Synthesis and Configurational Character Study of Novel Structural Isomers Based on Pyrene–Imidazole
Abstract
:1. Introduction
2. Results and Discussion
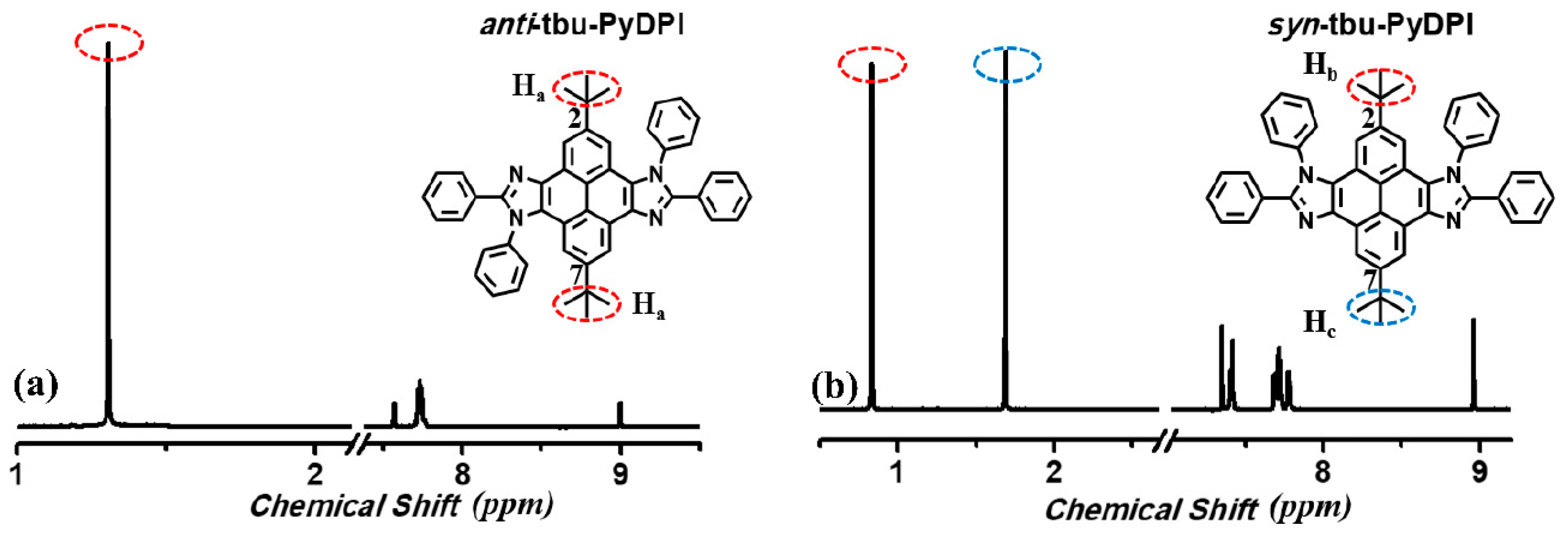
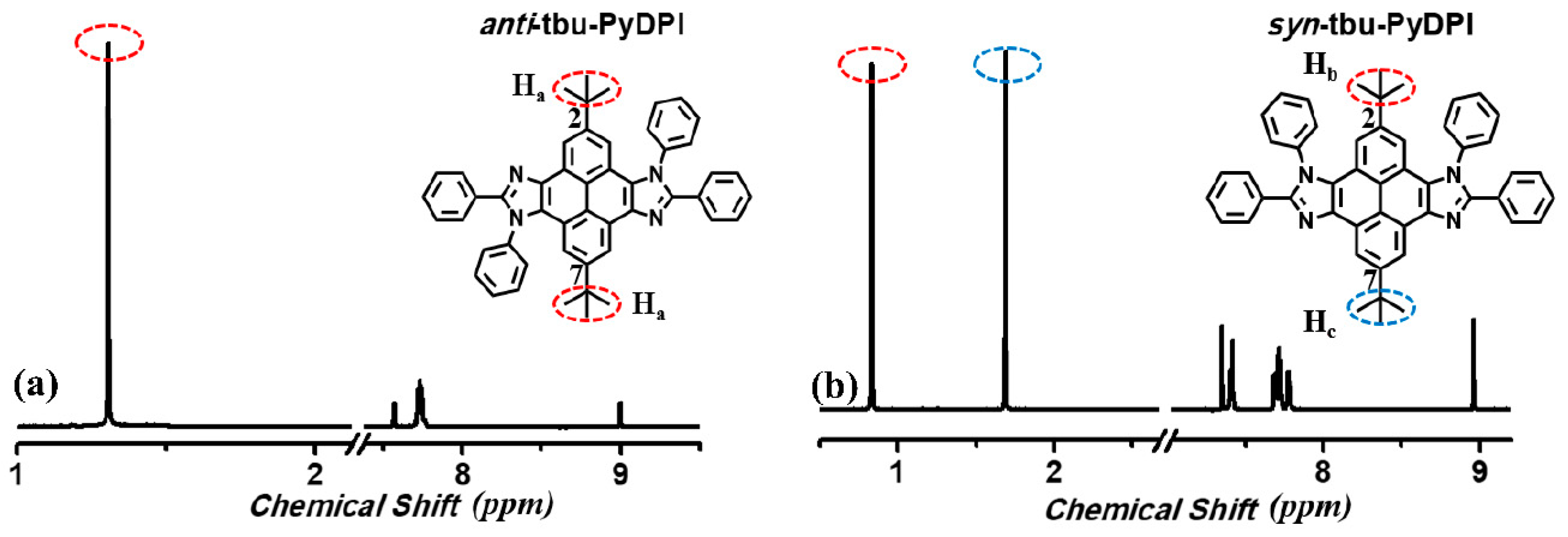
2.1. 1H NMR Spectrum Identification
2.2. Crystal Structure
2.3. Optical Properties
2.4. Density Functional Theory Calculation
2.5. Thermal Analysis: The DSC and TGA Graphs of Syn/Anti-tbu-PyDPI
3. Materials and Methods
3.1. General
3.2. Synthesis of Isomers Anti-tbu-PyDPI and Syn-tbu-PyDPI
4. Conclusions
Supplementary Materials
Author Contributions
Funding
Conflicts of Interest
References
- Weissman, K.J. The structural biology of biosynthetic megaenzymes. Nat. Chem. Biol. 2015, 11, 660–670. [Google Scholar] [CrossRef] [PubMed]
- Nakamura, K.; Nakamura, A.; Binder, L.; Bigio, E.H.; Denial, S.; Nicholson, L.; Zhou, X.Z.; Lu, K.P. Proline isomer-specific antibodies reveal the early pathogenic tau conformation in alzheimer’s disease. Cell 2012, 149, 232–244. [Google Scholar] [CrossRef] [PubMed]
- Moulton, B.; Zaworotko, M.J. From molecules to crystal engineering: supramolecular isomerism and polymorphism in network solids. Chem. Rev. 2001, 101, 1629–1658. [Google Scholar] [CrossRef] [PubMed]
- Kim, J.; Lee, S.; Lee, J.; Lim, E.; Jung, B.J. 3,3′-Bicarbazole-based host molecules for solution-processed phosphorescent OLEDs. Molecules 2018, 23, 847. [Google Scholar] [CrossRef] [PubMed]
- Chung, J.W.; You, Y.; Huh, H.S.; An, B.K.; Yoon, S.J.; Kim, S.H.; Lee, S.W.; Park, S.Y. Shear- and UV-induced fluorescence switching in stilbenic π-dimer crystals powered by reversible [2 + 2] cycloaddition. J. Am. Chem. Soc. 2009, 131, 8163–8172. [Google Scholar] [CrossRef] [PubMed]
- Zhang, B.W.; Zhu, T.T.; Ou, M.Y.; Rowell, N.; Fan, H.S.; Han, J.T.; Tan, L.; Dove, M.T.; Ren, Y.; Zuo, X.B.; et al. Thermally-induced reversible structural isomerization in colloidal semiconductor CdS magic-size clusters. Nat. Commun. 2018, 9, 2499. [Google Scholar] [CrossRef] [PubMed]
- Hu, Y.; Miao, K.; Zha, B.; Xu, L.; Miao, X.R.; Deng, W.L. STM investigation of structural isomers: Alkyl chain position induced self-assembly at the liquid/solid interface. Phys. Chem. Chem. Phys. 2016, 18, 624–634. [Google Scholar] [CrossRef]
- Mamada, M.; Minamiki, T.; Katagiri, H.; Tokito, S. Synthesis, Physical properties, and field-effect mobility of isomerically pure syn-/anti-anthradithiophene derivatives. Org. Lett. 2012, 14, 4062–4065. [Google Scholar] [CrossRef]
