Psyllium (Plantago Ovata Forsk) Husk Powder as a Natural Superdisintegrant for Orodispersible Formulations: A Study on Meloxicam Tablets
Abstract
1. Introduction
2. Results and Discussion
2.1. Composition of Orodispersible Meloxicam Tablets
2.2. Pre-Compression Parameters of the Prepared Formulations
2.3. Post-Compression Parameters of the Prepared Formulations
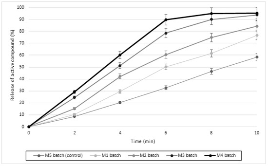
2.4. In Vitro Dissolution Studies
2.5. Stability Studies
3. Conclusions
4. Materials and Methods
4.1. Materials
4.2. Preparation of Psyllium (Plantago Ovata Forsk) Husk Powder
4.3. Pre-Compression Parameters of Powder Blend
4.4. Formulation of Orodispersible Tablets by Direct Compression Method
4.5. Post-Compression Parameters of Orally Disintegrating Tablets
4.6. In Vitro Release Studies
4.7. Stability Studies
4.8. Statistical Analysis
Author Contributions
Funding
Acknowledgments
Conflicts of Interest
References
- Sarfraz, R.M.; Khan, H.; Maheen, S.; Afzal, S.; Akram, M.R.; Mahmood, A.; Afzal, K.; Abrar, M.A.; Akram, M.A.; Andaleeb, M.; et al. Plantago ovata: A comprehensive review on cultivation, biochemical, pharmaceutical and pharmacological aspects. Acta Pol. Pharm. 2017, 74, 739–746. [Google Scholar]
- Ziai, S.A.; Larijani, B.; Akhoondzadeh, S.; Fakhrzadeh, H.; Dastpak, A.; Bandarian, F.; Rezai, A.; Badi, H.N.; Emami, T. Psyllium decreased serum glucose and glycosylated hemoglobin significantly in diabetic outpatients. J. Ethnopharmacol. 2005, 102, 202–207. [Google Scholar] [CrossRef]
- Frati Munari, A.C.; Benitez Pinto, W.; Raul Ariza Andraca, C.; Casarrubias, M. Lowering glycemic index of food by acarbose and Plantago psyllium mucilage. Arch. Med. Res. 1998, 29, 137–141. [Google Scholar]
- Nayak, A.K.; Pal, D.; Santra, K. Ispaghula mucilage-gellan mucoadhesive beads of metformin HCl: Development by response surface methodology. Carbohydr. Polym. 2014, 107, 41–50. [Google Scholar] [CrossRef]
- Nayak, A.K.; Pal, D.; Santra, K. Plantago ovata F. mucilage-alginate mucoadhesive beads for controlled release of glibenclamide: Development, optimization, and in vitro-in vivo evaluation. J. Pharm. 2013, 2013. [Google Scholar] [CrossRef]
- Shirsand, S.B.; Suresh, S.; Para, M.S.; Swamy, P.V.; Kumar, D.N. Plantago ovata mucilage in the design of fast disintegrating tablets. Indian J. Pharm. Sci. 2009, 71, 41–45. [Google Scholar] [CrossRef]
- Jimoh, M.A.; MacNaughtan, W.; Williams, H.E.; Greetham, D.; Linforth, R.L.; Fisk, I.D. Sodium ion interaction with psyllium husk (Plantago sp.). Food Funct. 2016, 7, 4041–4047. [Google Scholar] [CrossRef]
- Yu, L.; Yakubov, G.E.; Martinez-Sanz, M.; Gilbert, E.P.; Stokes, J.R. Rheological and structural properties of complex arabinoxylans from Plantago ovata seed mucilage under non-gelled conditions. Carbohydr. Polym. 2018, 193, 179–188. [Google Scholar] [CrossRef]
- Yu, L.; Yakubov, G.E.; Zeng, W.; Xing, X.; Stenson, J.; Bulone, V.; Stokes, J.R. Multi-layer mucilage of Plantago ovata seeds: Rheological differences arise from variations in arabinoxylan side chains. Carbohydr. Polym. 2017, 165, 132–141. [Google Scholar] [CrossRef]
- Sharma, V.; Philip, A.K.; Pathak, K. Modified polysaccharides as fast disintegrating excipients for orodispersible tablets of roxithromycin. Aaps Pharmscitech 2008, 9, 87–94. [Google Scholar] [CrossRef]
- Dey, P.; Maiti, S. Orodispersible tablets: A new trend in drug delivery. J. Nat. Sci. Biol. Med. 2010, 1, 2–5. [Google Scholar] [CrossRef]
- Badgujar, B.P.; Mundada, A.S. The technologies used for developing orally disintegrating tablets: A review. Acta Pharm. 2011, 61, 117–139. [Google Scholar] [CrossRef]
