Unraveling Sugar Binding Modes to DC-SIGN by Employing Fluorinated Carbohydrates
Abstract
1. Introduction
2. Results and Discussion
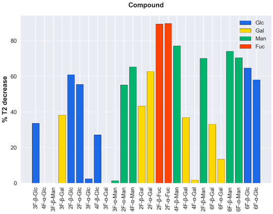
2.1. 19F-NMR-Based Chemical Mapping
2.2. Molecular Dynamics Simulations
2.3. 1H-STD Experiments
3. Materials and Methods
3.1. Preparation of F-Monosaccharide Library
3.2. Preparation of DC-SIGN Tetramer
3.3. 19F-Based Screening and Chemical Mapping NMR Experiments
3.4. 1H-STD NMR Experiments
3.5. Molecular Dynamics Simulations
- For the simulations conducted using the sugar geometries of the crystal:
- The starting structure of α-Fuc from the original 1SL5 ligand was used, and the remaining parts of LNFP III were removed;
- The α-Man starting geometry was built from another DC-SIGN crystal in complex with a high-mannose derivative (PDB code 2IT5, using the geometry of the sugar bound in the major orientation) [27], removing the remaining residues.
- For the simulations conducted using the geometry of the proposed binding poses A and B:
- The OH-2/OH-3 groups of β-4-F-Man were manually superimposed onto the OH-4/OH-3 pair of L-Fuc from the original crystal structure 1SL5 to create the model for binding pose A. Binding pose B was generated by superimposing the OH-2/OH-3 groups of β-4-F-Man to the OH-4/OH-3 pair of Man from the structure 2IT5;
- The α-Man starting structure was built as in the case of β-4-F-Man.
4. Conclusions
Supplementary Materials
Author Contributions
Funding
Conflicts of Interest
References
- Mayer, M.; Meyer, B. Group epitope mapping by saturation transfer difference NMR to identify segments of a ligand in direct contact with a protein receptor. J. Am. Chem. Soc. 2001, 123, 6108–6117. [Google Scholar] [CrossRef] [PubMed]
- Gimeno, A.; Delgado, S.; Valverde, P.; Bertuzzi, S.; Berbís, M.A.; Echavarren, J.; Lacetera, A.; Martín-Santamaría, S.; Surolia, A.; Cañada, F.J.; et al. Minimizing the Entropy Penalty for Ligand Binding: Lessons from the Molecular Recognition of the Histo Blood-Group Antigens by Human Galectin-3. Angew. Chem. Int. Ed. 2019, 58, 7268–7272. [Google Scholar] [CrossRef] [PubMed]
- Rahkila, J.; Ekholm, F.S.; Ardá, A.; Delgado, S.; Savolainen, J.; Jiménez-Barbero, J.; Leino, R. Novel Dextran-Supported Biological Probes Decorated with Disaccharide Entities for Investigating the Carbohydrate-Protein Interactions of Gal-3. ChemBioChem 2019, 20, 203–209. [Google Scholar] [CrossRef] [PubMed]
- Ardá, A.; Jiménez-Barbero, J. The recognition of glycans by protein receptors. Insights from NMR spectroscopy. Chem. Commun. 2018, 54, 4761–4769. [Google Scholar] [CrossRef] [PubMed]
- Dalvit, C. Ligand- and substrate-based19F NMR screening: Principles and applications to drug discovery. Prog. Nucl. Magn. Reson. Spectrosc. 2007, 51, 243–271. [Google Scholar] [CrossRef]
- Diercks, T.; Ribeiro, J.P.; Cañada, F.J.; Andre, S.; Jiménez-Barbero, J.; Gabius, H.J. Fluorinated carbohydrates as lectin ligands: Versatile sensors in 19F-detected saturation transfer difference NMR spectroscopy. Chem. A Eur. J. 2009, 15, 5666–5668. [Google Scholar] [CrossRef] [PubMed]
- Dalvit, C.; Vulpetti, A. Ligand-Based Fluorine NMR Screening: Principles and Applications in Drug Discovery Projects. J. Med. Chem. 2019, 62, 2218–2244. [Google Scholar] [CrossRef] [PubMed]
- Denavit, V.; Lainé, D.; Bouzriba, C.; Shanina, E.; Gillon, É.; Fortin, S.; Rademacher, C.; Imberty, A.; Giguère, D. Stereoselective Synthesis of Fluorinated Galactopyranosides as Potential Molecular Probes for Galactophilic Proteins: Assessment of Monofluorogalactoside-LecA Interactions. Chem. A Eur. J. 2019, 25, 4478–4490. [Google Scholar] [CrossRef]
- Geijtenbeek, T.B.H.; Krooshoop, D.J.E.B.; Bleijs, D.A.; Van Vliet, S.J.; Van Duijnhoven, G.C.F.; Grabovsky, V.; Alon, R.; Figdor, C.G.; Van Kooyk, Y. DC-SIGN-1CAM-2 interaction mediates dendritic cell trafficking. Nat. Immunol. 2000, 1, 353–357. [Google Scholar] [CrossRef]