- Lehnherr, D.; Hallani, R.; McDonald, R.; Anthony, J.E.; Tykwinski, R.R. Synthesis and properties of isomerically pure anthrabisbenzothiophenes. Org. Lett. 2012, 14, 62–65. [Google Scholar] [CrossRef]
- Yanai, N.; Mori, T.; Shinamura, S.; Osaka, I.; Takimiya, K. Dithiophene-fused tetracyanonaphthoquinodimethanes (DT-TNAPs): Synthesis and characterization of π-extended quinoidal compounds for n-channel organic semiconductor. Org. Lett. 2014, 16, 240–243. [Google Scholar] [CrossRef]
- Nakano, M.; Niimi, K.; Miyazaki, E.; Osaka, I.; Takimiya, K. Isomerically pure anthra[2,3-b:6,7-b’]-difuran (anti-ADF), -dithiophene (anti-ADT), and -diselenophene (anti-ADS): Selective synthesis, electronic structures, and application to organic field-effect transistors. J. Org. Chem. 2012, 77, 8099–8111. [Google Scholar] [CrossRef] [PubMed]
- Liu, M.; Li, X.L.; Chen, D.C.; Xie, Z.Z.; Cai, X.Y.; Xie, G.Z.; Liu, K.K.; Tang, J.X.; Su, S.J.; Cao, Y. Study of configuration differentia and highly efficient, deep-blue, organic light-emitting diodes based on novel naphtho[1,2-d]imidazole derivatives. Adv. Funct. Mater. 2015, 25, 5190–5198. [Google Scholar] [CrossRef]
- Zhang, S.Q.; Qiao, X.L.; Chen, Y.; Wang, Y.Y.; Edkins, R.M.; Liu, Z.Q.; Li, H.X.; Fang, Q. Synthesis, structure, and opto-electronic properties of regioisomeric pyrene-thienoacenes. Org. Lett. 2014, 16, 342–345. [Google Scholar] [CrossRef]
- Yi, W.J.; Zhao, S.; Sun, H.L.; Kan, Y.H.; Shi, J.W.; Wan, S.S.; Li, C.L.; Wang, H. Isomers of organic semiconductors based on dithienothiophenes: The effect of sulphur atoms positions on the intermolecular interactions and field-effect performances. J. Mater. Chem. C 2015, 3, 10856–10861. [Google Scholar] [CrossRef]
- Zhou, C.J.; Zhang, T.K.; Zhang, S.T.; Liu, H.C.; Gao, Y.; Su, Q.; Wu, Q.L.; Li, W.J.; Chen, J.S.; Yang, B. Isomerization effect of triphenylamine-acridine derivatives on excited-state modification, photophysical property and electroluminescence performance. Dyes Pigm. 2017, 146, 558–566. [Google Scholar] [CrossRef]
- Liu, H.C.; Yao, L.; Li, B.; Chen, X.K.; Gao, Y.; Zhang, S.T.; Li, W.J.; Lu, P.; Yang, B.; Ma, Y.G. Excimer-induced high-efficiency fluorescence due to pairwise anthracene stacking in a crystal with long lifetime. Chem. Commun. 2016, 52, 7356–7359. [Google Scholar] [CrossRef] [PubMed]