- Elwerfalli, A.M.; Ghanchi, Z.; Rashid, F.; Alany, R.G.; ElShaer, A. New generation of orally disintegrating tablets for sustained drug release: A propitious outlook. Curr. Drug Deliv. 2015, 12, 652–667. [Google Scholar] [CrossRef]
- Hannan, P.A.; Khan, J.A.; Khan, A.; Safiullah, S. Oral dispersible system: A new approach in drug delivery system. Indian J. Pharm. Sci. 2016, 78, 2–7. [Google Scholar] [CrossRef]
- Pawar, H.; Varkhade, C.; Jadhav, P.; Mehra, K. Development and evaluation of orodispersible tablets using a natural polysaccharide isolated from Cassia tora seeds. Integr. Med. Res. 2014, 3, 91–98. [Google Scholar] [CrossRef]
- Harvey, A.L.; Edrada-Ebel, R.; Quinn, R.J. The re-emergence of natural products for drug discovery in the genomics era. Nat. Rev. Drug Discov. 2015, 14, 111–129. [Google Scholar] [CrossRef]
- Slavkova, M.; Breitkreutz, J. Orodispersible drug formulations for children and elderly. Eur. J. Pharm. Sci. 2015, 75, 2–9. [Google Scholar] [CrossRef]
- Van Riet-Nales, D.A.; Kozarewicz, P.; Aylward, B.; de Vries, R.; Egberts, T.C.; Rademaker, C.M.; Schobben, A.F. Paediatric drug development and formulation design-a European perspective. Aaps Pharmscitech 2017, 18, 241–249. [Google Scholar] [CrossRef]
- Navarro, V. Improving medication compliance in patients with depression: Use of orodispersible tablets. Adv. Ther. 2010, 27, 785–795. [Google Scholar] [CrossRef]
- Wade, A.G.; Crawford, G.M.; Young, D. A survey of patient preferences for a placebo orodispersible tablet. Patient Prefer. Adherence 2012, 6, 201–206. [Google Scholar] [CrossRef][Green Version]
- Cilurzo, F.; Musazzi, U.M.; Franze, S.; Selmin, F.; Minghetti, P. Orodispersible dosage forms: Biopharmaceutical improvements and regulatory requirements. Drug Discov. Today 2018, 23, 251–259. [Google Scholar] [CrossRef]
- Turck, D.; Roth, W.; Busch, U. A review of the clinical pharmacokinetics of meloxicam. Rheumatology 1996, 35, 13–16. [Google Scholar] [CrossRef]
- Hanft, G.; Turck, D.; Scheuerer, S.; Sigmund, R. Meloxicam oral suspension: A treatment alternative to solid meloxicam formulations. Inflamm. Res. 2001, 50, 35–37. [Google Scholar] [CrossRef]
- El-Mahrouk, G.; Aboul-Einien, M.; Adel, N. Formulation and evaluation of meloxicam orally dispersible capsules. Asian J. Pharm. Sci. 2009, 4, 8–22. [Google Scholar]
- Irchhiaya, R.; Prajapati, S.K.; Verma, J. An overview on superdisintegrants: A review. Eur. J. Pharm. Med. Res. 2017, 4, 252–260. [Google Scholar]
- Pawar, H.; Varkhade, C. Isolation, characterization and investigation of Plantago ovata husk polysaccharide as superdisintegrant. Int. J. Biol. Macromol. 2014, 69, 52–58. [Google Scholar] [CrossRef]
- Bolhuis, G.K.; Engelhart, J.J.; Eissens, A.C. Compaction properties of isomalt. Eur J. Pharm. Biopharm. 2009, 72, 621–625. [Google Scholar] [CrossRef]
- Zatloukal, Z.; Sklubalova, Z. Indentation test for free-flowable powder excipients. Pharm. Dev. Technol. 2008, 13, 85–92. [Google Scholar] [CrossRef]
- Paul, S.; Chang, S.Y.; Dun, J.; Sun, W.J.; Wang, K.; Tajarobi, P.; Boissier, C.; Sun, C.C. Comparative analyses of flow and compaction properties of diverse mannitol and lactose grades. Int. J. Pharm. 2018, 546, 39–49. [Google Scholar] [CrossRef]
- Takeuchi, Y.; Tomita, T.; Kuroda, J.; Kageyu, A.; Yonekura, C.; Hiramura, Y.; Tahara, K.; Takeuchi, H. Characterization of mannitol granules and powder: A comparative study using two flowability testers. Int. J. Pharm. 2018, 547, 106–113. [Google Scholar] [CrossRef]
- Čerpnjak, K.; Pobirk, A.Z.; Vrečer, F.; Gašperlin, M. Tablets and minitablets prepared from spray-dried SMEDDS containing naproxen. Int. J. Pharm. 2015, 495, 336–346. [Google Scholar] [CrossRef]