- Geijtenbeek, T.B.H.; Torensma, R.; Van Vliet, S.J.; Van Duijnhoven, G.C.F.; Adema, G.J.; Van Kooyk, Y.; Figdor, C.G. Identification of DC-SIGN, a novel dendritic cell-specific ICAM-3 receptor that supports primary immune responses. Cell 2000, 100, 575–585. [Google Scholar] [CrossRef]
- Geijtenbeek, T.B.H.; Kwon, D.S.; Torensma, R.; Van Vliet, S.J.; Van Duijnhoven, G.C.F.; Middel, J.; Cornelissen, I.L.M.H.A.; Nottet, H.S.L.M.; KewalRamani, V.N.; Littman, D.R.; et al. DC-SIGN, a dendritic cell-specific HIV-1-binding protein that enhances trans-infection of T cells. Cell 2000, 100, 587–597. [Google Scholar] [CrossRef]
- Baribaud, F.; Doms, R.W.; Pöhlmann, S. The role of DC-SIGN and DC-SIGNR in HIV and Ebola virus infection: Can potential therapeutics block virus transmission and dissemination? Expert Opin. Ther. Targets 2002, 6, 423–431. [Google Scholar] [CrossRef] [PubMed]
- Mitchell, D.A.; Fadden, A.J.; Drickamer, K. A Novel Mechanism of Carbohydrate Recognition by the C-type Lectins DC-SIGN and DC-SIGNR. J. Biol. Chem. 2001, 276, 28939–28945. [Google Scholar] [CrossRef] [PubMed]
- Soilleux, E.J. DC-SIGN (dendritic cell-specific ICAM-grabbing non-integrin) and DC-SIGN-related (DC-SIGNR): Friend or foe? Clin. Sci. (Lond.) 2003, 104, 437–446. [Google Scholar] [CrossRef] [PubMed]
- Meiboom, S.; Gill, D. Modified spin-echo method for measuring nuclear relaxation times. Rev. Sci. Instrum. 1958, 29, 688–691. [Google Scholar] [CrossRef]
- Feinberg, H.; Mitchell, D.A.; Drickamer, K.; Weis, W.I. Structural basis for selective recognition of oligosaccharides by DC-SIGN and DC-SIGNR. Science 2001, 294, 2163–2166. [Google Scholar] [CrossRef]
- Guo, Y.; Feinberg, H.; Conroy, E.; Mitchell, D.A.; Alvarez, R.; Blixt, O.; Taylor, M.E.; Weis, W.I.; Drickamer, K. Structural basis for distinct ligand-binding and targeting properties of the receptors DC-SIGN and DC-SIGNR. Nat. Struct. Mol. Biol. 2004, 11, 591–598. [Google Scholar] [CrossRef]
- Stambach, N.S.; Taylor, M.E. Characterization of carbohydrate recognition by langerin, a C-type lectin of Langerhans cell. Glycobiology 2003, 13, 401–410. [Google Scholar] [CrossRef]
- Tang, L.; Cui, Y.; Liu, W.; Kang, G.; Zhu, Y.; Jiang, D.; Wei, H.; He, F.; Zhang, G.; Gou, Z.; et al. Characterization of a Novel C-type Lectin-like Gene, LSECtin. J. Biol. Chem. 2004, 279, 18748–18758. [Google Scholar]
- Drickamer, K. Engineering galactose-binding activity into a C-type mannose-binding protein. Nature 1992, 360, 183–186. [Google Scholar] [CrossRef]
- Feinberg, H.; Taylor, M.E.; Razi, N.; McBride, R.; Knirel, Y.A.; Graham, S.A.; Drickamer, K.; Weis, W.I. Structural basis for langerin recognition of diverse pathogen and mammalian glycans through a single binding site. J. Mol. Biol. 2011, 405, 1027–1039. [Google Scholar] [CrossRef] [PubMed]
- Ng, K.K.S.; Drickamer, K.; Weis, W.I. Structural analysis of monosaccharide recognition by rat liver mannose-binding protein. J. Biol. Chem. 1996, 271, 663–674. [Google Scholar] [CrossRef] [PubMed]
- Diercks, T.; Infantino, A.S.; Unione, L.; Jiménez-Barbero, J.; Oscarson, S.; Gabius, H.-J. Fluorinated Carbohydrates as Lectin Ligands: Synthesis of OH/F-Substituted N-Glycan Core Trimannoside and Epitope Mapping by 2D STD-TOCSYreF NMR spectroscopy. Chem. Eur. J. 2018, 24, 15761–15765. [Google Scholar] [CrossRef] [PubMed]
- Dalvit, C.; Parent, A.; Vallée, F.; Mathieu, M.; Rak, A. Fast NMR methods for measuring in the direct and/or competition mode the dissociation constants of chemical fragments interacting with a receptor. ChemMedChem 2019, 14, 1115–1127. [Google Scholar] [CrossRef] [PubMed]