- Shibata, T.; Shinkura, S.; Ohnishi, A.; Ueda, K. Achiral molecular recognition of aromatic position isomers by polysaccharide-based CSPs in relation to chiral recognition. Molecules 2017, 22, 38. [Google Scholar] [CrossRef]
- Duarte, T.M.F.; Müllen, K. Pyrene-based materials for organic electronics. Chem. Rev. 2011, 111, 7260–7314. [Google Scholar] [CrossRef]
- Niu, D.; Jiang, Y.Q.; Ji, L.K.; Ouyang, G.H.; Liu, M.H. Self-assembly through coordination and π-stacking: Controlled switching of circularly polarized luminescence. Angew. Chem. Int. Ed. 2019, 58, 5946–5950. [Google Scholar] [CrossRef]
- Dolai, B.; Nayim, S.; Hossain, M.; Pahari, P.; Atta, A.K. A triazole linked C-glycosyl pyrene fluorescent sensor for selective detection of Au3+ in aqueous solution and its application in bioimaging. Sens. Actuators B: Chem. 2019, 279, 476–482. [Google Scholar] [CrossRef]
- Lin, G.Q.; Ding, H.M.; Yuan, D.Q.; Wang, B.S.; Wang, C. A pyrene-based, fluorescent three-dimensional covalent organic framework. J. Am. Chem. Soc. 2016, 138, 3302–3305. [Google Scholar] [CrossRef] [PubMed]
- Oniwa, K.; Kikuchi, H.; Shimotani, H.; Ikeda, S.; Asao, N.; Yamamoto, Y.; Tanigaki, K.; Jin, T.N. 2-Positional pyrene end-capped oligothiophenes for high performance organic field effect transistors. Chem. Commun. 2016, 52, 4800–4803. [Google Scholar] [CrossRef] [PubMed]
- Zhang, K.; Wucher, P.; Marszalek, T.; Babics, M.; Ringk, A.; Blom, P.W.M.; Beaujuge, P.M.; Pisula, W. Long-range molecular self-assembly from π-extended pyrene-functionalized diketopyrrolopyrroles. Chem. Mater. 2018, 30, 5032–5040. [Google Scholar] [CrossRef]
- Yang, J.; Qin, J.W.; Ren, Z.C.; Peng, Q.; Xie, G.H.; Li, Z. Pyrene-based blue AIEgen: Enhanced hole mobility and good EL performance in solution-processed OLEDs. Molecules 2017, 22, 2144. [Google Scholar] [CrossRef]
- Liu, Y.L.; Bai, Q.; Li, J.Y.; Zhang, S.T.; Zhang, C.; Lu, F.; Yang, B.; Lu, P. Efficient pyrene-imidazole derivatives for organic light-emitting diodes. RSC Adv. 2016, 6, 17239–17245. [Google Scholar] [CrossRef]
- Shan, T.; Liu, Y.L.; Tang, X.Y.; Bai, Q.; Gao, Y.; Gao, Z.; Li, J.Y.; Deng, J.; Yang, B.; Lu, P.; et al. Highly efficient deep blue organic light-emitting diodes based on imidazole: Significantly enhanced performance by effective energy transfer with negligible efficiency roll-off. ACS Appl. Mater. Interfaces 2016, 8, 28771–28779. [Google Scholar] [CrossRef]
