Enhancement of Solasodine Extracted from Fruits of Solanum nigrum L. by Microwave-Assisted Aqueous Two-Phase Extraction and Analysis by High-Performance Liquid Chromatography
Abstract
1. Introduction
2. Results
2.1. Qualitative Analysis of Solasodine
2.2. Screening of the ATPS
2.3. Single Factor Experiment
2.3.1. Effect of Extraction Time
2.3.2. Effect of Extraction Temperature
2.3.3. Effect of Liquid-to-Solid Ratio
2.4. Optimization of the Procedure by RSM
2.5. Comparison of MAATPE with UAE and MAE
3. Discussion
3.1. Effect of ATPS Composition and Concentration
3.2. Response Surface Analysis
4. Experimental
4.1. Chemicals and Plant Material
4.2. Instruments and Analytical Methods
4.3. Extraction Procedure
4.3.1. Preparation of the Aqueous Two-Phase System
4.3.2. MAATPE Procedure
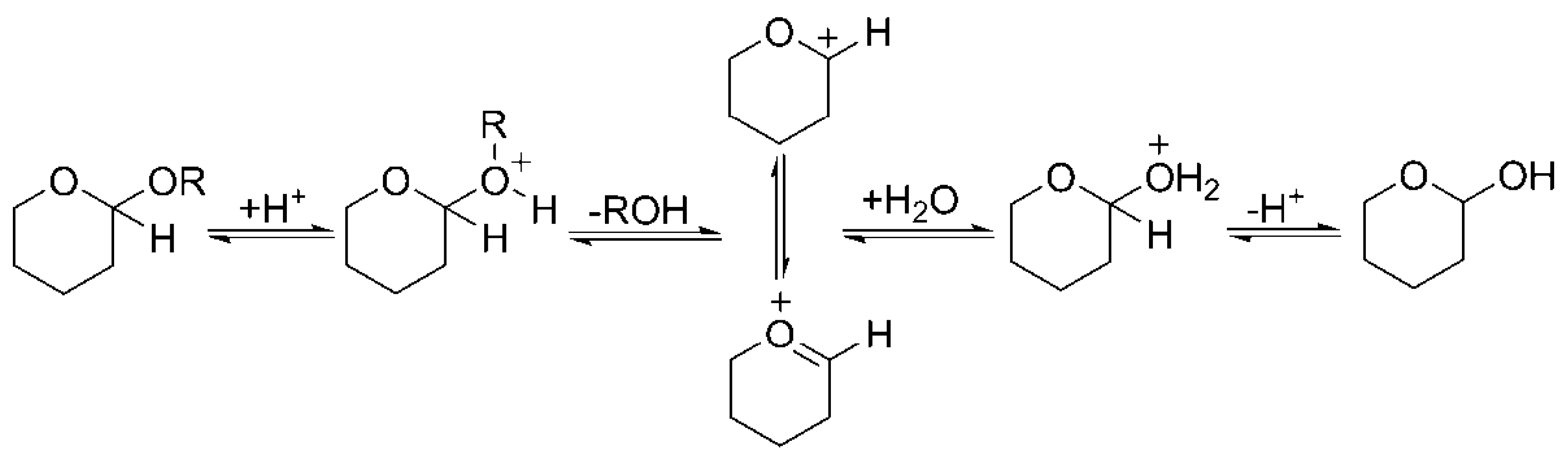
4.3.3. Hydrolytic Procedure
4.4. Optimization of Extraction Conditions
4.5. Conventional Extraction Methods
4.6. Statistical Analysis
5. Conclusions
Author Contributions
Funding
Acknowledgments
Conflicts of Interest
References
- Shen, K.H.; Hung, J.H.; Chang, C.W.; Weng, Y.T.; Wu, M.J.; Chen, P.S. Solasodine inhibits invasion of human lung cancer cell through downregulation of miR-21 and MMPs expression. Chem. Boil. Interact. 2017, 268, 129–135. [Google Scholar] [CrossRef] [PubMed]
- Muthuvel, A.; Adavallan, K.; Balamurugan, K.; Krishnakumar, N. Biosynthesis of gold nanoparticles using Solanum nigrum leaf extract and screening their free radical scavenging and antibacterial properties. Biomed. Prev. Nutr. 2014, 4, 325–332. [Google Scholar] [CrossRef]
- Tariq Javed, U.A.A.; Sana Riaz, S.R.; Sheikh, R. In-vitro antiviral activity of Solanum nigrum against Hepatitis C Virus. Virol. J. 2011, 8, 8–26. [Google Scholar]
- Jiang, Q.-Y.; Tan, S.-Y.; Zhuo, F.; Yang, D.-J.; Ye, Z.-H.; Jing, Y.-X. Effect of Funneliformis mosseae on the growth, cadmium accumulation and antioxidant activities of Solanum nigrum. Appl. Soil Ecol. 2016, 98, 112–120. [Google Scholar] [CrossRef]
- Kibichiy, S.E.; Jane, M.; Raymond, M.; Scolastica, K.; James, K.; John, K.; Raphael, N. Effects of crude extracts of Solanum nigrum on the Liver pathology and Survival time in Trypanosoma brucei rhodesiense infected mice. Sci. J. Microbiol. 2013, 242–248. [Google Scholar] [CrossRef]
- Patel, K.; Singh, R.B.; Patel, D.K. Medicinal significance, pharmacological activities, and analytical aspects of solasodine: A concise report of current scientific literature. J. Acute Dis. 2013, 2, 92–98. [Google Scholar] [CrossRef]
- Dou, M.; He, X.-H.; Sun, Y.; Peng, F.; Liu, J.-Y.; Hao, L.-L.; Yang, S.-L. Controlled acid hydrolysis and kinetics of flavone C-glycosides from trollflowers. Chin. Chem. Lett. 2015, 26, 255–258. [Google Scholar] [CrossRef]