- Hickey, A.J.; Mansour, H.M.; Telko, M.J.; Xu, Z.; Smyth, H.D.; Mulder, T.; McLean, R.; Langridge, J.; Papadopoulos, D. Physical characterization of component particles included in dry powder inhalers. I. Strategy review and static characteristics. J. Pharm. Sci. 2007, 96, 1282–1301. [Google Scholar] [CrossRef]
- Swamy, P.V.; Areefulla, S.H.; Shirsand, S.; Gandra, S.; Prashanth, B. Orodispersible tablets of meloxicam using disintegrant blends for improved efficacy. Indian J. Pharm. Sci. 2007, 69, 836–840. [Google Scholar] [CrossRef]
- Mehta, D.M.; Shelat, P.K.; Parejiya, P.B.; Patel, A.J.; Barot, B. Investigations of Plantago ovata husk powder as a disintegrating agent for development of famotidine tablets. Int. J. Pharm. Sci. Nanotech. 2011, 4, 1412–1417. [Google Scholar]
Sample Availability: Samples of the psyllium husk powder used in the study (voucher specimens No. L180715) have been deposited at the Herbarium of in the Department of Drug Technology and Social Pharmacy, Faculty of Pharmacy, Medical Academy, Lithuanian University of Health Sciences, Kaunas, Lithuania and are available from the authors upon request. |




| Ingredient (mg) | Formulation Code | ||||
|---|---|---|---|---|---|
| M1 | M2 | M3 | M4 | M5 | |
| Meloxicam | 7.5 | 7.5 | 7.5 | 7.5 | 7.5 |
| Psyllium (Plantago ovata Forsk) husk powder | 11.5 | 13.0 | 14.5 | 16.0 | – |
| Sorbitol | 169.0 | 167.5 | 166.0 | 164.5 | 180.5 |
| Mannitol | 10 | 10 | 10 | 10 | 10 |
| Mg stearate | 2 | 2 | 2 | 2 | 2 |
| Total weight | 200 | 200 | 200 | 200 | 200 |
| Formulation Code | Evaluation Parameters | Duration (months) | ||
|---|---|---|---|---|
| 0 | 3 | 6 | ||
| M3 | Physical changes | No changes | No changes | No changes |
| Friability (%) | 0.42 ± 0.01 | 0.43 ± 0.01 | 0.45 ± 0.01 | |
| Drug content (%) | 97.7 ± 0.69 | 97.4 ± 0.70 | 97.0 ± 0.71 | |
| Disintegration time (s) | 139 | 138 | 138 | |
| M4 | Physical changes | No changes | No changes | No changes |
| Friability (%) | 0.46 ± 0.01 | 0.49 ± 0.01 | 0.5 ± 0.01 | |
| Drug content (%) | 98.7 ± 0.82 | 98.7 ± 0.82 | 98.2 ± 0.80 | |
| Disintegration time (s) | 124 | 123.5 | 125 | |
© 2019 by the authors. Licensee MDPI, Basel, Switzerland. This article is an open access article distributed under the terms and conditions of the Creative Commons Attribution (CC BY) license (http://creativecommons.org/licenses/by/4.0/).
Share and Cite
Draksiene, G.; Kopustinskiene, D.M.; Lazauskas, R.; Bernatoniene, J. Psyllium (Plantago Ovata Forsk) Husk Powder as a Natural Superdisintegrant for Orodispersible Formulations: A Study on Meloxicam Tablets. Molecules 2019, 24, 3255. https://doi.org/10.3390/molecules24183255
Draksiene G, Kopustinskiene DM, Lazauskas R, Bernatoniene J. Psyllium (Plantago Ovata Forsk) Husk Powder as a Natural Superdisintegrant for Orodispersible Formulations: A Study on Meloxicam Tablets. Molecules. 2019; 24(18):3255. https://doi.org/10.3390/molecules24183255
Chicago/Turabian StyleDraksiene, Gailute, Dalia M. Kopustinskiene, Robertas Lazauskas, and Jurga Bernatoniene. 2019. "Psyllium (Plantago Ovata Forsk) Husk Powder as a Natural Superdisintegrant for Orodispersible Formulations: A Study on Meloxicam Tablets" Molecules 24, no. 18: 3255. https://doi.org/10.3390/molecules24183255
APA StyleDraksiene, G., Kopustinskiene, D. M., Lazauskas, R., & Bernatoniene, J. (2019). Psyllium (Plantago Ovata Forsk) Husk Powder as a Natural Superdisintegrant for Orodispersible Formulations: A Study on Meloxicam Tablets. Molecules, 24(18), 3255. https://doi.org/10.3390/molecules24183255