- Qiao, X.F.; Liu, Y.L.; Yao, J.W.; He, X.; Liu, H.; Lu, P.; Ma, D.G. Upper excited triplet state-mediated intersystem crossing for anti-Kasha’s fluorescence: Potential application in deep-ultraviolet sensing. J. Phys. Chem. C 2019, 123, 5761–5766. [Google Scholar] [CrossRef]
- Liu, Y.L.; Guo, Y.Q.; Dong, Z.J.; Fu, Y. Conjugate fluorescent compound based on pyrene-imidazole: Design, synthesis, crystal structure and fluorescence property. Chin. J. Struct. Chem. 2019, 38, 550–558. [Google Scholar] [CrossRef]
- Liu, Y.L.; Shan, T.; Yao, L.; Bai, Q.; Guo, Y.C.; Li, J.Y.; Han, X.; Li, W.J.; Wang, Z.M.; Yang, B.; et al. Isomers of pyrene-imidazole compounds: Synthesis and configuration effect on optical properties. Org. Lett. 2015, 17, 6138–6141. [Google Scholar] [CrossRef] [PubMed]
- Karmakar, S.; Maity, D.; Mardanya, S.; Baitalik, S. Pyrene and imidazole functionalized luminescent bimetallic Ru(II) terpyridine complexes as efficient optical chemosensors for cyanide in aqueous, organic and solid media. Dalton Trans. 2015, 44, 18607–18623. [Google Scholar] [CrossRef]
- Lindner, J.P. Imidazolium-based polymers via the poly-Radziszewski reaction. Macromolecules 2016, 49, 2046–2053. [Google Scholar] [CrossRef]
- Ma, B.B.; Peng, Y.X.; Zhao, P.C.; Huang, W. cis and trans Isomers distinguished by imidazole N-alkylation after Debus-Radziszewski reaction starting from 2,7-di-tert-butyl-pyrene-4,5,9,10-tetraone. Tetrahedron 2015, 71, 3195–3202. [Google Scholar] [CrossRef]
- Zhu, J.Q.; Li, J.; Wang, X.; Fan, P.; Wang, X.N.; Bian, L.J.; Li, H.Q.; Tian, Y.Q. Facile synthesis of imidazolidines by condensation of aromatic amines with glyoxal and formaldehyde. Curr. Org. Chem. 2012, 16, 1723–1728. [Google Scholar] [CrossRef]
- Radziszewski, B. Ueber die constitution des lophins und verwandter verbindungen. Ber. Dtsch. Chem. Ges. 1882, 15, 1493–1496. [Google Scholar] [CrossRef]
- Debus, H. Ueber die einwirkung des ammoniaks auf glyoxal. Justus Liebigs Ann. Chem. 1858, 107, 199–208. [Google Scholar] [CrossRef]
- Kastler, M.; Pisula, W.; Wasserfallen, D.; Pakula, T.; Müllen, K. Influence of alkyl substituents on the solution- and surface-organization of hexa-peri-hexabenzocoronenes. J. Am. Chem. Soc. 2005, 127, 4286–4296. [Google Scholar] [CrossRef]