- Fulzele, D.P.; Satdive, R.K. Comparison of techniques for the extraction of the anti-cancer drug camptothecin from Nothapodytes foetida. J. Chromatogr. A 2005, 1063, 9–13. [Google Scholar] [CrossRef]
- Cassel, E.; Vargas, R.M.F.; Brun, G.W.; Almeida, D.E.; Cogoi, L.; Ferraro, G.; Filip, R. Supercritical fluid extraction of alkaloids from Ilex paraguariensis St. Hil. J. Food Eng. 2010, 100, 656–661. [Google Scholar] [CrossRef]
- Yang, L.; Wang, H.; Zu, Y.-G.; Zhao, C.; Zhang, L.; Chen, X.; Zhang, Z. Ultrasound-assisted extraction of the three terpenoid indole alkaloids vindoline, catharanthine and vinblastine from Catharanthus roseus using ionic liquid aqueous solutions. Chem. Eng. J. 2011, 172, 705–712. [Google Scholar] [CrossRef]
- Klein-Júnior, L.C.; Vander Heyden, Y.; Henriques, A.T. Enlarging the bottleneck in the analysis of alkaloids: A review on sample preparation in herbal matrices. TrAC Trends Anal. Chem. 2016, 80, 66–82. [Google Scholar] [CrossRef]
- Ma, F.-Y.; Gu, C.-B.; Li, C.-Y.; Luo, M.; Wang, W.; Zu, Y.-G.; Li, J.; Fu, Y.-J. Microwave-assisted aqueous two-phase extraction of isoflavonoids from Dalbergia odorifera T. Chen leaves. Sep. Purif. Technol. 2013, 115, 136–144. [Google Scholar] [CrossRef]
- Wu, Z.; Ruan, H.; Wang, Y.; Chen, Z.; Cui, Y. Optimization of microwave-assisted extraction of puerarin from radix puerariae using response surface methodology. Sep. Sci. Technol. 2013, 48, 1657–1664. [Google Scholar] [CrossRef]
- Fliniaux, O.; Corbin, C.; Ramsay, A.; Renouard, S.; Beejmohun, V.; Doussot, J.; Falguieres, A.; Ferroud, C.; Lamblin, F.; Laine, E.; et al. Microwave-assisted extraction of herbacetin diglucoside from flax (Linum usitatissimum L.) seed cakes and its quantification using an RP-HPLC-UV system. Molecules 2014, 19, 3025–3037. [Google Scholar] [CrossRef] [PubMed]
- Nkhili, E.; Tomao, V.; El Hajji, H.; El Boustani, E.S.; Chemat, F.; Dangles, O. Microwave-assisted water extraction of green tea polyphenols. Phytochem. Anal. PCA 2009, 20, 408–415. [Google Scholar] [CrossRef] [PubMed]
- Madeira, P.P.; Reis, C.A.; Rodrigues, A.E.; Mikheeva, L.M.; Chait, A.; Zaslavsky, B.Y. Solvent properties governing protein partitioning in polymer/polymer aqueous two-phase systems. J. Chromatogr. A 2011, 1218, 1379–1384. [Google Scholar] [CrossRef] [PubMed]
- Wu, Y.-T.; Pereira, M.; Venâncio, A.; Teixeira, J. Recovery of endo-polygalacturonase using polyethylene glycol-salt aqueous two-phase extractionwith polymer recycling. Bioseparation 2000, 9, 247–254. [Google Scholar] [CrossRef]
- Minuth, T.; Thömmes, J.; Kula, M.R. Extraction of cholesterol oxidase from Nocardia rhodochrous using a nonionic surfactant-based aqueous two-phase system. J. Biotechnol. 1995, 38, 151–164. [Google Scholar] [CrossRef]
