additive | ||||||
|---|---|---|---|---|---|---|
| Pure Water | H3PO4 | Na3PO4 | Na2HPO4 | NaH2PO4 | ||
| BiSCaO-6 (0.2 wt%) | pH | 12.5 | 12 | 12.55 | 12.5 | 12.45 |
| Average diameter in dispersion (nm) | 1060 (Supernatant) | 160 | 200 | 181 | 190 | |
| Zeta potential | +29.1 | +35.9 | +35.6 | +33.6 | +35.8 | |
| Phase form | Suspension with precipitation | Dispersion | ||||
| BiSCaO-6 (seven days) (0.2 wt%) | pH | 12.2 | 12 | 12.24 | 12.22 | 12.20 |
| Average diameter in dispersion (nm) | 610 (Supernatant) | 190 | 200 | 220 | 210 | |
| Zeta potential | +29.0 | +33.8 | +33.9 | +34.1 | +33.6 | |
| Phase form | Suspension with precipitation | Dispersion | ||||
| BiSCaO-6 | BiSCaO-6 (Seven Days) | BiSCaO-2000 | SSP-Ca(OH)2 | LiM CaO | LiM Ca(OH)2 | ||
|---|---|---|---|---|---|---|---|
| Average diameter of dry powder [Min-Max] (μm) | 6.2 [3–9] | 5.3 [2–7] | 500 [200–2000] | 46 [10–100] | 18 [5–51] | 12.5 [3.8–32] | |
| Average diameter of supernatant of suspension (μm) | 3.3 | 3.0 | 8.7 | Not determined | 4.5 | 3.1 | |
| Percentage of component (%) | CaO | 99.6 | 20.1 | 97.0 | 1.8 | 10.3 | 8.2 |
| Ca(OH)2 | 0.2 | 73.3 | 2.2 | 97.6 | 85.2 | 89.7 | |
| pH of hydrogen ion concentration (0.2 wt%) | 12.43 | 12.25 | 12.41 | 12.12 | 12.34 | 12.22 | |
© 2019 by the authors. Licensee MDPI, Basel, Switzerland. This article is an open access article distributed under the terms and conditions of the Creative Commons Attribution (CC BY) license (http://creativecommons.org/licenses/by/4.0/).
Share and Cite
Sato, Y.; Ishihara, M.; Nakamura, S.; Fukuda, K.; Takayama, T.; Hiruma, S.; Murakami, K.; Fujita, M.; Yokoe, H. Preparation and Application of Bioshell Calcium Oxide (BiSCaO) Nanoparticle-Dispersions with Bactericidal Activity. Molecules 2019, 24, 3415. https://doi.org/10.3390/molecules24183415
Sato Y, Ishihara M, Nakamura S, Fukuda K, Takayama T, Hiruma S, Murakami K, Fujita M, Yokoe H. Preparation and Application of Bioshell Calcium Oxide (BiSCaO) Nanoparticle-Dispersions with Bactericidal Activity. Molecules. 2019; 24(18):3415. https://doi.org/10.3390/molecules24183415
Chicago/Turabian StyleSato, Yoko, Masayuki Ishihara, Shingo Nakamura, Koichi Fukuda, Tomohiro Takayama, Sumiyo Hiruma, Kaoru Murakami, Masanori Fujita, and Hidetaka Yokoe. 2019. "Preparation and Application of Bioshell Calcium Oxide (BiSCaO) Nanoparticle-Dispersions with Bactericidal Activity" Molecules 24, no. 18: 3415. https://doi.org/10.3390/molecules24183415
APA StyleSato, Y., Ishihara, M., Nakamura, S., Fukuda, K., Takayama, T., Hiruma, S., Murakami, K., Fujita, M., & Yokoe, H. (2019). Preparation and Application of Bioshell Calcium Oxide (BiSCaO) Nanoparticle-Dispersions with Bactericidal Activity. Molecules, 24(18), 3415. https://doi.org/10.3390/molecules24183415