- Dalvit, C.; Piotto, M. F-19 NMR transverse and longitudinal relaxation filter experiments for screening: A theoretical and experimental analysis. Magn. Reson. Chem. 2017, 55, 106–114. [Google Scholar] [CrossRef] [PubMed]
- Mayer, M.; James, T.L. NMR-Based Characterization of Phenothiazines as a RNA Binding Scaffoldt. J. Am. Chem. Soc. 2004, 126, 4453–4460. [Google Scholar] [CrossRef]
- Feinberg, H.; Castelli, R.; Drickamer, K.; Seeberger, P.H.; Weis, W.I. Multiple modes of binding enhance the affinity of DC-SIGN for high mannose N-linked glycans found on viral glycoproteins. J. Biol. Chem. 2007, 282, 4202–4209. [Google Scholar] [CrossRef]
- Case JTB, D.A.; Betz, R.M.; Cerutti, D.S.; Cheatham, T.E., III; Darden, T.A.; Duke, R.E.; Giese, T.J.; Gohlke, H.; Goetz, A.W.; Homeyer, N.; et al. AMBER 2015; University of California: San Francisco, CA, USA, 2015. [Google Scholar]
- Jorgensen, W.L.; Chandrasekhar, J.; Madura, J.D.; Impey, R.W.; Klein, M.L. Comparison of simple potential functions for simulating liquid water. J. Chem. Phys. 1983, 79, 926–935. [Google Scholar] [CrossRef]
- Maier, J.A.; Martinez, C.; Kasavajhala, K.; Wickstrom, L.; Hauser, K.E.; Simmerling, C. ff 14SB: Improving the Accuracy of Protein Side Chain and Backbone Parameters from ff 99SB. J. Chem. Theory Comput. 2015, 11, 3696–3713. [Google Scholar] [CrossRef]
- Wang, J.M.; Wolf, R.M.; Caldwell, J.W.; Kollman, P.A.; Case, D.A. Development and testing of a general amber force field. J. Comput. Chem. 2004, 25, 1157–1174. [Google Scholar] [CrossRef]
- Kirschner, K.N.; Yongye, A.B.; Tschampel, S.M.; González-Outeiriño, J.; Daniels, C.R.; Foley, B.L.; Woods, R.J. GLYCAM06: A generalizable biomolecular force field. Carbohydrates. J. Comput. Chem. 2008, 29, 622–655. [Google Scholar] [CrossRef] [PubMed]
- Li, P.; Roberts, B.P.; Chakravorty, D.K.; Merz, K.M. Rational design of particle mesh ewald compatible lennard-jones parameters for +2 metal cations in explicit solvent. J. Chem. Theory Comput. 2013, 9, 2733–2748. [Google Scholar] [CrossRef] [PubMed]
Sample Availability: Samples of the compounds 6-deoxy-6-F-mannose and α-methyl-4-deoxy-4-F-mannose are available from the authors. |











| Sugar | T2,free Average | % T2,decrease Average | Binding Molecules |
|---|---|---|---|
| Fuc | 2.0 | 90 | (α,β)-2-F-Fuc |
| Man | 1.3 | 70 | (α,β)-2-,4-,6-F-Man |
| Glc | 1.3 | 60 | (α,β)-2-,6-F-Glc |
| Gal | 1.8 | 51 | (α,β)-2-F-Gal |
© 2019 by the authors. Licensee MDPI, Basel, Switzerland. This article is an open access article distributed under the terms and conditions of the Creative Commons Attribution (CC BY) license (http://creativecommons.org/licenses/by/4.0/).
Share and Cite
Martínez, J.D.; Valverde, P.; Delgado, S.; Romanò, C.; Linclau, B.; Reichardt, N.C.; Oscarson, S.; Ardá, A.; Jiménez-Barbero, J.; Cañada, F.J. Unraveling Sugar Binding Modes to DC-SIGN by Employing Fluorinated Carbohydrates. Molecules 2019, 24, 2337. https://doi.org/10.3390/molecules24122337
Martínez JD, Valverde P, Delgado S, Romanò C, Linclau B, Reichardt NC, Oscarson S, Ardá A, Jiménez-Barbero J, Cañada FJ. Unraveling Sugar Binding Modes to DC-SIGN by Employing Fluorinated Carbohydrates. Molecules. 2019; 24(12):2337. https://doi.org/10.3390/molecules24122337
Chicago/Turabian StyleMartínez, J. Daniel, Pablo Valverde, Sandra Delgado, Cecilia Romanò, Bruno Linclau, Niels C. Reichardt, Stefan Oscarson, Ana Ardá, Jesús Jiménez-Barbero, and F. Javier Cañada. 2019. "Unraveling Sugar Binding Modes to DC-SIGN by Employing Fluorinated Carbohydrates" Molecules 24, no. 12: 2337. https://doi.org/10.3390/molecules24122337
APA StyleMartínez, J. D., Valverde, P., Delgado, S., Romanò, C., Linclau, B., Reichardt, N. C., Oscarson, S., Ardá, A., Jiménez-Barbero, J., & Cañada, F. J. (2019). Unraveling Sugar Binding Modes to DC-SIGN by Employing Fluorinated Carbohydrates. Molecules, 24(12), 2337. https://doi.org/10.3390/molecules24122337