- Soto, A.; Arce, A.; Khoshkbarchi, M. Partitioning of antibiotics in a two-liquid phase system formed by water and a room temperature ionic liquid. Sep. Purif. Technol. 2005, 44, 242–246. [Google Scholar] [CrossRef]
- Wu, X.; Liang, L.; Zou, Y.; Zhao, T.; Zhao, J.; Li, F.; Yang, L. Aqueous two-phase extraction, identification and antioxidant activity of anthocyanins from mulberry (Morus atropurpurea Roxb.). Food Chem. 2011, 129, 443–453. [Google Scholar] [CrossRef]
- Du, L.-P.; Cheong, K.-L.; Liu, Y. Optimization of an aqueous two-phase extraction method for the selective separation of sulfated polysaccharides from a crude natural mixture. Sep. Purif. Technol. 2018, 202, 290–298. [Google Scholar] [CrossRef]
- Zhang, W.; Liu, X.; Fan, H.; Zhu, D.; Wu, X.; Huang, X.; Tang, J. Separation and purification of alkaloids from Sophora flavescens Ait. by focused microwave-assisted aqueous two-phase extraction coupled with reversed micellar extraction. Ind. Crop. Prod. 2016, 86, 231–238. [Google Scholar] [CrossRef]
- Amid, M.; Shuhaimi, M.; Islam Sarker, M.Z.; Abdul Manap, M.Y. Purification of serine protease from mango (Mangifera Indica Cv. Chokanan) peel using an alcohol/salt aqueous two phase system. Food Chem. 2012, 132, 1382–1386. [Google Scholar] [CrossRef] [PubMed]
- Rosa, P.A.; Azevedo, A.M.; Sommerfeld, S.; Backer, W.; Aires-Barros, M.R. Aqueous two-phase extraction as a platform in the biomanufacturing industry: Economical and environmental sustainability. Biotechnol. Adv. 2011, 29, 559–567. [Google Scholar] [CrossRef] [PubMed]
- Ruiz-Ruiz, F.; Benavides, J.; Aguilar, O.; Rito-Palomares, M. Aqueous two-phase affinity partitioning systems: Current applications and trends. J. Chromatogr. A 2012, 1244, 1–13. [Google Scholar] [CrossRef] [PubMed]
- Liu, X.; Gao, Y.; Tang, R.; Wang, W. On the extraction and separation of iodide complex of cadmium(II) in propyl-alcohol ammonium sulfate aqueous biphasic system. Sep. Purif. Technol. 2006, 50, 263–266. [Google Scholar] [CrossRef]
- Jiang, B.; Li, Z.-G.; Dai, J.-Y.; Zhang, D.-J.; Xiu, Z.-L. Aqueous two-phase extraction of 2,3-butanediol from fermentation broths using an ethanol/phosphate system. Process Biochem. 2009, 44, 112–117. [Google Scholar] [CrossRef]
- Chen, Z.; Zhang, W.; Tang, X.; Fan, H.; Xie, X.; Wan, Q.; Wu, X.; Tang, J.Z. Extraction and characterization of polysaccharides from Semen Cassiae by microwave-assisted aqueous two-phase extraction coupled with spectroscopy and HPLC. Carbohydr. Polym. 2016, 144, 263–270. [Google Scholar] [CrossRef]
- Povilaitis, D.; Venskutonis, P.R. Optimization of supercritical carbon dioxide extraction of rye bran using response surface methodology and evaluation of extract properties. J. Supercrit. Fluids 2015, 100, 194–200. [Google Scholar] [CrossRef]