- Lv, A.; Stolte, M.; Würthner, F. Head-to-tail zig-zag packing of dipolar merocyanine dyes affords high-performance organic thin-film transistors. Angew. Chem. Int. Ed. 2015, 54, 10512–10515. [Google Scholar] [CrossRef]
- Wang, K.; Zhang, H.Y.; Chen, S.Y.; Yang, G.C.; Zhang, J.B.; Tian, W.J.; Su, Z.M.; Wang, Y. Organic polymorphs: One-compound-based crystals with molecular-conformation- and packing-dependent luminescent properties. Adv. Mater. 2014, 26, 6168–6173. [Google Scholar] [CrossRef]
- Wang, Z.X.; Shao, H.X.; Ye, J.C.; Zhang, L.; Lu, P. Substituent effects on crosslike packing of 2′,7′-diarylspiro(cyclopropane-1,9′-fluorene) derivatives: Synthesis and crystallographic, optical, and thermal properties. Adv. Funct. Mater. 2007, 17, 253–263. [Google Scholar] [CrossRef]
- Hu, J.; Zhang, D.; Harris, F.W. Ruthenium(III) chloride catalyzed oxidation of pyrene and 2,7-disubstitued pyrenes: An efficient, one-step synthesis of pyrene-4,5-diones and pyrene-4,5,9,10-tetraones. J. Org. Chem. 2005, 70, 707–708. [Google Scholar] [CrossRef]
Sample Availability: Samples of the compounds are not available from the authors. |










© 2019 by the authors. Licensee MDPI, Basel, Switzerland. This article is an open access article distributed under the terms and conditions of the Creative Commons Attribution (CC BY) license (http://creativecommons.org/licenses/by/4.0/).
Share and Cite
Liu, Y.-L.; Yang, L.; Guo, Y.-Q.; Xu, G.-Q.; Qu, B.; Fu, Y. Synthesis and Configurational Character Study of Novel Structural Isomers Based on Pyrene–Imidazole. Molecules 2019, 24, 2293. https://doi.org/10.3390/molecules24122293
Liu Y-L, Yang L, Guo Y-Q, Xu G-Q, Qu B, Fu Y. Synthesis and Configurational Character Study of Novel Structural Isomers Based on Pyrene–Imidazole. Molecules. 2019; 24(12):2293. https://doi.org/10.3390/molecules24122293
Chicago/Turabian StyleLiu, Yu-Long, Liu Yang, You-Quan Guo, Guo-Qiang Xu, Bin Qu, and Ying Fu. 2019. "Synthesis and Configurational Character Study of Novel Structural Isomers Based on Pyrene–Imidazole" Molecules 24, no. 12: 2293. https://doi.org/10.3390/molecules24122293
APA StyleLiu, Y.-L., Yang, L., Guo, Y.-Q., Xu, G.-Q., Qu, B., & Fu, Y. (2019). Synthesis and Configurational Character Study of Novel Structural Isomers Based on Pyrene–Imidazole. Molecules, 24(12), 2293. https://doi.org/10.3390/molecules24122293