- Zhang, W.; Zhu, D.; Fan, H.; Liu, X.; Wan, Q.; Wu, X.; Liu, P.; Tang, J.Z. Simultaneous extraction and purification of alkaloids from Sophora flavescens Ait. by microwave-assisted aqueous two-phase extraction with ethanol/ammonia sulfate system. Sep. Purif. Technol. 2015, 141, 113–123. [Google Scholar] [CrossRef]
- Reschke, T.; Brandenbusch, C.; Sadowski, G. Modeling aqueous two-phase systems: III. Polymers and organic salts as ATPS former. Fluid Phase Equilibria 2015, 387, 178–189. [Google Scholar] [CrossRef]
- Zhao, B.; Zhang, J.; Guo, X.; Wang, J. Microwave-assisted extraction, chemical characterization of polysaccharides from Lilium davidii var. unicolor Salisb and its antioxidant activities evaluation. Food Hydrocoll. 2013, 31, 346–356. [Google Scholar]
- Yang, Z.; Tan, Z.; Li, F.; Li, X. An effective method for the extraction and purification of chlorogenic acid from ramie (Boehmeria nivea L.) leaves using acidic ionic liquids. Ind. Crop. Prod. 2016, 89, 78–86. [Google Scholar] [CrossRef]
- Me, H.-W.; Xie, C.-Y.; Wu, H.-J.; Feng, L.; Zhao, F.-C.; Zhang, X.-Y. Study on extraction of alkaloids from Solanum nigrum L. fruits. For. By-Prod. Spec. China 2013, 1, 14–18. [Google Scholar]
- Luan, G.Y.; Yang, Y.H. Study on ultrasonic-assisted extraction of total steroidal alkaloid from Solanum nigrum L. J. Jilin Inst. Chem. Technol. 2015, 10, 1158–1169. [Google Scholar]
- Soares, R.R.; Azevedo, A.M.; Van Alstine, J.M.; Aires-Barros, M.R. Partitioning in aqueous two-phase systems: Analysis of strengths, weaknesses, opportunities and threats. Biotechnol. J. 2015, 10, 1158–1169. [Google Scholar] [CrossRef] [PubMed]
- Jiang, X.Y.; Yang, H.; Zhao, Y. The Determination of Steroidal Alkaloid Content in Solanum nigrum L. Food Sci. 2006, 27, 224–227. [Google Scholar]
Sample Availability: Not available. |




| Run | Factors | Yield (mg/g) | ||
|---|---|---|---|---|
| X1 (°C) | X2 (min) | X3 (mL/g) | ||
| 1 | 30 | 20 | 40 | 4.76 |
| 2 | 50 | 15 | 30 | 4.72 |
| 3 | 30 | 15 | 30 | 4.65 |
| 4 | 50 | 10 | 40 | 5.28 |
| 5 | 40 | 10 | 30 | 4.21 |
| 6 | 50 | 20 | 40 | 5.55 |
| 7 | 50 | 15 | 50 | 6.50 |
| 8 | 40 | 15 | 40 | 6.92 |
| 9 | 40 | 15 | 40 | 6.92 |
| 10 | 40 | 20 | 50 | 4.75 |
| 11 | 40 | 10 | 50 | 4.55 |
| 12 | 40 | 15 | 40 | 6.92 |
| 13 | 40 | 15 | 40 | 6.92 |
| 14 | 40 | 20 | 30 | 4.94 |
| 15 | 30 | 15 | 50 | 4.35 |
| 16 | 30 | 10 | 40 | 4.40 |
| 17 | 40 | 15 | 40 | 6.92 |
| Source | Sum of Squares | Degrees of Freedom | Mean Square | F-Value | p-Value | Remarks |
|---|---|---|---|---|---|---|
| Model | 18.71 | 9 | 2.08 | 53.87 | <0.0001 | significant |
| A(temperature) | 1.89 | 1 | 1.89 | 49.01 | 0.0002 | significant |
| B(time) | 0.3 | 1 | 0.3 | 7.88 | 0.262 | |
| C(liquid-to-solid ratio) | 0.33 | 1 | 0.33 | 8.6 | 0.219 | |
| AB | 0.002 | 1 | 0.002 | 0.052 | 0.8254 | |
| AC | 1.08 | 1 | 1.08 | 28.02 | 0.0011 | significant |
| BC | 0.07 | 1 | 0.07 | 1.82 | 0.2194 | |
| A2 | 2.31 | 1 | 2.31 | 59.74 | 0.0001 | significant |
| B2 | 5.89 | 1 | 5.89 | 152.54 | <0.0001 | significant |
| C2 | 5.33 | 1 | 5.33 | 138.07 | <0.0001 | significant |
| Residual | 0.27 | 7 | 0.039 | |||
| Lack of fit | 0.27 | 3 | 0.09 | |||
| Pure error | 0 | 4 | 0 | |||
| Cor total | 18.98 | 16 |
| Method | Solvent | Time (min) | Tem. (°C) | Liquid-to-Solid Ratio (mL/g) | Yield (mg/g) |
|---|---|---|---|---|---|
| UAE | EtOH/water | 30 | 25 | 30:1 | 3.39 |
| MAE | EtOH/water | 60 | 30 | 20:1 | 3.36 |
| MAATPE | ATPS | 15 | 44 | 44:1 | 7.11 |
| Factors | Coefficient | Df | Standard Error | 95% Low | 95% High | CL VIF |
|---|---|---|---|---|---|---|
| intercept | 6.92 | 11 | 0.088 | 6.71 | 7.13 | 1 |
| A- temp. | 0.49 | 1 | 0.069 | 0.32 | 0.65 | 1 |
| B- time | 0.2 | 1 | 0.069 | 0.031 | 0.36 | 1 |
| C- liquid-to-solid ratio | 0.2 | 1 | 0.069 | 0.04 | 0.37 | 1 |
| AB | −0.023 | 1 | 0.098 | −0.25 | 0.21 | 1 |
| AC | 0.52 | 1 | 0.098 | 0.29 | 0.75 | 1 |
| BC | −0.13 | 1 | 0.098 | −0.36 | 0.1 | 1 |
| A2 | −0.74 | 1 | 0.096 | −0.97 | −0.51 | 1 |
| B2 | −1.18 | 1 | 0.096 | −1.41 | −0.96 | 1.01 |
| C2 | −1.12 | 1 | 0.096 | −1.35 | −0.9 | 1.01 |
© 2019 by the authors. Licensee MDPI, Basel, Switzerland. This article is an open access article distributed under the terms and conditions of the Creative Commons Attribution (CC BY) license (http://creativecommons.org/licenses/by/4.0/).
Share and Cite
Lin, L.; Yang, W.; Wei, X.; Wang, Y.; Zhang, L.; Zhang, Y.; Zhang, Z.; Zhao, Y.; Zhao, M. Enhancement of Solasodine Extracted from Fruits of Solanum nigrum L. by Microwave-Assisted Aqueous Two-Phase Extraction and Analysis by High-Performance Liquid Chromatography. Molecules 2019, 24, 2294. https://doi.org/10.3390/molecules24122294
Lin L, Yang W, Wei X, Wang Y, Zhang L, Zhang Y, Zhang Z, Zhao Y, Zhao M. Enhancement of Solasodine Extracted from Fruits of Solanum nigrum L. by Microwave-Assisted Aqueous Two-Phase Extraction and Analysis by High-Performance Liquid Chromatography. Molecules. 2019; 24(12):2294. https://doi.org/10.3390/molecules24122294
Chicago/Turabian StyleLin, Li, Wen Yang, Xing Wei, Yi Wang, Li Zhang, Yunsong Zhang, Zhiming Zhang, Ying Zhao, and Maojun Zhao. 2019. "Enhancement of Solasodine Extracted from Fruits of Solanum nigrum L. by Microwave-Assisted Aqueous Two-Phase Extraction and Analysis by High-Performance Liquid Chromatography" Molecules 24, no. 12: 2294. https://doi.org/10.3390/molecules24122294
APA StyleLin, L., Yang, W., Wei, X., Wang, Y., Zhang, L., Zhang, Y., Zhang, Z., Zhao, Y., & Zhao, M. (2019). Enhancement of Solasodine Extracted from Fruits of Solanum nigrum L. by Microwave-Assisted Aqueous Two-Phase Extraction and Analysis by High-Performance Liquid Chromatography. Molecules, 24(12), 2294. https://doi.org/10.3390/molecules24122294
